The Effect of Heat Treatment on the Oxidation Resistance of Cobalt-Based Superalloys
Abstract
1. Introduction
2. Materials and Methods
3. Results and Discussion
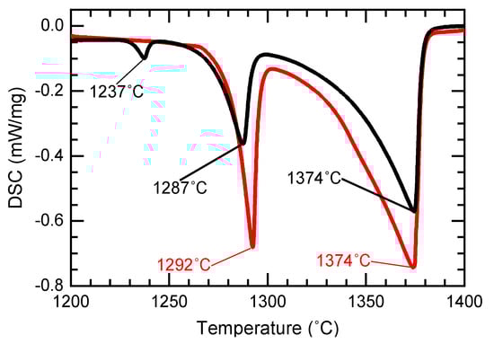
3.1. As-Cast Co-101 Microstructure
3.2. Microstructural Modification of Co-101 by Heat Treatment
3.3. Oxidation of Co-101
3.4. Microstructure of Stellite-21
3.5. Oxidation of Stellite-21
4. Conclusions
- (1)
- The long, continuous carbide networks present in the as-cast microstructures act as preferential sites for oxidation attack.
- (2)
- The interdendritic M7C3 carbides in alloys with high C content (e.g., Co-101) cannot be fully solutioned and redistributed. Thus, oxidation attack along the interdendritic carbide network persists.
- (3)
- The interdendritic carbides in alloys with lower C content (e.g., Stellite-21) can be effectively dissolved and re-precipitated. This allows the carbide continuity to be significantly decreased, thereby eliminating significant attack along the interdendritic regions. However, damage to similar depths still occurs as a result of oxidation of grain boundary carbides.
- (4)
- The redistribution of C through heat treatments of this type adversely affected the ability of the alloy to form a compact, protective chromia layer, leading to a thicker external oxide scale and increased mass gain rates.
Author Contributions
Acknowledgments
Conflicts of Interest
References
- Liu, R.; Yao, M.X.; Wu, X.J. Influence of carbon content in cobalt-based superalloys on mechanical and wear properties. J. Eng. Mater. Technol. 2004, 126, 204–212. [Google Scholar] [CrossRef]
- Riddihough, M. Stellite as a wear-resistant material. Tribology 1970, 3, 211–215. [Google Scholar] [CrossRef]
- Shin, J.-C.; Doh, J.-M.; Yoon, J.-K.; Lee, D.-Y.; Kim, J.-S. Effect of molybdenum on the microstructure and wear resistance of cobalt-base Stellite hardfacing alloys. Surf. Coat. Technol. 2003, 166, 117–126. [Google Scholar] [CrossRef]
- Pettit, F.S.; Meier, G.H. Oxidation and Hot Corrosion of Superalloys. In Proceedings of the Fifth International Symposium on Superalloys, Seven Springs Mountain Resort, Champion, PA, USA, 7–11 October 1984; pp. 651–687. [Google Scholar]
- Zhang, X.Z.; Liu, R.; Chen, K.Y.; Yao, M.X. Pitting corrosion characterization of wrought Stellite alloys in Green Death Solution with immersion test and extreme value analysis model. J. Mater. Eng. Perform. 2014, 23, 1718–1725. [Google Scholar] [CrossRef]
- Rosalbino, F.; Scavino, G. Corrosion behaviour assessment of cast and HIPed Stellite 6 alloy in a chloride-containing environment. Electrochim. Acta 2013, 111, 656–662. [Google Scholar] [CrossRef]
- Yao, M.X.; Wu, J.B.C.; Xie, Y. Wear, corrosion and cracking resistance of some W- or Mo-containing Stellite hardfacing alloys. Mater. Sci. Eng. A 2005, 407, 234–244. [Google Scholar] [CrossRef]
- Sims, C.T.; Stoloff, N.S.; Hagel, W.C. Superalloys II, 2nd ed.; John Wiley & Sons: Hoboken, NJ, USA, 1987. [Google Scholar]
