Season Long Pest Management Efficacy and Spray Characteristics of a Solid Set Canopy Delivery System in High Density Apples
Abstract
:1. Introduction
- Quantify spray coverage on both the upper-side (adaxial) and under-side (abaxial) of leaf surfaces throughout a high density apple canopy at multiple time points.
- Quantify spray deposition on leaf surfaces at different levels within the canopy at multiple time points using a tartrazine tracer dye and absorption spectrophotometry.
- Evaluate season-long pest management of the SSCDS and its ability to suppress arthropod pests and plant pathogens compared to an airblast sprayer.
2. Materials and Methods
2.1. Experimental Area:
2.2. Spray Systems
- Spray material mixed in holding tank.
- Liquid mix is drawn out of tank by tandem gas powered pumps.
- Mix is pumped through manifold at <240 kPa into 5 cm diameter PVC header lines
- Once PVC lateral lines are filled, mix moves up into 2.5 cm polyethylene delivery lines.
- Mix fills top line, and then begins to return in 1.9 cm bottom hose.
- Circulated liquid is returned to holding tank and lines are filled with spray material.
- Return valve is closed, pump pressure increased to 415 kPa.
- Mix is applied through microsprinklers for 10 s (655 L ha−1).
- Return valve is opened, and air compressor pressurizes line at <240 kPa, pushing excess spray back to holding tank.
- Air pressure is increased to 415 kPa to purge mix from microsprinklers.
2.3. Coverage, Deposition, and Insect and Disease Damage Evaluations
2.3.1. Coverage
2.3.2. Deposition
2.3.3. Pest Management Efficacy
2.3.4. Statistical Analysis
3. Results
3.1. Adaxial Coverage
3.2. Abaxial Coverage
3.3. Deposition
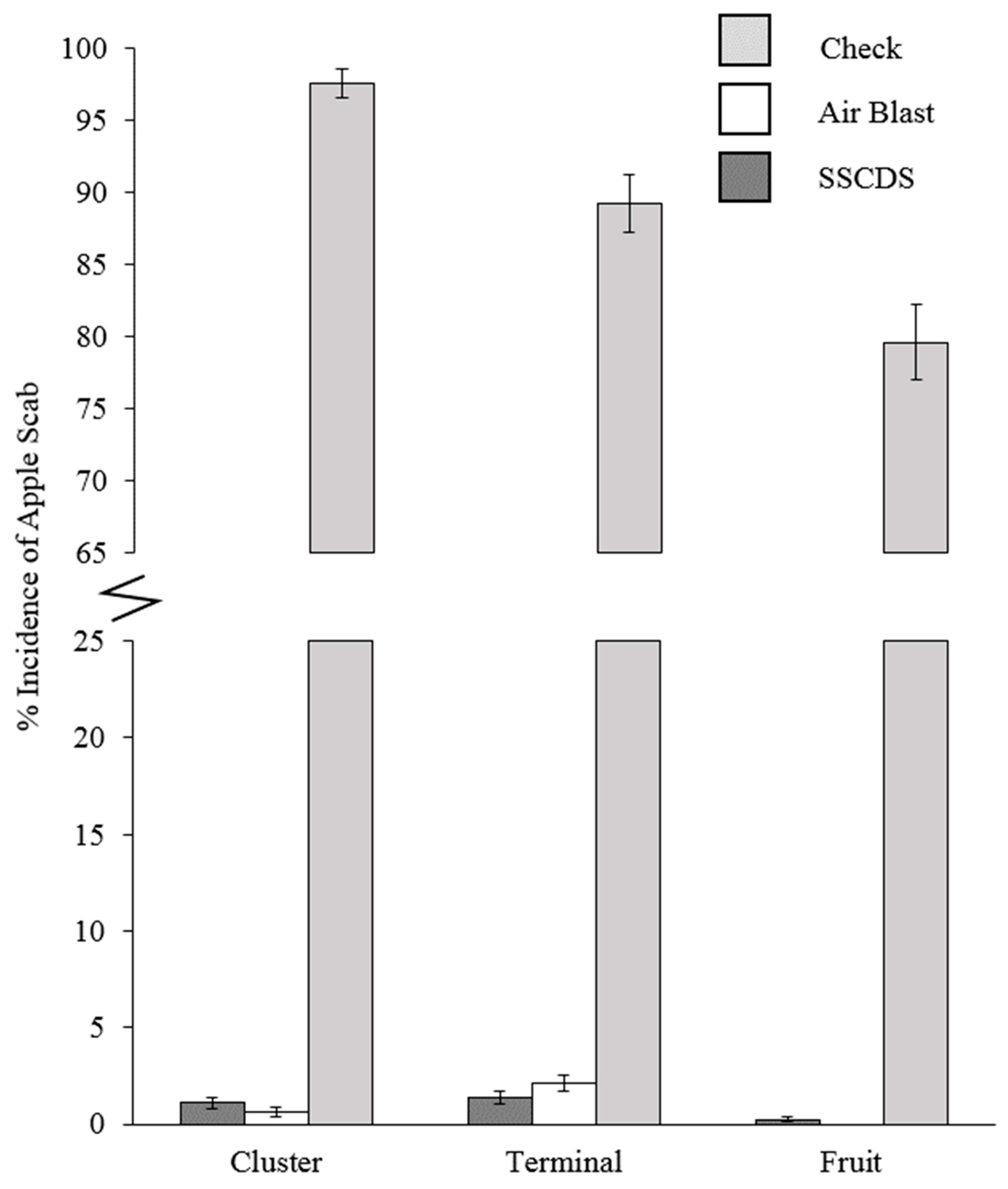
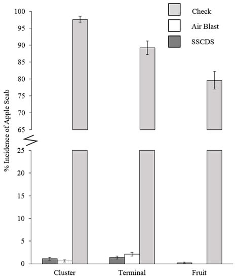
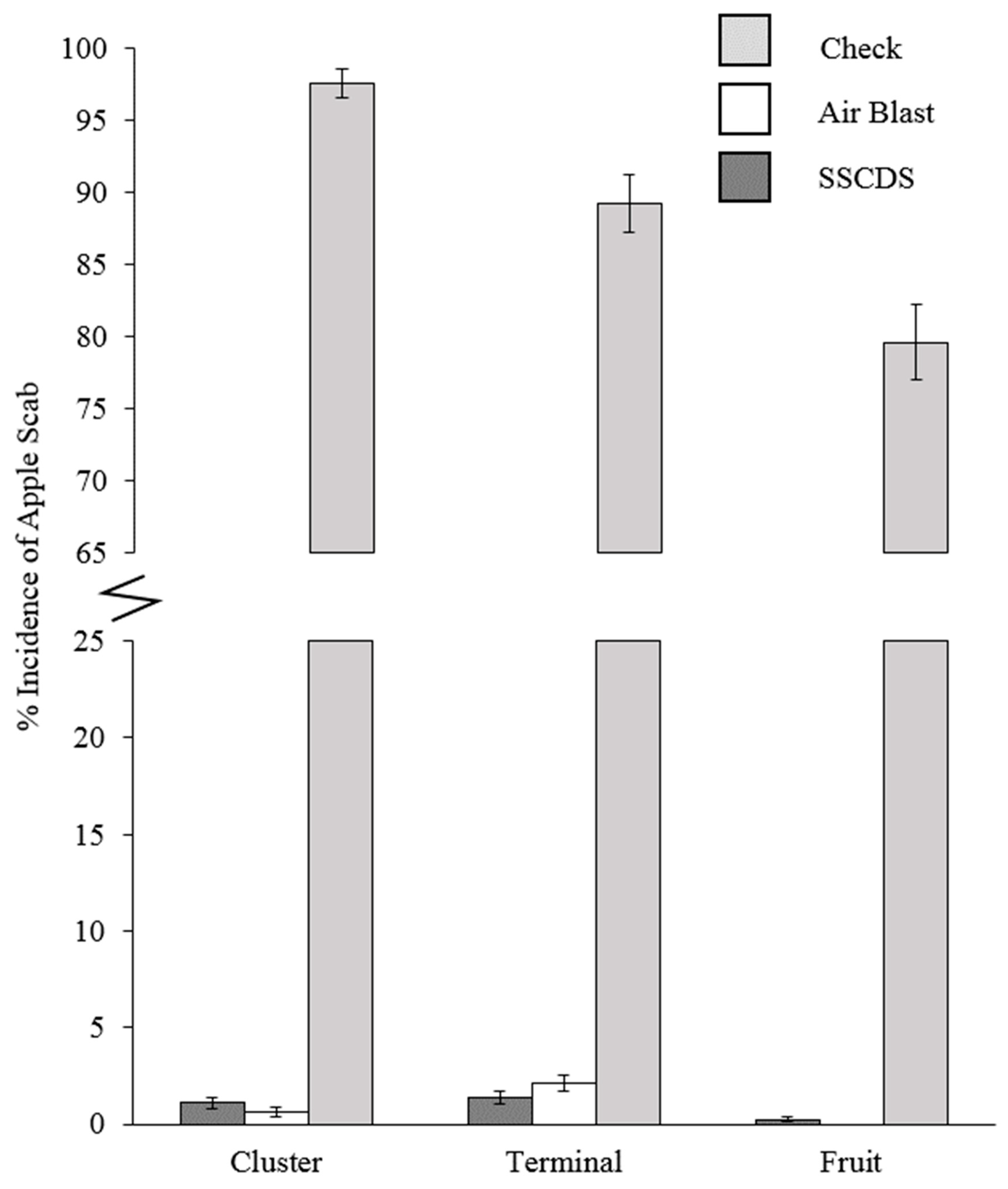
3.4. Pest Management
4. Discussion
5. Conclusions
Author Contributions
Funding
Acknowledgments
Conflicts of Interest
References
