Abstract
Due to growing environmental challenges, many studies are focusing on vegetable-based lubricants. Industrial lubricants pose a significant risk to the environment and human health. The tribological performances of calophyllum calaba (galba) and avocado when used as a base oil and as a liquid additive were compared to those of moringa oil. The different lubricant formulations were investigated under an ambient atmosphere, using a reciprocating ball-on-plane tribometer in a boundary lubrication regime. Graphite particles were used as solid lubricant additives due to their excellent friction performances in these formulations. Dodecane was the mineral oil used as a reference and base oil in some lubricant formulations. It was found that the percentage used and the fatty acid molecule composition of vegetable oils have an important influence on the tribological performances of the different formulations. The presence of oleic acid molecules shows a positive effect but is not sufficient to explain the friction reduction obtained with moringa oil. The triglyceride shape of an oleic acid molecule is the key to an important friction reduction, despite the small amount (2 wt% as liquid additive) in lubricant formulations.
1. Introduction
Industrial lubricants, mostly derived from petrochemicals, pose a significant risk to the environment and human health. Indeed, during their use, a large portion of these lubricants is lost and ends up in ecosystems, thereby becoming a source of pollution for soils, waters and groundwater. In response to growing environmental challenges, many studies are focusing on vegetable oils in lubricant applications, which are more sustainable and less polluting. Green lubrication presents an increasing interest in world industrial and economic development. Plant oils are completely different from mineral oils. Their composition in fatty acids depends on the plant, the crop, the season and the growing conditions [1]. They are mainly composed of triacylglycerols (TAGs) (approximately 98%) and minor components are diacylglycerols (DAGs) (around 0.5%), monoacylglycerols (MAGs) (around 0.2%), fatty acids (FAs) (around 0.1%), sterols (around 0.3%) and tocopherols (around 0.1%). The tribological performance of vegetable oil in lubricant applications was investigated in many experimental conditions in various forms; as a pure oil, blended with another oil, formulated with additives and with modification through chemical synthesis [2,3,4,5,6].
According to the literature, the key factor for obtaining friction and wear reduction seems to be coordinated with the physicochemical properties of film adsorption between steel surfaces [7,8]. Sahoo et al. explored the effect of saturation on friction for stearic acid and linoleic acid molecules dispersed in hexadecane [9]. They demonstrated that the unsaturated linoleic acid molecules yield friction, which is significantly lower than that of stearic acid due to the high density of the double bond region, allowing for coupling with the steel surface. Reeves et al. showed that natural oils with a high percentage of oleic acid improve friction and wear performances by establishing densely packed monolayers on the lubricating surface [10]. They concluded that avocado oil has the best tribological properties compared to the other natural oils. Liu et al. demonstrated that vegetable oils with a higher content of C18:1 fatty acid offer a superior lubrication performance by using a mathematical model [11]. They also indicated that the length of the carbon chain of fatty acids significantly affects their lubrication properties. Campen et al. have made a study on organic friction modifiers that are saturated and unsaturated over a wide sliding speed range [12]. They demonstrated that the saturated acid amine and glyceride produce low friction and that the trans-isomer of oleic acid has a similar tribological behavior to stearic acid. Several studies have been conducted with different fatty acid compositions with varied viscosities, and they have led to conclusions that depend on the lubricant applications [13,14,15,16].
In this study, the tribological properties of three vegetable oils were evaluated as a lubricant base and as liquid additives in different formulations under an ambient atmosphere, using a reciprocating ball-on-plane tribometer in a boundary lubrication regime. Avocado, moringa and calophyllum calaba (galba) oils are from the pharmacopeia of the Caribbean and are mainly used for cosmetic applications. Kasar et al. studied the tribological performance of the avocado oil with different solid lubricant additives of different particle sizes, from 70 nm to 5 µm, and showed that the smaller particle sizes of hexagonal boron nitride and molybdenum disulfide are beneficial in reducing the friction coefficient [17]. Shafi et al. investigated the effectiveness of copper particles in avocado oil as a lubricant base at 0.5 and 1 wt% and found a friction reduction at 1 wt% [18]. In the case of moringa oil, previous studies were investigated under the same experimental conditions and showed the positive action of 2 wt% in lubricant formulations [19,20]. The use of galba oil in lubrication has not been considered in the lubrication field. Graphite particles were used as solid lubricant additives due to their excellent friction properties for these formulations [19]. Dodecane was the mineral oil used as a reference and base oil in some lubricant formulations. In order to evaluate proprieties related to wear, physicochemical characterizations were investigated after experiments with the different types of formulations.