- Donachie, M.J.; Donachie, S.J. Superalloys: A Technical Guide, 2nd ed.; ASM International: Philadelphia, PA, USA, 2002. [Google Scholar]
- Coutsouradis, D.; Davin, A.; Lamberigts, M. Cobalt-based superalloys for applications in gas turbines. Mater. Sci. Eng. 1987, 88, 11–19. [Google Scholar] [CrossRef]
- Steinmetz, P.; Rapin, C. Corrosion of high temperature alloys by molten glass. Mat. Sci. Forum 2001, 369–372, 865–872. [Google Scholar] [CrossRef]
- Zaman, H.A.; Sharif, S.; Kim, D.-W.; Idris, M.H.; Suhaimi, M.A.; Tumurkhuyag, Z. Machinability of Cobalt-based and Cobalt Chromium Molybdenum Alloys—A Review. Procedia Manuf. 2017, 11, 563–570. [Google Scholar] [CrossRef]
- Helmink, R.C. The golden age of cast structural superalloys. In Proceedings of the Eighth International Symposium on Superalloy 718 and Derivatives, Pittsburgh, PA, USA, 28 September–1 October 2014; pp. 171–180. [Google Scholar]
- Birks, N.; Meier, G.H.; Pettit, F.S. Introduction to the High Temperature Oxidation of Metals, 2nd ed.; Cambridge University Press: Cambridge, UK, 2006. [Google Scholar]
- Sullivan, C.P.; Donachie, M.J.; Morral, F.R. Cobalt-Base Superalloys-1970; Centre d’Information du Cobalt: Brussels, Belgium, 1970. [Google Scholar]
- Jiang, W.H.; Yao, X.D.; Guan, H.R.; Hu, Z.Q.; Jiang, W.H. Secondary carbide precipitation in a directionally solified cobalt-base superalloy. Metall. Mater. Trans. A 1999, 30, 513–520. [Google Scholar] [CrossRef]
- Di Martino, J.; Rapin, C.; Berthod, P.; Podor, R.; Steinmetz, P. Corrosion of metals and alloys in molten glasses. Part 2: Nickel and cobalt high chromium superalloys behaviour and protection. Corros. Sci. 2004, 46, 1865–1881. [Google Scholar] [CrossRef]
- Gabb, T.P.; Telesman, J.; Hazel, B.; Mourer, D.P. The effects of hot corrosion pits on the fatigue resistance of a disk superalloy. J. Mater. Eng. Perform. 2009, 19, 77–89. [Google Scholar] [CrossRef]
- Di Martino, J.; Rapin, C.; Berthod, P.; Podor, R.; Steinmetz, P. Corrosion of metals and alloys in molten glasses. Part 1: Glass electrochemical properties and pure metal (Fe, Co, Ni, Cr) behaviours. Corros. Sci. 2004, 46, 1849–1864. [Google Scholar] [CrossRef]
- Radu, I.; Llewellyn, D.Y. Tribological behavior of Stellite 21 modified with yttrium. Wear 2004, 257, 1154–1166. [Google Scholar] [CrossRef]
- Sims, C.T. A contemporary view of cobalt-base alloys. JOM 1969, 12, 27–42. [Google Scholar] [CrossRef]
- Berthod, P. High temperature properties of several chromium-containing Co-based alloys reinforced by different types of MC carbides (M = Ta, Nb, Hf and/or Zr). J. Alloys Compd. 2009, 481, 746–754. [Google Scholar] [CrossRef]
- Berthod, P. Looking for New Polycrystalline MC-Reinforced Cobalt-Based Superalloys Candidate to Applications at 1200 °C. Adv. Mater. Sci. Eng. 2017, 4145369. [Google Scholar] [CrossRef]
- Schneider, C.A.; Rasband, W.S.; Eliceiri, K.W. NIH Image to ImageJ: 25 years of image analysis. Nat. Methods 2012, 9, 671–675. [Google Scholar] [CrossRef]