- Hall, R.M.; Heitbrink, W.A.; Reed, L.D. Evaluation of a tractor cab using real-time aerosol counting instrumentation. Appl. Occup. Environ. Hyg. 2002, 17, 47–54. [Google Scholar] [CrossRef] [PubMed]
- Moon, J.K.; Park, S.; Kim, E.; Lee, H.; Kim, J.H. Risk assessment of the exposure of insecticide operators to fenvalerate during treatment in apple orchards. J. Agric. Food Chem. 2013, 61, 307–311. [Google Scholar] [CrossRef] [PubMed]
- Håkansson, I.; Voorhees, W.B.; Riley, H. Vehicle and wheel factors influencing soil compaction and crop response in different traffic regimes. Soil Tillage Res. 1988, 11, 239–282. [Google Scholar] [CrossRef]
- Ferree, D.C.; Streeter, J.G.; Yuncong, Y. Response of container-grown apple trees to soil compaction. Hortscience 2004, 39, 40–48. [Google Scholar] [CrossRef]
- Becerra, A.T.; Botta, G.F.; Bravo, X.L.; Tourn, M.; Melcon, F.B.; Vazquez, J.; Rivero, D.; Linares, P.; Nardon, G. Soil compaction distribution under tractor traffic in almond (Prunus amigdalus L.) orchard in Almería España. Soil Tillage Res 2010, 107, 49–56. [Google Scholar] [CrossRef]
- Lombard, P.B.; Westigard, P.H.; Carpenter, D. Overhead sprinkler system for environmental control and pesticide application in pear orchards. Hortscience 1966, 1, 95–96. [Google Scholar]
- Agnello, A.; Landers, A.J. Current progress in development of a fixed-spray pesticide application system for high-density apple plantings. N. Y. Fruit Q. 2006, 14, 22–26. [Google Scholar]
- Sharda, A.; Karkee, M.; Zhang, Q.; Ewlanow, I.; Adameit, U.; Brunner, J. Effect of emitter type and mounting configuration on spray coverage for solid set canopy delivery system. Comput. Electron. Agric. 2015, 112, 184–192. [Google Scholar] [CrossRef]
- Sharda, A.; Karkee, M.; Zhang, Q. Fluid dynamics of a solid set canopy spray delivery system for orchard applications. In Proceedings of the American Society of Biological Engineers, Kansas City, MO, USA, 21–24 July 2013; p. 1. [Google Scholar]