2. Materials and Methods
2.1. Lubricant Formulations
Different lubricant formulations were prepared using dodecane Rectapur 99% provided by VWR International (Radnor, PA, USA) as a lubricant base and graphite from the Timcal Society (Bodio, Switzerland) as a solid additive. The particle thickness is about 100 nm and the lateral size is 40 µm. Table 1 presents the fatty acid composition of the commercial vegetable oils used in this study. Calophyllum calaba, named Galba oil (GO) and moringa oil (MO), were extracted by the Phytobokaz laboratory, Guadeloupe, and avocado oil (AvO) by the Herbes et Traditions laboratory (Comines, France). Oleic acid (OA) was supplied by Labbox (Barcelona, Spain).
Table 1.
Composition of vegetable oils used.
All formulations were prepared by simple weighing with an accuracy of 0.01 mg. Mixtures with graphite as a solid additive were formulated by adding 0.5 and 1 wt% to the vegetable oils and dodecane. Blends with galba (GO), avocado (AvO) and moringa (MO) as liquid additives had 0.5, 1, 2 and 3 wt% in dodecane. The last formulations were realized with GO, AvO, MO and oleic acid (AO) as liquid additives at 1, 2 and 3 wt% + 1 wt% of graphite as a solid additive + dodecane as a base oil. Table 2 summarizes the different formulations.
Table 2.
Lubricant formulations.
2.2. Characterization Techniques
Viscosity analyses—The viscosity parameter of the vegetable oils (GO, AvO and MO), dodecane and AO were measured using a Modular Compact Rheometer (Anton Paar, Graz, Austria). The shear rate was from 0.01 to 1000 s−1. The conditions were a contact cone/plane at an ambient temperature, a cone diameter of 50 nm with an angle of 2° and a plane diameter of 50 nm.
IR analyses—Fourier transform infrared spectroscopy (FTIR) was performed in order to identify the functional groups in vegetable oils and in the MO + dodecane blends. A PerkinElmer Spectrum Two spectrometer was used. Spectra with a range from 4000 to 500 cm−1 wavenumbers and a resolution of 4 cm−1 were obtained.
Tribological tests—The tribological performances of the different samples were evaluated at an ambient temperature of about 25 °C with a homemade reciprocating ball-on-plane tribometer. Steel balls and planes (AISI 52100) were used for the friction tests. A ball with a diameter of 1 cm moved with a speed of 4 mm·s−1 at a frequency of 1 Hz against a plane (Figure 1). For all experiments, balls were employed with initial roughness while planes were polished with abrasive disks. In order to favor the presence of solid particles in the sliding contact, multidirectional stripes were generated. The sample (powder and drop) was deposited on the plane and a normal load
of 10 N was applied. According to Hertz’s theory, the contact diameter was 140 µm and a maximum contact pressure of 1 GPa. The tangential force,
, was measured with a computer-based data acquisition system. A total of 2000 cycles were performed for the tribological tests. These tribological conditions were chosen in order to perform the experiments in the boundary lubrication regime. The friction coefficient was calculated by taking the ratio of the tangential force to the normal load: µ. The notations for the coefficient values of the different formulations are as follows:
,
and
. The antiwear performances of the tested lubricant were investigated by comparing the contact diameter measured on the ball to the theoretical one.
Figure 1.
(a) Picture of the tribometer and experimental conditions. (b) Synopsis of tribological experiments.
Raman spectroscopy—Raman spectra were performed with an HR 800 Horiba multi-channel spectrometer (Horiba, Kyoto, Japan), using a Peltier-cooled charged coupled device (CCD) detector for signal recording. A green laser exciting light (532 nm) was used to record the Raman spectra.
Microscopy SEM—SEM investigations of the tribofilms obtained with 1 wt% of graphite + 2 wt% of MO + dodecane formulation were performed using secondary electron imaging FEI Quanta 250 microscope (FEI, Hillsboro, OR, USA).
Profilometry—Steel planes were analyzed using 3D profilometry (Altisurf 500) (ALTIMET, Thonon, France).
3. Results
Table 3 summarizes the friction coefficient values, the contact diameters measured on the ball and the viscosity for each oil studied. Pure vegetable oils present excellent tribological properties with low friction values and weak wear after 2000 cycles. In the case of pure dodecane, used to simulate the friction properties of a mineral lubricant base, the tribological performances are severe. Important wear is deduced from the contact diameter value. The viscosity values are in accordance with oils properties:
.
