Amorphous-Nanocrystalline Composites Prepared by High-Pressure Torsion
Abstract
1. Introduction
2. Materials and Methods
3. Results and Discussion
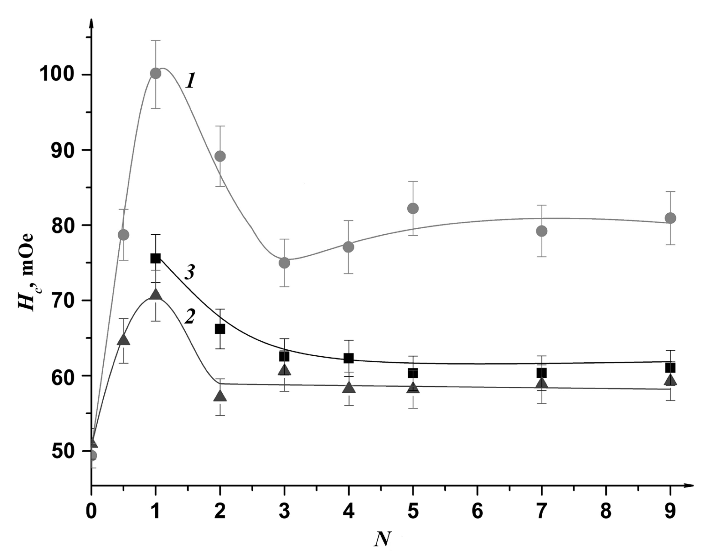
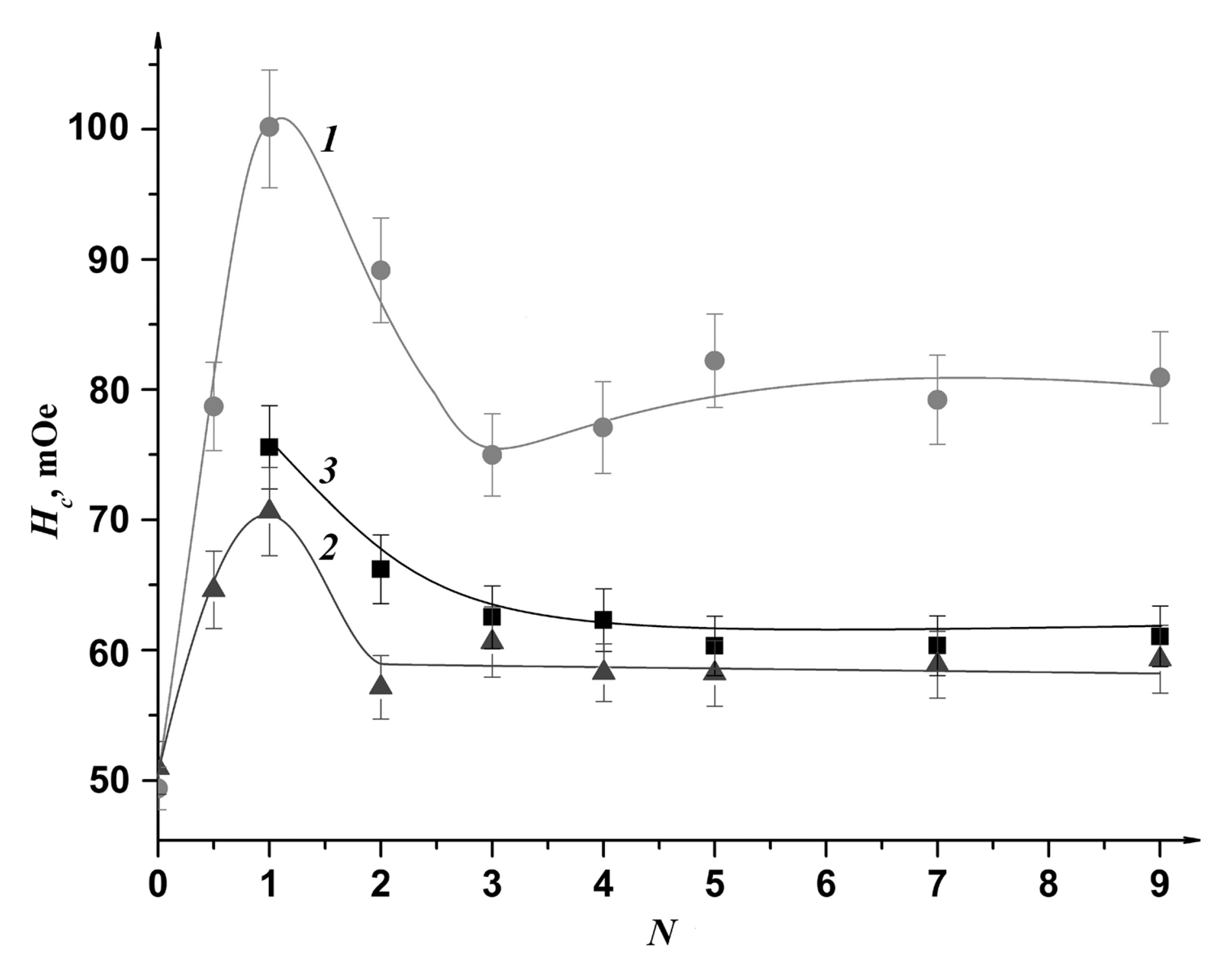
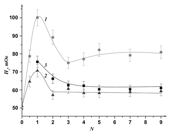
3.1. Amorphous-Nanocrystalline Composites Prepared by Consolidation of Two Amorphous Alloys upon HPT
3.2. Amorphous-Nanocrystalline Composites Prepared by HPT of Cu-Nb Nanolaminates
4. Conclusions
- (1)
- For the first time, deformation-induced composites from alternating Fe-Ni-B and Co-Fe-Cr-Si-B AA layers were obtained by their consolidation upon HPT. It was found that the average microhardness of the composite obtained by HPT to N > 4 exceeds HV of its individual AA components, from which it is formed.
- (2)
- The degree of the structure refinement of the amorphous nanocrystalline composites obtained by SPD depends on the processing regime and on the nature of the starting materials. The HPT method allows one to obtain nanocrystals of up to 5–20 nm in size in amorphous matrix in the AA composites. In the Cu-Nb nanolaminates, the gradual refinement of the nanocrystalline structure can be accompanied by local amorphization and the retention of the general orientation of the structure constituents. The fact that an amorphous state is formed in Cu-Nb laminates during HPT requires further and more thorough investigation.
- (3)
- The phenomenon of increase in ductility (K1c increases by ~6%) of amorphous-nanocrystalline composites obtained by HPT of the Fe53.3Ni26.5B20.2 and Co28.2Fe38.9Cr15.4Si0.3B17.2 AA ribbons is established. SPD allows one to obtain strain-induced composites with satisfactory fracture toughness in combination with high hardness and high soft magnetic characteristics.
- (4)
- For the first time, the formation of regions with an amorphous structure directly related to interphase interfaces was experimentally found in Cu-Nb nanolaminates by TEM and XRD methods after a high degree of SPD (N = 4).
- (5)
- An increase in the degree of SPD by HPT increases strength of the Cu-Nb nanolaminates by a factor of three. A two-stage transition from the anisotropy of microhardness in the initial state to the isotropy of HV was detected at N = 4. Surface strengthening of the Cu-Nb nanolaminates is observed at N = 2; the difference between HV on the surface and in the volume is 29%.