- Owen-Smith, P.; Perry, R.; Wise, J.; Raja Jamil, R.Z.; Gut, L.; Sundin, G.; Grieshop, M. Spray coverage and pest management efficacy of a solid set canopy delivery system in high density apples. Pest Manag. Sci. 2019. [Google Scholar] [CrossRef]
- Herrington, P.J.; Mapother, H.R.; Stringer, A. Spray retention and distribution on apple trees. Pestic. Sci. 1981, 12, 515–520. [Google Scholar] [CrossRef]
- Byers, R.E.; Lyons, C.G., Jr.; Donohue, S.J. Effect of chemical deposits from spraying adjacent rows on efficacy of peach bloom thinners. Hortscience 1985, 20, 1076–1078. [Google Scholar]
- Holownicki, R.; Doruchowski, G.; Godyn, A.; Swiechowski, W. Variation of Spray Deposit and Loss with Air-jet Directions applied in Orchards. J. Agric. Eng. Res. 2000, 77, 129–136. [Google Scholar] [CrossRef]
- Brann, J.L. Apparatus for Application of Insecticides. Annu. Rev. Entomol. 1956, 1, 241–260. [Google Scholar] [CrossRef]
- Derksen, R.C.; Gray, R.L. Deposition and air speed patterns of air-carrier apple orchard sprayers. Trans. ASAE 1995, 38, 5–11. [Google Scholar] [CrossRef]
- Cross, J.V. Deposits on apple leaves from medium volume; low volume and very low volume spray applications with an axial fan sprayer. BCPC Monogr. 1991, 46, 263–268. [Google Scholar]
- Doruchowski, G.; Holownicki, R.; Godyn, A. Effect of spray emission system and air-jet setting on deposit and loss of spray in apple orchard. J. Fruit Ornam. Plant Res. 1997, 5, 145–156. [Google Scholar]
- Cross, J.V.; Walklate, P.J.; Murray, R.A.; Richardson, G.M. Spray deposits and losses in different sized apple trees from an axial fan orchard sprayer: 3. Effects of air volumetric flow rate. Crop Prot. 2003, 22, 381–394. [Google Scholar] [CrossRef]
- Landers, A.J. Improving spray deposition and reducing drift–airflow adjustment is the answer. N. Y. Fruit Q. 2011, 19, 3–6. [Google Scholar]
