Validity and Reliability Studies of the Üsküdar Jealousy Scale and the Effect of Social Media on Jealousy
Abstract
1. Introduction
1.1. Approaches to Cause of Jealousy
1.2. Studies on Measurement Tools for Jealousy
2. Methodology
2.1. Ethical Approval
2.2. Participants
2.3. Data Collection Tools
2.4. Inclusion/Exclusion Criteria
2.5. Procedure
2.6. Data Analysis and Statistical Analysis
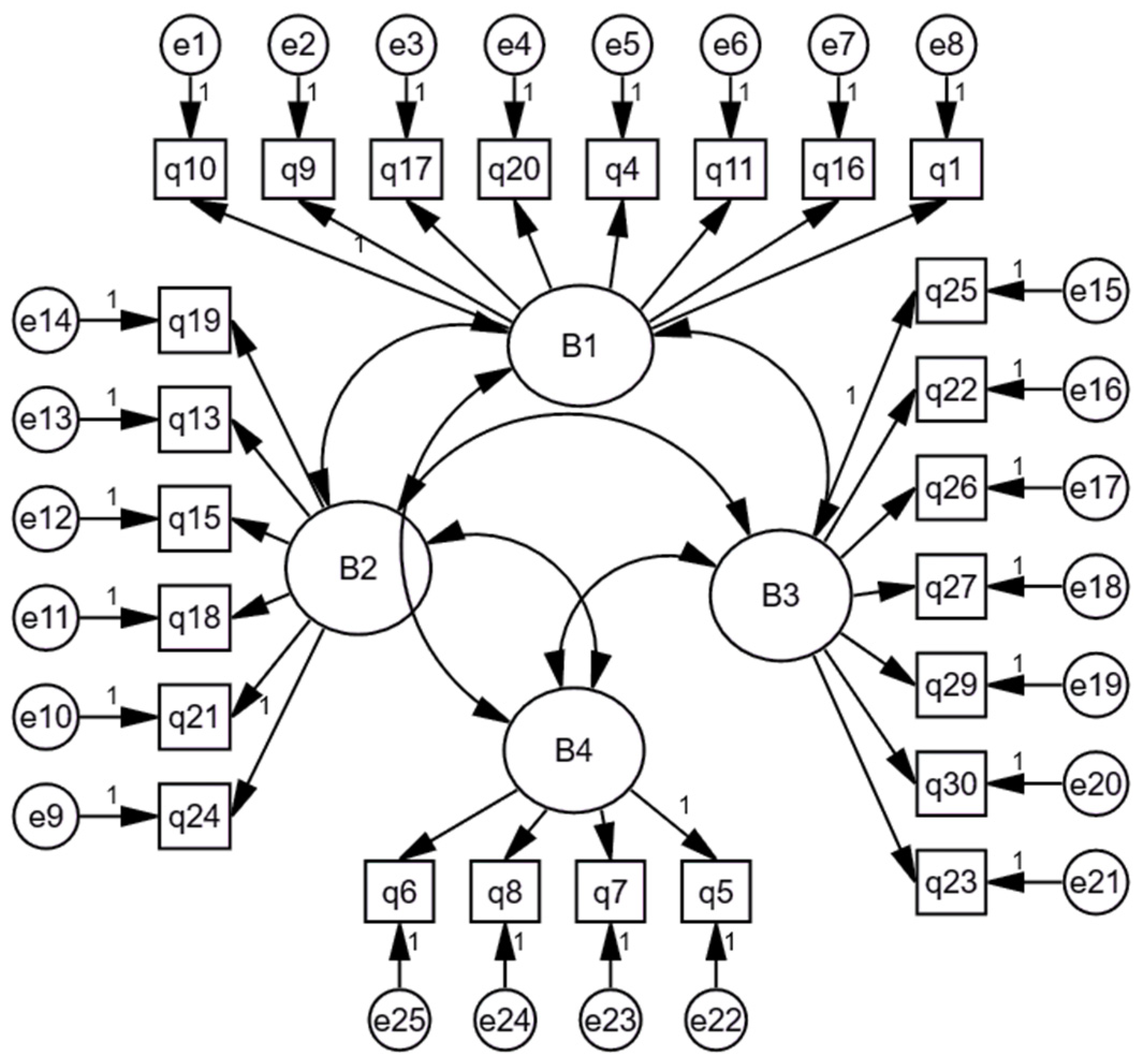
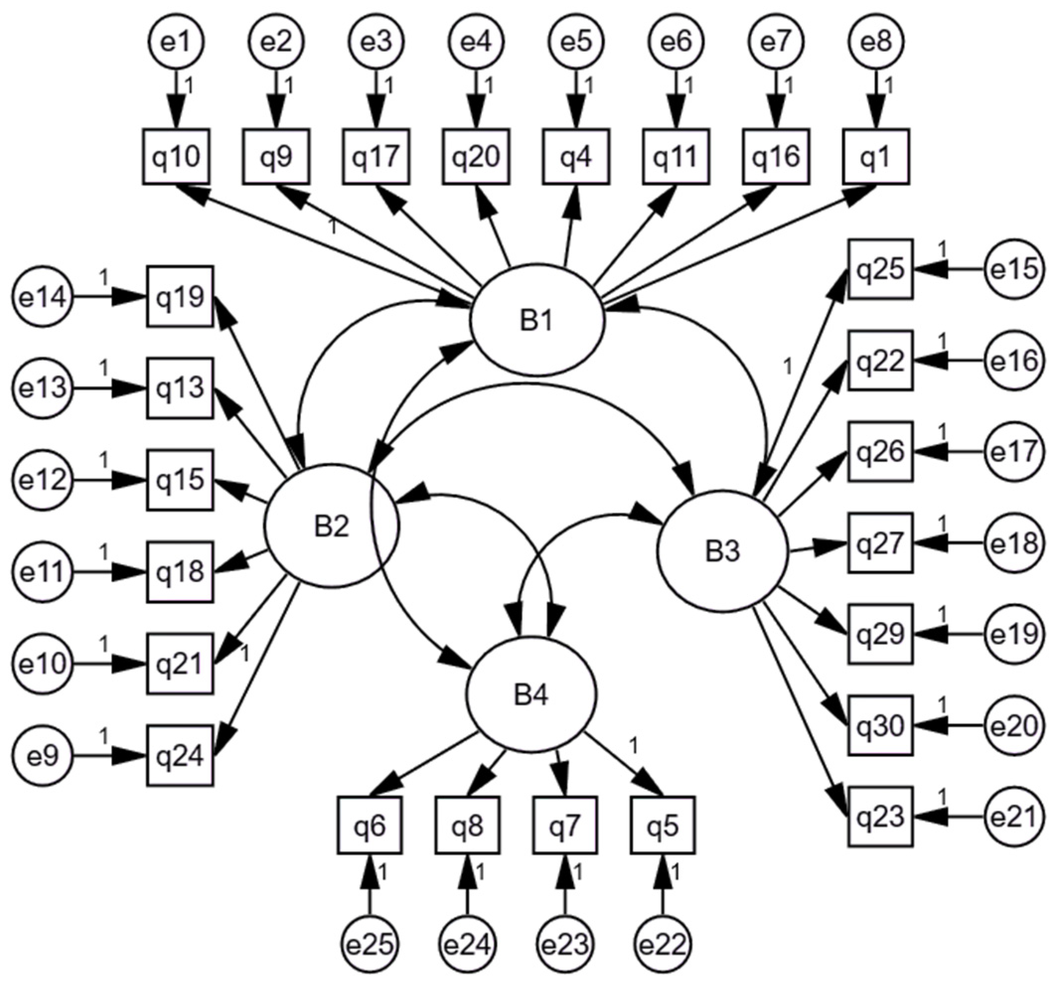
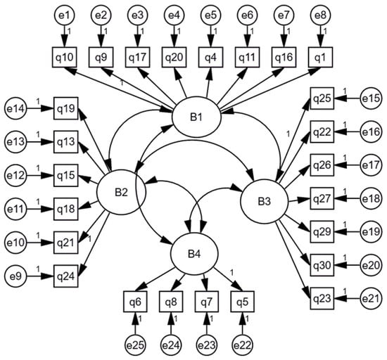
3. Results
4. Discussion and Conclusions
Author Contributions
Funding
Institutional Review Board Statement
Informed Consent Statement
Data Availability Statement
Conflicts of Interest
Appendix A. Üsküdar Jealousy Scale
| Item No. | Items | Never | Rarely | Sometimes | Often | Always |
| 1 | It bothers me when someone else shows interest in the person I love. | 1 | 2 | 3 | 4 | 5 |
| 2 | It bothers me when the person I love shows interest in someone else. | 1 | 2 | 3 | 4 | 5 |
| 3 | It bothers me when the person I love spends more time with his/her friends than with me. | 1 | 2 | 3 | 4 | 5 |
| 4 | I want the person I love to spend most of his/her time with me. | 1 | 2 | 3 | 4 | 5 |
| 5 | If the person I am jealous of is close to me, I want him/her to only care about me. | 1 | 2 | 3 | 4 | 5 |
| 6 | I express my jealousy as anger or resentment. | 1 | 2 | 3 | 4 | 5 |
| 7 | I find it problematic when my loved one talks on the phone for long periods of time and shows excessive interest in someone else. | 1 | 2 | 3 | 4 | 5 |
| 8 | I get hurt when I do not get enough attention. | 1 | 2 | 3 | 4 | 5 |
| 9 | If the person I love loses interest in me, I immediately think that I am being cheated on. | 1 | 2 | 3 | 4 | 5 |
| 10 | I have an imaginary fear of being cheated on, and my mind is very busy with this. | 1 | 2 | 3 | 4 | 5 |
| 11 | From time to time, I experience storms of doubt. | 1 | 2 | 3 | 4 | 5 |
| 12 | I often experience the feeling of being unloved, and I even want to know the dreams of the person I love. | 1 | 2 | 3 | 4 | 5 |
| 13 | If the person I love does not do everything I say, I start to doubt him/her. | 1 | 2 | 3 | 4 | 5 |
| 14 | It makes me suspicious when my loved one constantly works overtime. | 1 | 2 | 3 | 4 | 5 |
| 15 | I sometimes wish for the person I envy to be in a bad situation. | 1 | 2 | 3 | 4 | 5 |
| 16 | I deal a lot with the flaws of the person who makes me jealous, and I am happy when he/she gets hurt. | 1 | 2 | 3 | 4 | 5 |
