When Does the Prey/Predator Ratio Work for the Effective Biocontrol of Cotton Aphid on Cotton Seedlings?
Abstract
Simple Summary
Abstract
1. Introduction
2. Materials and Methods
Statistics
3. Results
3.1. The Population Growth Rate of Cotton Aphid
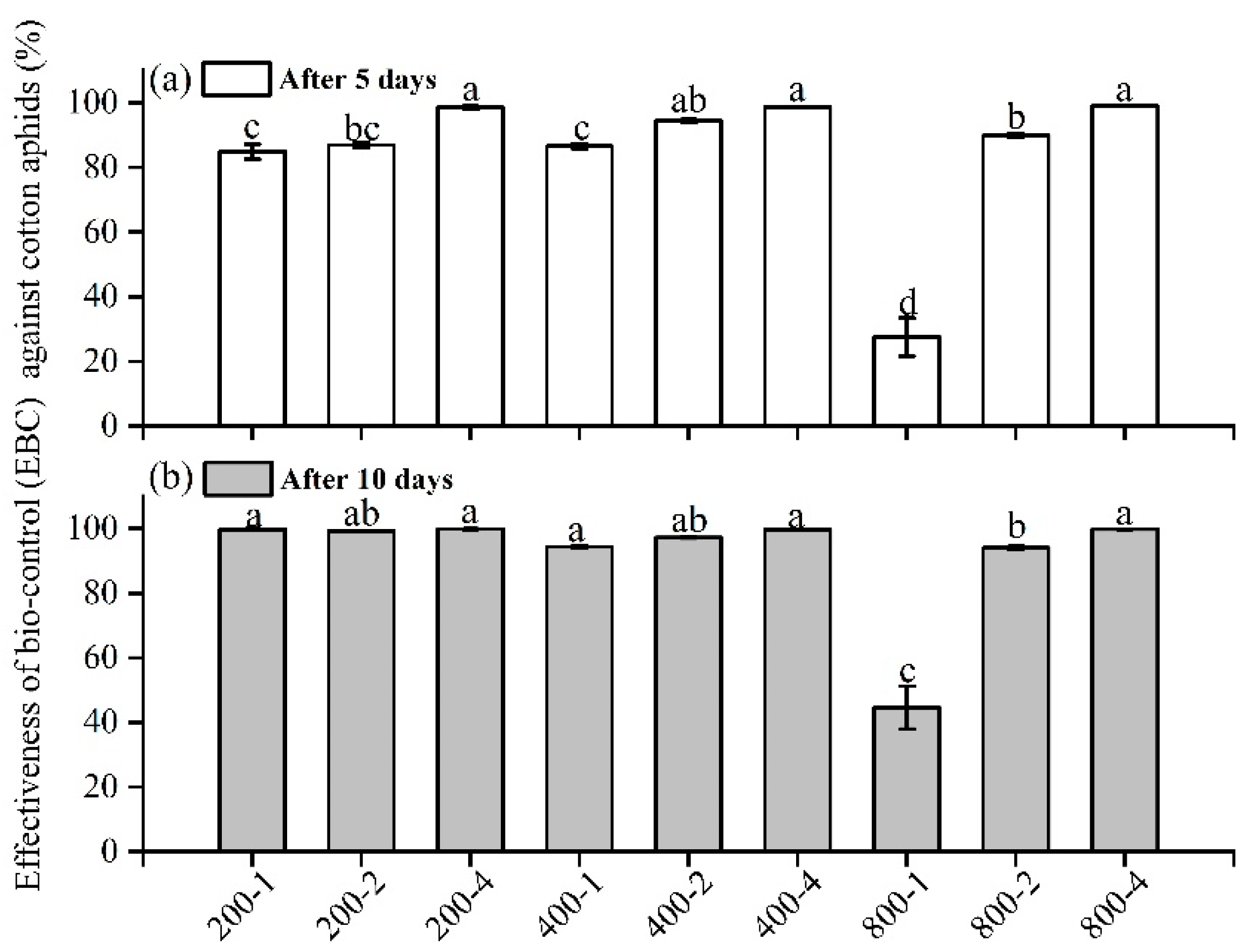
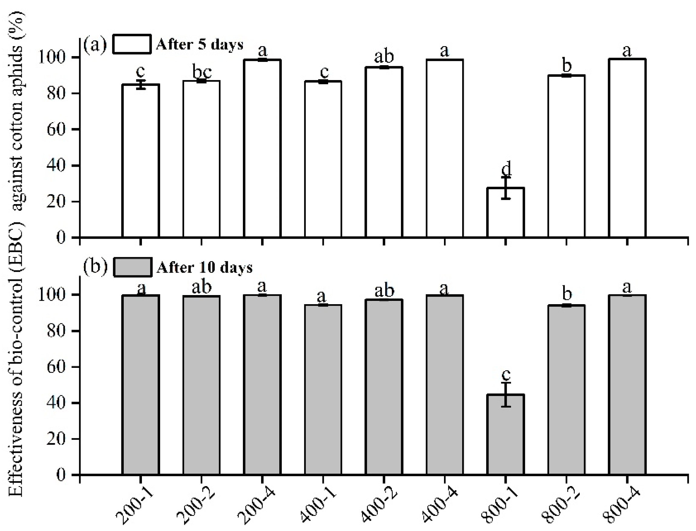
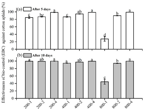
3.2. Biocontrol Efficiency (EBC) Affected by Multiple Factors
3.3. The Biocontrol Efficiency in Laboratory and Garden
4. Discussion
Supplementary Materials
Author Contributions
Funding
Institutional Review Board Statement
Data Availability Statement
Acknowledgments
Conflicts of Interest
References
- Van Driesche, R.G.; Carruthers, R.I.; Hoddle, M.S.; Houghgoldstein, J.; Morin, L.; Smith, L.; Wagner, D.L.; Blossey, B.; Brancatini, V.; Casagrande, R.A. Classical biological control for the protection of natural ecosystems. Biol. Control 2010, 54, S2–S33. [Google Scholar] [CrossRef]
- Ali, A.; Desneux, N.; Lu, Y.; Wu, K. Key aphid natural enemies showing positive effects on wheat yield through biocontrol services in northern China. Agric. Ecosyst. Environ. 2018, 266, 1–9. [Google Scholar] [CrossRef]
- Bengtsson, J.A.N. Biological control as an ecosystem service: Partitioning contributions of nature and human inputs to yield. Ecol. Entomol. 2015, 40, 45–55. [Google Scholar] [CrossRef]
- Denslow, J.S.; D’Antonio, C.M. After biocontrol: Assessing indirect effects of insect releases. Biol. Control 2005, 35, 307–318. [Google Scholar] [CrossRef]
- Zhang, W.; Swinton, S.M. Optimal control of soybean aphid in the presence of natural enemies and the implied value of their ecosystem services. J. Environ. Manag. 2012, 96, 7–16. [Google Scholar] [CrossRef]
- Rusch, A.; Chaplin-Kramer, R.; Gardiner, M.M.; Hawro, V.; Holland, J.; Landis, D.; Thies, C.; Tscharntke, T.; Weisser, W.W.; Winqvist, C.; et al. Agricultural landscape simplification reduces natural pest control: A quantitative synthesis. Agric. Ecosyst. Environ. 2016, 221, 198–204. [Google Scholar] [CrossRef]
- Landis, D.A.; Gardiner, M.M.; van der Werf, W.; Swinton, S.M. Increasing corn for biofuel production reduces biocontrol services in agricultural landscapes. Proc. Natl. Acad. Sci. USA 2008, 105, 20552–20557. [Google Scholar] [CrossRef]
- Torres, J.B.; Bueno, A.d.F. Conservation biological control using selective insecticides–a valuable tool for IPM. Biol. Control 2018, 126, 53–64. [Google Scholar] [CrossRef]
- Machado, A.V.; Potin, D.M.; Torres, J.B.; Torres, C.S.S. Selective insecticides secure natural enemies action in cotton pest management. Ecotoxicol. Environ. Saf. 2019, 184, 109669. [Google Scholar] [CrossRef]
- Pavela, R.; Benelli, G. Essential oils as ecofriendly biopesticides? Challenges and constraints. Trends Plant Sci. 2016, 21, 1000–1007. [Google Scholar] [CrossRef]