- Cross, J.V.; Walklate, P.J.; Murray, R.A.; Richardson, G.M. Spray deposits and losses in different sized apple trees from an axial fan orchard sprayer: 1. Effects of spray liquid flow rate. Crop Prot. 2001, 20, 13–30. [Google Scholar] [CrossRef]
- Drew, H.J. Pesticide rates in Queensland Orchards: Changing Spray Practices and the Implications. In Challenges for Horticulture in the Tropics, Proceedings of the Third Australian Society of Horticultural Science and the First Australian Macadamia Society Research Conference, Broadbeach, Australia, 18–22, August 1996; Stephenson, R.A., Winks, C.W., Eds.; Australian Society of Horticultural Science: Brisbane, Australia, 1996; pp. 107–109. [Google Scholar]
- Furness, G.O.; Magarey, P.A.; Miller, P.M.; Drew, H.J. Fruit tree and vine sprayer calibration based on canopy size and length of row: Unit canopy row method. Crop Prot. 1998, 17, 639–644. [Google Scholar] [CrossRef]
- Hołownicki, R.; Doruchowski, G.; Świechowski, W.; Jaeken, P. Methods of evaluation of spray deposit and coverage on artificial targets. Electron. J. Pol. Agric. Univ. 2002, 5, 1. [Google Scholar]
- Wise, J.C.; Jenkins, P.E.; Schilder, A.M.; Vandervoort, C.; Isaacs, R. Sprayer type and water volume influence pesticide deposition and control of insect pests and diseases in juice grapes. Crop Prot. 2010, 29, 378–385. [Google Scholar] [CrossRef]
- Pergher, G. Recovery Rate of Tracer Dyes Used for Spray Deposit Assessment. Trans. ASAE 2001, 44, 787. [Google Scholar] [CrossRef]
- Sánchez-Hermosilla, J.; Medina, R.; Rodríguez, F.; Callejón, A. Use of Food Dyes as Tracers to Measure Multiple Spray Deposits by Ultraviolet-Visible Absorption Spectrophotometry. Trans. ASABE 2008, 51, 1177–1186. [Google Scholar] [CrossRef]
- Lang, G.; Wise, J. Pherogation for Codling Moth and Oriental Fruit Moth: A Pilot Study. In Proceedings of the Great Lakes Fruit Workers Annual Meeting, Leamington, ON, Canada, 8–10 November 2010; Available online: http://www.hrt.msu.edu/glfw/meetings2010_2011.htm (accessed on 8 March 2017).