| 17 | I think of myself as not being a jealous person at all, but I also get sad when I see someone I do not like happy. | 1 | 2 | 3 | 4 | 5 |
| 18 | If the person I envy is in trouble, I feel joy. | 1 | 2 | 3 | 4 | 5 |
| 19 | I have made moves to harm someone I saw as a rival. | 1 | 2 | 3 | 4 | 5 |
| 20 | If the person I see as a rival treats me well, I question his/her intentions. | 1 | 2 | 3 | 4 | 5 |
| 21 | In the face of problems, I cannot say, “Part of the blame is on me”. | 1 | 2 | 3 | 4 | 5 |
| 22 | I always want to be liked, if not I get angry. | 1 | 2 | 3 | 4 | 5 |
| 23 | I attach importance to being noticed in my environment. | 1 | 2 | 3 | 4 | 5 |
| 24 | I tend to overreact to situations. | 1 | 2 | 3 | 4 | 5 |
| 25 | I always want to be trusted; I often question loyalty. | 1 | 2 | 3 | 4 | 5 |
| Items 1–8 are related to the first factor “Relationship-Damaging Jealousy”; Items 9–14 are related to the second factor “Destructive Jealousy”; Items 15–21 are related to the third factor “Hostile Jealousy”; Items 22–25 are related to the fourth factor “Controlled Jealousy”. Evaluation: On the scale where 25–125 points can be obtained; 25–44 are “None”; 45–65 are “Low Level”; 66–85 are “Medium Level”; 86–105 are “High Level”; 106–125 are “Very High Level”. Relationship-Damaging Jealousy; 8–40 points can be obtained; 8–13 are “None”; 14–20 are “Low Level”; 21–27 are “Medium Level”; 28–34 are “High Level”; 35–40 are “Very High Level”. Destructive Jealousy; 6–30 points can be obtained; 6–10 are “None”; 11–15 are “Low Level”; 16–20 are “Medium Level”; 21–25 are “High Level”; 26–30 are “Very High Level”. Hostile Jealousy; 7–35 points can be obtained; 7–12 are “None”; 13–18 are “Low Level”; 19–24 are “Medium Level”; 25–30 are “High Level”; 31–35 are “Very High Level”. Controlled Jealousy; 4–20 points can be obtained; 4–6 are “None”; 7–10 are “Low Level”; 11–14 are “Medium Level”; 15–17 are “High Level”; 18–20 are “Very High Level”. Note: If the score obtained from the scale is in the “None” range, it can be evaluated as “Peaceful Jealousy”. | ||||||
References
- Kim, H.J.J.; Hupka, R.B. Comparison of associative meaning of the concepts of anger, envy, fear, romantic jealousy, and sadness between English and Korean. Cross-Cult. Res. 2002, 36, 229–255. [Google Scholar] [CrossRef]
- Parrott, W.G.; Smith, R.H. Distinguishing the experiences of envy and jealousy. J. Personal. Soc. Psychol. 1993, 64, 906. [Google Scholar] [CrossRef]
- Pines, A.M. Romantic Jealousy: Causes, Symptoms, Cures; Routledge: New York, NY, USA, 1998. [Google Scholar]
