The Validity of Functional Threshold Power and Maximal Oxygen Uptake for Cycling Performance in Moderately Trained Cyclists
Abstract
1. Introduction
2. Material and Methods
2.1. Participants
2.2. Testing Procedures
2.3. Instruments
2.4. Statistical Analysis
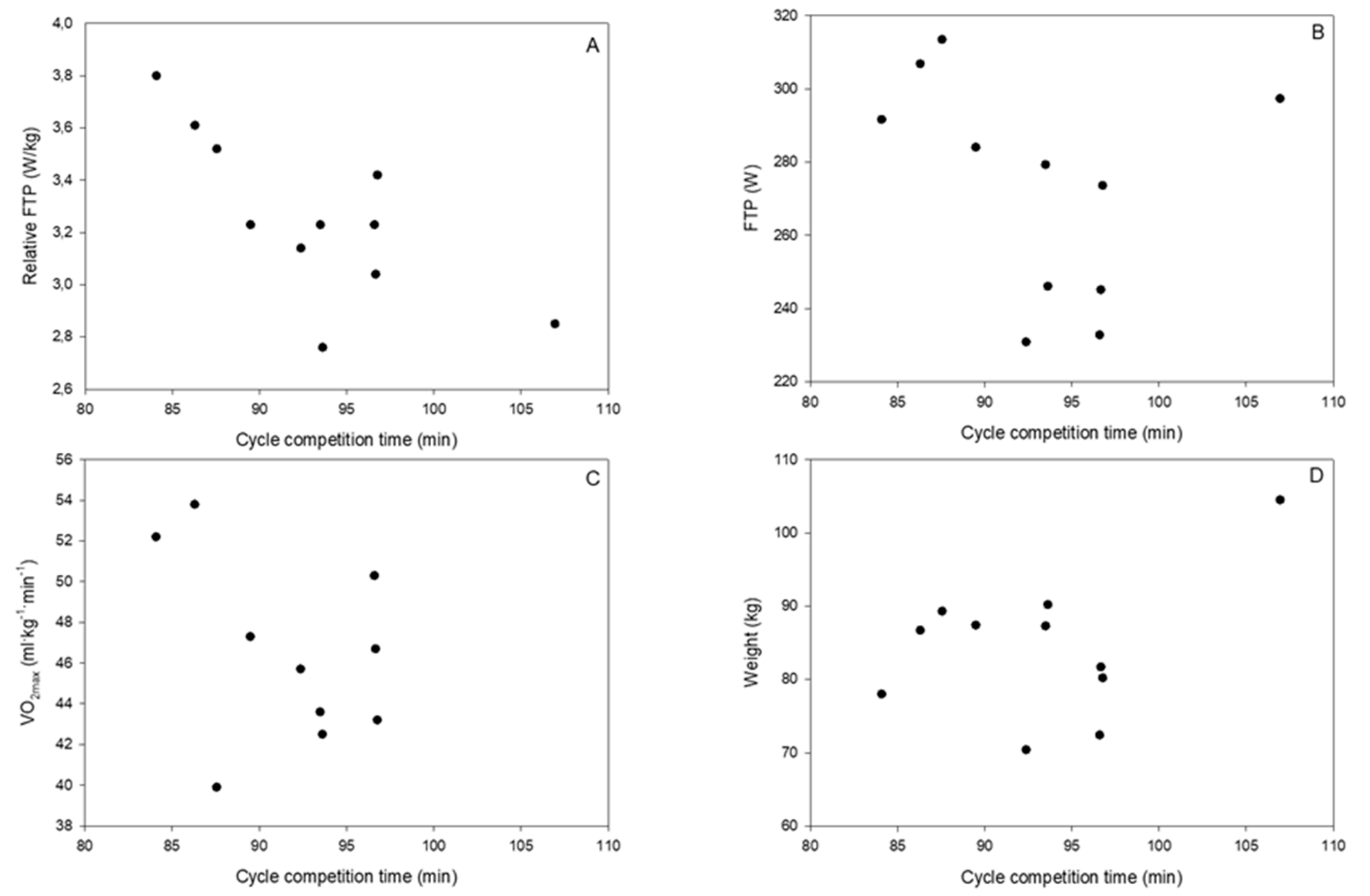
3. Results
4. Discussion
5. Practical Implications and Future Research
6. Conclusions
Author Contributions
Funding
Conflicts of Interest
References
- Allen, H.; Coggan, A. Training and Racing with a Power Meter, 2nd ed.; Velo Press: Boulder, CO, USA, 2010. [Google Scholar]
- Bassett, D.R.; Howley, E.T. Limiting factors for maximum oxygen uptake and determinants of endurance performance. Med. Sci. Sports Exerc. 2000, 32, 70–84. [Google Scholar] [CrossRef] [PubMed]
- Faria, E.W.; Parker, D.L.; Faria, I.E. The science of cycling: Physiology and training—Part 1. Sports Med. 2005, 35, 285–312. [Google Scholar] [CrossRef] [PubMed]
- Borszcz, F.K.; Tramontin, A.F.; Carminatti, L.J.; Costa, V.P.; Bossi, A.H. Functional threshold power in cyclists: Validity of the concept and physiological responses. Int. J. Sports Med. 2018, 39, 737–742. [Google Scholar] [PubMed]
- Denham, J.; Scott-Hamilton, J.; Hagstrom, A.D.; Gray, A.J. Cycling power outputs predict functional threshold power and maximum oxygen uptake. J. Strength Cond. Res. 2017. [Google Scholar] [CrossRef] [PubMed]
- Hawley, J.A.; Noakes, T.D. Peak power output predicts maximal oxygen uptake and performance time in trained cyclists. Eur. J. Appl. Physiol. 1992, 65, 79–83. [Google Scholar] [CrossRef] [PubMed]
- Whyte, G.; Lumley, S.; George, K.; Gates, P.; Sharma, S.; Prasad, K.; McKenna, W.J. Physiological profile and predictors of cycling performance in ultra-endurance triathletes. J. Sports Med. Phys. Fit. 2000, 40, 103–109. [Google Scholar]
- Coyle, E.F.; Feltner, M.E.; Kautz, S.A.; Hamilton, M.T.; Montain, S.J.; Baylor, A.M.; Abraham, L.D.; Petrek, G.W. Physiological and biomechanical factors associated with elite endurance cycling performance. Med. Sci. Sports Exerc. 1991, 23, 93–107. [Google Scholar] [CrossRef] [PubMed]
- Bentley, D.J.; McNaughton, L.R.; Thompson, D.; Vleck, V.E.; Batterham, A.M. Peak power output, the lactate threshold, and time trial performance in cyclists. Med. Sci. Sports Exerc. 2001, 33, 2077–2081. [Google Scholar] [CrossRef]
- Borszcz, F.K.; Tramontin, A.F.; de Souza, K.M.; Carminatti, L.J.; Costa, V.P. Physiological correlations with short, medium, and long cycling time-trial performance. Res. Q. Exerc. Sport 2018, 89, 120–125. [Google Scholar] [CrossRef]
- Nimmerichter, A.; Williams, C.; Bachl, N.; Eston, R. Evaluation of a field test to assess performance in elite cyclists. Int. J. Sports Med. 2010, 31, 160–166. [Google Scholar] [CrossRef]
