Abstract
Background: Soccer is associated with substantial injury risk, with reported between 13 to 35 injuries per 1000 player-hours of competitive play. Notably, approximately 77% of soccer-related ankle injuries are attributed to ankle sprain injuries (ASIs). ASI can lead to chronic ankle instability, obesity, and post-traumatic osteoarthritis. This study focuses on identifying factors such as gender, age, body mass index (BMI), and a history of ASIs, which contribute to the development of ASI in soccer players. Methods: A systematic literature search was conducted in October 2023 across databases, including PubMed, Web of Science, Scopus, Cochrane Library, and ProQuest, without applying any filters. Keywords included ankle, ankle joint, sprain, risk factors, etc. Data extraction was performed on the included studies, with findings standardized and analyzed using Stata Statistical Software: Release 17 to determine a weighted treatment effect. Results: Our systematic review included 26 studies. The meta-analysis revealed that a history of ankle sprain is the most significant risk factor for future ASIs. BMI emerged as a risk factor in three out of seven studies, while age and height were significant in one out of six studies each. Gender and weight were not found to significantly affect ASI occurrence. Other factors identified but not subjected to a meta-analysis due to methodological heterogeneity or insufficient studies included playing surface, joint laxity, muscle weakness, match congestion, strength asymmetries, ground reaction forces, balance maintenance, skill level, and playing position. Conclusions: This research contributes valuable insights into the prevention of ASIs in soccer, highlighting the importance of previous ankle sprains and playing surface quality. These findings assist sports professionals in developing optimal conditions and strategies for effective ankle sprain prevention.
1. Introduction
Soccer is widely recognized for its high injury rates, with studies reporting 13 to 35 injuries per 1000 player-hours of competitive play [1]. Among these, ankle sprain injuries (ASIs) stand out as the most prevalent form of injury encountered by youth soccer players [2,3,4]. It is noted that a substantial 77% of ankle injuries within soccer can be attributed to ASI, highlighting the significance of this issue [5]. The investigation into the etiological factors that lead to foot and ankle injuries in soccer is not only crucial for understanding the nature of these injuries but also for developing preventive measures [6].
There is compelling evidence suggesting that individuals with a history of an ASI are at twice the risk of a subsequent ASI within at least one year of the initial occurrence, pointing to a cycle of vulnerability and re-injury [7,8]. Furthermore, chronic ankle instability, obesity, and post-traumatic osteoarthritis represent some of the long-term repercussions of ASI, although these are not exhaustive [7,9,10,11]. Interestingly, neuromuscular training (NMT) warm-up routines have been shown to significantly lower the incidence of acute lower extremity injuries in youth sports by 29 to 60 percent [12,13,14,15,16], indicating the potential for preventive strategies.
Soccer players face unique risk factors for ankle sprains due to the sport’s specific demands; yet, the literature lacks a focused synthesis of these factors. This systematic review and meta-analysis fills this gap, providing novel insights into both intrinsic and extrinsic risk factors to guide targeted prevention strategies and enhance player safety [17,18]. Identifying these factors is essential for formulating targeted ankle sprain prevention methods for young players.
This study aims to explore various potential risk factors for ASI, including gender, age, body mass index (BMI), and previous ASI history, among youth soccer players. By examining these elements in a systematic review, the research seeks to contribute valuable insights into the prevention and management of ASI in soccer.
2. Materials and Methods
Systematic review protocol
This systematic review was conducted in strict adherence to the Preferred Reporting Items for Systematic Reviews and Meta-Analyses (PRISMA) Protocols guideline [19], with its protocol registered under PROSPERO (CRD42022309294).
Eligibility criteria
Our study exclusively incorporated randomized controlled trials and prospective cohort studies that delve into the risk factors for ankle sprains among soccer players. We considered studies spanning various leagues, focusing on athletes who have encountered either a primary or subsequent ankle sprain injury in the context of official matches or training sessions. Eligible injuries included both contact and non-contact incidents leading to ligament stretching or tearing, contributing to ankle instability.
We excluded investigations related to other forms of ankle injuries, such as Achilles tendon ruptures, ankle fractures, peroneal tendonitis, tarsal tunnel syndrome, and osteochondral lesions, to maintain a focused inquiry into ankle sprains. The requirement for study inclusion was publication in English, with a clear disclosure of participant numbers, detailed injury data, follow-up criteria, and the statistical methods employed. Studies targeting non-soccer athletes, those centered on American football or rugby players, and research focusing on traumatic bony injuries, fractures, contusions, and muscle strains were deemed outside the scope of this review.
Search strategy and outcome measures
A comprehensive search through electronic databases, including PubMed, Web of Science, Scopus, Cochrane Library, and ProQuest, was conducted up to October 2023, following a predefined strategy. The search utilized the following keywords: “Ankle [Mesh]”, “Ankle Joint [Mesh]”, “Lateral Ligament, Ankle [Mesh]”, “Sprains and Strains [Mesh]”, “Ankle Injuries [Mesh]”, and “Risk Evaluation and Mitigation [Mesh]” (Appendix A). The search, executed by one author, utilized the Rayyan web tool for managing the identified records [20]. Our metrics for assessing the impact of risk factors on ASI were effect size, mean difference, and odds ratio.
Study selection
Titles and abstracts were initially screened by two authors for relevance, followed by the removal of duplicates and the retrieval of full-text articles for in-depth evaluation against our inclusion criteria. Discrepancies were resolved through discussion or consultation with a third author. Reference lists of selected articles were also reviewed to identify additional relevant studies.
Data extraction and quality assessment
Following study selection, two researchers independently conducted data extraction using a standardized form, capturing details such as study design, participant characteristics, interventions, risk factors, and outcomes. The Joanna Briggs Institute (JBI) critical appraisal tool was employed to assess the risk of bias across four domains: patient selection, index tests, reference standards, and flow and timing [21]. Quality assessment of RCT studies was conducted based on Cochrane tools. Any disagreements were resolved via discussion with a third author.
Evidence synthesis
To synthesize the evidence, we employed textual descriptions, tabulation, and data standardization using Stata software (StataCorp. 2021. Stata Statistical Software: Release 17. College Station, TX, USA: StataCorp LLC), ensuring a comprehensive analysis. Missing data were addressed using Wan’s statistical method, which considers sample size, median, and variability (range and interquartile range) to estimate missing values accurately [22].
Subgroup analysis was conducted to explore clinical heterogeneity and enhance the understanding of the data. The synthesis of the findings was presented as odds ratios (ORs) and risk ratios (RRs) with 95% confidence intervals (CIs) for dichotomous outcomes and mean difference (MD) for continuous outcomes. To ensure the reliability of our results, we used data from the longest follow-up period for each specific outcome in the included study code.
3. Results
Based on our search strategy, 1811 unique titles were obtained from four electronic databases. Further application of the inclusion and exclusion criteria narrowed the selection down to 26 studies for detailed data extraction (Figure 1). The details of each of the papers are shown in Table 1.
Figure 1.
PRISMA flow diagram of risk factors of ankle sprain in soccer players.
Table 1.
Risk factors of ankle sprain extracted from each paper.
