The Efficacy of Alternative, Environmentally Friendly Plant Protection Measures for Control of Fall Armyworm, Spodoptera Frugiperda, in Maize
Abstract
1. Introduction
2. Materials and Methods
2.1. Study Sites
2.2. General Experimental Design
2.3. Maltodextrin
2.4. Neem
2.5. Soil and Ash
2.6. Alata Samina
2.7. Data Analysis
3. Results
3.1. Maltodextrin
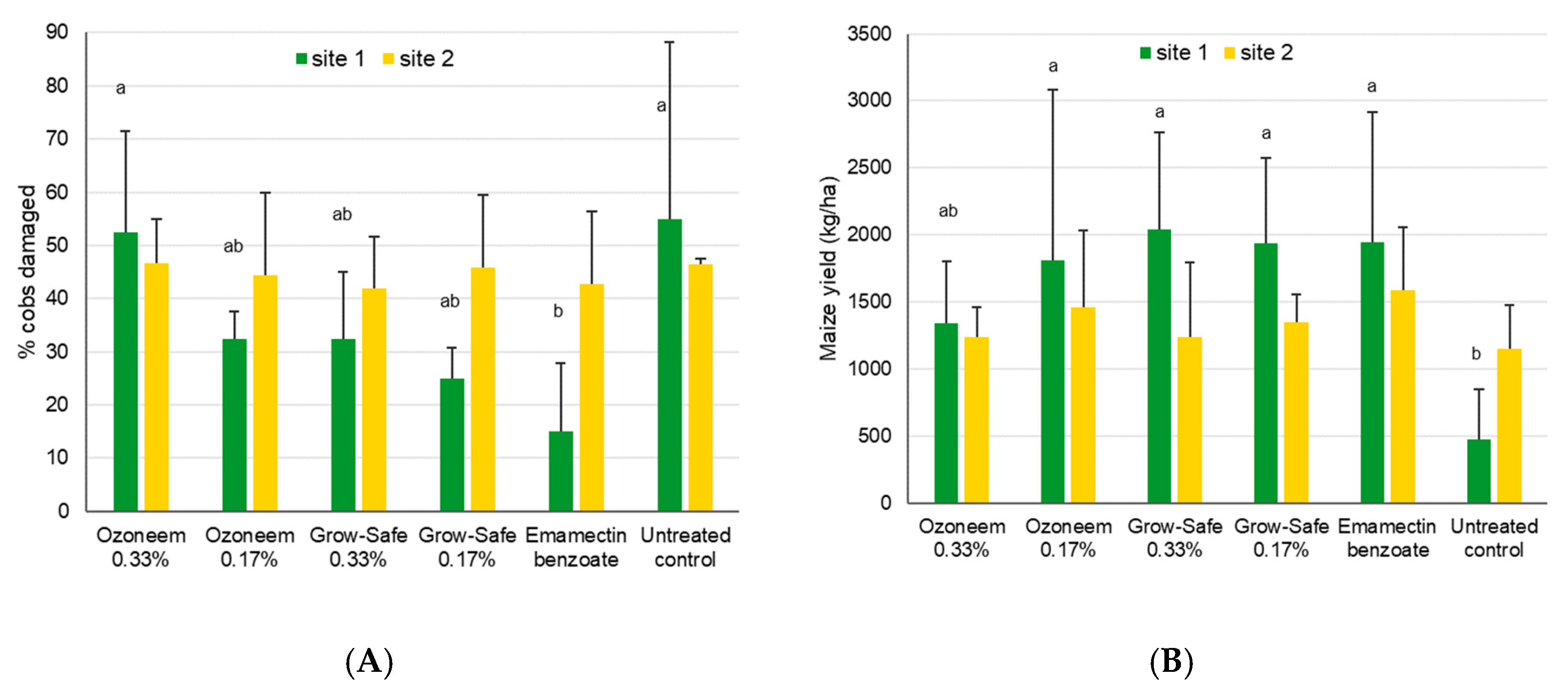
3.2. Neem
3.3. Ash and Soil
3.4. Alata Samina
4. Discussion
5. Conclusions
Author Contributions
Funding
Acknowledgments
Conflicts of Interest
References
- Montezano, D.G.; Specht, A.; Sosa-Gómez, D.R.; Roque-Specht, V.F.; Sousa-Silva, J.C.; de Paula-Moraes, S.V.; Peterson, J.A.; Hunt, T. Host Plants of Spodoptera frugiperda (Lepidoptera: Noctuidae) in the Americas. Fac. Publ. Dep. Entomol. 2018, 718. [Google Scholar] [CrossRef]
- Goergen, G.; Kumar, P.L.; Sankung, S.B.; Togola, A.; Tamo, M. First report of outbreaks of the fall armyworm Spodoptera frugiperda (JE Smith) (Lepidoptera, Noctuidae), a new alien invasive pest in West and Central Africa. PLoS ONE 2016, 11, e0165632. [Google Scholar] [CrossRef] [PubMed]
- Rwomushana, I.; Bateman, M.; Beale, T.; Beseh, P.; Cameron, K.; Chiluba, M.; Tambo, J. Fall Armyworm: Impacts and Implications for Africa; Evidence Note Update, October 2018; Report to DFID; CABI: Wallingford, Oxfordshire, UK, 2018. [Google Scholar]
- Baudron, F.; Zaman-Allah, M.A.; Chaipa, I.; Chari, N.; Chinwada, P. Understanding the factors influencing fall armyworm (Spodoptera frugiperda JE Smith) damage in African smallholder maize fields and quantifying its impact on yield. A case study in Eastern Zimbabwe. Crop Protect. 2019, 120, 141–150. [Google Scholar] [CrossRef]
- Early, R.; Gonzalez-Moreno, P.; Murphy, S.T.; Day, R. Forecasting the global extent of invasion of the cereal pest Spodoptera frugiperda, the fall armyworm. NeoBiota 2018, 40, 25–50. [Google Scholar] [CrossRef]
- Kansiime, M.K.; Mugambi, I.; Rwomushana, I.; Nunda, W.; Lamontagne-Godwin, J.; Rware, H.; Day, R. Farmer perception of fall armyworm (Spodoptera frugiderda JE Smith) and farm-level management practices in Zambia. Pest Manag. Sci. 2019, 75, 2840–2850. [Google Scholar] [CrossRef]
- Tambo, J.A.; Day, R.K.; Lamontagne-Godwin, J.; Silvestri, S.; Beseh, P.K.; Oppong-Mensah, B.; Matimelo, M. Tackling fall armyworm (Spodoptera frugiperda) outbreak in Africa: An analysis of farmers’ control actions. Int. J. Pest Manag. 2019. [Google Scholar] [CrossRef]