- White, G.L.; Mullen, P.E. Jealousy: Theory, Research, and Clinical Strategies; Guilford Press: New York, NY, USA, 1989. [Google Scholar]
- Lazarus, R.S. Thoughts on the relations between emotion and cognition. In Approaches to Emotion; Shearer, K.R., Ekman, P., Eds.; Lawrence Erlbaum Associates Publishers: Hillsdale, MI, USA, 1984; pp. 247–258. [Google Scholar]
- Pfeiffer, S.M.; Wong, P.T.P. Multidimensional jealousy. J. Soc. Pers. Relatsh. 1989, 6, 181–196. [Google Scholar] [CrossRef]
- Guerrero, L.K.; Eloy, S.V. Relational satisfaction and jealousy across marital types. Commun. Rep. 1992, 5, 23–31. [Google Scholar] [CrossRef]
- Guerrero, L.K.; Andersen, P.A.; Jorgensen, P.F.; Eloy, S.V. Coping with the greeneyed monster: Conceptualizing and measuring communicative responses to romantic jealousy. West. J. Commun. 1995, 59, 270–304. [Google Scholar] [CrossRef]
- Guerrero, L.K.; Andersen, P.A. Jealousy experience and expression in romantic relationships. In Handbook of Communication and Emotion: Research, Theory, Applications, and Contexts; Andersen, P.A., Guerrero, L.K., Eds.; Academic Press: New York, NY, USA, 1998; pp. 155–188. [Google Scholar]
- White, G.L. A model of romantic jealousy. Motiv. Emot. 1981, 5, 295–310. [Google Scholar] [CrossRef]
- Salovey, P. The Psychology of Jealousy and Envy; The Gilford Press: New York, NY, USA, 1991. [Google Scholar]
- White, G.L. Some correlates of romantic jealousy. J. Personal. 1981, 49, 129–147. [Google Scholar] [CrossRef]
- Pines, A.M.; Bowes, C.F. Romantic jealousy. Psychol. Today 1992, 25, 48–56. [Google Scholar]
- Spielman, P.M. Envy and jealousy an attempt at clarification. Psychoanal. Q. 1971, 40, 59–82. [Google Scholar] [CrossRef]
- Koçak, D. Academic jealousy scale: Validity and reliability study. J. Meas. Eval. Educ. Psychol. 2019, 10, 467–479. [Google Scholar] [CrossRef]
- Tarhan, N. Kötülük Psikolojisi, Toksik Ilişkiler, Şeytan Nerede? Dürtüleri ve Eylemleri Tanımak [Psychology of Evil, Toxic Relationships, Where Is the Devil? Recognizing Impulses and Actions]; Timaş Publishing: Istanbul, Türkiye, 2024. [Google Scholar]
- Mead, M. Jealousy: Primitive and civilized. In Jealousy; Clanton, G., Smith, L.G., Eds.; Prentice Hall: Englewood Cliffs, NJ, USA, 1977; pp. 115–127. [Google Scholar]
- Schmitt, B.H. Social comparison in romantic jealousy. Personal. Soc. Psychol. Bull. 1988, 14, 374–387. [Google Scholar] [CrossRef]
- Greenberg, J.; Pyszczynski, T. Proneness to romantic jealousy and responses to jealousy in others. J. Personal. 1985, 53, 468–479. [Google Scholar] [CrossRef]