Generalized joint hypermobility
Among the risk factors analyzed, generalized joint hypermobility was investigated in two studies [31,41]. One study [41] found no significant difference in ankle sprain incidence related to joint hypermobility, while the other [31] suggested joint laxity could potentially increase the risk of ankle sprain (odds ratio [OR] = 3.38 [0.82–14.00]; p = 0.093), indicating a possible but uncertain risk factor.
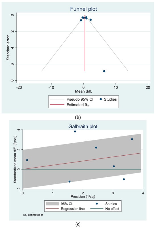
Age
Age was evaluated in six articles [25,29,31,34,35,38] as a potential risk factor for ASI. Only one study [25] identified age as a significant risk factor (p < 0.001). Overall, age did not significantly influence ASI risk (mean difference [MD] = 0.36; 95% CI = −0.27, 0.99), as illustrated in Figure 2a (mean difference), Figure 2b (funnel plot), and Figure 2c (Galbraith plot).

Figure 2.
(a) Forest plot for age as a risk factor of ankle sprain in soccer players. (b) Funnel plot for age as a risk factor of ankle sprain in soccer players. (c) Galbraith plot for age as a risk factor of ankle sprain in soccer players [25,29,31,34,35,38].
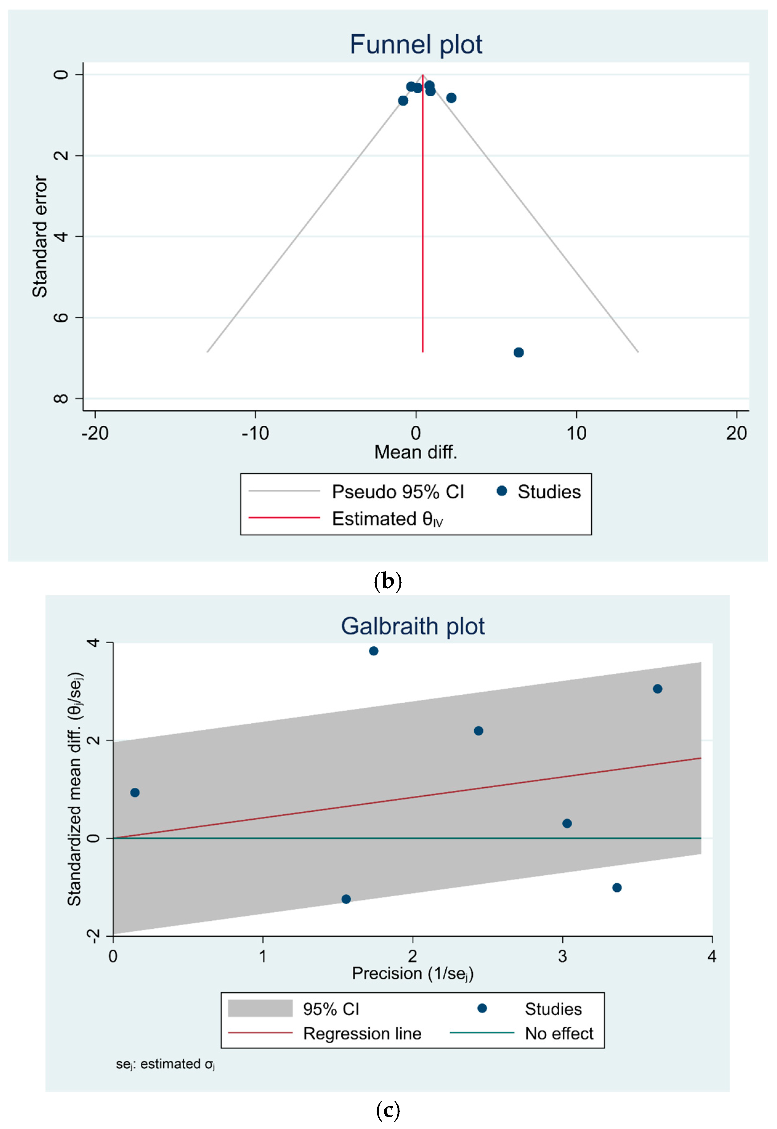
BMI
Seven studies in total [25,29,31,34,35,37,38] examined BMI’s role, detailed in Figure 3a (forest plot), Figure 3b (funnel plot), and Figure 3c (Galbraith plot). Three studies [25,31,38] highlighted BMI as a risk factor for ASI. Specifically, De Ridder et al. [25] reported the most significant difference in BMI between injured and uninjured groups, with injured players having higher BMIs (19.8 ± 1.9 vs. 17.6 ± 1.9; p < 0.001).

Figure 3.
(a) Forest plot for BMI as a risk factor for ankle sprain in soccer players. (b) Funnel plot for BMI as a risk factor for ankle sprain in soccer players. (c) Galbraith plot for BMI as a risk factor for ankle sprain in soccer players [25,29,31,34,35,37,38].
Weight
No significant correlation between player weight and ASI was found across studies [25,29,31,34,37,38]. The overall MD in weight between injured and uninjured groups was 1.4 kg [−0.71, 3.51], as shown in Figure 4a–c.
Figure 4.
(a) Forest plot for weight as a risk factor of ankle sprain in soccer players. (b) Funnel plot for weight as a risk factor of ankle sprain in soccer players. (c) Galbraith plot for weight as a risk factor of ankle sprain in soccer players [25,29,31,34,37,38].
Height
Height was considered a risk factor in one study by McCann et al. [37], which found taller players to be more prone to ASI (p = 0.01). However, this finding was not corroborated by other studies [29,31,34,35,38], as depicted in Figure 5a–c.

Figure 5.
(a) Forest plot for height as a risk factor of ankle sprain in soccer players. (b) Funnel plot for height as a risk factor of ankle sprain in soccer players. (c) Galbraith plot for height as a risk factor of ankle sprain in soccer players [29,31,34,35,38].
Sex
Sex did not emerge as a risk factor in any of the four articles [28,33,35,36] that explored this aspect, with relative risk figures (male to female RR = −0.41 [−0.85, 0.04]) indicating no significant difference, as shown in Figure 6a–c.

Figure 6.
(a) Forest plot for gender as a risk factor of ankle sprain in soccer players. (b) Funnel plot for gender as a risk factor of ankle sprain in soccer players. (c) Galbraith plot for gender as a risk factor of ankle sprain in soccer players [28,33,35,36].
Turf
The role of the type of turf as a risk factor for ankle sprain was explored in six studies [23,27,39,40,46,47]. Notably, Ekstrand J. et al. [47] conducted a study between 2003 and 2005 to compare the incidence of ankle sprain on artificial turf to natural grass. In that study, cohort 1, consisting of 10 teams with artificial turf at their home facilities, showed an incidence of 4.83 ankle sprains per 1000 h of match exposure on artificial turf, compared to 2.66 on natural grass (RR = 1.81 [1–3.28]; p < 0.05), indicating a significant increase in risk; however, no significant difference was observed during training sessions. Conversely, in cohort 2, comprising nine teams with natural grass at their home facilities, no significant inter-cohort differences were noted, both for training (RR = 1.26 [0.58–2.73]) and matches (RR = 0.99 [0.49–2.01]). Subsequent analysis by Ekstrand J. et al. [27] extended to 2008 confirmed a significant difference in the incidence of ankle sprain between artificial turf and natural grass in men’s soccer (RR = 1.6 [1.02–2.49]; p < 0.05), but no discernible difference in women’s soccer was found. While Bjørneboe J. et al. [40] observed a trend towards an increased risk of ankle sprain on artificial turf during matches, this was not statistically significant. Kristenson et al., Aoki H. et al., and Soligard T. et al. [23,39,46] found no significant differences in the incidence of ankle sprains between artificial and natural turf.