- Verpont, F.; Favareille, J.; Zavagli, F. Fixed Spray. Syst. A Future Potential Way Apply Pestic. Apple Orchard? Jul.-Kühn-Archiv. 2015, 448, 53. [Google Scholar]
- Salyani, M.; Fox, R.D. Evaluation of Spray Quality by Oiland Water-Sensitive Papers. Trans. ASAE 1999, 42, 37–43. [Google Scholar] [CrossRef]
- Cross, J.V.; Walklate, P.J.; Murray, R.A.; Richardson, G.M. Spray deposits and losses in different sized apple trees from an axial fan orchard sprayer: 2. Effects of spray quality. Crop Prot. 2001, 20, 333–343. [Google Scholar] [CrossRef]
- Niemann, S.M.; Whiting, M.D. Spray coverage in apple and cherry orchards using a solid set canopy delivery system. In Proceedings of the XXIX International Horticultural Congress on Horticulture: Sustaining Lives, Livelihoods and Landscapes (IHC2014): 1130, Brisbane, Queensland, Australia, 17 August 2014; pp. 647–654. [Google Scholar]
- Panneton, B.; Philion, V.; Chouinard, G. Spray Deposition with Conventional Nozzles, Low-Drift Nozzles, or Permanent Sprinklers for Controlling Apple Orchard Pests. Trans. ASAE 2015, 58, 607–619. [Google Scholar]
- Panneton, B.; Piché, M.; Phillion, V.; Chouinard, G. Leaf Deposition with Fixed Sprinklers, Low Drift and Conventional Nozzles in Apple Orchard. In Proceedings of the 2011 ASABE Annual International Meeting, Louisville, KY, USA, 7–11 August 2011; pp. 2563–2573. [Google Scholar]
- Schneider, C.A.; Rasband, W.S.; Eliceiri, K.W. NIH Image to ImageJ: 25 years of image analysis. Nat. Methods 2012, 9, 671–675. [Google Scholar] [CrossRef]
- Zhu, H.; Salyani, M.; Fox, R.D. A portable scanning system for evaluation of spray deposit distribution. Comput. Electron. Agric. 2011, 76, 38–43. [Google Scholar] [CrossRef]
- Deveau, J. Airblast 101; OMAFRA: Norfolk, ON, Canada, 2013; pp. 56–57. [Google Scholar]
- Fox, R.D.; Derksen, R.C.; Zhu, H.; Brazee, R.D.; Svensson, S.A. A History of Air-Blast Sprayer Development and Future Prospects. Trans. ASABE 2008, 51, 405–410. [Google Scholar] [CrossRef]
- Spillman, J.J. Spray impaction, retention and adhesion: An introduction to basic characteristics. Pest Manag. Sci. 1984, 15, 97–106. [Google Scholar] [CrossRef]
- Balsari, P.; Marucco, P.; Oggero, G. Spray applications in Italian apple orchards: Target coverage, ground losses and drift. In Proceedings of the 2002 ASABE Annual Meeting, Chicago, IL, USA, 28–31 July 2002; p. 021002. [Google Scholar]
- Grieshop, M.J.; Emling, J.; Ledebuhr, M. Re-envisioning agrichemical input delivery: Solid Set Delivery Systems for high density fruit production, Impacts on off-target deposition. In Proceedings of the 2018 ASABE International Annual Meeting, Detroit, MI, USA, 29 July–1 August 2018. [Google Scholar]
