Resistance Affects the Field Performance of Insecticides Used for Control of Choristoneura rosaceana in Michigan Apples and Cherries
Abstract
Simple Summary
Abstract
1. Introduction
- (1)
- Identify the performance of different insecticides against resistant C. rosaceana field populations originating from apple and cherry using a field-based residual bioassay and compare it with their performance in laboratory-based bioassays.
- (2)
- Assess the toxicity longevity of the different insecticides against C. rosaceana field populations in apple and cherry using field-based residual bioassays and residue analysis.
2. Materials and Methods
2.1. Insects
2.2. Field Residual Activity Trials
2.3. Field-Based Residual Bioassay
2.4. Residues Analysis
2.5. Statistical Analysis
3. Results
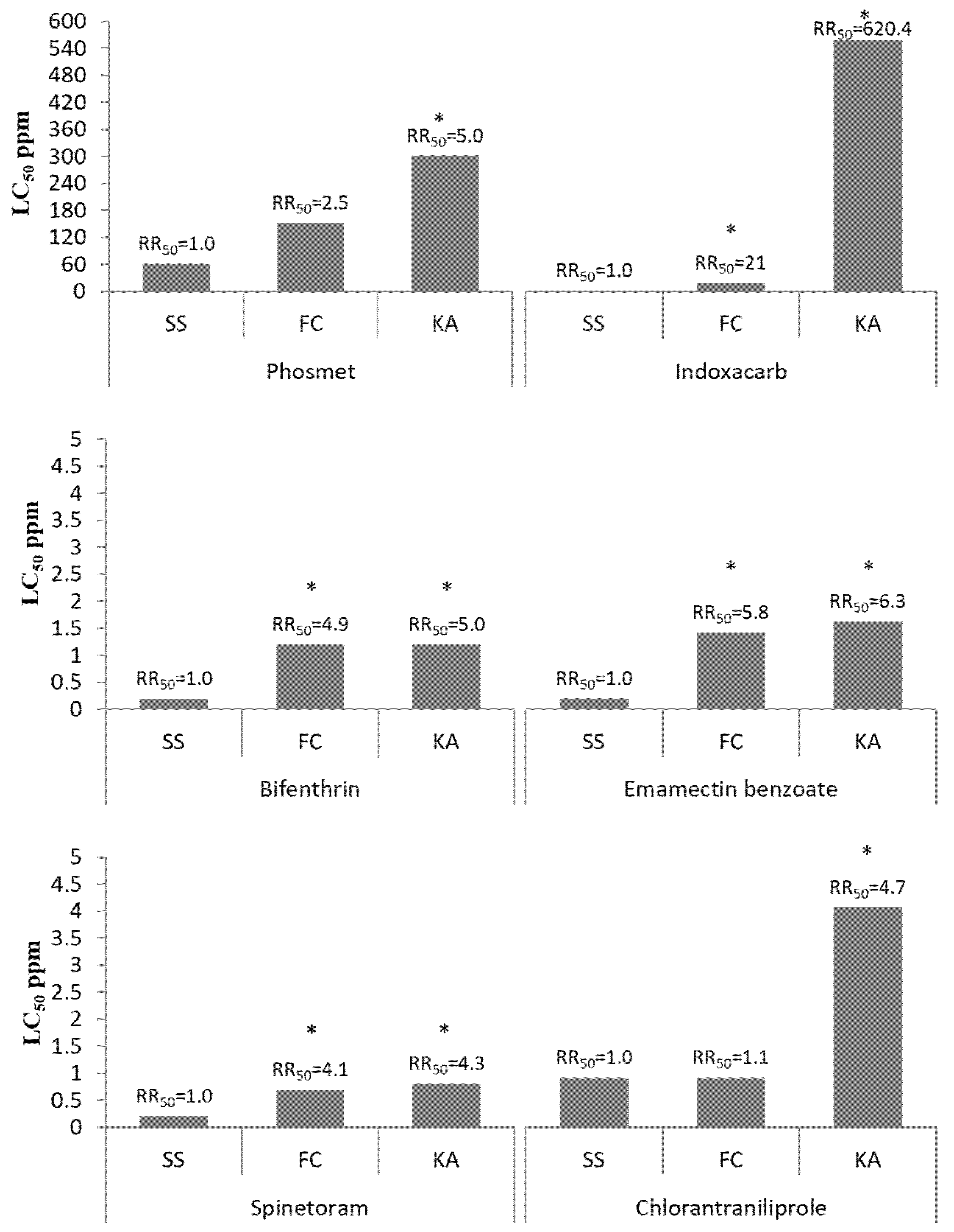
3.1. Apple Trial
3.1.1. Phosmet
3.1.2. Bifenthrin
3.1.3. Spinetoram
3.1.4. Chlorantraniliprole
3.1.5. Indoxacarb
3.1.6. Emamectin Benzoate
3.2. Cherry Trial
3.2.1. Phosmet
3.2.2. Bifenthrin
3.2.3. Spinetoram
3.2.4. Indoxacarb
3.2.5. Emamectin Benzoate
4. Discussion
4.1. Phosmet
4.2. Bifenthrin
4.3. Spinetoram
4.4. Chlorantraniliprole
4.5. Indoxacarb
4.6. Emamectin Benzoate
5. Conclusions
Author Contributions
Funding
Institutional Review Board Statement
Informed Consent Statement
Data Availability Statement
Acknowledgments
Conflicts of Interest
References
- Hafez, A.M.; Mota-Sanchez, D.; Gut, L.J.; Wise, J.C. Choristoneura rosaceana (Lepidoptera: Tortricidae) resistance to insecticides in Michigan apple and cherry orchards. J. Econ. Entomol. 2019, 112, 812–817. [Google Scholar] [CrossRef]
- Sanderson, E.D.; Jackson, A.D. The Oblique-banded leafroller: Archips rosaceana Harris. J. Econ. Entomol. 1909, 2, 391–403. [Google Scholar] [CrossRef]
- Ahmad, M.; Hollingworth, R.M.; Wise, J.C. Broad-spectrum insecticide resistance in obliquebanded leafroller Choristoneura rosaceana (Lepidoptera: Tortricidae) from Michigan. Pestic. Manag. Sci. 2002, 58, 834–838. [Google Scholar] [CrossRef] [PubMed]
- Hafez, A.M.; Mota-Sanchez, D.; Hollingworth, R.M.; Vandervoort, C.; Wise, J.C. Metabolic mechanisms of indoxacarb resistance in field populations of Choristoneura rosaceana (Harris) (Lepidoptera: Tortricidae). Pestic. Biochem. Physiol. 2020, 168, 104636. [Google Scholar] [CrossRef] [PubMed]
- Sial, A.A.; Brunner, J.F. Baseline toxicity and stage specificity of recently developed reduced-risk insecticides chlorantraniliprole and spinetoram to obliquebanded leafroller, Choristoneura rosaceana (Harris) (Lepidoptera: Tortricidae). Pestic. Manag. Sci. 2012, 68, 469–475. [Google Scholar] [CrossRef]