Previous ankle sprain
Previous ASI was a focus of nine studies [4,18,24,26,29,30,33,34,37,38], with five articles [4,24,26,29,37] concluding that a history of ASI significantly increases the risk of future ASI, highlighted by Hagglund M. et al. with a hazard ratio of 2.8 (CI = 0.8–9.6; p = 0.099), as presented in Figure 7a–c.

Figure 7.
(a) Forest plot for previous ankle sprain as a risk factor of ankle sprain in soccer players. (b) Funnel plot for previous ankle sprain as a risk factor of ankle sprain in soccer players. (c) Galbraith plot for previous ankle sprain as a risk factor of ankle sprain in soccer players [4,18,24,26,29,30,33,34,37,38].
Other Risk Factors
In addition to the risk factors previously mentioned, our study revealed several other factors being evaluated for their impact on ankle sprains among soccer players (details are discussed in Table 2).
Table 2.
Details of the other risk factors of ankle sprain in soccer players.
Match congestion: Carling C. et al. [42] explored match congestion as a potential risk factor, revealing a higher incidence of ankle sprains in the final match of two- and three-match congestion cycles compared to matches outside these congested periods.
Hip strength and muscle force: De Ridder et al. [25] focused on hip strength as an intrinsic risk factor for lateral ankle sprains, finding that stronger posterior chain hip muscles significantly reduced the risk. Conversely, Kawaguchi et al. [34] noted a significant difference in hip abductor muscle forces between injured and uninjured players, indicating the protective role of hip muscle strength against ankle sprains. However, they found no significant differences in knee extension, knee flexion force, muscle flexibility, or the height of the navicular tubercle between groups.
Eccentric isokinetic strength asymmetries and GRF: Fousekis K. et al. [31] identified eccentric isokinetic strength asymmetries in ankle dorsal and plantar flexors as a significant predictor of ankle sprains. Similarly, Fransz D. et al. [43] found that ground reaction force (GRF) in specific directions could significantly predict ankle sprains, highlighting the importance of biomechanical factors in injury risk.
Balance tests: Engebretsen et al. [45] did not find significant differences in balance test scores between injured and uninjured groups. However, Henry T. et al. [18] observed that poorer lower limb relative balance scores increased the risk of non-contact ankle injuries among amateur soccer players. Jupil Ko et al. [35] reported significant differences in Star Excursion Balance Test (SEBT) and Single-Leg Hop Test (SLHT) scores between injured and uninjured groups, suggesting that balance performance could influence ankle sprain risk. Kawaguchi et al. [34] found no difference between the injured and uninjured groups based on their balance measurement method.
Dominant leg and soccer skill level: Faude O. et al. [30] and Kofotolis et al. [4] investigated the role of limb dominance, finding that dominant legs were more prone to ankle sprains. Moreover, skill level was examined as a risk factor, with Ekstrand J. et al. [44] showing that players in higher divisions faced a greater risk of ankle injury. However, Engebretsen et al. [45] and Henry T. et al. [18] found no significant difference in ankle sprain incidence based on soccer skill level or playing experience. Longer soccer experience (years) was also found to be a risk factor for ankle sprain in a study by De Ridder et al. [25].
Intrinsic factors: Engebretsen A. et al. [29] and Kawaguchi et al. [34] looked into various intrinsic factors such as foot type, standing rearfoot alignment, hallux position, anterior drawer, range of motion, and ankle dorsiflexion range of motion. None of these factors showed a significant difference in the incidence of ankle sprains, indicating the complexity of accurately predicting ankle sprain risk based on intrinsic anatomical and physiological characteristics. Henry T. et al. [18] showed that poorer lower limb relative power output on vertical jump (W/Kg) was an independent risk factor for ankle sprain.
Playing Position: The impact of playing position on ankle sprain incidence was examined, revealing mixed results. Engebretsen et al. [29] found no significant difference in sprain rates across positions, suggesting a uniform risk. In contrast, Kofotolis et al. [4] reported that defenders had a higher injury rate than forwards and midfielders, indicating position-specific risks.
4. Discussion
Our meta-analysis identified a history of ankle sprain as the most significant risk factor for future ankle sprain injuries (ASIs) and also has the most significant clinician implication, with body mass index (BMI) also emerging as an important contributing factor. These findings highlight the need for clinicians to closely evaluate soccer players with a history of ankle sprains or elevated BMI, as they may be at increased risk of future ASIs. Furthermore, given the prominent role of prior ankle sprains as a risk factor, further research is warranted to optimize the timing, methods, and effectiveness of rehabilitation strategies.
Previous ankle sprain
The recurrence of ankle sprains was identified as a substantial risk factor, with studies [24,29,37] underscoring its impact. However, Hägglund et al. [32] and Henry et al. [18] did not observe previous ankle injuries as significant, suggesting that factors such as youthfulness of the sample, competitive level, or playing conditions might play a role. Contrarily, Brinkman et al. systematic review [48] highlighted a prior ankle sprain’s role in increasing injury risk due to scar tissue formation. Moreover, it can also result in a decreased range of motion or weakened strength, indirectly impacting the likelihood of future injuries [49]. Given these findings, implementing evidence-based rehabilitation approaches is crucial to prevent recurrence and mitigate the long-term effects of prior injuries. This represents a key clinical implication of our systematic review and meta-analysis. Recent studies [50] emphasized the importance of phased rehabilitation strategies, including balance training, neuromuscular exercises, and sport-specific drills tailored to the recovery timeline. Implementing these approaches in clinical practice could significantly reduce the risk of recurrent ankle sprains and improve patient outcomes.
Turf
Turf quality was considered a risk factor in two studies [27,47], but Kristenson et al. [46] and Bjørneboe et al. [40] did not find a significant difference; they claimed that a lack of increase in the rate of ankle sprain could be interpreted as a continuous improvement in the quality of artificial turf playing surfaces used in football. On the other hand, Williams et al.’s [51] analysis revealed that there was evidence suggesting an elevated risk of ankle injuries when playing on artificial turf in 8 out of 14 cohorts, with incidence rate ratios ranging from 0.71 to 5.20. However, it is important to note that none of the likelihood categories reached values exceeding 95% (indicating very likely harm). Notably, they found evidence of a harmful effect associated with ankle injuries incurred during soccer matches and training on artificial turf, specifically among elite male players [27,40,47], young female players, [52], and collegiate male players during matches [53]. Conversely, a beneficial effect was inferred for soccer matches involving youths [39] and collegiate females (unlike the trivial effect during training) [53]. Artificial turf, from a biomechanical standpoint, has higher frictional coefficients compared to natural grass, leading to increased rates of foot and ankle injuries [54].