- Wilkinson, R.H. Air Blast Orchard Spraying: Nozzle Arrangement and Calibration; Michigan State University: East Lansing, MI, USA, 2000. [Google Scholar]
- Matthews, G.; Miller, P.; Bateman, R. Pesticide Application Methods, 4th ed.; John Wiley & Sons: New York, NY, USA, 2014. [Google Scholar]
- Poulsen, M.E.; Wenneker, M.; Withagen, J.; Christensen, H.B. Pesticide residues in individual versus composite samples of apples after fine or coarse spray quality application. Crop Prot. 2012, 35, 5–14. [Google Scholar] [CrossRef]
- Doruchowski, G.; Świechowski, W.; Masny, S.; Maciesiak, A.; Tartanus, M.; Bryk, H.; Hołownicki, R. Low-drift nozzles vs. standard nozzles for pesticide application in the biological efficacy trials of pesticides in apple pest and disease control. Sci. Total Environ. 2017, 575, 1239–1246. [Google Scholar] [PubMed]
- Sinha, R.; Khot, L.R.; Hoheisel, G.-A.; Grieshop, M.J.; Bahlol, H. Feasibility of a Solid set canopy delivery system for efficient agrochemical delivery in vertical shoot position trained vineyards. Biosyst. Eng. 2019, 179, 59–70. [Google Scholar] [CrossRef]
- Viret, O.; Siegfried, W.; Holliger, E.; Raisigl, U. Comparison of spray deposits and efficacy against powdery mildew of aerial and ground-based spraying equipment in viticulture. Crop Prot. 2003, 22, 1023–1032. [Google Scholar] [CrossRef]
- Hislop, E.C. Can we define and achieve optimum pesticide deposits. Asp. Appl. Biol. 1987, 14, 153–172. [Google Scholar]
- Bostanian, N.; Wise, J.; Isaacs, R. Insecticides and Their Use in Vineyard. Pest Management. In Arthropod Management in Vineyards; Bostanian, N.J., Isaacs, R., Vincent, C., Eds.; Springer Publishing Ltd.: Dordrecht, The Netherlands, 2012; p. 505. [Google Scholar]
- Beers, E.H.; Hoyt, S.C. European red mite. In Orchard Pest Management: A Resource Book for the Pacific Northwest; Good Fruit Grower: Yakima, WA, USA, 1993. [Google Scholar]








| Date | Time | Air Temp (°C) | Precip. (mm) | Relative Humidity (%) | Wind Speed (m/s) | Max Wind Speed (m/s) | Wind Direction (° from N) |
|---|---|---|---|---|---|---|---|
| 10:00 | 6.8 | 0 | 83.3 | 0.6 | 2.9 | 54.3 | |
| 11:00 | 8.0 | 0 | 77.2 | 0.9 | 2.5 | 67.7 | |
| 12:00 | 9.6 | 0 | 74.7 | 0.8 | 2.8 | 60.0 | |
| 2-May-2016 | 13:00 | 10.3 | 0 | 72.7 | 0.7 | 2.6 | 81.8 |
| 14:00 | 11.7 | 0 | 69.1 | 0.8 | 2.9 | 60.9 | |
| 15:00 | 12.7 | 0 | 66.2 | 0.6 | 2.5 | 68.7 | |
| 16:00 | 12.6 | 0 | 66.8 | 0.5 | 2.3 | 76.4 | |
| 10:00 | 11.4 | 0 | 70.9 | 3.3 | 6.5 | 299.7 | |
| 11:00 | 12.8 | 0 | 59.1 | 3.8 | 7 | 296.2 | |
| 12:00 | 14.1 | 0 | 53.4 | 3.3 | 6.5 | 287.2 | |
| 6-June-2016 | 13:00 | 15.1 | 0 | 51 | 3.3 | 6.7 | 294.5 |
| 14:00 | 16.2 | 0 | 49.8 | 3.4 | 7.4 | 291.1 | |