- Smith, G.H.; Roberts, J.M.; Pope, T.W. Terpene based biopesticides as potential alternatives to synthetic insecticides for control of aphid pests on protected ornamentals. Crop Prot. 2018, 110, 125–130. [Google Scholar] [CrossRef]
- Amadou, L.; Ba, M.N.; Baoua, I.; Muniappan, R. Timing of releases of the parasitoid Habrobracon hebetor and numbers needed in augmentative biological control against the millet head miner Heliocheilus albipunctella. BioControl 2019, 64, 573–581. [Google Scholar] [CrossRef]
- Gontijo, L.M.; Carvalho, R.M. Using life stage-structured matrix models to determine natural enemy: Pest release ratios for augmentative biological control. J. Appl. Entomol. 2020, 144, 364–372. [Google Scholar] [CrossRef]
- Gagic, V.; Paull, C.; Schellhorn, N.A. Ecosystem service of biological pest control in Australia: The role of non-crop habitats within landscapes. Austral Entomol. 2018, 57, 194–206. [Google Scholar] [CrossRef]
- González-Chang, M.; Tiwari, S.; Sharma, S.; Wratten, S.D. Habitat management for pest management: Limitations and prospects. Ann. Entomol. Soc. Am. 2019, 112, 302–317. [Google Scholar] [CrossRef]
- Wu, K.M.; Lu, Y.H.; Feng, H.Q.; Jiang, Y.Y.; Zhao, J.Z. Suppression of cotton bollworm in multiple crops in China in areas with Bt toxin–containing cotton. Science 2008, 321, 1676–1678. [Google Scholar] [CrossRef] [PubMed]
- Lu, Y.; Wu, K.; Jiang, Y.; Guo, Y.; Desneux, N. Widespread adoption of Bt cotton and insecticide decrease promotes biocontrol services. Nature 2012, 487, 362–365. [Google Scholar] [CrossRef]
- Romeis, J.; Naranjo, S.E.; Meissle, M.; Shelton, A.M. Genetically engineered crops help support conservation biological control. Biol. Control 2019, 130, 136–154. [Google Scholar] [CrossRef]
- Begg, G.S.; Cook, S.M.; Dye, R.; Ferrante, M.; Franck, P.; Lavigne, C.; Lövei, G.L.; Mansion-Vaquie, A.; Pell, J.K.; Petit, S. A functional overview of conservation biological control. Crop Prot. 2017, 97, 145–158. [Google Scholar] [CrossRef]
- Settele, J.; Settle, W.H. Conservation biological control: Improving the science base. Proc. Natl. Acad. Sci. USA 2018, 115, 8241–8243. [Google Scholar] [CrossRef]
- Monzó, C.; Stansly, P.A. Economic value of conservation biological control for management of the Asian citrus psyllid, vector of citrus Huanglongbing disease. Pest Manag. Sci. 2020, 76, 1691–1698. [Google Scholar] [CrossRef] [PubMed]
- Shields, M.W.; Johnson, A.C.; Pandey, S.; Cullen, R.; González-Chang, M.; Wratten, S.D.; Gurr, G.M. History, current situation and challenges for conservation biological control. Biol. Control 2019, 131, 25–35. [Google Scholar] [CrossRef]
- Opit, G.; Nechols, J.; Margolies, D. Biological control of twospotted spider mites, Tetranychus urticae Koch (Acari: Tetranychidae), using Phytoseiulus persimilis Athias-Henriot (Acari: Phytoseidae) on ivy geranium: Assessment of predator release ratios. Biol. Control 2004, 29, 445–452. [Google Scholar] [CrossRef]