External ankle support
The utilization of external ankle supports plays a crucial role in preventing ankle sprains. It reduces ankle mobility, thereby potentially decreasing injury risk, but it does not impair performance in sprint speed, agility run tasks, or kicking accuracy [55,56,57,58,59,60,61,62,63]. Its efficacy is evident across different athletic groups, including male and female soccer players [64,65,66,67], professional female basketball players [68], and ballet dancers [69], especially among those with a history of ankle sprains. However, the findings from Bailey et al. [70] and Briem et al. [71] highlight that kinesiology tape may not provide the same protective benefits to healthy soccer players, pointing to the importance of selecting the appropriate type of ankle support based on the athlete’s specific needs and injury history. However, methodological differences and the utilization of different devices make direct comparisons difficult. Our interpretation is that external ankle devices can avoid the occurrence and reoccurrence of ankle sprain by providing mechanical support and increasing proprioception at the ankle and can enhance muscle response of the fibularis longus by maintaining greater levels of muscle activation, leading to a decrease in the risk of ankle sprains [62,63,67,72,73,74]. Recent reviews emphasize that the effectiveness of external ankle supports is linked to mechanical stabilization, proprioceptive enhancement, and improved activation of the fibularis longus muscle, which provides lateral stability to the ankle. Activating this muscle helps counteract inversion forces and prevent sprains, especially in individuals with chronic ankle instability [75,76,77].
Anthropometric measurements
Even though anthropometric characteristics did not show conclusive results, some studies performed on athletes found a relationship between BMI and the history of ankle sprain. Research conducted on football players investigating the risk factors associated with ankle sprains revealed that a high BMI and a history of previous ankle sprains, when occurring together, can significantly increase the likelihood of experiencing an ankle sprain. McHugh et al. [36] identified a history of a previous ankle sprain and a high BMI in male athletes as the only risk factors. In support of the current findings, a study conducted by Tyler et al. [78], which also investigated the correlation between past injuries and high BMI as potential risk factors among football players, indicated that players with a history of ankle sprains who were also overweight had a significantly higher injury rate, specifically 19 times greater compared to players with no prior ankle sprain and those with normal weight. Importantly, the impact of a previous ankle sprain on injury occurrence was more substantial than the effect of high BMI alone. Specifically, the injury incidence was 6.6 times higher in players with a history of ankle sprains and 3.9 times higher in those classified as overweight individuals. In a meta-analysis performed by Mason et al. [79], previous ankle sprain injury (odds ratio = 2.74, p < 0.001), higher body mass index (SMD = 0.50, p < 0.001), and higher weight (SMD = 0.24, p = 0.02) were identified as risk factors in male athletes. However, body characteristics did not show a significant effect on female athlete injuries. The reason that anthropometric measurements were not recognized as a risk factor was the small difference between the body mass index of the players studied in the included articles.
Age
We did not find age to be a strong risk factor for ankle sprain. In contrast to our findings, Faude et al. [17], discovered that younger athletes suffered from more fractures, fewer strains and sprains [80,81]. However, similar to our results, Willems et al. [82] and Powers et al. [38] did not find a significant difference. The lack of significance in our findings could be due to the sample size and the particular group that was studied.
Limitations
Our study has several limitations, but the main limitation is that the data reporting varied between the articles that were included. For example, for some studies, injuries were reported per hour of playing time and some injuries were reported from the number of the matches that were played. Also, in the previous ankle sprain category, some studies reported the number of feet that were injured and other studies reported the injuries by the number of players. Another limitation that can be noted is the high heterogeneity of some of the studies.
5. Conclusions
This study enhances our knowledge of preventing ankle sprains in soccer players. The research indicates that factors like turf quality and a history of ankle sprains are key considerations for experiencing ankle sprains. However, due to significant variations in study methodologies, additional research is necessary to identify the most effective strategies for reducing ankle sprain occurrences and relative risks in this demographic of soccer players. This study serves as a valuable resource for physicians and sports experts, aiding them in decision-making concerning warm-up protocols, preventive measures, and the assessment of playing surface quality for effective ankle injury prevention.
Author Contributions
A.H.H., A.N.-A., B.F. and C.J.M.: Study Design and Critical Revision. A.R.M., M.M.M.N., S.P.T., S.E. and M.B.C.: Primary Drafting and Analysis. All authors have read and agreed to the published version of the manuscript.
Funding
No external funding was received for this paper.
Data Availability Statement
Available based upon reasonable request to the corresponding author.
Conflicts of Interest
The authors declare no conflicts of interest.
Appendix A
Search Protocol
Databases
- MEDLINE/PubMed
- Scopus
- CENTRAL
- Web of Science
- ProQuest
Restrictions
No language, filter, or date restriction
Search strategy
#1 Ankle [Mesh]
#2 Ankle Joint [Mesh]
#3 Lateral Ligament, Ankle [Mesh]
#4 Syndesmos*
#5 External Lateral Ligament
#6 #1 OR #2 OR #3 OR #4 OR #5
#7 Sprains and Strains [Mesh]
#8 sprain*
#9 strain*
#10 rupture*
#11 Instabilit*
#12 unstable
#13 function*
#14 #7 OR #8 OR #9 OR #10 OR #11 OR #12 OR #13
#15 #6 AND #14
#16 Ankle Injuries [Mesh]
#17 #15 OR #16
#18 Risk Factors [Mesh]
#19 Risk Evaluation and Mitigation [Mesh]
#20 Risk*
#21 Relative risk
#22 Incidence*
#23 Epidemiolog*
#24 Survey
#25 Patterns
#26 Prevalence*
#27 #18 OR #19 OR #20 OR #21 OR #22 OR #23 OR #24 OR #25 OR #26
#28 Soccer [Mesh]
#29 Football [Mesh]
#30 Athlet*
#31 Sport*
#32 #28 OR #29 OR #30 OR #31
#33 #17 AND #27 AND #32
Specific issues:
[Mesh] only can be used in PubMed, Central.
Central
[((([mh Ankle] OR [mh “Ankle Joint”] OR [mh “Lateral Ligament, Ankle”] OR “Ankle Syndesmos*” OR “External Lateral Ligament”) AND ([mh Sprains and Strains] OR sprain* OR strain* OR rupture OR Instabilit* OR unstable OR function*)) OR ([mh“Ankle Injuries”])) AND ([mh“Risk Factors”] OR [mh Risk Evaluation and Mitigation] OR Risk* OR Relative risk OR Incidence* OR Epidemiolog* OR Survey OR Pattern* OR Prevalence*) AND ([mh Football] OR [mh soccer] OR Sport* OR Athlet*)]:ti,ab,kw
MEDLINE (through PUBMED)
(((Ankle [mh] OR “Ankle Joint” [mh] OR “Lateral Ligament, Ankle” [mh] OR “Ankle Syndesmos*” OR “External Lateral Ligament”) AND (Sprains and Strains [Mesh] OR sprain* OR strain* OR rupture OR Instabilit* OR unstable OR function*)) OR (“Ankle Injuries” [mh])) AND (“Risk Factors” [mh] OR Risk Evaluation and Mitigation [Mesh] OR Risk* OR Relative risk OR Incidence* OR Epidemiolog* OR Survey OR Pattern* OR Prevalence*) AND (Football [Mesh] OR Soccer [Mesh] OR Sport* OR Athlet*)
Web of Science
(((TS=(((Ankle OR “Ankle Joint” OR “Lateral Ligament, Ankle” OR “Ankle Syndesmos*” OR “External Lateral Ligament”) AND (Sprains and Strains OR sprain* OR strain* OR rupture OR Instabilit* OR unstable OR function*)) OR (“Ankle Injuries”)) AND (“Risk Factors” OR Risk Evaluation and Mitigation OR Risk* OR Relative risk OR Incidence* OR Epidemiolog* OR Survey OR Pattern* OR Prevalence*) AND (Football OR Soccer OR Sport* OR Athlet*)))
Scopus
(((Ankle OR “Ankle Joint” OR “Lateral Ligament, Ankle” OR “Ankle Syndesmos”* OR “External Lateral Ligament”) AND (Sprains and Strains [Mesh] OR sprain* OR strain* OR rupture OR Instabilit* OR unstable OR function*)) OR (“Ankle Injuries”)) AND (“Risk Factors” OR Risk Evaluation and Mitigation OR Risk* OR Relative risk OR Incidence* OR Epidemiolog* OR Survey OR Pattern* OR Prevalence*) AND (Football OR Soccer OR Sport* OR Athlet*)
Appendix B
Table A1.