- Balmer, J.; Davison, R.C.R.; Bird, S.R. Peak power predicts performance power during an outdoor 16.1-km cycling time trial. Med. Sci. Sports Exerc. 2000, 32, 1485–1490. [Google Scholar] [CrossRef] [PubMed]
- Hiyane, W.C.; Simões, H.G.; Campbell, C.S.G. Critical velocity as a noninvasive method to estimate the lactate minimum velocity on cycling. Rev. Bras. De Med. Do Esporte 2006, 12, 381–385. [Google Scholar] [CrossRef]
- Karsten, B.; Jobson, S.A.; Hopker, J.; Jimenez, A.; Beedie, C. High agreement between laboratory and field estimates of critical power in cycling. Int. J. Sports Med. 2014, 35, 298–303. [Google Scholar] [CrossRef] [PubMed]
- Quod, M.J.; Martin, D.T.; Martin, J.C.; Laursen, P.B. The power profile predicts road cycling MMP. Int. J. Sports Med. 2010, 31, 397–401. [Google Scholar] [CrossRef] [PubMed]
- Gastin, P.B. Energy system interaction and relative contribution during maximal exercise. Sports Med. 2001, 31, 725–741. [Google Scholar] [CrossRef] [PubMed]
- Swain, D.P. The influence of body mass in endurance bicycling. Med. Sci. Sports Exerc. 1994, 26, 58–63. [Google Scholar] [CrossRef]
- Tan, F.H.Y.; Aziz, A.R. Reproducibility of outdoor flat and uphill cycling time trials and their performance correlates with peak power output in moderately trained cyclists. J. Sports Sci. Med. 2005, 4, 278–284. [Google Scholar]
- Costa, V.P.; Pertence, L.C.; Paton, C.D.; De Matos, D.G.; Neves Martins, J.A.; De Lima, J.R.P. Physiological correlates of 10-km up-hill cycling performance in competitive cyclists. J. Exerc. Physiol. Online 2011, 14, 26–33. [Google Scholar]
- Bossi, A.H.; Lima, P.; Lima, J.P.d.; Hopker, J. Laboratory predictors of uphill cycling performance in trained cyclists. J. Sports Sci. 2017, 35, 1364–1371. [Google Scholar] [CrossRef]
- Ahrend, M.; Schneeweiss, P.; Theobald, U.; Niess, A.; Krauss, I. Comparison of laboratory parameters of a mountain bike specific performance test and a simulated race performance in the field. J. Sci. Cycl. 2016, 5, 3–9. [Google Scholar]
- Novak, A.R.; Bennett, K.J.M.; Fransen, J.; Dascombe, B.J. Predictors of performance in a 4-h mountain-bike race. J. Sports Sci. 2018, 36, 462–468. [Google Scholar] [CrossRef] [PubMed]
- Gregory, J.; Johns, D.P.; Walls, J.T. Relative vs. absolute physiological measure as predictors of mountain bike cross-country race performance. J. Strength Cond. Res. 2007, 21, 17–22. [Google Scholar] [CrossRef] [PubMed]
- Impellizzeri, F.M.; Marcora, S.M.; Rampinini, E.; Mognoni, P.; Sassi, A. Correlations between physiological variables and performance in high level cross country off road cyclists. Br. J. Sports Med. 2005, 39, 747–751. [Google Scholar] [CrossRef] [PubMed]
- McCole, S.D.; Claney, K.; Conte, J.C.; Anderson, R.; Hagberg, J.M. Energy expenditure during bicycling. J. Appl. Physiol. 1990, 68, 748–753. [Google Scholar] [CrossRef] [PubMed]