Table 3.
For pure oils.
3.1. Formulations: Graphite + Vegetable Oils
The tribological performances of the different vegetable oils as a lubricant base, using graphite particles as solid additive, were investigated in comparison with dodecane. Figure 2a presents the friction curve that was obtained for pure graphite particles. The friction coefficient is stable after an induction period characterized by a high value. This is associated with the formation of the tribofilm. Then, the friction coefficient decreases to
. Figure 2b presents the friction coefficients obtained after 2000 cycles for the different lubricant formulations containing graphite at 0.5 and 1 wt% in the lubricant base. In the case of galba (blue) and avocado (red) oils, the two blends present a similar friction value. In the presence of moringa oil (green) and dodecane (gray), the value is weaker with 1 wt% of graphite. This last percentage was selected for the following formulations.
Figure 2.
(a) Friction curve of pure graphite. (b) Friction coefficient values of lubricants composed with graphite at 0.5 and 1 wt% in liquid.
3.2. Vegetable Oils as Liquid Additive
3.2.1. Formulations: Vegetable Oil + Dodecane
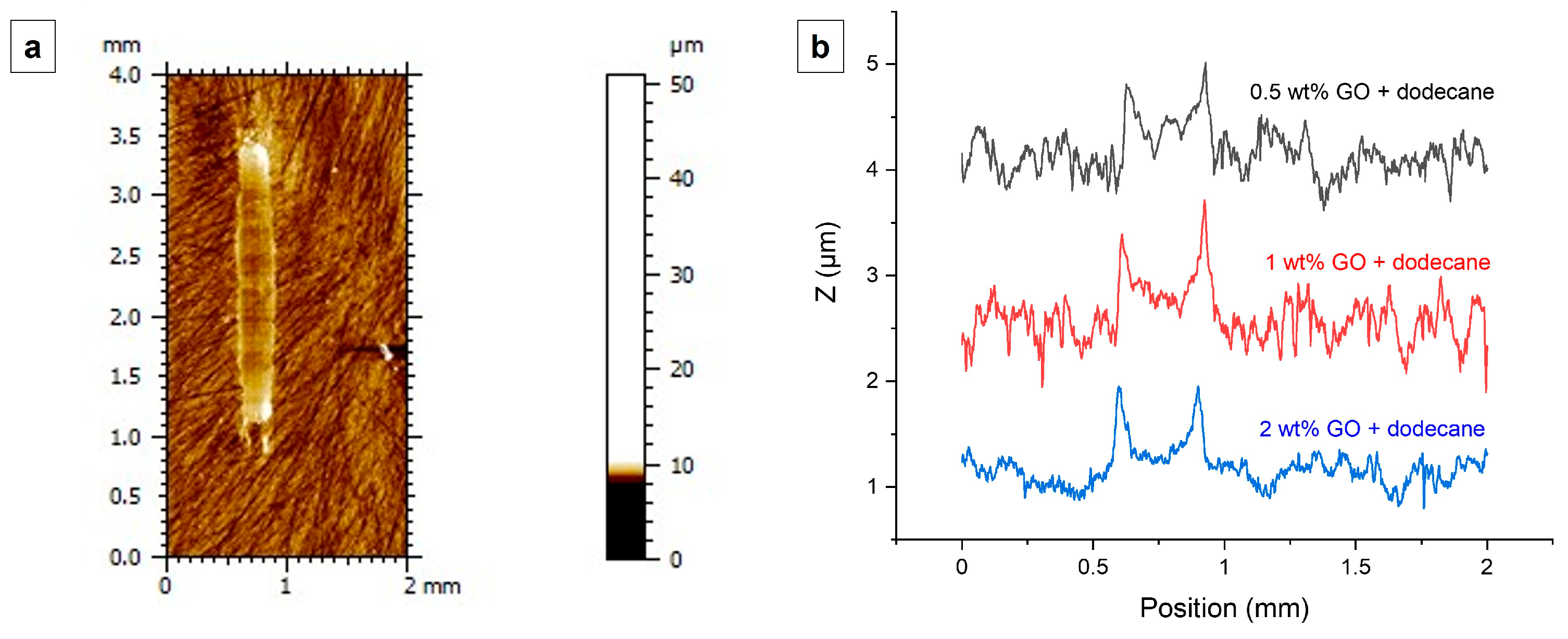
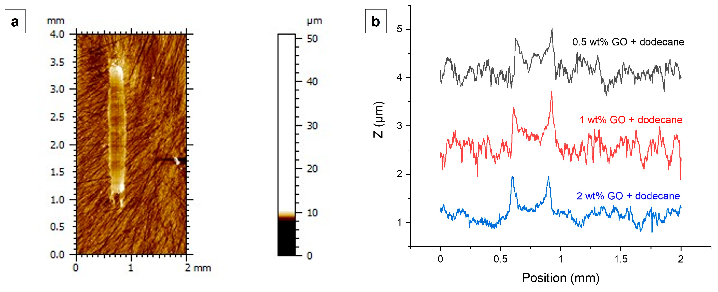
Figure 3a presents the friction coefficient values obtained with the lubricant formula with different percentages of vegetable oil in dodecane. A low percentage of added vegetable oil allows for a significant reduction in the tribological performances of dodecane. In the case of avocado oil, no influence of the percentage added is noted, while with adding galba and moringa oil, there is an evolution with an inflection point at 2 wt% of vegetable oils. In Figure 3b, the contact diameter measured on the ball shows an important diameter reduction in the presence of vegetable oils in comparison with pure dodecane (Table 3). All values are close to those obtained by the Hertzian theory. Moreover, the wear scar measured on the steel plane (Figure 4a) associated with the profile curves (Figure 4b) highlights the presence of an overthickness film. Whatever the percentage of galba oil added was, two peaks corresponding to the passage of the ball are observed, showing the area where the pressure is the lowest during friction. In the center of the wear scar, the tribofilm presents a very low thickness. These results are in accordance with the diameter measured on the balls.
Figure 3.