Author Contributions
Funding
Acknowledgments
Conflicts of Interest
References
- Matthews, F.L.; Rawlings, R.D. Composite Materials: Engineering and Science; CRS Press: Boca Raton, USA, 1999; ISBN 0-8493-0621-3. [Google Scholar]
- Gibson, R.F. Principles of Composite Material Mechanics, 4th ed.; CRC Press: Boca Raton, USA, 2016; ISBN 978-1-4987-2072-4. [Google Scholar]
- Strong, A.B. Fundamentals of Composites Manufacturing Materials, Methods and Applications, 2nd ed.; Society of Manufacturing Engineers: Dearborn, MI, USA, 2008; ISBN 978-0872638549. [Google Scholar]
- Barnett, S.A. Deposition and Mechanical Properties of Superlattice Thin Films. In Physics of Thin Films. Mechanic and Dielectric Properties. Advances in Research and Development; Francombe, M.H., Vossen, J.A., Eds.; Academic Press: New York, NY, USA, 1993; Volume 17, pp. 1–77. ISBN 978-0-1253-3017-6. [Google Scholar]
- Vepřek, S. The search for novel, superhard materials. J. Vac. Sci. Technol. A 1999, 17, 2401–2420. [Google Scholar] [CrossRef]
- Hovsepian, P.E.; Lewis, D.B.; Münz, W.-D. Recent progress in large scale manufacturing of multilayer/superlattice hard coatings. Surf. Coat. Technol. 2000, 133, 166–175. [Google Scholar] [CrossRef]
- Barnett, S.A.; Madan, A.; Kim, I.; Martin, K. Stability of nanometer-thick layers in hard coatings. MRS Bull. 2003, 28, 169–172. [Google Scholar] [CrossRef]
- Chung, Y.-W.; Sproul, W.D. Superhard coating materials. MRS Bull. 2003, 28, 164–168. [Google Scholar] [CrossRef]
- Münz, W.-D. Large-scale manufacturing of nanoscale multilayered hard coatings deposited by cathodic arc/unbalanced magnetron sputtering. MRS Bull. 2003, 28, 173–179. [Google Scholar] [CrossRef]
- Abrosimova, G.E. Evolution of the structure of amorphous alloys. Phys.-Usp. 2011, 54, 1227–1242. [Google Scholar] [CrossRef]
- Perrière, L.; Champion, Y. Phases distribution dependent strength in metallic glass-aluminium composites prepared by spark plasma sintering. Mater. Sci. Eng. A 2012, 548, 112–117. [Google Scholar] [CrossRef]
- Wang, Y.; Li, J.; Hamza, A.V.; Barbee, T.W. Ductile crystalline-amorphous nanolaminates. Proc. Natl. Acad. Sci. USA 2007, 104, 11155–11160. [Google Scholar] [CrossRef]
- Donohue, A.; Spaepen, F.; Hoagland, R.G.; Misra, A. Suppression of the shear band instability during plastic flow of nanometer-scale confined metallic glasses. Appl. Phys. Lett. 2007, 91, 241905. [Google Scholar] [CrossRef]
- Molokanov, V.V.; Chueva, T.R.; Umnov, P.P.; Simakov, S.V.; Shalygina, E.E. “Thick” amorphous wires in the Fe75Si10B15-Co75Si10B15-Ni75Si10B15 system: Fabrication, structure, properties. Inorg. Mater. Appl. Res. 2016, 7, 643–647. [Google Scholar] [CrossRef]
- Shalygina, E.E.; Umnova, N.V.; Umnov, P.P.; Molokanov, V.V.; Samsonova, V.V.; Shalygin, A.N.; Rozhnovskaya, A.A. Specific features of magnetic properties of “thick” microwires produced by the Ulitovsky-Taylor method. Phys. Solid State 2012, 54, 287–292. [Google Scholar] [CrossRef]
- Shelyakov, A.; Sitnikov, N.; Saakyan, S.; Menushenkov, A.; Korneev, A. Study of two-way shape memory behavior of amorphous-crystalline TiNiCu melt-spun ribbon. Mater. Sci. Forum 2013, 738–739, 352–356. [Google Scholar] [CrossRef]