- Ronnestad, B.R.; Hansen, E.A.; Raastad, T. Effect of heavy strength training on thigh muscle cross-sectional area, performance determinants, and performance in well-trained cyclists. Eur J Appl Physiol. 2010, 108, 965–975. [Google Scholar] [CrossRef]
- Bertucci, W. Analysis of the agreement between the Fortius cycling ergometer and the PowerTap powermeter PO during time trials of 6 and 30 min. Comput. Methods Biomech. Biomed. Eng. 2012, 15, 212. [Google Scholar] [CrossRef]
- Hopkins, W.G.; Marshall, S.W.; Batterham, A.M.; Hanin, J. Progressive statistics for studies in sports medicine and exercise science. Med. Sci. Sports Exerc. 2009, 41, 3–12. [Google Scholar] [CrossRef]
- Cohen, J. Statistical Power Analysis for the Behavorial Sciences, 2nd ed.; Lawrence Erlbaum Associates: Hillsdale, NJ, USA, 1988. [Google Scholar]
- Lamberts, R.P. A novel submaximal cycle test to monitor fatigue and predict cycling performance. Br. J. Sports Med. 2011, 45, 797–804. [Google Scholar] [CrossRef]
- Sharkey, B.J.; Gaskill, S.E. Sport Physiology for Coaches; Human Kinetics: Champaign, IL, USA, 2006. [Google Scholar]


| Physical Performance Variable | FTP | FTP/kg | VO2max | Race Time |
|---|---|---|---|---|
| FTP (r) | 1 | 0.51 | 0.05 | −0.29 |
| FTP/kg (r) | 0.51 | 1 | 0.45 | −0.74 * |
| VO2max (r) | 0.05 | 0.45 | 1 | −0.37 |
| Race time (r) | −0.29 | −0.74 * | −0.37 | 1 |
| Total mean ± SD | 272.8 ± 29.6 | 3.3 ± 0.3 | 46.3 ± 4.5 | 93.1 ± 6.3 |
© 2019 by the authors. Licensee MDPI, Basel, Switzerland. This article is an open access article distributed under the terms and conditions of the Creative Commons Attribution (CC BY) license (http://creativecommons.org/licenses/by/4.0/).
Share and Cite
Sørensen, A.; Aune, T.K.; Rangul, V.; Dalen, T. The Validity of Functional Threshold Power and Maximal Oxygen Uptake for Cycling Performance in Moderately Trained Cyclists. Sports 2019, 7, 217. https://doi.org/10.3390/sports7100217
Sørensen A, Aune TK, Rangul V, Dalen T. The Validity of Functional Threshold Power and Maximal Oxygen Uptake for Cycling Performance in Moderately Trained Cyclists. Sports. 2019; 7(10):217. https://doi.org/10.3390/sports7100217
Chicago/Turabian StyleSørensen, Arne, Tore Kristian Aune, Vegar Rangul, and Terje Dalen. 2019. "The Validity of Functional Threshold Power and Maximal Oxygen Uptake for Cycling Performance in Moderately Trained Cyclists" Sports 7, no. 10: 217. https://doi.org/10.3390/sports7100217
APA StyleSørensen, A., Aune, T. K., Rangul, V., & Dalen, T. (2019). The Validity of Functional Threshold Power and Maximal Oxygen Uptake for Cycling Performance in Moderately Trained Cyclists. Sports, 7(10), 217. https://doi.org/10.3390/sports7100217