(a) Friction coefficient values for lubricants composed with vegetable oil as an additive in dodecane. (b) Corresponding contact diameters measured on the ball.
Figure 4.
(a) Wear scar measured on a steel plane, obtained for the formulation 2 wt% of galba oil in dodecane. (b) The profile curves for different formulations with galba oil.
IR analyses of the different formulations containing moringa oil in dodecane show that vegetable oil has not been detected, due to the low percentage in the lubricants. Figure 5 presents a comparison between the FTIR spectra obtained for pure dodecane, pure MO and the MO/dodecane blends. No difference has been observed between dodecane and the blends. The low amount of MO, characterized by carboxylic peaks of fatty acid molecules, has not been detected. FTIR spectra for the 3 wt% MO/dodecane blend are not represented due to their similarity.
Figure 5.
IR spectra for the lubricants composed of moringa oil as an additive in dodecane.
3.2.2. Formulations: Graphite + Vegetable Oil + Dodecane
The friction curves of the lubricant formulations with both additives are shown in Figure 6. Each vegetable oil is added at 1 wt% (Figure 6a), 2 wt% (Figure 6b) and 3 wt% (Figure 6c) in dodecane with 1 wt% of graphite. The presence of the weak amount of vegetable oil has an important influence on the friction coefficient values. In the case of galba oil, the curves are stable with 2 and 3 wt% added, characterizing the holding of a tribofilm during the sliding. For avocado oil, the friction values are very high and then they decrease. The best results were obtained in the presence of 2 wt%. This is similar to the evolution of the friction curves in the presence of moringa oil, except that the best values were obtained with 1 and 2 wt%. The most significant reduction was obtained with 2 wt% of moringa oil. Physicochemical characterizations of this tribofilm are presented in Figure 7. The SEM image shows that the tribofilm was built in overthickness and that it has a very small thickness. The initial stripes of the steel plane are visible through the tribofilm. The Raman spectra evaluated on the tribofilm (Figure 7c) and near to the tribofilm (Figure 7b) are similar, showing no evolution of the particles’ structure during the sliding process.
Figure 6.
(a) Friction curves for the lubricants composed of 1 wt% of graphite + 1 wt%, (b) 2 wt% and (c) 3 wt% of vegetable oil + dodecane.
Figure 7.
(a) SEM of the tribofilm obtained for the formulation 1 wt% graphite + 2 wt% of moringa oil + dodecane. (b) Raman spectra measured near to the tribofilm and (c) on the tribofilm.