- Waldstein, D.E.; Reissig, W.H. Effects of field applied residues and length of exposure to tebufenozide on the obliquebanded leafroller (Lepidoptera: Tortricidae). J. Econ. Entomol. 2001, 94, 468–475. [Google Scholar] [CrossRef] [PubMed][Green Version]
- Sial, A.A.; Brunner, J.F. Lethal and sublethal effects of an insect growth regulator, pyriproxyfen, on obliquebanded leafroller (Lepidoptera: Tortricidae). J. Econ. Entomol. 2010, 103, 340–347. [Google Scholar] [CrossRef]
- Sial, A.A.; Brunner, J.F. Assessment of resistance risk in obliquebanded leafroller (Lepidoptera: Tortricidae) to the reduced-risk insecticides chlorantraniliprole and spinetoram. J. Econ. Entomol. 2010, 103, 1378–1385. [Google Scholar] [CrossRef]
- Sial, A.A.; Brunner, J.F.; Doerr, M.D. Susceptibility of Choristoneura rosaceana (Lepidoptera: Tortricidae) to two new reduced-risk insecticides. J. Econ. Entomol. 2010, 103, 140–146. [Google Scholar] [CrossRef]
- Sial, A.A.; Brunner, J.F. Selection for resistance, reversion towards susceptibility and synergism of chlorantraniliprole and spinetoram in obliquebanded leafroller, Choristoneura rosaceana (Lepidoptera: Tortricidae). Pestic. Manag. Sci. 2012, 68, 462–468. [Google Scholar] [CrossRef]
- Smirle, M.J.; Lowery, D.T.; Zurowski, C.L. Susceptibility of leafrollers (Lepidoptera: Tortricidae) from organic and conventional orchards to azinphosmethyl, spinosad, and Bacillus thuringiensis. J. Econ. Entomol. 2003, 96, 879–884. [Google Scholar] [CrossRef] [PubMed]
- Smirle, M.J.; Thomas Lowery, D.; Zurowski, C.L. Resistance and cross-resistance to four insecticides in populations of obliquebanded leafroller (Lepidoptera: Tortricidae). J. Econ. Entomol. 2002, 95, 820–825. [Google Scholar] [CrossRef] [PubMed]
- Dunley, J.E.; Brunner, J.F.; Doerr, M.D.; Beers, E.H. Resistance and cross-resistance in populations of the leafrollers, Choristoneura rosaceana and Pandemis pyrusana, in Washington apples. J. Insect Sci. 2006, 6, 14. [Google Scholar] [CrossRef] [PubMed]
- Tabashnik, B.E.; Mota-Sanchez, D.; Whalon, M.E.; Hollingworth, R.M.; Carrière, Y. Defining terms for proactive management of resistance to Bt crops and pesticides. J. Econ. Entomol. 2014, 107, 496–507. [Google Scholar] [CrossRef] [PubMed]
- Mota-Sanchez, D.; Wise, J.C.; Poppen, R.V.; Gut, L.J.; Hollingworth, R.M. Resistance of codling moth, Cydia pomonella (L.) (Lepidoptera: Tortricidae), larvae in Michigan to insecticides with different modes of action and the impact on field residual activity. Pestic. Manag. Sci. 2008, 64, 881–890. [Google Scholar] [CrossRef] [PubMed]
- Brunner, J.F.; Beers, E.H.; Dunley, J.E.; Doerr, M.; Granger, K. Role of neonicotinyl insecticides in Washington apple integrated pest management. Part I. Control of lepidopteran pests. J. Insect Sci. 2005, 5, 14. [Google Scholar] [CrossRef] [PubMed]