- Mathes, E.W. Jealousy: The Psychological Data; University Press of America: New York, NY, USA, 1992. [Google Scholar]
- Costa, A.L.; Sophia, E.C.; Sanches, C.; Tavares, H.; Zilberman, M.L. Pathological jealousy: Romantic relationship characteristics, emotional and personality aspects, and social adjustment. J. Affect. Disord. 2015, 174, 38–44. [Google Scholar] [CrossRef]
- López-Ossorio, J.J.; González-Álvarez, J.L.; Buquerín-Pascual, S.; García-Rodríguez, L.F.; Buela-Casal, G. Risk factors related to intimate partner violence police recidivism in Spain. Int. J. Clin. Health Psychol. 2017, 17, 107–119. [Google Scholar] [CrossRef]
- Rentzsch, K.; Schröder-Abé, M.; Schütz, A. Envy mediates the relation between low academic selfesteem and hostile tendencies. J. Res. Personal. 2015, 58, 143–153. [Google Scholar] [CrossRef]
- Ureña, J.; Romera, E.M.; Casas, J.A.; Viejo, C.; Ortega-Ruiz, R. Psychometric properties of Psychological Dating Violence Questionnaire: A study with young couples. Int. J. Clin. Health Psychol. 2015, 15, 52–60. [Google Scholar] [CrossRef]
- Pazos, M.; Oliva, A.; Gómez, A.H. Violencia en relaciones de pareja de jóvenes y adolescentes. Rev. Latinoam. Psicol. 2014, 46, 148–159. [Google Scholar] [CrossRef]
- Penado-Abillerira, M.; Rodicio-García, M. Análisis del autoconcepto en las víctimas de violencia de género entre adolescentes. Suma Psicol. 2017, 24, 107–114. [Google Scholar] [CrossRef]
- Ellsberg, M.; Jansen, H.A.; Heise, L.; Watts, C.H.; Garcia-Moreno, C.; WHO Multi-country Study on Women’s Health and Domestic Violence against Women Study Team. Intimate partner violence and women’s physical and mental health in the WHO multi-country study on women’s health and domestic violence: An observational study. Lancet 2008, 371, 1165–1172. [Google Scholar] [CrossRef] [PubMed]
- Köse, A.; Beşer, A. Women’s fate violence. Anadolu Hemşirelik Sağlık Bilim. Derg. 2007, 10, 114–121. [Google Scholar]
- Pico-Alfonso, M.A.; Garcia-Linares, M.I.; Celda-Navarro, N.; Blasco-Ros, C.; Echeburúa, E.; Martinez, M. The impact of physical, psychological, and sexual intimate male partner violence on women’s mental health: Depressive symptoms, posttraumatic stress disorder, state anxiety, and suicide. J Womens Health 2006, 15, 599–611. [Google Scholar] [CrossRef]
- UNFPA-TKDF. Domestic Violence Report. 2023. Available online: https://turkiye.unfpa.org/tr/news/unfpa-tkdf-ev-i%CC%87%C3%A7i-%C5%9Fiddet-raporu-a%C3%A7%C4%B1kland%C4%B1 (accessed on 1 September 2024).