- Weintraub, P.G.; Pivonia, S.; Steinberg, S. How many Orius laevigatus are needed for effective western flower thrips, Frankliniella occidentalis, management in sweet pepper? Crop Prot. 2011, 30, 1443–1448. [Google Scholar] [CrossRef]
- Amoah, B.; Anderson, J.; Erram, D.; Gomez, J.; Harris, A.; Kivett, J.; Ruang-Rit, K.; Wang, Y.; Murray, L.; Nechols, J. Plant spatial distribution and predator–prey ratio affect biological control of the twospotted spider mite Tetranychus urticae (Acari: Tetranychidae) by the predatory mite Phytoseiulus persimilis (Acari: Phytoseiidae). Biocontrol Sci. Technol. 2016, 26, 548–561. [Google Scholar] [CrossRef]
- Riddick, E.W. Identification of conditions for successful aphid control by ladybirds in greenhouses. Insects 2017, 8, 38. [Google Scholar] [CrossRef]
- Moerkens, R.; Janssen, D.; Brenard, N.; Reybroeck, E.; del Mar Tellez, M.; Rodríguez, E.; Bosmans, L.; Leirs, H.; Sluydts, V. Simplified modelling enhances biocontrol decision making in tomato greenhouses for three important pest species. J. Pest Sci. 2020, 94, 285–295. [Google Scholar] [CrossRef]
- Mensah, R. Development of an integrated pest management programme for cotton. Part 1: Establishing and utililizing natural enemies. Int. J. Pest Manag. 2002, 48, 87–94. [Google Scholar] [CrossRef]
- Shrestha, R.B.; Parajulee, M.N. Potential cotton aphid, Aphis gossypii, population suppression by arthropod predators in upland cotton. Insect Sci. 2013, 20, 778–788. [Google Scholar] [CrossRef]
- Herron, G.A.; Wilson, L.J. Can resistance management strategies recover insecticide susceptibility in pests?: A case study with cotton aphid Aphis gossypii (Aphididae: Hemiptera) in Australian cotton. Austral Entomol. 2017, 56, 1–13. [Google Scholar] [CrossRef]
- Chamuene, A.; Araújo, T.A.D.; Lopes, M.C.; Ramos Pereira, R.; Berger, P.G.; Picanço, M.C. Investigating the natural mortality of Aphis gossypii (Hemiptera: Aphididae) on cotton crops in tropical regions using ecological life tables. Environ. Entomol. 2020, 49, 66–72. [Google Scholar] [CrossRef] [PubMed]
- Lu, Z.Z.; Perkins, L.E.; Li, J.B.; Wu, W.Y.; Zalucki, M.P.; Gao, G.Z.; Furlong, M.J. Abundance of Aphis gossypii (Homoptera; Aphididae) and its main predators in organic and conventional cotton fields in north-west China. Ann. Appl. Biol. 2015, 166, 249–256. [Google Scholar] [CrossRef]
- Slosser, J.; Pinchak, W.; Rummel, D. A review of known and potential factors affecting the population dynamics of the cotton aphid. Southwest. Entomol. 1989, 14, 302–313. [Google Scholar]
- Slosser, J.; Parajulee, M.; Hendrix, D.; Henneberry, T.; Rummel, D. Relationship between Aphis gossypii (Homoptera: Aphididae) and sticky lint in cotton. J. Econ. Entomol. 2002, 95, 299–306. [Google Scholar] [CrossRef]