- Wise, J.C.; Coombs, A.B.; Vandervoort, C.; Gut, L.J.; Hoffmann, E.J.; Whalon, M.E. Use of residue profile analysis to identify modes of insecticide activity contributing to control of plum curculio in apples. J. Econ. Entomol. 2006, 99, 2055–2064. [Google Scholar] [CrossRef]
- Wise, J.C.; Kim, K.; Hoffmann, E.J.; Vandervoort, C.; Gökçe, A.; Whalon, M.E. Novel life stage targets against plum curculio, Conotrachelus nenuphar (Herbst), in apple integrated pest management. Pestic. Manag. Sci. 2007, 63, 737–742. [Google Scholar] [CrossRef]
- Sial, A.A.; Brunner, J.F. Toxicity and residual efficacy of chlorantraniliprole, spinetoram, and emamectin benzoate to obliquebanded leafroller (Lepidoptera: Tortricidae). J. Econ. Entomol. 2010, 103, 1277–1285. [Google Scholar] [CrossRef]
- Bruck, D.J.; Bolda, M.; Tanigoshi, L.; Klick, J.; Kleiber, J.; DeFrancesco, J.; Gerdeman, B.; Spitler, H. Laboratory and field comparisons of insecticides to reduce infestation of Drosophila suzukii in berry crops. Pestic. Manag. Sci. 2011, 67, 1375–1385. [Google Scholar] [CrossRef] [PubMed]
- Robertson, J.L.; Jones, M.M.; Olguin, E.; Alberts, B. Bioassays with Arthropods, 3rd ed.; CRC Press: Boca Raton, FL, USA, 2017; ISBN 9781482217087. [Google Scholar]
- Isaacs, R.; Mason, K.S.; Maxwell, E. Stage-specific control of grape berry moth, Endopiza viteana (Clemens) (Lepidoptera: Tortricidae), by selective and broad-spectrum insecticides. J. Econ. Entomol. 2005, 98, 415–422. [Google Scholar] [CrossRef]
- Liburd, O.E.; Finn, E.M.; Pettit, K.L.; Wise, J.C. Response of blueberry maggot fly (Diptera: Tephritidae) to imidacloprid-treated spheres and selected insecticides. Can. Entomol. 2003, 135, 427–438. [Google Scholar] [CrossRef]
- Barry, J.D.; Sciarappa, W.J.; Teixeira, L.A.; Polavarapu, S. Comparative effectiveness of different insecticides for organic management of blueberry maggot (Diptera: Tephritidae). J. Econ. Entomol. 2005, 98, 1236–1241. [Google Scholar] [CrossRef] [PubMed]
- Barry, J.D.; Polavarapu, S. Feeding and survivorship of blueberry maggot flies (Diptera: Tephritidae) on protein baits incorporated with insecticides. Fla. Entomol. 2005, 88, 268–277. [Google Scholar] [CrossRef]
- Yee, W.L.; Alston, D.G. Effects of spinosad, spinosad bait, and chloronicotinyl insecticides on mortality and control of adult and larval western cherry fruit fly (Diptera: Tephritidae). J. Econ. Entomol. 2006, 99, 1722–1732. [Google Scholar] [CrossRef]
- Reissig, W.H. Field and laboratory tests of new insecticides against the apple maggot, Rhagoletis pomonella (Walsh) (Diptera: Tephritidae). J. Econ. Entomol. 2003, 96, 1463–1472. [Google Scholar] [CrossRef]