- Massé, L.; Gagné, F. Gifts and talents as sources of envy in high school settings. Gift. Child Q. 2002, 46, 15–29. [Google Scholar] [CrossRef]
- González-Navarro, P.; Zurriaga-Llorens, R.; Tosin-Olateju, A.; Llinares-Insa, L.I. Envy and counterproductive work behavior: The moderation role of leadership in public and private organizations. Int. J. Environ. Res. Public Health 2018, 15, 1455. [Google Scholar] [CrossRef]
- Buss, D.; Larsen, R.; Westen, D.; Semmelroth, J. Sex differences in jealousy: Evolution, physiology, and psychology. Psychol. Sci. 1992, 3, 251–255. [Google Scholar] [CrossRef]
- Fernández, A.M.; Vera-Villarroel, P.; Sierra, J.C.; Zubeidat, I. Distress in response to emotional and sexual infidelity: Evidence of evolved gender differences in Spanish students. J. Psychol. 2007, 14, 17–24. [Google Scholar] [CrossRef] [PubMed]
- Sagarin, B.J.; Martin, A.L.; Coutinho, S.A.; Edlund, J.E.; Patel, L.; Skowronski, J.J.; Zengel, B. Sex differences in jealousy: A meta-analytic examination. Evol. Hum. Behav. 2012, 33, 595–614. [Google Scholar] [CrossRef]
- Buunk, A.; Dijkstra, P. Rival characteristics that provoke jealousy: A study in Iraqi Kurdistan. Evol. Behav. Sci. 2015, 9, 116–127. [Google Scholar] [CrossRef]
- Miller, M.; Denes, A.; Díaz, B.; Buck, R. Attachment style predicts jealous reactions to viewing touch between a Romantic Partner and close friend: Implications for internet social communication. J. Nonverbal Behav. 2014, 38, 451–476. [Google Scholar] [CrossRef]
- Dandurand, C.; Lafontaine, M. Jealousy and couple satisfaction: A romantic attachment perspective. Marriage Fam. Rev. 2014, 50, 154. [Google Scholar] [CrossRef]
- DiBello, A.; Rodríguez, L.; Hadden, B.; Neighbors, C. The green eyed monster in the bottler: Relationship contingent self-esteem, romantic jealousy, and alcohol-related problems. Addict. Behav. 2015, 49, 52–58. [Google Scholar] [CrossRef]
- Rodríguez, L.; DiBello, A.; Neighbors, C. Positive and negative jealousy in the association between problem drinking and IPV perpetration. J. Fam. Violence 2015, 30, 987–997. [Google Scholar] [CrossRef] [PubMed]
- Utz, S.; Muscanell, N.; Khalid, C. Snapchat elicits more jealousy than Facebook: A comparison of Snapchat and Facebook use. Cyberpsychol. Behav. Soc. Netw. 2015, 18, 141–146. [Google Scholar] [CrossRef]
- Brewer, G.; Riley, C. Sexual dimorphism in stature (SDS), jealousy and mate retention. Evol. Psychol. 2010, 8, 530–544. [Google Scholar] [CrossRef]
- Clarke, J.; DeCicco, T.L.; Navara, G. An investigation among dreams with sexual imagery, romantic jealousy and relationship satisfaction. Int. J. Dream Res. 2010, 3, 54–59. [Google Scholar]
- Elphinston, R.A.; Feeney, J.A.; Noller, P. Measuring romantic jealousy: Validation of the multidimensional jealousy scale in Australian samples. Aust. J. Psychol. 2011, 63, 243–251. [Google Scholar] [CrossRef]
- Knoblach, L.K.; Solomon, D.H.; Cruz, M.G. The role of relationship development and attachment in the experience of romantic jealousy. Pers. Relatsh. 2001, 8, 205–224. [Google Scholar] [CrossRef]
- Lucas, C.; Pereira, H.; Esgalhado, G. Evaluation of romantic jealousy: Psychometric study of the multidimensional jealousy scale for the portuguese population. Psychol. Community Health 2012, 1, 151–162. [Google Scholar] [CrossRef]
- Stieger, S.; Preyss, A.V.; Voracek, M. Romantic jealousy and implicit and explicit self-esteem. Personal. Individ. Differ. 2012, 52, 51–55. [Google Scholar] [CrossRef]
- Tošić-Radev, M.; Hedrih, V. Psychometric properties of the Multidimensional Jealousy Scale (MJS) on a Serbian sample. Psihologija 2017, 50, 521–534. [Google Scholar] [CrossRef]
- Mattingly, B.A.; Whitson, D.; Mattingly, M.J.B. Development of the Romantic Jealousy-Induction Scale and the motives for inducing Romantic Jealousy Scale. Curr. Psychol. 2012, 31, 263–281. [Google Scholar] [CrossRef]
- Aydın, Y.E.; Uzun, N.B. Scale of Social Media Jealousy in Romantic Relationships (SSMJRR): A study of reliability and validity. OPUS Int. J. Soc. Res. 2021, 18, 7883–7911. [Google Scholar] [CrossRef]