- Glezer, A.M.; Manaenkov, S.E.; Permyakova, I.E.; Shurygina, N.A. Effect of nanocrystallization on the mechanical behavior of Fe-Ni-based amorphous alloys. Russ. Metal. 2011, 2011, 947–955. [Google Scholar] [CrossRef]
- Glezer, A.M.; Permyakova, I.E.; Shurygina, N.A.; Rassadina, T.V. Structural features of crystallization and hardening of amorphous alloy in the Fe-Cr-B system. Inorg. Mater. Appl. Res. 2012, 3, 23–27. [Google Scholar] [CrossRef]
- Shurygina, N.A.; Glezer, A.M.; Permyakova, I.E.; Blinova, E.N. Effect of nanocrystallization on the mechanical and magnetic properties of Finemet-type alloy (Fe78.5Si13.5B9Nb3Cu1). Bull. Russ. Acad. Sci. Phys. 2012, 76, 44–50. [Google Scholar] [CrossRef]
- Permyakova, I.E.; Glezer, A.M.; Ivanov, A.A.; Shelyakov, A.V. Application of laser design of amorphous FeCo-based alloys for the formation of amorphous-crystalline composites. Russ. Phys. J. 2016, 58, 1331–1338. [Google Scholar] [CrossRef]
- Mudry, S.I.; Nykyruy, Y.S.; Kulyk, Y.O.; Stotsko, Z.A. Influence of pulse laser irradiation on structure and mechanical properties of amorphous Fe73.1Nb3Cu1.0Si15.5B7.4 alloy. J. Achiev. Mater. Manufact. Eng. 2013, 61, 7–11. [Google Scholar]
- Sitnikov, N.N.; Shelyakov, A.V.; Khabibullina, I.A.; Borodako, K.A. Two-way shape memory effect in rapidly quenched highly doped alloys of TiNi-TiCu system upon laser treatment. Bull. Russ. Acad. Sci. Phys. 2018, 82, 1136–1142. [Google Scholar] [CrossRef]
- Glezer, A.M.; Permyakova, I.E. Melt-Quenched Nanocrystals; CRC Press: Boca Raton, FL, USA, 2013; ISBN 978-1-4665-9414-2. [Google Scholar]
- Glezer, A.M.; Shurygina, N.A. Amorphous-Nanocrystalline Alloys; CRC Press: Boca Raton, FL, USA, 2017; ISBN 978-1-1385-0237-6. [Google Scholar]
- Inoue, A.; Louzguine, D.V. Bulk Nanocrystalline and Nanocomposite Alloys Produced from Amorphous Phase. In Nanostructured Metals and Alloys. Processing, Microstructure, Mechanical Properties and Applications; Whang, S.H., Ed.; Woodhead Publishing Ltd.: Cambridge, UK, 2011; pp. 152–177. ISBN 978-1-84569-670-2. [Google Scholar]
- Wilde, G. Bulk Nanostructured Materials from Amorphous Solids. In Bulk Nanostructured Materials; Zehetbauer, M.J., Zhu, Y.T., Eds.; Wiley-VCH. Verlag GmbH & Co: Weinheim, Germany, 2009; pp. 293–310. ISBN 978-3-5273-1524-6. [Google Scholar]
- Glezer, A.M.; Kozlov, E.V.; Koneva, N.A.; Popova, N.A.; Kurzina, I.A. Plastic Deformation of Nanostructured Materials; CRC Press: Boca Raton, FL, USA, 2017; ISBN 978-1-1380-7789-8. [Google Scholar]
- Valiev, R.Z.; Zhilyaev, A.P.; Langdon, T.G. Bulk Nanostructured Materials: Fundamentals and Applications; John Wiley & Sons: Hoboken, NJ, USA, 2013; ISBN 978-1-118-09540-9. [Google Scholar]
- Glezer, A.M. Creation principles of new-generation multifunctional structural materials. Phys.-Usp. 2012, 55, 522–529. [Google Scholar] [CrossRef]
- Permyakova, I.E.; Blinova, E.N.; Shchetinin, I.V.; Savchenko, E.S. Amorphous-alloy-based composites prepared by high-pressure torsion. Russ. Metal. 2019, 2019, 994–1001. [Google Scholar] [CrossRef]