| 15:00 | 17.3 | 0 | 47.4 | 3.2 | 6.5 | 297.0 | |
| 16:00 | 18.2 | 0 | 44.1 | 4.1 | 9.1 | 287.0 | |
| 10:00 | 24.8 | 0 | 70.1 | 2.3 | 5.8 | 197.7 | |
| 11:00 | 26.6 | 0 | 65.6 | 2.4 | 5.2 | 198.7 | |
| 12:00 | 27.9 | 0 | 63.9 | 2.7 | 6.2 | 200.4 | |
| 12-July-2016 | 13:00 | 29.0 | 0 | 61.3 | 2.4 | 5.8 | 189.5 |
| 14:00 | 30.4 | 0 | 55.8 | 2.5 | 7.1 | 184.9 | |
| 15:00 | 30.1 | 0 | 54.8 | 2.4 | 6.7 | 182.5 | |
| 16:00 | 31.1 | 0 | 51.8 | 2.8 | 8.4 | 189 | |
| 10:00 | 19.6 | 0 | 81.9 | 0.5 | 2.1 | 106.8 | |
| 11:00 | 22.6 | 0 | 64 | 0.7 | 2.6 | 131.3 | |
| 12:00 | 24.8 | 0 | 52.1 | 0.8 | 2.8 | 95.5 | |
| 8-August-2016 | 13:00 | 26.1 | 0 | 46.2 | 0.7 | 3 | 84.0 |
| 14:00 | 26.6 | 0 | 42 | 0.7 | 2.8 | 104.1 | |
| 15:00 | 27.5 | 0 | 39.4 | 0.8 | 3.4 | 103.1 | |
| 16:00 | 27.9 | 0 | 39.2 | 0.7 | 2.9 | 62.6 |
| Date | Product | Type | Active Ingredient | Rate |
|---|---|---|---|---|
| 29-Apr-2016 | Sivanto Prime L | Insecticide | Flupyradifurone | 0.88 L/ha |
| Manzate Pro-Stik | Fungicide | Zinc ion and manganese ethylenebisdithiocarbamate | 6.73 kg/ha | |
| Aprovia | Fungicide | Benzovindiflupyr | 0.31 L/ha | |
| 6-May-2016 | Manzate Pro-Stik | Insecticide | Zinc ion and manganese ethylenebisdithiocarbamate | 4.48 kg/ha |
| Inspire Super | Fungicide | Difenoconazole | 0.62 L/ha | |
| 13-May-2016 | Aprovia | Fungicide | Benzovindiflupyr | 0.31 L/ha |
| Roper | Fungicide | Zinc ion and manganese ethylenebisdithiocarbamate | 4.48 kg/ha | |
| Kasumin | Bactericide | Kasugamycin Hydrochloride Hydrate | 4.68 L/ha | |
| 19-May-2016 | Assail | Insecticide | Acetamiprid | 0.44 L/ha |
| Rally | Fungicide | Myclobutanil | 0.37 L/ha | |
| 25-May-2016 | Luna Sensation | Fungicide | Fluoopyram and trifloxystrobin | 0.37 L/ha |
| Belay | Insecticide | Clothianidin | 0.29 L/ha | |
| 6-Jun-2016 | Ziram | Fungicide | Zinc dimethyldithiocarbamate | 5.6 kg/ha |
| Rally | Fungicide | Myclobutanil | 0.37 L/ha | |
| Reaper | Insecticide | Abamectin | 0.73 L/ha | |
| Prey | Insecticide | Imidacloprid | 0.44 L/ha | |
| Belay | Insecticide | Clothianidin | 0.44 L/ha | |
| Belt | Insecticide | Flubendiamide | 0.29 L/ha | |
| Damoil | Insecticide | Mineral Oil | 9.35 L/ha | |
| 14-Jun-2016 | Ziram | Fungicide | Zinc dimethyldithiocarbamate | 4.48 kg/ha |
| Assail | Insecticide | Acetamiprid | 0.47 L/ha | |
| 29-Jun-2016 | Flint | Fungicide | Trifloxystrobin | 0.15 L/ha |
| Captan Gold | Fungicide | N-Trichloromethylthio-4-cyclohexene-1,2-dicarboximide | 5.6 kg/ha | |
| Altacor | Insecticide | Chlorantraniliprole | 0.29 L/ha | |
| 8-Jul-2016 | Movento | Insecticide | Spirotetramat | 0.66 L/ha |
| 19-Jul-2016 | Nealta | Miticide | Cyflumetofen | 1 L/ha |
| Captan Gold | Fungicide | N-Trichloromethylthio-4-cyclohexene-1,2-dicarboximide | 3.36 kg/ha | |