- Zhu, Y.C.; Blanco, C.A.; Portilla, M.; Adamczyk, J.; Luttrell, R.; Huang, F. Evidence of multiple/cross resistance to Bt and organophosphate insecticides in Puerto Rico population of the fall armyworm, Spodoptera frugiperda. Pestic. Biochem. Physiol. 2015, 122, 15–21. [Google Scholar] [CrossRef]
- Meagher, R.L.; Nuessly, G.S.; Nagoshi, R.N.; Hay-Roe, M.M. Parasitoids attacking fall armyworm (Lepidoptera: Noctuidae) in sweet corn habitats. Biol. Control 2016, 95, 66–72. [Google Scholar] [CrossRef]
- Kenis, M.; du Plessis, H.; Van den Berg, J.; Ba, M.N.; Goergen, G.; Kwadjo, K.E.; Offord, L. Telenomus remus, a candidate parasitoid for the biological control of Spodoptera frugiperda in Africa, is already present on the continent. Insects 2019, 10, 92. [Google Scholar] [CrossRef]
- Sisay, B.; Simiyu, J.; Mendesil, E.; Likhayo, P.; Ayalew, G.; Mohamed, S.; Tefera, T. Fall armyworm, Spodoptera frugiperda infestations in East Africa: Assessment of damage and parasitism. Insects 2019, 10, 195. [Google Scholar] [CrossRef]
- Bateman, M.L.; Day, R.K.; Luke, B.; Edgington, S.; Kuhlmann, U.; Cock, M.J. Assessment of potential biopesticide options for managing fall armyworm (Spodoptera frugiperda) in Africa. J. Appl. Entomol. 2018, 142, 805–819. [Google Scholar] [CrossRef]
- Harrison, R.D.; Thierfelder, C.; Baudron, F.; Chinwada, P.; Midega, C.; Schaffner, U.; van den Berg, J. Agro-ecological options for fall armyworm (Spodoptera frugiperda JE Smith) management: Providing low-cost, smallholder friendly solutions to an invasive pest. J. Environ. Manag. 2019, 243, 318–330. [Google Scholar] [CrossRef] [PubMed]
- Hruska, A.J. Fall armyworm (Spodoptera frugiperda) management by smallholders. CAB Rev. 2019, 14, 1–11. [Google Scholar] [CrossRef]
- Prasanna, B.M.; Huesing, J.E.; Eddy, R.; Peschke, V.M. Fall Armyworm in Africa: A Guide for Integrated Pest Management, 1st ed.; CIMMYT: CDMX, Mexico, 2018. [Google Scholar]
- Hailu, G.; Niassy, S.; Zeyaur, K.R.; Ochatum, N.; Subramanian, S. Maize–legume intercropping and push–pull for management of fall armyworm, stemborers, and Striga in Uganda. Agron. J. 2018, 110, 2513–2522. [Google Scholar] [CrossRef]
- Midega, C.A.; Pittchar, J.O.; Pickett, J.A.; Hailu, G.W.; Khan, Z.R. A climate-adapted push-pull system effectively controls fall armyworm, Spodoptera frugiperda (JE Smith), in maize in East Africa. Crop Prot. 2018, 105, 10–15. [Google Scholar] [CrossRef]