- Hitzenberger, C.; Karnthaler, H.P. Weak-beam TEM study of the h.c.p. to f.c.c. martensitic phase transformation lamellae in CoNi. Philos. Mag. A 1991, 64, 151–163. [Google Scholar] [CrossRef]
- Tawancy, H.M. Microstructural Characterization of the face-centered cubic-to-hexagonal close-packed transition in a cobalt-base alloy and its effect on mechanical strength. Metallogr. Microstruct. Anal. 2018, 7, 288–297. [Google Scholar] [CrossRef]
- Giacchi, J.V.; Morando, C.N.; Fornaro, O.; Palacio, H.A. Microstructural characterization of as-cast biocompatible Co-Cr-Mo alloys. Mater. Charact. 2011, 62, 53–61. [Google Scholar] [CrossRef]
- Park, J.B.; Jung, K.-H.; Kim, K.M.; Son, Y.; Lee, J.I.; Ryu, J.H. Microstructure of As-cast Co-Cr-Mo Alloy Prepared by Investment Casting. J. Korean Phys. Soc. 2018, 72, 947–951. [Google Scholar] [CrossRef]
- Ahmed, R.; de Villiers Lovelock, H.L.; Faisal, N.H.; Davies, S. Structure-property relationships in a CoCrMo alloy at micro and nano-scales. Tribol. Int. 2014, 80, 98–114. [Google Scholar] [CrossRef]
- Liu, R.; Yao, J.H.; Zhang, Q.L.; Yao, M.X.; Collier, R. Microstructures and hardness/wear performance of high-carbon Stellite Alloys Containing molybdenum. Metall. Mater. Trans. A 2015, 46, 5504–5513. [Google Scholar] [CrossRef]
- Krell, J.; Röttger, A.; Theisen, W. Comprehensive investigation of the microstructure-property relationship of differently manufactured Co-Cr-C alloys at room and elevated temperatures. Wear 2020, 444–445, 203138. [Google Scholar] [CrossRef]
- Taylor, R.N.J.; Waterhouse, R.B. A study of the ageing behaviour of a cobalt based implant alloy. J. Mater. Sci. 1983, 18, 3265–3280. [Google Scholar] [CrossRef]
- Smigelskas, A.D. Zinc diffusion in alpha brass. Trans. AIME 1947, 171, 130–142. [Google Scholar]
- Ennis, P.J.; Quadakkers, W.J.; Schuster, H. The effect of selective oxidation of chromium on the creep strength of alloy 617. J. Phys. IV 1993, 3, C9-979–C9-986. [Google Scholar] [CrossRef]
- Huntz, A.M.; Schütze, M. Stresses generated during oxidation sequences and high temperature fracture. Mater. High Temp. 1994, 12, 151–161. [Google Scholar] [CrossRef]
- Cáceres-Díaz, L.A.; Alvarado-Orozco, J.M.; Ruiz-Luna, H.; García-Herrera, J.E.; Mora-García, A.G.; Trápaga-Martinez, G.; Arroyave, R.; Muñoz-Saldaña, J. Study of the Isothermal Oxidation Process and Phase Transformations in B2-(Ni,Pt)Al/RENE-N5 System. Metals 2016, 6, 208. [Google Scholar] [CrossRef]
- Susan, D.F.; Knorovsky, G.A.; Robino, C.V.; Michael, J.R.; Rodriguez, M.A.; Perricone, M.J. Surface alloy depletion and martensite formation during glass to metal joining of austenitic stainless steels. Sci. Technol. Weld. Join. 2012, 17, 321–332. [Google Scholar] [CrossRef]
- Weißensteiner, I.; Petersmann, M.; Erdely, P.; Stark, A.; Antretter, T.; Clemens, H.; Maier-Kiener, V. Deformation-induced phase transformation in a Co-Cr-W-Mo alloy studied by high-energy X-ray diffraction during in-situ compression tests. Acta Mater. 2019, 164, 272–282. [Google Scholar] [CrossRef]