Quality assessment of cohort studies based on the JBI tool.
Table A1.
Quality assessment of cohort studies based on the JBI tool.
| Author | Year | Study Design | Q1 | Q2 | Q3 | Q4 | Q5 | Q6 | Q7 | Q8 | Q9 | Q10 | Q11 |
|---|---|---|---|---|---|---|---|---|---|---|---|---|---|
| Aoki, H [23] | 2010 | prospective cohort | yes | yes | yes | unclear | yes | yes | yes | yes (1 year) | unclear | unclear | yes |
| Arni Arnason [24] | 2004 | prospective cohort | yes | yes | yes | yes | yes | yes | yes | yes (4 months) | yes | yes | yes |
| Carling, C [42] | 2015 | prospective cohort | yes | yes | yes | no | no | yes | yes | yes (6 seasons) | unclear | no | yes |
| De Ridder, R [25] | 2016 | prospective cohort | yes | yes | yes | yes | yes | yes | yes | yes (3 seasons) | yes | yes | yes |
| Soligard T [39] | 2012 | prospective cohort | yes | yes | unclear | unclear | not applicable | yes | unclear | yes (3 seasons) | yes | unclear | yes |
| Ekstr, J [26] | 1983 | prospective cohort | unclear | yes | yes | no | no | yes | yes | yes (12 months) | unclear | no | yes |
| Ekstr, J [27] | 2011 | prospective cohort | yes | yes | yes | yes | yes | yes | yes | yes (February 2003 to October 2008) | no | yes | yes |
| Ekstr, J [47] | 2006 | prospective cohort | yes | yes | yes | yes | yes | yes | yes | yes (2003–2004 season) | no | yes | yes |
| Ekstr, J [47] | 1990 | prospective cohort | yes | yes | yes | no | no | yes | yes | yes (12 months) | unclear | no | yes |
| Emery, C [28] | 2005 | prospective cohort | yes | yes | yes | unclear | no | yes | yes | yes (13 weeks) | yes | unclear | yes |
| Engebretsen, A. H [29] | 2010 | prospective cohort | yes | yes | yes | yes | yes | yes | yes | yes | yes | yes | yes |
| Faude, O [30] | 2006 | prospective cohort | yes | yes | yes | yes | unclear | yes | yes | yes (10 months) | yes | yes | yes |
| Fousekis, K [31] | 2012 | prospective cohort | yes | yes | yes | yes | yes | yes | yes | yes (10 months) | yes | yes | yes |
| Fransz, D [43] | 2018 | prospective cohort | yes | yes | yes | yes | yes | yes | yes | yes | yes | yes | yes |
| Hägglund, M [32] | 2006 | prospective cohort | yes | yes | yes | yes | yes | yes | yes | yes (2 seasons: 2001–2002) | yes | yes | yes |
| Henry, T [18] | 2016 | prospective cohort | yes | yes | yes | yes | yes | yes | yes | yes (2 seasons: 2008–2009) | unclear | no | yes |
| Kristenson [46] | 2013 | prospective cohort | no | yes | unclear | unclear | not applicable | yes | yes | 2010–2011 | yes | no | yes |
| Bjørneboe J [40] | 2010 | prospective cohort | no | yes | yes | unclear | not applicable | yes | yes | yes 2004–2007 | yes | unclear | yes |
| McHugh [36] | 2006 | prospective cohort | yes | yes | yes | yes | yes | yes | yes | 2 years | yes | not applicable | yes |
| McCann [37] | 2018 | prospective cohort | yes | yes | yes | yes | unclear | yes | yes | unclear | yes | not applicable | yes |
| Christopher M [38] | 2017 | prospective cohort | yes | yes | yes | yes | unclear | yes | yes | 2 years | yes | not applicable | yes |
| Kawaguchi [34] | 2021 | prospective cohort | yes | yes | yes | yes | unclear | yes | yes | 2019 season | yes | not applicable | yes |
| Kofotolis [4] | 2006 | prospective cohort | yes | yes | yes | yes | unclear | yes | yes | 2 years | yes | not applicable | yes |
| Vieira [41] | 2012 | prospective cohort | yes | yes | unclear | yes | unclear | yes | unclear | 2009 season | yes | not applicable | unclear |
| Jupil ko [35] | 2018 | prospective pilot study | yes | yes | yes | yes | unclear | yes | yes | 2014/2015 | yes | not applicable | yes |
Table A2.
Quality assessment of RCT studies based on Cochrane tools.
Table A2.
Quality assessment of RCT studies based on Cochrane tools.