- Sisay, B.; Tefera, T.; Wakgari, M.; Ayalew, G.; Mendesil, E. The efficacy of selected synthetic insecticides and botanicals against fall armyworm, Spodoptera frugiperda, in maize. Insects 2019, 10, 45. [Google Scholar] [CrossRef]
- Guo, J.; Wu, S.; Zhang, F.; Huang, C.; He, K.; Babendreier, D.; Wang, Z. Microbial control of the fall armyworm Spodoptera frugiperda: A review. BioControl 2020. in review. [Google Scholar]
- Williams, L.A.D.; Mansingh, A. The insecticidal and acaricidal actions of compounds from Azadirachta indica (A. Juss.) and their use in tropical pest management. Integr. Pest Manag. Rev. 1996, 1, 133–145. [Google Scholar] [CrossRef]
- Chaudhary, S.; Kanwar, R.K.; Sehgal, A.; Cahill, D.M.; Barrow, C.J.; Sehgal, R.; Kanwar, J.R. Progress on Azadirachta indica based biopesticides in replacing synthetic toxic pesticides. Front. Plant Sci. 2017, 8, 610. [Google Scholar] [CrossRef]
- Dougoud, J.; Toepfer, S.; Bateman, M.; Jenner, W.H. Efficacy of homemade botanical insecticides based on traditional knowledge. A review. Agron. Sustain. Develop. 2019, 39, 37. [Google Scholar] [CrossRef]
- EFSA (European Food Safety Authority). Conclusion on the peer review of the pesticide risk assessment of the active substance maltodextrin. EFSA J. 2013, 11, 35. [Google Scholar] [CrossRef]
- Buss, E.A.; Park-Brown, S.G. Natural Products for Insect Pest Management; UF/IFAS: Gainesville, FL, USA, 2002. [Google Scholar]
- Wyckhuys, K.A.; O’Neil, R.J. Local agro-ecological knowledge and its relationship to farmers’ pest management decision making in rural Honduras. Agric. Human Values 2007, 24, 307–321. [Google Scholar] [CrossRef]
- Abate, T.; van Huis, A.; Ampofo, J.K.O. Pest management strategies in traditional agriculture: An African perspective. Annu. Rev. Entomol. 2000, 45, 631–659. [Google Scholar] [CrossRef] [PubMed]
- Mochiah, M.B.; Banful, B.; Fening, K.N.; Amoabeng, B.W.; Offei Bonsu, K.; Ekyem, S.; Braimah, H.; Owusu-Akyaw, M. Botanicals for the management of insect pests in organic vegetable production. J. Entomol. Nematol. 2011, 3, 85–97. [Google Scholar]
- De Groote, H.; Kimenju, S.C.; Munyua, B.; Palmas, S.; Kassie, M.; Bruce, A. Spread and impact of fall armyworm (Spodoptera frugiperda JE Smith) in maize production areas of Kenya. Agric. Ecosys. Environm. 2020, 292, 106804. [Google Scholar] [CrossRef]