- Liu, R.; Yao, J.H.; Zhang, Q.L.; Yao, M.X.; Collier, R. Relations of chemical composition to solidification behavior and associated microstructure of Stellite Alloys. Metallogr. Microstruct. Anal. 2015, 4, 146–157. [Google Scholar] [CrossRef]
- Kontis, P.; Li, Z.; Segersäll, M.; Moverare, J.J.; Reed, R.C.; Raabe, D.; Gault, B. The role of oxidized carbides on thermal-mechanical performance of polycrystalline superalloys. Metall. Mater. Trans. A 2018, 49, 4236–4245. [Google Scholar] [CrossRef]
- Gui, W.; Zhang, H.; Yang, M.; Jin, T.; Sun, X.; Zheng, Q. Influence of type and morphology of carbides on stress-rupture behavior of a cast cobalt-base superalloy. J. Alloys Compd. 2017, 728, 145–151. [Google Scholar] [CrossRef]
- Jiang, W.H.; Guan, H.R.; Hu, Z.Q. Development of a heat treatment for a directionally solidified cobalt-base superalloy. Metall. Mater. Trans. A 1999, 30, 2251–2254. [Google Scholar] [CrossRef]













| Alloy | Co | Cr | Ni | Mo | Fe | Si | Mn | C | W | ||
|---|---|---|---|---|---|---|---|---|---|---|---|
| Co-101 | Nominal | (wt.%) | Bal. | 30.0 | 10.0 | 5.00 | 3.00 | 0.600 | 0.500 | 0.500 | - |
| (at.%) | Bal. | 32.4 | 9.57 | 2.93 | 3.02 | 1.20 | 0.511 | 2.34 | - | ||
| EDX | (wt.%) | Bal. | 33.86 | 9.87 | 4.89 | 1.15 | 0.72 | 0.63 | - | - | |
| (at.%) | Bal. | 37.06 | 9.56 | 2.90 | 1.18 | 1.45 | 0.66 | - | - | ||
| Stellite-21 | Nominal | (wt.%) | Bal. | 29.0 | 2.80 | 5.30 | 2.00 | 1.00 | 0.700 | 0.280 | 0.400 |
| (at.%) | Bal. | 31.6 | 2.70 | 3.13 | 2.03 | 2.02 | 0.723 | 1.32 | 0.123 | ||
| EDX | (wt.%) | Bal. | 28.61 | 2.79 | 5.37 | 2.26 | 0.94 | 0.75 | - | 0.34 | |
| (at.%) | Bal. | 31.56 | 2.72 | 3.21 | 2.32 | 1.92 | 0.79 | - | 0.11 | ||
© 2020 by the authors. Licensee MDPI, Basel, Switzerland. This article is an open access article distributed under the terms and conditions of the Creative Commons Attribution (CC BY) license (http://creativecommons.org/licenses/by/4.0/).
Share and Cite
Moffat, J.P.; Whitfield, T.E.; Christofidou, K.A.; Pickering, E.J.; Jones, N.G.; Stone, H.J. The Effect of Heat Treatment on the Oxidation Resistance of Cobalt-Based Superalloys. Metals 2020, 10, 248. https://doi.org/10.3390/met10020248
Moffat JP, Whitfield TE, Christofidou KA, Pickering EJ, Jones NG, Stone HJ. The Effect of Heat Treatment on the Oxidation Resistance of Cobalt-Based Superalloys. Metals. 2020; 10(2):248. https://doi.org/10.3390/met10020248
Chicago/Turabian StyleMoffat, James P., Tamsin E. Whitfield, Katerina A. Christofidou, Ed J. Pickering, Nicholas G. Jones, and Howard J. Stone. 2020. "The Effect of Heat Treatment on the Oxidation Resistance of Cobalt-Based Superalloys" Metals 10, no. 2: 248. https://doi.org/10.3390/met10020248
APA StyleMoffat, J. P., Whitfield, T. E., Christofidou, K. A., Pickering, E. J., Jones, N. G., & Stone, H. J. (2020). The Effect of Heat Treatment on the Oxidation Resistance of Cobalt-Based Superalloys. Metals, 10(2), 248. https://doi.org/10.3390/met10020248