| Author | Random Sequence Generation | Allocation Concealment | Blinding of Participants and Personnel | Blinding of Outcome Assessment | Incomplete Outcome Data | Selective Reporting | Other Bias |
|---|---|---|---|---|---|---|---|
| Emery C 2010 [33] | yes | yes | yes | yes | No | probably | not detected |
References
- Junge, A.; Dvorak, J.; Graf-Baumann, T. Football injuries during the World Cup 2002. Am. J. Sports Med. 2004, 32 (Suppl. S1), 23–27. [Google Scholar]
- Cloke, D.J.; Spencer, S.; Hodson, A.; Deehan, D. The epidemiology of ankle injuries occurring in English Football Association academies. Br. J. Sports Med. 2009, 43, 1119–1125. [Google Scholar]
- Hootman, J.M.; Dick, R.; Agel, J. Epidemiology of collegiate injuries for 15 sports: Summary and recommendations for injury prevention initiatives. J. Athl. Train. 2007, 42, 311. [Google Scholar]
- Kofotolis, N.D.; Kellis, E.; Vlachopoulos, S.P. Ankle sprain injuries and risk factors in amateur soccer players during a 2-year period. Am. J. Sports Med. 2007, 35, 458–466. [Google Scholar] [PubMed]
- Fong, D.T.-P.; Hong, Y.; Chan, L.-K.; Yung, P.S.-H.; Chan, K.-M. A systematic review on ankle injury and ankle sprain in sports. Sports Med. 2007, 37, 73–94. [Google Scholar] [PubMed]
- Andersen, T.E.; Floerenes, T.W.; Arnason, A.; Bahr, R. Video analysis of the mechanisms for ankle injuries in football. Am. J. Sports Med. 2004, 32 (Suppl. S1), 69–79. [Google Scholar] [CrossRef] [PubMed]
- Palmer-Green, D.S.; Batt, M.E.; Scammell, B.E. Simple advice for a simple ankle sprain? The not so benign ankle injury. Osteoarthr. Cartil. 2016, 24, 947–948. [Google Scholar]
- Verhagen, E.; Van Der Beek, A.; Twisk, J.; Bouter, L.; Bahr, R.; Van Mechelen, W. The effect of a proprioceptive balance board training program for the prevention of ankle sprains: A prospective controlled trial. Am. J. Sports Med. 2004, 32, 1385–1393. [Google Scholar]
- Emery, C.; Roos, E.M.; Verhagen, E.; Finch, C.; Bennell, K.; Story, B.; Spindler, K.; Kemp, J.; Lohmander, L. OARSI clinical trials recommendations: Design and conduct of clinical trials for primary prevention of osteoarthritis by joint injury prevention in sport and recreation. Osteoarthr. Cartil. 2015, 23, 815–825. [Google Scholar]
- Valderrabano, V.; Hintermann, B.; Horisberger, M.; Fung, T.S. Ligamentous posttraumatic ankle osteoarthritis. Am. J. Sports Med. 2006, 34, 612–620. [Google Scholar]
- Whittaker, J.L.; Woodhouse, L.; Nettel-Aguirre, A.; Emery, C. Outcomes associated with early post-traumatic osteoarthritis and other negative health consequences 3–10 years following knee joint injury in youth sport. Osteoarthr. Cartil. 2015, 23, 1122–1129. [Google Scholar]
- Emery, C.A.; Roy, T.-O.; Whittaker, J.L.; Nettel-Aguirre, A.; Van Mechelen, W. Neuromuscular training injury prevention strategies in youth sport: A systematic review and meta-analysis. Br. J. Sports Med. 2015, 49, 865–870. [Google Scholar]
- Hägglund, M.; Atroshi, I.; Wagner, P.; Waldén, M. Superior compliance with a neuromuscular training programme is associated with fewer ACL injuries and fewer acute knee injuries in female adolescent football players: Secondary analysis of an RCT. Br. J. Sports Med. 2013, 47, 974–979. [Google Scholar] [PubMed]
- Olsen, O.-E.; Myklebust, G.; Engebretsen, L.; Holme, I.; Bahr, R. Exercises to prevent lower limb injuries in youth sports: Cluster randomised controlled trial. BMJ 2005, 330, 449. [Google Scholar] [PubMed]
- Owoeye, O.B.; Akinbo, S.R.; Tella, B.A.; Olawale, O.A. Efficacy of the FIFA 11+ warm-up programme in male youth football: A cluster randomised controlled trial. J. Sports Sci. Med. 2014, 13, 321. [Google Scholar] [PubMed]
- Soligard, T.; Nilstad, A.; Steffen, K.; Myklebust, G.; Holme, I.; Dvorak, J.; Bahr, R.; Andersen, T.E. Compliance with a comprehensive warm-up programme to prevent injuries in youth football. Br. J. Sports Med. 2010, 44, 787–793. [Google Scholar]
- Faude, O.; Rößler, R.; Junge, A. Football injuries in children and adolescent players: Are there clues for prevention? Sports Med. 2013, 43, 819–837. [Google Scholar]
- Henry, T.; Evans, K.; Snodgrass, S.J.; Miller, A.; Callister, R. Risk factors for noncontact ankle injuries in amateur male soccer players: A prospective cohort study. Clin. J. Sport. Med. 2016, 26, 251–258. [Google Scholar]
- Liberati, A.; Altman, D.G.; Tetzlaff, J.; Mulrow, C.; Gøtzsche, P.C.; Ioannidis, J.P.; Clarke, M.; Devereaux, P.J.; Kleijnen, J.; Moher, D. The PRISMA statement for reporting systematic reviews and meta-analyses of studies that evaluate health care interventions: Explanation and elaboration. Ann. Intern. Med. 2009, 151, W-65–W-94. [Google Scholar]
- Ouzzani, M.; Hammady, H.; Fedorowicz, Z.; Elmagarmid, A. Rayyan—A web and mobile app for systematic reviews. Syst. Rev. 2016, 5, 1–10. [Google Scholar]
- Porritt, K.; Gomersall, J.; Lockwood, C. JBI’s systematic reviews: Study selection and critical appraisal. AJN Am. J. Nurs. 2014, 114, 47–52. [Google Scholar] [PubMed]
- Wan, X.; Wang, W.; Liu, J.; Tong, T. Estimating the sample mean and standard deviation from the sample size, median, range and/or interquartile range. BMC Med. Res. Methodol. 2014, 14, 135. [Google Scholar]
- Aoki, H.; Kohno, T.; Fujiya, H.; Kato, H.; Yatabe, K.; Morikawa, T.; Seki, J. Incidence of injury among adolescent soccer players: A comparative study of artificial and natural grass turfs. Clin. J. Sport Med. 2010, 20, 1–7. [Google Scholar] [PubMed]
- Arnason, A.; Sigurdsson, S.B.; Gudmundsson, A.; Holme, I.; Engebretsen, L.; Bahr, R. Risk factors for injuries in football. Am. J. Sports Med. 2004, 32, 5–16. [Google Scholar]
- De Ridder, R.; Witvrouw, E.; Dolphens, M.; Roosen, P.; Van Ginckel, A. Hip strength as an intrinsic risk factor for lateral ankle sprains in youth soccer players: A 3-season prospective study. Am. J. Sports Med. 2017, 45, 410–416. [Google Scholar]
- Ekstrand, J.; Gillquist, J. Soccer injuries and their mechanisms: A prospective study. Med. Sci. Sports Exerc. 1983, 15, 267–270. [Google Scholar] [PubMed]
- Ekstrand, J.; Hägglund, M.; Fuller, C. Comparison of injuries sustained on artificial turf and grass by male and female elite football players. Scand. J. Med. Sci. Sports 2011, 21, 824–832. [Google Scholar]