- Wu, K.; Guo, Y. Influences of Bacillus thuringiensis Berliner cotton planting on population dynamics of the cotton aphid, Aphis gossypii Glover, in northern China. Environ. Entomol. 2003, 32, 312–318. [Google Scholar] [CrossRef]
- Luo, S.; Naranjo, S.E.; Wu, K. Biological control of cotton pests in China. Biol. Control 2014, 68, 6–14. [Google Scholar] [CrossRef]
- Ran, R.B.; Wei, J.H. An investigation on the effectiveness of aphidophagous natural enemies in cotton field. J. Northwest A F Univ. 1985, 1, 14–24. [Google Scholar]
- Xia, C. Study on model of natural enemy/pest index indicating natural contorl capacity to pest. J. Ecol. 1992, 11, 22–27. [Google Scholar]
- Chen, X.; Tie, M.; Chen, A.; Ma, K.; Li, F.; Liang, P.; Liu, Y.; Song, D.; Gao, X. Pyrethroid resistance associated with M918 L mutation and detoxifying metabolism in Aphis gossypii from Bt cotton growing regions of China. Pest Manag. Sci. 2017, 73, 2353–2359. [Google Scholar] [CrossRef]
- Wei, X.; Pan, Y.; Xin, X.; Zheng, C.; Gao, X.; Xi, J.; Shang, Q. Cross-resistance pattern and basis of resistance in a thiamethoxam-resistant strain of Aphis gossypii Glover. Pestic. Biochem. Physiol. 2017, 138, 91–96. [Google Scholar] [CrossRef]
- Andrade, L.H.d.; Oliveira, J.V.d.; Breda, M.O.; Marques, E.J.; Lima, I.M.d.M. Effects of botanical insecticides on the instantaneous population growth rate of Aphis gossypii Glover (Hemiptera: Aphididae) in cotton. Acta Sci. 2012, 34, 119–124. [Google Scholar] [CrossRef][Green Version]
- Wang, T.; Zhang, P.; Ma, C.; Yasir Ali, M.; Gao, G.; Lu, Z.; Zalucki, M.P. Is Orius sauteri Poppius a promising biological control agent for walnut aphids? An assessment from the laboratory to field. Insects 2021, 12, 25. [Google Scholar] [CrossRef] [PubMed]
- Lu, Z.Z.; Gao, G.Z.; Sun, P.; Perkins, L.E.; Zalucki, M.P.; Zhou, S.M. Population dynamics of Aphis gossypii Glov. on cotton: Influence of temperature, initial density and predators. Egypt. J. Biol. Pest Control 2015, 25, 415. [Google Scholar]
- Pan, H.; Liu, B.; Jaworski, C.C.; Yang, L.; Liu, Y.; Desneux, N.; Thomine, E.; Lu, Y. Effects of aphid density and plant taxa on predatory ladybeetle abundance at field and landscape scales. Insects 2020, 11, 695. [Google Scholar] [CrossRef] [PubMed]
- Lu, Y.; Wyckhuys, K.A.G.; Yang, L.; Liu, B.; Zeng, J.; Jiang, Y.; Desneux, N.; Zhang, W.; Wu, K. Bt cotton area contraction drives regional pest resurgence, crop loss, and pesticide use. Plant Biotechnol. J. 2021, 20, 390–398. [Google Scholar] [CrossRef] [PubMed]
- Ouyang, F.; Su, W.; Zhang, Y.; Liu, X.; Su, J.; Zhang, Q.; Men, X.; Ju, Q.; Ge, F. Ecological control service of the predatory natural enemy and its maintaining mechanism in rotation-intercropping ecosystem via wheat-maize-cotton. Agric. Ecosyst. Environ. 2020, 301, 107024. [Google Scholar] [CrossRef]