- Akhtar, Y.; Yeoung, Y.R.; Isman, M.B. Comparative bioactivity of selected extracts from Meliaceae and some commercial botanical insecticides against two noctuid caterpillars, Trichoplusia ni and Pseudaletia unipuncta. Phytochem. Rev. 2008, 7, 77–88. [Google Scholar] [CrossRef]
- Tambo, J.A.; Kansiime, M.K.; Mugambi, I.; Rwomushana, I.; Kenis, M.; Day, R.K. Smallholders’ responses to fall armyworm invasion: Cross-country evidence from sub-Saharan Africa. Glob. Env. Change 2020. in review. [Google Scholar]
- Kumela, T.; Simiyu, J.; Sisay, B.; Likhayo, P.; Mendesil, E.; Gohole, L.; Tefera, T. Farmers’ knowledge, perceptions, and management practices of the new invasive pest, fall armyworm (Spodoptera frugiperda) in Ethiopia and Kenya. Int. J. Pest Manag. 2019, 65, 1–9. [Google Scholar] [CrossRef]
- Forchibe, E.E.; Fening, K.O.; Afreh-Nuamah, K. Effects of different pesticide management options on the population dynamics of aphids, Lipaphis erysimi pseudobrassicae (Davis) and Myzus persicae (Sulzer) (Hemiptera: Aphididae), their natural enemies and the yield of cabbage. Sci. Dev. 2017, 1, 1. [Google Scholar]
- Amoabeng, B.W.; Gurr, G.M.; Gitau, C.W.; Stevenson, P.C. Cost: Benefit analysis of botanical insecticide use in cabbage: Implications for smallholder farmers in developing countries. Crop Protect. 2014, 57, 71–76. [Google Scholar] [CrossRef]
- Stevenson, P.C.; Isman, M.B.; Belmain, S.R. Pesticidal plants in Africa: A global vision of new biological control products from local uses. Ind. Crops Prod. 2017, 110, 2–9. [Google Scholar] [CrossRef]













| Treatments | Site 1 (Wa, Upper West) | Site 2 (Near Accra) | ||
|---|---|---|---|---|
| Net Profit (GH¢) | Cost/Benefit Ratio | Net Profit (GH¢) | Cost/Benefit Ratio | |
| Ma 0.27% | 419.0 | 1.52 | −764.7 | −3.75 |
| Ma 0.53% | 753.8 | 1.74 | 348.1 | 1.13 |
| Ma 0.8% | 1136.9 | 1.93 | −586.4 | −1.42 |
| EB 0.167% | 2035.8 | 11.31 | 692.8 | 4.95 |
| Treatments | Site 1 (Wa, Upper West) | Site 2 (Near Accra) | ||
|---|---|---|---|---|
| Net Profit (GH¢) | Cost–Benefit | Net Profit (GH¢) | Cost–Benefit | |
| Ozoneem 0.33% | 821.7 | 2.11 | −104.2 | −0.37 |
| Ozoneem 0.17% | 1615 | 6.33 | 441.1 | 2.32 |
| Grow-Safe 0.33% | 1965.1 | 8.45 | 8.4 | 0.05 |
| Grow-Safe 0.17% | 1876.3 | 10.65 | 265.2 | 1.92 |
| EB 0.17% | 1885.0 | 10.47 | 743.4 | 5.31 |
| Treatments | Site 1 (Wa, Upper West) | Site 2 (Near Accra) | ||