| 22-Jul-2016 | Indar | Fungicide | Fenbuconazole | 0.44 L/ha |
| 1-Aug-2016 | Delegate | Insecticide | Spinetoram | 0.32 L/ha |
| Flint | Fungicide | Trifloxystrobin | 0.15 L/ha | |
| 15-Aug-2016 | Delegate | Insecticide | Spinetoram | 0.32 L/ha |
| June | July | August | |||||
|---|---|---|---|---|---|---|---|
| Airblast | L | 0.493 | 0.381 | 0.560 | |||
| M | 0.502 | 0.529 | 0.419 | 0.434 * | 0.536 | 0.5744 * | |
| H | 0.593 | 0.503 | 0.627 | ||||
| SSCDS | L | 0.830 | 0.816 | 0.883 | |||
| M | 0.876 | 0.9397 | 0.902 | 0.908 | 1.014 | 1.261 | |
| H | 1.112 | 0.984 | 1.481 | ||||
| June | July | August | |||||
|---|---|---|---|---|---|---|---|
| Airblast | L | 0.598 | 0.346 | 0.566 | |||
| M | 0.712 | 0.619 | 0.521 | 0.458 | 0.655 | 0.6201 | |
| H | 0.551 | 0.517 | 0.642 | ||||
| SSCDS | L | 1.924 | 2.082 | 2.448 | |||
| M | 1.394 | 1.631 | 1.142 | 1.644 | 1.915 | 2.179 | |
| H | 1.587 | 1.782 | 2.192 | ||||
| June | July | August | |||||
|---|---|---|---|---|---|---|---|
| Airblast | L | 0.186 | 0.186 | 0.300 | |||
| M | 0.204 | 0.586 | 0.236 | 0.777 | 0.282 | 0.792 | |
| H | 0.327 | 0.290 | 0.303 | ||||
| SSCDS | L | 0.639 | 0.701 | 0.704 | |||
| M | 0.893 | 0.8494 | 0.660 | 0.935 | 0.833 | 1.02 | |
| H | 0.729 | 0.629 | 0.976 | ||||
| Damage Type | Z-Value | Pr. < Z | |
|---|---|---|---|
| Arthropod | Internal | −1.080 | 0.140 |
| External | 1.527 | 0.063 | |
| Apple Scab | Terminal | 0.540 | 0.295 |
| Cluster | −0.588 | 0.278 | |
© 2019 by the authors. Licensee MDPI, Basel, Switzerland. This article is an open access article distributed under the terms and conditions of the Creative Commons Attribution (CC BY) license (http://creativecommons.org/licenses/by/4.0/).
Share and Cite
Owen-Smith, P.; Wise, J.; Grieshop, M.J. Season Long Pest Management Efficacy and Spray Characteristics of a Solid Set Canopy Delivery System in High Density Apples. Insects 2019, 10, 193. https://doi.org/10.3390/insects10070193
Owen-Smith P, Wise J, Grieshop MJ. Season Long Pest Management Efficacy and Spray Characteristics of a Solid Set Canopy Delivery System in High Density Apples. Insects. 2019; 10(7):193. https://doi.org/10.3390/insects10070193
Chicago/Turabian StyleOwen-Smith, Paul, John Wise, and Matthew J. Grieshop. 2019. "Season Long Pest Management Efficacy and Spray Characteristics of a Solid Set Canopy Delivery System in High Density Apples" Insects 10, no. 7: 193. https://doi.org/10.3390/insects10070193
APA StyleOwen-Smith, P., Wise, J., & Grieshop, M. J. (2019). Season Long Pest Management Efficacy and Spray Characteristics of a Solid Set Canopy Delivery System in High Density Apples. Insects, 10(7), 193. https://doi.org/10.3390/insects10070193