- Ali, A.; Desneux, N.; Lu, Y.; Liu, B.; Wu, K. Characterization of the natural enemy community attacking cotton aphid in the Bt cotton ecosystem in Northern China. Sci. Rep. 2016, 6, 24273. [Google Scholar] [CrossRef]
- Hallett, R.H.; Bahlai, C.A.; Xue, Y.; Schaafsma, A.W. Incorporating natural enemy units into a dynamic action threshold for the soybean aphid, Aphis glycines (Homoptera: Aphididae). Pest Manag. Sci. 2014, 70, 879–888. [Google Scholar] [CrossRef]
- Liu, B.; Yang, L.; Yang, F.; Wang, Q.; Yang, Y.; Lu, Y.; Gardiner, M.M. Landscape diversity enhances parasitism of cotton bollworm (Helicoverpa armigera) eggs by Trichogramma chilonis in cotton. Biol. Control 2016, 93, 15–23. [Google Scholar] [CrossRef]
- Yang, F.; Liu, B.; Zhu, Y.; Wyckhuys, K.A.G.; van der Werf, W.; Lu, Y. Species diversity and food web structure jointly shape natural biological control in agricultural landscapes. Commun. Biol. 2021, 4, 979. [Google Scholar] [CrossRef]
- Lu, Z.X.; Yang, P.Y.; Zhao, Z.G. China’s ‘Green Plant Protection’ Initiative: Coordinated Promotion of Biodiversity-Related Technologies; Gurr, G.M., Wratten, S.D., Suyder, W.E., Read, D.M.Y., Eds.; Biodiversity and Insect Pests: Key Issues for Sustainable Management; John Wiley & Sons: Hoboken, NJ, USA, 2012; pp. 230–240. [Google Scholar]
- Zhang, W.Y.; Wei, J.Y. Research on the reducing of pesticides and fertilizars in my country and the promoting countermeasures. North. Hortic. 2021, 167–172. [Google Scholar]






Publisher’s Note: MDPI stays neutral with regard to jurisdictional claims in published maps and institutional affiliations. |
© 2022 by the authors. Licensee MDPI, Basel, Switzerland. This article is an open access article distributed under the terms and conditions of the Creative Commons Attribution (CC BY) license (https://creativecommons.org/licenses/by/4.0/).
Share and Cite
Zhang, P.; Lu, Y.; Chao, W.; Dong, Z.; Ali, A.; Liu, T.-X.; Lu, Z. When Does the Prey/Predator Ratio Work for the Effective Biocontrol of Cotton Aphid on Cotton Seedlings? Insects 2022, 13, 400. https://doi.org/10.3390/insects13050400
Zhang P, Lu Y, Chao W, Dong Z, Ali A, Liu T-X, Lu Z. When Does the Prey/Predator Ratio Work for the Effective Biocontrol of Cotton Aphid on Cotton Seedlings? Insects. 2022; 13(5):400. https://doi.org/10.3390/insects13050400
Chicago/Turabian StyleZhang, Ping, Yao Lu, Wendi Chao, Zhaoke Dong, Abid Ali, Tong-Xian Liu, and Zhaozhi Lu. 2022. "When Does the Prey/Predator Ratio Work for the Effective Biocontrol of Cotton Aphid on Cotton Seedlings?" Insects 13, no. 5: 400. https://doi.org/10.3390/insects13050400
APA StyleZhang, P., Lu, Y., Chao, W., Dong, Z., Ali, A., Liu, T.-X., & Lu, Z. (2022). When Does the Prey/Predator Ratio Work for the Effective Biocontrol of Cotton Aphid on Cotton Seedlings? Insects, 13(5), 400. https://doi.org/10.3390/insects13050400