- VanWoerkom, A.H.; Aćimović, S.G.; Sundin, G.W.; Cregg, B.M.; Mota-Sanchez, D.; Vandervoort, C.; Wise, J.C. Trunk injection: An alternative technique for pesticide delivery in apples. Crop Prot. 2014, 65, 173–185. [Google Scholar] [CrossRef]
- Abbott, W. A method of computing the effectiveness of an insecticide. J. Econ. Entomol. 1925, 18, 265–267. [Google Scholar] [CrossRef]
- SAS. SAS Version 9.4; SAS Institute: Cary, NC, USA, 2013. [Google Scholar]
- Chowdhury, A.B.M.N.U.; Jepson, P.C.; Howse, P.E.; Ford, M.G. Leaf surfaces and the bioavailability of pesticide residues. Pestic. Manag. Sci. 2001, 57, 403–412. [Google Scholar] [CrossRef]
- Extension Toxicology Network (EXTOXNET). Pesticide Information Profile: Phosmet, Extension Toxicology Network; Oregon State University: Corvallis, OR, USA, 1993. [Google Scholar]
- USEPA. Phosmet IRED Facts, Pesticides: Re-registration; United States Environmental Protection Agency: Washington, DC, USA, 2001. [Google Scholar]
- Wise, J.C.; Hulbert, D.; Vandervoort, C. Rainfall influences performance of insecticides on the codling moth (Lepidoptera: Tortricidae) in apples. Can. Entomol. 2017, 149, 118–128. [Google Scholar] [CrossRef]
- Andika, I.P.; Vandervoort, C.; Wise, J.C. Rainfastness of insecticides used to control spotted-wing drosophila in tart cherry production. Insects 2019, 10, 203. [Google Scholar] [CrossRef]
- Bostanian, N.J.; Vincent, C.; Isaacs, R. Arthropod Management in Vineyards: Pests, Approaches, and Future Directions; Springer Science & Business Media: Berlin/Heidelberg, Germany, 2012. [Google Scholar]
- Pree, D.J. Toxicity of phosmet, azinphosmethyl, and permethrin to the Oriental fruit moth and its parasite, Macrocentrus ancylivorus. Environ. Entomol. 1979, 8, 969–972. [Google Scholar] [CrossRef]
- Wise, J.C.; Vanderpoppen, R.; Vandervoort, C. Curative activity of insecticides on Rhagoletis pomonella (Diptera: Tephritidae) in apples. J. Econ. Entomol. 2009, 102, 1884–1890. [Google Scholar] [CrossRef]
- Hoffmann, E.J.; Vandervoort, C.; Wise, J.C. Plum curculio (Coleoptera: Curculionidae) adult mortality and associated fruit injury after exposure to field-aged insecticides on tart cherry branches. J. Econ. Entomol. 2010, 103, 1196–1205. [Google Scholar] [CrossRef]
- Hoffmann, E.J.; Vandervoort, C.; Wise, J.C. Curative activity of insecticides against plum curculio (Coleoptera: Curculionidae) in tart cherries. J. Econ. Entomol. 2009, 102, 1864–1873. [Google Scholar] [CrossRef]
- Johnson, M.; Luukinen, B.; Gervais, J.; Buhl, K.; Stone, D. Bifenthrin Technical Fact Sheet; National Pesticide Information Center, Oregon State University Extension Services: Corvallis, OR, USA; Office of Prevention, US Environmental Protection Agency: Washington, DC, USA, 2010; Available online: http://npic.orst.edu/factsheets/archive/biftech.html (accessed on 30 April 2019).