- Emery, C.A.; Meeuwisse, W.H.; Hartmann, S.E. Evaluation of risk factors for injury in adolescent soccer: Implementation and validation of an injury surveillance system. Am. J. Sports Med. 2005, 33, 1882–1891. [Google Scholar]
- Engebretsen, A.H.; Myklebust, G.; Holme, I.; Engebretsen, L.; Bahr, R. Intrinsic risk factors for acute ankle injuries among male soccer players: A prospective cohort study. Scand. J. Med. Sci. Sports 2010, 20, 403–410. [Google Scholar]
- Faude, O.; Junge, A.; Kindermann, W.; Dvorak, J. Risk factors for injuries in elite female soccer players. Br. J. Sports Med. 2006, 40, 785–790. [Google Scholar]
- Fousekis, K.; Tsepis, E.; Vagenas, G. Intrinsic risk factors of noncontact ankle sprains in soccer: A prospective study on 100 professional players. Am. J. Sports Med. 2012, 40, 1842–1850. [Google Scholar] [PubMed]
- Hägglund, M.; Waldén, M.; Ekstrand, J. Previous injury as a risk factor for injury in elite football: A prospective study over two consecutive seasons. Br. J. Sports Med. 2006, 40, 767–772. [Google Scholar] [PubMed]
- Emery, C.; Meeuwisse, W. The effectiveness of a neuromuscular prevention strategy to reduce injuries in youth soccer: A cluster-randomised controlled trial. Br. J. Sports Med. 2010, 44, 555–562. [Google Scholar]
- Kawaguchi, K.; Taketomi, S.; Mizutani, Y.; Inui, H.; Yamagami, R.; Kono, K.; Takagi, K.; Kage, T.; Sameshima, S.; Tanaka, S. Hip abductor muscle strength deficit as a risk factor for inversion ankle sprain in male college soccer players: A prospective cohort study. Orthop. J. Sports Med. 2021, 9, 23259671211020287. [Google Scholar] [CrossRef] [PubMed]
- Ko, J.; Rosen, A.B.; Brown, C.N. Functional performance tests identify lateral ankle sprain risk: A prospective pilot study in adolescent soccer players. Scand. J. Med. Sci. Sports 2018, 28, 2611–2616. [Google Scholar]
- McHugh, M.P.; Tyler, T.F.; Tetro, D.T.; Mullaney, M.J.; Nicholas, S.J. Risk factors for noncontact ankle sprains in high school athletes: The role of hip strength and balance ability. Am. J. Sports Med. 2006, 34, 464–470. [Google Scholar]
- McCann, R.S.; Kosik, K.B.; Terada, M.; Beard, M.Q.; Buskirk, G.E.; Gribble, P.A. Acute lateral ankle sprain prediction in collegiate women’s soccer players. Int. J. Sports Phys. Ther. 2018, 13, 12. [Google Scholar]
- Powers, C.M.; Ghoddosi, N.; Straub, R.K.; Khayambashi, K. Hip strength as a predictor of ankle sprains in male soccer players: A prospective study. J. Athl. Train. 2017, 52, 1048–1055. [Google Scholar]
- Soligard, T.; Bahr, R.; Andersen, T.E. Injury risk on artificial turf and grass in youth tournament football. Scand. J. Med. Sci. Sports 2012, 22, 356–361. [Google Scholar]
- Bjørneboe, J.; Bahr, R.; Andersen, T.E. Risk of injury on third-generation artificial turf in Norwegian professional football. Br. J. Sports Med. 2010, 44, 794–798. [Google Scholar]
- Vieira, R.B.; Bertolini, F.M.; Vieira, T.C.; Aguiar, R.M.; Pinheiro, G.B.; Lasmar, R.C.P. Incidence of ankle sprains in soccer players with joint hypermobility syndrome. Rev. Bras. Ortop. 2012, 47, 710–713. [Google Scholar] [CrossRef]
- Carling, C.; McCall, A.; Le Gall, F.; Dupont, G. The impact of short periods of match congestion on injury risk and patterns in an elite football club. Br. J. Sports Med. 2016, 50, 764–768. [Google Scholar] [CrossRef] [PubMed]
- Fransz, D.P.; Huurnink, A.; Kingma, I.; de Boode, V.A.; Heyligers, I.C.; van Dieën, J.H. Performance on a single-legged drop-jump landing test is related to increased risk of lateral ankle sprains among male elite soccer players: A 3-year prospective cohort study. Am. J. Sports Med. 2018, 46, 3454–3462. [Google Scholar] [CrossRef]
- Ekstrand, J.; Tropp, H. The incidence of ankle sprains in soccer. Foot Ankle 1990, 11, 41–44. [Google Scholar] [CrossRef] [PubMed]
- Engebretsen, A.H.; Myklebust, G.; Holme, I.; Engebretsen, L.; Bahr, R. Prevention of injuries among male soccer players: A prospective, randomized intervention study targeting players with previous injuries or reduced function. Am. J. Sports Med. 2008, 36, 1052–1060. [Google Scholar] [CrossRef] [PubMed]
- Kristenson, K.; Bjørneboe, J.; Waldén, M.; Andersen, T.E.; Ekstrand, J.; Hägglund, M. The Nordic Football Injury Audit: Higher injury rates for professional football clubs with third-generation artificial turf at their home venue. Br. J. Sports Med. 2013, 47, 775–781. [Google Scholar] [CrossRef]
- Ekstrand, J.; Timpka, T.; Hägglund, M. Risk of injury in elite football played on artificial turf versus natural grass: A prospective two-cohort study. Br. J. Sports Med. 2006, 40, 975–980. [Google Scholar] [CrossRef]
- Brinkman, R.E.; Evans, T.A. History of ankle sprain as a risk factor of future lateral ankle sprain in athletes. J. Sport. Rehabil. 2011, 20, 384–388. [Google Scholar] [CrossRef][Green Version]
- Garrett, W.E., Jr. Muscle strain injuries. Am. J. Sports Med. 1996, 24, S2–S8. [Google Scholar] [CrossRef]
- Tedeschi, R.; Ricci, V.; Tarantino, D.; Tarallo, L.; Catani, F.; Donati, D. Rebuilding Stability: Exploring the Best Rehabilitation Methods for Chronic Ankle Instability. Sports 2024, 12, 282. [Google Scholar] [CrossRef]
- Williams, S.; Hume, P.A.; Kara, S. A review of football injuries on third and fourth generation artificial turfs compared with natural turf. Sports Med. 2011, 41, 903–923. [Google Scholar] [CrossRef] [PubMed]
- Steffen, K.; Andersen, T.E.; Bahr, R. Risk of injury on artificial turf and natural grass in young female football players. Br. J. Sports Med. 2007, 41 (Suppl. S1), i33–i37. [Google Scholar] [CrossRef] [PubMed]
- Fuller, C.W.; Dick, R.W.; Corlette, J.; Schmalz, R. Comparison of the incidence, nature and cause of injuries sustained on grass and new generation artificial turf by male and female football players. Part 1: Match injuries. Br. J. Sports Med. 2007, 41 (Suppl. S1), i20–i26. [Google Scholar] [CrossRef]
- Griffith, G.G.; Brett, A.G.; Gregory, P.G.; Heath, P.G. Playing Surface and Injury Risk: Artificial Turf vs. Natural Grass. In Chapter 3: Injuries and Sports Medicine; Thomas Robert, W., Stanislaw, P.S., Eds.; IntechOpen: Rijeka, Croatia, 2022. [Google Scholar]
- Bocchinfuso, C.; Sitler, M.R.; Kimura, I.F. Effects of Two Semirigid Prophylactic Ankle Stabilizers on Speed, Agility, and Vertical Jump. J. Sport Rehabil. 1994, 3, 125–134. [Google Scholar] [CrossRef]
- Greene, T.A.; Wight, C.R. A comparative support evaluation of three ankle orthoses before, during, and after exercise. J. Orthop. Sports Phys. Ther. 1990, 11, 453–466. [Google Scholar] [CrossRef]