- Martínez-León, N.C.; Mathes, E.; Avendaño, B.L.; Peña, J.J.; Sierra, J.C. Psychometric study of the Interpersonal Jealousy Scale in Colombian samples. Rev. Latinoam. De Psicol. 2018, 50, 21–30. [Google Scholar] [CrossRef]
- Martínez-León, N.C.; Peña, J.J.; Salazar, H.; García, A.; Sierra, J.C. A systematic review of romantic jealousy in relationships. Ter. Psicológica 2017, 35, 203–212. [Google Scholar] [CrossRef]
- Muise, A.; Christofides, E.; Desmarais, S. More information than you wanted: Does Facebook bring out the green-eyed monster of jealousy? Cyberpsychol. Behav. 2009, 13, 441–444. [Google Scholar] [CrossRef]
- Buunk, A. Personality, birth order and attachment styles as related to various types of jealousy. Personal. Individ. Differ. 1997, 22, 997–1006. [Google Scholar] [CrossRef]
- Buunk, B.P.; Dijkstra, P. Temptations and threat: Extradyadic relations and jealousy. In The Cambridge Handbook of Personal Relationships; Vangelisti, A.L., Perlman, D., Eds.; Cambridge University Press: New York, NY, USA, 2006. [Google Scholar]
- Harris, C.R. Jealousy. In Encyclopedia of Human Relationships; Reis, H.T., Sprecher, S., Eds.; SAGE: Thousand Oaks, CA, USA, 2009; pp. 937–941. [Google Scholar]
- Gehl, B.K. Personality Antecedents of the Experience and Expression of Romantic Jealousy. Ph.D. Thesis, University of Iowa, Iowa, IA, USA, 2010. [Google Scholar]
- Tavşancıl, E.; Aslan, E. Content Analysis and Application Examples for Verbal, Written and Other Materials; Epsilon: Istanbul, Türkiye, 2021. [Google Scholar]
- Büyüköztürk, Ş. Manual of Data Analysis for Social Sciences; Pegem Citation Index: Ankara, Türkiye, 2018. [Google Scholar]
- Sharma, S. Applied Multivariate Techniques; John Wiley & Sons: Hoboken, NJ, USA, 1996. [Google Scholar]
- Tinsley, H.; Tinsley, D. Uses of factor analysis in counseling psychology research. J. Couns. Psychol. 1987, 34, 414–424. [Google Scholar] [CrossRef]
- Stevens, J.P. Applied Multivariate Statistics for the Social Sciences; Lawrance Erlbaum Associates: Mahwah, NJ, USA, 2002. [Google Scholar]
- Alikılıç, Ö.; Alikılıç, İ.; Özer, A. Digital romanticism: A research on the role of social media in romantic relationships of Y generation. Erciyes J. Commun. Spec. Issue Int. Symp. Commun. Digit. Age 2019, 1, 57–80. [Google Scholar] [CrossRef]
- Tokunaga, S.R. Social networking site or social surveillance site? Understanding the use of interpersonal electronic surveillance in romantic relationships. Comput. Hum. Behav. J. 2011, 27, 705–708. [Google Scholar] [CrossRef]
- Gençer, A.G.; Karadere, M.E.; Okumuş, B.; Hocaoğlu, Ç. Diagnoses not included in DSM-5 (Compulsive Buying, Misophonia, Facebook Jealousy, Pagophagia, Cyberchondria, Internet Addiction). In New Diagnoses of DSM-5 in 2018; Hocaoğlu, Ç., Ed.; Türkiye Klinikleri: Ankara, Türkiye, 2018; pp. 87–96. [Google Scholar]


| UJS | Eigenvalue | Variance | Cumulative Variance |
|---|---|---|---|
| Factor1 | 9.48 | 37.95 | 37.95 |
| Factor2 | 2.19 | 8.76 | 46.72 |
| Factor3 | 1.36 | 5.45 | 52.18 |
| Factor4 | 1.25 | 5.02 | 57.20 |
| Factor | New Item Numbers | Items | Factor Estimates | Cronbach Alpha |
|---|---|---|---|---|
| F1 | 1 | Q10: It bothers me when someone else shows interest in the person I love. | 0.82 | 0.89 |
| 2 | Q9: It bothers me when the person I love shows interest in someone else. | 0.81 | ||
| 3 | Q17: It bothers me when the person I love spends more time with his/her friends than with me. | 0.67 | ||
| 4 | Q20: I want the person I love to spend most of his/her time with me. | 0.66 | ||
| 5 | Q4: If the person I am jealous of is close to me, I want him/her to only care about me. | 0.64 | ||
| 6 | Q11: I express my jealousy as anger or resentment. | 0.62 | ||
| 7 | Q16: I find it problematic when my loved one talks on the phone for long periods of time and shows excessive interest in someone else. | 0.57 | ||
| 8 | Q1: I get hurt when I do not get enough attention. | 0.47 | ||