- USEPA. Pesticide Fact Sheet: Spinetoram; Office of Prevention, Pesticides and Toxic Substances, United State Environmental Protection Agency: Washington, DC, USA, 2009; pp. 1–13. [Google Scholar]
- USEPA. Pesticide Fact Sheet for Chlorantraniliprole; Office of Prevention, Pesticides and Toxic Substances, United State Environmental Protection Agency: Washington, DC, USA, 2008. [Google Scholar]
- Jamil, R.Z.R.; Vandervoort, C.; Wise, J.C. Residual toxicity of insecticides to Neoseiulus fallacis (Acari: Phytoseiidae) in apples. J. Econ. Entomol. 2019, 112, 2262–2267. [Google Scholar] [CrossRef]
- Teixeira, L.A.F.; Gut, L.J.; Wise, J.C.; Isaacs, R. Lethal and sublethal effects of chlorantraniliprole on three species of Rhagoletis fruit flies (Diptera: Tephritidae). Pestic. Manag. Sci. 2009, 65, 137–143. [Google Scholar] [CrossRef]
- Wing, K.D.; Sacher, M.; Kagaya, Y.; Tsurubuchi, Y.; Mulderig, L.; Connair, M.; Schnee, M. Bioactivation and mode of action of the oxadiazine indoxacarb in insects. Crop Prot. 2000, 19, 537–545. [Google Scholar] [CrossRef]
- Moncada, A.; Branch, E.M. Environmental Fate of Indoxacarb; Environmental Monitoring Branch, Dept. of Pesticide Regulation, California Environmental Protection Agency: Sacramento, CA, USA, 2003. [Google Scholar]
- Vogt, H.; Just, J.; Grutzmacher, A. Side effects of modern insecticides in fruit growing on the European earwig, Forficula auricularia. Mitt. Dtsch. Ges. Allg. Angew. Entomol. 2009, 17, 211–214. [Google Scholar]
- Jansson, R.; Brown, R.; Cartwright, B.; Cox, D.; Dunbar, D.; Dybas, R.; Eckel, C.; Lasota, J.; Mookerjee, P.; Norton, J. Emamectin benzoate: A novel avermectin derivative for control of lepidopterous pests. In Proceedings of the 3rd International Workshop on Management of Diamondback Moth and Other Crucifer Pests, Kuala Lumpur, Malaysia, 29 October–1 November 1996; pp. 1–7. [Google Scholar]
- Anderson, B.; Hetrick, J.; Doelling, P.; Spatz, D. Ecological Risk Assessment for Emamectin Benzoate Use as a Tree Injection Insecticide to Control Arthropod Pests; United States Environmental Protection Agency: Washington, DC, USA, 2009. [Google Scholar]
- Coslor, C.C.; Vandervoort, C.; Wise, J.C. Insecticide dose and seasonal timing of trunk injection in apples influence efficacy and residues in nectar and plant parts. Pestic. Manag. Sci. 2019, 75, 1453–1463. [Google Scholar] [CrossRef]
- Ioriatti, C.; Anfora, G.; Angeli, G.; Civolani, S.; Schmidt, S.; Pasqualini, E. Toxicity of emamectin benzoate to Cydia pomonella (L.) and Cydia molesta (Busck) (Lepidoptera: Tortricidae): Laboratory and field tests. Pestic. Manag. Sci. 2009, 65, 306–312. [Google Scholar] [CrossRef] [PubMed]