|---|---|---|---|---|
| Net Profit (GH¢) | Cost–Benefit Ratio | Net Profit (GH¢) | Cost–Benefit Ratio | |
| Ash powder | -5.06 | −0.04 | 282.62 | 2.83 |
| Ash solution | 54.2 | 0.45 | 102.94 | 1.03 |
| Local soil | −67.5 | −0.56 | −119.94 | −1.20 |
| Ash and soil | 37.5 | 0.31 | 253.36 | 2.53 |
| EB 0.167% | 982.4 | 5.46 | 182.18 | 1.14 |
| Treatments | Site 1 (Wa, Upper West) | Site 2 (Near Accra) | ||
|---|---|---|---|---|
| Net Profit (GH¢) | Cost–Benefit Ratio | Net Profit (GH¢) | Cost–Benefit Ratio | |
| AS 0.033% | −244.3 | −2.02 | 218.5 | 2.17 |
| AS 0.067% | −13.8 | −0.11 | −324.6 | −3.20 |
| AS 0.1% | −297.2 | −2.42 | 342.8 | 3.36 |
| AS 0.13% | −46.6 | −0.38 | 723.0 | 7.04 |
| EB 0.17% | 48.3 | 0.27 | 2087.8 | 14.91 |
© 2020 by the authors. Licensee MDPI, Basel, Switzerland. This article is an open access article distributed under the terms and conditions of the Creative Commons Attribution (CC BY) license (http://creativecommons.org/licenses/by/4.0/).
Share and Cite
Babendreier, D.; Koku Agboyi, L.; Beseh, P.; Osae, M.; Nboyine, J.; Ofori, S.E.K.; Frimpong, J.O.; Attuquaye Clottey, V.; Kenis, M. The Efficacy of Alternative, Environmentally Friendly Plant Protection Measures for Control of Fall Armyworm, Spodoptera Frugiperda, in Maize. Insects 2020, 11, 240. https://doi.org/10.3390/insects11040240
Babendreier D, Koku Agboyi L, Beseh P, Osae M, Nboyine J, Ofori SEK, Frimpong JO, Attuquaye Clottey V, Kenis M. The Efficacy of Alternative, Environmentally Friendly Plant Protection Measures for Control of Fall Armyworm, Spodoptera Frugiperda, in Maize. Insects. 2020; 11(4):240. https://doi.org/10.3390/insects11040240
Chicago/Turabian StyleBabendreier, Dirk, Lakpo Koku Agboyi, Patrick Beseh, Michael Osae, Jerry Nboyine, Selorm E. K. Ofori, Justice O. Frimpong, Victor Attuquaye Clottey, and Marc Kenis. 2020. "The Efficacy of Alternative, Environmentally Friendly Plant Protection Measures for Control of Fall Armyworm, Spodoptera Frugiperda, in Maize" Insects 11, no. 4: 240. https://doi.org/10.3390/insects11040240
APA StyleBabendreier, D., Koku Agboyi, L., Beseh, P., Osae, M., Nboyine, J., Ofori, S. E. K., Frimpong, J. O., Attuquaye Clottey, V., & Kenis, M. (2020). The Efficacy of Alternative, Environmentally Friendly Plant Protection Measures for Control of Fall Armyworm, Spodoptera Frugiperda, in Maize. Insects, 11(4), 240. https://doi.org/10.3390/insects11040240