| F2 | 9 | Q19: If the person I love loses interest in me, I immediately think that I am being cheated on. | 0.77 | 0.87 |
| 10 | Q13: I have an imaginary fear of being cheated on, and my mind is very busy with this. | 0.77 | ||
| 11 | Q15: From time to time, I experience storms of doubt. | 0.73 | ||
| 12 | Q18: I often experience the feeling of being unloved, and I even want to know the dreams of the person I love. | 0.65 | ||
| 13 | Q21: If the person I love does not do everything I say, I start to doubt him/her. | 0.61 | ||
| 14 | Q24: It makes me suspicious when my loved one constantly works overtime. | 0.53 | ||
| F3 | 15 | Q25: I sometimes wish for the person I envy to be in a bad situation. | 0.69 | 0.78 |
| 16 | Q22: I deal a lot with the flaws of the person who makes me jealous, and I am happy when he/she gets hurt. | 0.68 | ||
| 17 | Q26: I think of myself as not being a jealous person at all, but I also get sad when I see someone I do not like happy. | 0.67 | ||
| 18 | Q27: If the person I envy is in trouble, I feel joy. | 0.64 | ||
| 19 | Q29: I have made moves to harm someone I saw as a rival. | 0.61 | ||
| 20 | Q30: If the person I see as a rival treats me well, I question his/her intentions. | 0.56 | ||
| 21 | Q23: In the face of problems, I cannot say, “Part of the blame is on me”. | 0.50 | ||
| F4 | 22 | Q6: I always want to be liked, if not I get angry. | 0.73 | 0.75 |
| 23 | Q8: I attach importance to being noticed in my environment. | 0.67 | ||
| 24 | Q7: I tend to overreact to situations. | 0.60 | ||
| 25 | Q5: I always want to be trusted; I often question loyalty. | 0.58 | ||
| Total | 0.93 |
| Sub Scale/Scale | Relationship-Damaging Jealousy | Destructive Jealousy | Hostile Jealousy | Controlled Jealousy |
|---|---|---|---|---|
| Relationship-Damaging Jealousy | 1 | |||
| Destructive Jealousy | 0.68 | 1 | ||
| Hostile Jealousy | 0.43 | 0.54 | 0.1 | |
| Controlled Jealousy | 0.61 | 0.58 | 0.44 | 1 |
| Üsküdar Jealousy Scale (UJS) | 0.88 | 0.87 | 0.70 | 0.76 |
| Scale & Dimensions | Group | N | X | SS | Sd | t | p |
|---|---|---|---|---|---|---|---|
| Relationship-Damaging Jealousy | Upper Group | 284 | 34.95 | 2.96 | 566 | 78.00 | 0.000 |
| Lower Group | 284 | 14.80 | 3.18 | ||||
| Destructive Jealousy | Upper Group | 284 | 21.10 | 4.09 | 566 | 58.36 | 0.000 |
| Lower Group | 284 | 6.68 | 0.75 | ||||
| Hostile Jealousy | Upper Group | 284 | 18.13 | 4.41 | 566 | 39.94 | 0.000 |
| Lower Group | 284 | 7.57 | 0.59 | ||||
| Controlled Jealousy | Upper Group | 284 | 14.68 | 2.13 | 566 | 64.13 | 0.000 |
| Lower Group | 284 | 5.64 | 1.04 | ||||
| UJS | Upper Group | 284 | 83.66 | 11.87 | 566 | 58.73 | 0.000 |
| Lower Group | 284 | 38.12 | 5.44 |
| Scale & Dimensions | N | X | r | p |
|---|---|---|---|---|
| UJS & SSMJRR F1 * | 1053 | 59.37 | 0.55 | 0.000 |
| 1053 | 16.17 | |||
| UJS & SSMJRR F2 ** | 1053 | 59.37 | 0.54 | 0.000 |
| 1053 | 18.72 | |||
| UJS & SSMJRR F3 *** | 1053 | 59.37 | 0.30 | 0.000 |
| 1053 | 22.57 |
| Factor | Item | Standardized Factor Estimates |
|---|---|---|
| Relationship-Damaging Jealousy | Q10 | 0.97 |
| Q9 | 0.86 | |
| Q17 | 0.87 | |
| Q20 | 0.92 | |
| Q4 | 0.90 | |
| Q11 | 0.93 | |
| Q16 | 0.98 | |
| Q1 | 0.49 | |
| Destructive Jealousy | Q19 | 0.82 |
| Q13 | 0.79 | |
| Q15 | 0.50 | |
| Q18 | 0.62 | |
| Q21 | 0.75 | |
| Q24 | 0.97 | |
| Hostile Jealousy | Q25 | 0.97 |
| Q22 | 0.82 | |
| Q26 | 0.90 | |
| Q27 | 0.57 | |
| Q29 | 0.62 | |
| Q30 | 0.71 | |
| Q23 | 0.48 | |
| Controlled Jealousy | Q6 | 0.93 |
| Q8 | 0.60 | |
| Q7 | 0.55 | |
| Q5 | 0.97 |
| Factors & Scale | Group | N | X | Sd | Df | t | p | d |
|---|---|---|---|---|---|---|---|---|
| Relationship-Damaging Jealousy | Female | 869 | 24.97 | 8.11 | 1051 | 0.65 | 0.51 | - |
| Male | 184 | 24.55 | 7.60 | |||||
| Destructive Jealousy | Female | 869 | 12.74 | 6.02 | 1051 | 0.35 | 0.72 | - |
| Male | 184 | 12.57 | 6.19 | |||||
| Hostile Jealousy | Female | 869 | 11.65 | 4.50 | 1051 | 3.25 | 0.00 | 0.24 |
| Male | 184 | 12.90 | 5.58 | |||||