- Gross, M.T.; Everts, J.R.; Roberson, S.E.; Roskin, D.S.; Young, K.D. Effect of Donjoy Ankle Ligament Protector and Aircast Sport-Stirrup orthoses on functional performance. J. Orthop. Sports Phys. Ther. 1994, 19, 150–156. [Google Scholar] [CrossRef]
- Macpherson, K.; Sitler, M.; Kimura, I.; Horodyski, M. Effects of a semirigid and softshell prophylactic ankle stabilizer on selected performance tests among high school football players. J. Orthop. Sports Phys. Ther. 1995, 21, 147–152. [Google Scholar] [CrossRef] [PubMed]
- Paris, D.L.; Sullivan, S.J. Isometric strength of rearfoot inversion and eversion in nonsupported, taped, and braced ankles assessed by a hand-held dynamometer. J. Orthop. Sports Phys. Ther. 1992, 15, 229–235. [Google Scholar] [CrossRef]
- Gross, M.T.; Liu, H.Y. The role of ankle bracing for prevention of ankle sprain injuries. J. Orthop. Sports Phys. Ther. 2003, 33, 572–577. [Google Scholar] [CrossRef]
- Putnam, A.R.; Bandolin, S.N.; Krabak, B.J. Impact of Ankle Bracing on Skill Performance in Recreational Soccer Players. PM&R 2012, 4, 574–579. [Google Scholar] [CrossRef]
- Burks, R.T.; Bean, B.G.; Marcus, R.; Barker, H.B. Analysis of athletic performance with prophylactic ankle devices. Am. J. Sports Med. 1991, 19, 104–106. [Google Scholar] [CrossRef]
- Bot, S.D.; van Mechelen, W. The effect of ankle bracing on athletic performance. Sports Med. 1999, 27, 171–178. [Google Scholar] [CrossRef] [PubMed]
- Tropp, H.; Askling, C.; Gillquist, J. Prevention of ankle sprains. Am. J. Sports Med. 1985, 13, 259–262. [Google Scholar] [CrossRef]
- Surve, I.; Schwellnus, M.P.; Noakes, T.; Lombard, C. A fivefold reduction in the incidence of recurrent ankle sprains in soccer players using the Sport-Stirrup orthosis. Am. J. Sports Med. 1994, 22, 601–606. [Google Scholar] [CrossRef] [PubMed]
- Ekstrand, J.; Gillquist, J.; Liljedahl, S.-O. Prevention of soccer injuries: Supervision by doctor and physiotherapist. Am. J. Sports Med. 1983, 11, 116–120. [Google Scholar]
- Sharpe, S.R.; Knapik, J.; Jones, B. Ankle braces effectively reduce recurrence of ankle sprains in female soccer players. J. Athl. Train. 1997, 32, 21–24. [Google Scholar]
- Kofotolis, N.; Kellis, E. Ankle sprain injuries: A 2-year prospective cohort study in female Greek professional basketball players. J. Athl. Train. 2007, 42, 388–394. [Google Scholar] [PubMed]
- Botsis, A.E.; Schwarz, N.A.; Harper, M.E.; Liu, W.; Rooney, C.A.; Gurchiek, L.R.; Kovaleski, J.E. Effect of Kinesio(®) Taping on Ankle Complex Motion and Stiffness and Jump Landing Time to Stabilization in Female Ballet Dancers. J. Funct. Morphol. Kinesiol. 2019, 4, 19. [Google Scholar] [CrossRef]
- Bailey, D.; Firth, P. Does kinesiology taping of the ankles affect proprioceptive control in professional football (soccer) players? Phys. Ther. Sport 2017, 25, 94–98. [Google Scholar] [CrossRef]
- Briem, K.; Eythörsdöttir, H.; Magnúsdóttir, R.G.; Pálmarsson, R.; Rúnarsdöttir, T.; Sveinsson, T. Effects of kinesio tape compared with nonelastic sports tape and the untaped ankle during a sudden inversion perturbation in male athletes. J. Orthop. Sports Phys. Ther. 2011, 41, 328–335. [Google Scholar] [CrossRef]
- Callaghan, M.J. Role of ankle taping and bracing in the athlete. Br. J. Sports Med. 1997, 31, 102–108. [Google Scholar] [CrossRef]
- Fong, D.T.; Chan, Y.Y.; Mok, K.M.; Yung, P.S.; Chan, K.M. Understanding acute ankle ligamentous sprain injury in sports. Sports Med. Arthrosc. Rehabil. Ther. Technol. 2009, 1, 14. [Google Scholar] [CrossRef]
- Olmsted, L.C.; Vela, L.I.; Denegar, C.R.; Hertel, J. Prophylactic Ankle Taping and Bracing: A Numbers-Needed-to-Treat and Cost-Benefit Analysis. J. Athl. Train. 2004, 39, 95–100. [Google Scholar] [PubMed]
- Dizon, J.M.; Reyes, J.J. A systematic review on the effectiveness of external ankle supports in the prevention of inversion ankle sprains among elite and recreational players. J. Sci. Med. Sport 2010, 13, 309–317. [Google Scholar] [CrossRef] [PubMed]
- Feger, M.A.; Donovan, L.; Hart, J.M.; Hertel, J. Lower extremity muscle activation in patients with or without chronic ankle instability during walking. J. Athl. Train. 2015, 50, 350–357. [Google Scholar] [CrossRef] [PubMed]
- Mendez-Rebolledo, G.; Guzmán-Venegas, R.; Cruz-Montecinos, C.; Watanabe, K.; Calatayud, J.; Martinez-Valdes, E. Individuals with chronic ankle instability show altered regional activation of the peroneus longus muscle during ankle eversion. Scand. J. Med. Sci. Sports 2024, 34, e14535. [Google Scholar] [CrossRef]
- Tyler, T.F.; Mchugh, M.P.; Mirabella, M.R.; Mullaney, M.J.; Nicholas, S.J. Risk factors for noncontact ankle sprains in high school football players: The role of previous ankle sprains and body mass index. Am. J. Sports Med. 2006, 34, 471–475. [Google Scholar]
- Mason, J.; Kniewasser, C.; Hollander, K.; Zech, A. Intrinsic Risk Factors for Ankle Sprain Differ Between Male and Female Athletes: A Systematic Review and Meta-Analysis. Sports Med. Open 2022, 8, 139. [Google Scholar] [CrossRef]
- Bahr, R.; Krosshaug, T. Understanding injury mechanisms: A key component of preventing injuries in sport. Br. J. Sports Med. 2005, 39, 324–329. [Google Scholar] [CrossRef]
- van Mechelen, W.; Hlobil, H.; Kemper, H.C. Incidence, severity, aetiology and prevention of sports injuries. A review of concepts. Sports Med. 1992, 14, 82–99. [Google Scholar] [CrossRef]
- Willems, T.M.; Witvrouw, E.; Delbaere, K.; Philippaerts, R.; De Bourdeaudhuij, I.; De Clercq, D. Intrinsic risk factors for inversion ankle sprains in females—A prospective study. Scand J. Med. Sci. Sports 2005, 15, 336–345. [Google Scholar] [CrossRef] [PubMed]
Disclaimer/Publisher’s Note: The statements, opinions and data contained in all publications are solely those of the individual author(s) and contributor(s) and not of MDPI and/or the editor(s). MDPI and/or the editor(s) disclaim responsibility for any injury to people or property resulting from any ideas, methods, instructions or products referred to in the content. |
© 2025 by the authors. Licensee MDPI, Basel, Switzerland. This article is an open access article distributed under the terms and conditions of the Creative Commons Attribution (CC BY) license (https://creativecommons.org/licenses/by/4.0/).