- Permyakova, I.E.; Glezer, A.M.; Karpov, M.I.; Vnukov, V.I.; Shtansky, D.V.; Gorshenkov, M.V.; Shchetinin, I.V. Structural amorphization and mechanical properties of nanolaminates of the cooper-niobium system during high-pressure torsion. Russ. Phys. J. 2018, 61, 428–438. [Google Scholar] [CrossRef]
- Glezer, A.M.; Permyakova, I.E.; Fedorov, V.A. Crack resistance and plasticity of amorphous alloys under microindentation. Bull. Russ. Acad. Sci. Phys. 2006, 70, 1599–1603. [Google Scholar]
- Glezer, A.M.; Permyakova, I.E.; Manaenkov, S.E. Plasticizing effect in the transition from an amorphous state to a nanocrystalline state. Dokl. Phys. 2008, 53, 8–10. [Google Scholar] [CrossRef]
- Karpov, M.I.; Gnessin, B.A.; Vnukov, V.I.; Medved, N.V.; Volkov, K.G. Texture and Mechanical Properties of the Bulk Multilayered Nb-Cu Composite. In Proceedings of the Intrernational Conference “Advanced Metallic Materials”, Smolenice Castle, Slovakia, 5–7 November 2003; Slovak Academy of Sciences: Bratislava, Slovakia, 2003; pp. 141–143. [Google Scholar]
- Karpov, M.I.; Vnukov, V.I.; Medved, N.V.; Volkov, K.G.; Khodos, I.I. Nanolaminate-Bulk Multilayered Nb-Cu Composite: Technology, Structure, Properties. In Proceedings of the 15-th International Plansee-Seminar, Reutte, Austria, 28 May–1 June 2001; Volume 4, pp. 97–107. [Google Scholar]
- Yasuna, K.; Tarauchi, M.; Otsuki, A.; Ishihara, K.N.; Shingu, P.H. Bulk metallic multilayers produced by repeated press-rolling and their perpendicular magnetoresistance. J. App. Phys. 1997, 82, 2435–2438. [Google Scholar] [CrossRef]
- Huang, B.; Ishihara, K.N.; Shingu, P.H. Bulk nano-scale Fe/Cu multilayers produced by repeated pressing-rolling and their magnetoresistance. J. Mater. Sci. Lett. 2000, 19, 1763–1765. [Google Scholar] [CrossRef]
- Shtansky, D.V.; Kaneko, K.; Ikuhara, Y.; Levashov, E.A. Characterization of nanostructured multiphase Ti-Al-B-N thin films with extremely small grain size. Surf. Coat. Technol. 2001, 148, 206–215. [Google Scholar] [CrossRef]
- Glezer, A.M.; Manaenkov, S.E.; Permyakova, I.E. Structural mechanisms of plastic deformation of amorphous alloys containing crystalline nanoparticles. Bull. Russ. Acad. Sci. Phys. 2007, 71, 1702–1707. [Google Scholar] [CrossRef]
- Glezer, A.M.; Shurygina, N.A.; Zaichenko, S.G.; Permyakova, I.E. Interaction of deformation shear bands with nanoparticles in amorphous-nanocrystalline alloys. Russ. Metall. 2013, 2013, 235–244. [Google Scholar] [CrossRef]
- Permyakova, I.E.; Glezer, A.M.; Grigorovich, K.V. Deformation behavior of amorphous Co-Fe-Cr-Si-B alloys in the initial stages of severe plastic deformation. Bull. Russ. Acad. Sci. Phys. 2014, 78, 996–1000. [Google Scholar] [CrossRef]
- Gogotsi, G.A. Fracture resistance of ceramics: Base diagram and R-line. Strength Mater. 2006, 38, 261–270. [Google Scholar] [CrossRef]
- Schuller, I.K. New class of layered materials. Phys. Rev. Lett. 1980, 44, 1597–1600. [Google Scholar] [CrossRef]
- Beyerlein, I.J.; Mara, N.A.; Carpenter, J.S.; Nizolek, T.; Mook, W.M.; Wynn, T.A.; McCabe, R.J.; Mayeur, J.R.; Kang, K.; Zheng, S.; et al. Interface-driven microstructure development and ultra-high strength of bulk nanostructured Cu-Nb multilayers fabricated by severe plastic deformation. J. Mater. Res. 2013, 28, 1799–1812. [Google Scholar] [CrossRef]