- Wise, J.C.; Gut, L.J.; Isaacs, R.; Schilder, A.M.C.; Sundin, G.W.; Zandstra, B.; Beaudry, R.; Lang, G. Michigan Fruit Management Guide; MSUE Bulletin E-0154; Michigan State University: East Lansing, MI, USA, 2018. [Google Scholar]





| Treatment | ||||
|---|---|---|---|---|
| Trial | Trade Name | Active Ingredient | AI/Acre (lb) | Company |
| Apple and Cherry | Imidan 70W | Phosmet | 3 | Gowan Company, Yuma, AZ, USA |
| Apple and Cherry | Bifenture 10DF | Bifenthrin | 1 | United Phosphorus, Inc., King of Prussia, PA, USA |
| Apple and Cherry | Delegate 25WG | Spinetoram | 0.375 | Dow AgroSciences, Indianapolis, IN, USA |
| Apple | Altacor 35WG | Chlorantraniliprole | 0.281 | I.E. du Pont De Nemours and Co., Wilmington, DE, USA |
| Apple and Cherry | Avaunt 30WG | Indoxacarb | 0.375 | I.E. du Pont De Nemours and Co., Wilmington, DE, USA |
| Apple and Cherry | Proclaim 5SG | Emamectin benzoate | 0.3 | Syngenta Crop Protection Inc., Greensboro, NC, USA |
| Chemical | LOD (µg/g) | LOQ (µg/g) |
|---|---|---|
| Phosmet | 0.001 | 0.005 |
| Bifenthrin | 0.005 | 0.016 |
| Spinetoram | 0.121 | 0.400 |
| Chlorantraniliprole | 0.015 | 0.050 |
| Indoxacarb | 0.001 | 0.002 |
| Emamectin benzoate | 0.010 | 0.050 |
Publisher’s Note: MDPI stays neutral with regard to jurisdictional claims in published maps and institutional affiliations. |
© 2021 by the authors. Licensee MDPI, Basel, Switzerland. This article is an open access article distributed under the terms and conditions of the Creative Commons Attribution (CC BY) license (https://creativecommons.org/licenses/by/4.0/).
Share and Cite
Hafez, A.M.; Mota-Sanchez, D.; Vandervoort, C.; Wise, J.C. Resistance Affects the Field Performance of Insecticides Used for Control of Choristoneura rosaceana in Michigan Apples and Cherries. Insects 2021, 12, 846. https://doi.org/10.3390/insects12090846
Hafez AM, Mota-Sanchez D, Vandervoort C, Wise JC. Resistance Affects the Field Performance of Insecticides Used for Control of Choristoneura rosaceana in Michigan Apples and Cherries. Insects. 2021; 12(9):846. https://doi.org/10.3390/insects12090846
Chicago/Turabian StyleHafez, Abdulwahab M., David Mota-Sanchez, Christine Vandervoort, and John C. Wise. 2021. "Resistance Affects the Field Performance of Insecticides Used for Control of Choristoneura rosaceana in Michigan Apples and Cherries" Insects 12, no. 9: 846. https://doi.org/10.3390/insects12090846
APA StyleHafez, A. M., Mota-Sanchez, D., Vandervoort, C., & Wise, J. C. (2021). Resistance Affects the Field Performance of Insecticides Used for Control of Choristoneura rosaceana in Michigan Apples and Cherries. Insects, 12(9), 846. https://doi.org/10.3390/insects12090846