| Controlled Jealousy | Female | 869 | 9.97 | 3.64 | 1051 | 1.19 | 0.23 | - |
| Male | 184 | 9.62 | 3.78 | |||||
| Üsküdar Jealousy Scale | Female | 869 | 59.31 | 18.40 | 1051 | 0.22 | 0.82 | - |
| Male | 184 | 59.65 | 19.51 |
| Groups | X | Sd | d |
|---|---|---|---|
| UJS—Single (n = 602) | 61.12 | 18.80 | 0.30 ab |
| UJS—Married (n = 313) | 55.71 | 18.45 | 0.49 ad |
| UJS—Engaged (n = 85) | 64.77 | 15.27 | 0.53 bc |
| UJS—Divorced/Widowed (n = 53) | 52.43 | 16.56 | 0.77 cd |
| Significant Factor | |||
| UJS: Relationship-Damaging Jealousy—Single (n = 602) | 25.65 | 7.93 | 0.32 ab |
| UJS: Relationship-Damaging Jealousy—Married (n = 313) | 23.08 | 7.90 | 0.53 ad |
| UJS: Relationship-Damaging Jealousy—Engaged (n = 85) | 28.45 | 6.73 | 0.73 bc |
| UJS: Relationship-Damaging Jealousy—Divorced/Widowed (n = 53) | 21.37 | 8.18 | 0.94 cd |
| UJS: Destructive Jealousy—Single (n = 602) | 13.31 | 6.21 | 0.28 ab |
| UJS: Destructive Jealousy—Married (n = 313) | 11.61 | 5.69 | 0.32 ad |
| UJS: Destructive Jealousy—Engaged (n = 85) | 13.28 | 6.10 | 0283 bc |
| UJS: Destructive Jealousy—Divorced/Widowed (n = 53) | 11.45 | 5.06 | 0.32 cd |
| UJS: Controlled Jealousy—Single (n = 602) | 10.30 | 3.67 | 0.33 ab |
| UJS: Controlled Jealousy—Married (n = 313) | 9.07 | 3.65 | 0.54 ad |
| UJS: Controlled Jealousy—Engaged (n = 85) | 11.18 | 3.13 | 0.62 bc |
| UJS: Controlled Jealousy—Divorced/Widowed (n = 53) | 8.45 | 3.15 | 0.86 cd |
| Scale | Group | N | X | Sd | Df | T & F | p | d |
|---|---|---|---|---|---|---|---|---|
| UJS | Digital flirting/friendship media usage—Yes | 289 | 63.31 | 18.24 | 1051 | 4.26 | 0.000 | 0.30 |
| Digital flirting/friendship media usage—No | 764 | 57.88 | 18.52 | |||||
| UJS | Conflicting on social media and breaking up—Yes | 303 | 65.96 | 18.14 | 1051 | 7.49 | 0.000 | 0.51 |
| Conflicting on social media and breaking up—No | 750 | 56.71 | 18.12 | |||||
| UJS | Checking the profile/posts of the person he/she does not like—Yes | 429 | 65.53 | 18.53 | 1019 | 9.09 | 0.000 | 0.57 |
| Checking the profile/posts of the person he/she does not like—No | 592 | 55.21 | 17.41 | |||||
| UJS | Purchasing followers on social media—Yes | 115 | 67.98 | 19.63 | 897 | 5.82 | 0.000 | 0.56 |
| Purchasing followers on social media—No | 784 | 57.49 | 17.77 | |||||
| UJS | Daily usage time: Less than 1 h | 128 | 53.85 | 19.03 | 566 | 58.73 | 0.000 | 0.46 ac 0.97 ad 0.31 bc 0.81 bd 0.51 cd |
| Daily usage time: 1–3 h | 541 | 56.48 | 16.91 | |||||
| Daily usage time: 4–6 h | 277 | 62.57 | 18.68 | |||||
| Daily usage time: Always connected | 107 | 72.28 | 18.90 |
Disclaimer/Publisher’s Note: The statements, opinions and data contained in all publications are solely those of the individual author(s) and contributor(s) and not of MDPI and/or the editor(s). MDPI and/or the editor(s) disclaim responsibility for any injury to people or property resulting from any ideas, methods, instructions or products referred to in the content. |
© 2025 by the authors. Licensee MDPI, Basel, Switzerland. This article is an open access article distributed under the terms and conditions of the Creative Commons Attribution (CC BY) license.
Share and Cite
Tutgun-Ünal, A.; Tarhan, N. Validity and Reliability Studies of the Üsküdar Jealousy Scale and the Effect of Social Media on Jealousy. Societies 2026, 16, 3. https://doi.org/10.3390/soc16010003
Tutgun-Ünal A, Tarhan N. Validity and Reliability Studies of the Üsküdar Jealousy Scale and the Effect of Social Media on Jealousy. Societies. 2026; 16(1):3. https://doi.org/10.3390/soc16010003
Chicago/Turabian StyleTutgun-Ünal, Aylin, and Nevzat Tarhan. 2026. "Validity and Reliability Studies of the Üsküdar Jealousy Scale and the Effect of Social Media on Jealousy" Societies 16, no. 1: 3. https://doi.org/10.3390/soc16010003
APA StyleTutgun-Ünal, A., & Tarhan, N. (2026). Validity and Reliability Studies of the Üsküdar Jealousy Scale and the Effect of Social Media on Jealousy. Societies, 16(1), 3. https://doi.org/10.3390/soc16010003