- Carpenter, J.S.; Vogel, S.C.; LeDonne, J.E.; Hammon, D.L.; Beyerlein, I.J.; Mara, N.A. Bulk texture evolution of Cu-Nb nanolamellar composites during accumulative roll bonding. Acta Mater. 2012, 60, 1576–1586. [Google Scholar] [CrossRef]
- Betekhtin, V.I.; Kolobov, Y.R.; Kardashev, B.K.; Golosov, E.V.; Narykova, M.V.; Kadomtsev, A.G.; Klimenko, D.N.; Karpov, M.I. Elasto-plastic properties of Cu-Nb nanolaminate. Tech. Phys. Lett. 2012, 38, 144–146. [Google Scholar] [CrossRef][Green Version]
- Ekiz, E.H.; Lach, T.G.; Averback, R.S.; Mara, N.A.; Beyerlein, I.J.; Pouryazdan, M.; Hahn, H.; Bellon, P. Microstructural evolution of nanolayered Cu-Nb composites subjected to high-pressure torsion. Acta Mater. 2014, 72, 178–191. [Google Scholar] [CrossRef]
- Lipnitskii, A.G.; Nelasov, I.V.; Golosov, E.V.; Kolobov, Y.R.; Maradudin, D.N. A Molecular-dynamics simulation of grain-boundary diffusion of niobium and experimental investigation of its recrystallization in a niobium-copper system. Russ. Phys. J. 2013, 56, 330–337. [Google Scholar] [CrossRef]
- Lipnitskii, A.G.; Nelasov, I.V.; Klimenko, D.N.; Mapadudin, D.N.; Kolobov, Y.P. Moleculardynamical simulation of multilayered Cu/Nb composite. Materialovedenie 2009, 6, 7–10. [Google Scholar]
- Nelasov, I.V.; Lipnitskii, A.G.; Kolobov, Y.R. Study of the evolution of the Cu/Nb interphase boundary by the molecular dynamics method. Russ. Phys. J. 2009, 52, 1193–1198. [Google Scholar] [CrossRef]
- Wei, S.; Oyanagi, H.; Wen, C.; Yang, Y.; Liu, W. Metastable structures of immiscible FexCu100-x system induced by mechanical alloying. J. Phys. Condens. Matter. 1997, 9, 11077–11083. [Google Scholar] [CrossRef]
- Advani, A.H.; Thadhani, N.N. Shock-induced reaction synthesis of isomorphous (Cu-Ni) and immiscible (Cu-Nb) compounds. Metall. Mater. Trans. A 1999, 30, 1367–1379. [Google Scholar] [CrossRef]

















| Layer Thickness, nm | Number of Full Revolutions | Logarithmic True Strain, e |
|---|---|---|
| 200 | 0 | - |
| 180 | 1/2 | 4.61 |
| 130 | 1 | 5.42 |
| 100 | 2 | 6.33 |
| 50 | 3 | 6.54 |
| 20 | 4 | 6.83 |
© 2020 by the authors. Licensee MDPI, Basel, Switzerland. This article is an open access article distributed under the terms and conditions of the Creative Commons Attribution (CC BY) license (http://creativecommons.org/licenses/by/4.0/).
Share and Cite
Permyakova, I.; Glezer, A. Amorphous-Nanocrystalline Composites Prepared by High-Pressure Torsion. Metals 2020, 10, 511. https://doi.org/10.3390/met10040511
Permyakova I, Glezer A. Amorphous-Nanocrystalline Composites Prepared by High-Pressure Torsion. Metals. 2020; 10(4):511. https://doi.org/10.3390/met10040511
Chicago/Turabian StylePermyakova, Inga, and Alex Glezer. 2020. "Amorphous-Nanocrystalline Composites Prepared by High-Pressure Torsion" Metals 10, no. 4: 511. https://doi.org/10.3390/met10040511
APA StylePermyakova, I., & Glezer, A. (2020). Amorphous-Nanocrystalline Composites Prepared by High-Pressure Torsion. Metals, 10(4), 511. https://doi.org/10.3390/met10040511