3.2.3. Formulations: Graphite + Oleic Acid (OA) + Dodecane
Figure 8 highlights the influence of the presence of OA on the tribological performances of the blends. New blends were formulated at different percentages (0.5, 1, 2 and 3 wt%) of OA. The most interesting reduction was obtained with 2 w% of OA, but this value is greater than that obtained in the presence of moringa oil. There is no influence of the percentage of OA added to the formulation on the contact diameter values. They were quite similar to the Hertz theory.
Figure 8.
Friction coefficient values and corresponding contact diameters measured on the ball for lubricants composed of 1 wt% of graphite + different wt% of oleic acid + dodecane.
4. Discussion
The tribological performances of three different vegetable oils in lubrication have been investigated as a lubricant base and as a liquid additive for lubrication. The first lubricant formulations were prepared with graphite particles as solid additives added at 0.5 and 1 wt% for each lubricant base. Results were compared to those obtained in the presence of dodecane. Indeed, a previous study showed a drastic improvement in the friction properties of dodecane with 1 wt% of graphite particles [19]. These investigations highlight a modification of the friction coefficient value as a function of the percentage of graphite particles with moringa oil, whereas no change was observed with the galba or avocado oils. The presence of graphite in the formulation reduces the friction coefficient of pure oils; however, no influence was noted between 0.5 and 1 wt% of graphite. This can be partially due to the influence of the viscosity of the pure oil, except for avocado oil. Natural oils show a higher viscosity index and higher lubrication capacity [21,22]. Low levels of viscosity promote smoother sliding due to reduction in total shear force, resulting in a lower friction coefficient [23]. Indeed, pure vegetable oils present better friction properties compared to pure dodecane and the influence on viscosity can be observed. However, in the presence of solid particles, avocado oil, despite its lower viscosity, is characterized by a higher friction coefficient value than those obtained with moringa oil. This highlights the impact of the vegetable oil composition during the sliding process in the presence of particles. Various studies have focused on the action of long-chain molecules and their structures on the tribological performances of bio-lubricants [16,24]. There are three main types of triglyceride molecules: saturated, monounsaturated and polyunsaturated. The major fatty acid molecules of the vegetable oils used in this study have a C18 long chain. Moringa oil is mainly composed of oleic fatty acid molecules.
The lubricant formulations containing 1 wt% of graphite present the lower friction coefficient values with moringa oil and dodecane. In our previous studies, a reduction in the mechanical constraints undergone by the particles in the presence of liquid was evidenced [25]. This was characterized by adhesion to the steel surface and a protective effect during the sliding process. These could have been in accordance with a protection mechanism provided by Pawar et al., suggesting that it is possible to form a protective tribofilm of low-shearing stress formed via chemical reactions between tribosurfaces and nanoparticle additives [26]. However, in this case, no chemical reactions have been observed, as previously demonstrated.
The three vegetable oils (galba, avocado and moringa oil) were tested as liquid additives in dodecane used as a lubricant base. Without graphite particles, their excellent lubricant performances have been confirmed. The addition of a weak amount of vegetable oil allows for a drastic tribological improvement, validating that the physicochemical properties of fatty acid molecules dominated the friction performances of dodecane. Researchers show how mixing different organic friction additives improves the friction-reducing properties of lubricants in the boundary lubrication regime [8,27]. The addition of galba and moringa oil to the dodecane base lubricant results in the evolution of the friction coefficient, according to the percentage. The best results were obtained with 2 wt% of vegetable oil. In the case of the addition of avocado oil to dodecane, no significant modifications were observed. Yu et al. explored the effect of functional groups on tribological properties and showed different adsorption energies and surface energies [28]. Lubricant molecules with high adsorption energy are more likely to adsorb on substrates and to form a vertical monolayer which can maintain a regular molecular brush structure during sliding, leading to a low friction coefficient. The difference in the fatty acid molecule composition of these three vegetable oils has a significant impact on the tribological performances of lubricants.
The last lubricant formulations studied were prepared with 1 wt% of graphite particles and with different percentages (1, 2 and 3 wt%) of vegetable oil as additives in dodecane. Blends composed of 2 wt% of vegetable oil as a liquid additive show the lowest friction coefficient values. Regardless of the percentage of vegetable oil added, the influence on the stability of the friction curves is observed, showing the effect of a small amount on the tribological performances.
Lubricants obtained with avocado oil present the worst results, and with galba oil, the friction coefficient values are quite similar. Moringa oil as a liquid additive shows the best friction properties, except with 3 wt% in the blend. Moringa oil is mainly composed of oleic acid molecules (75%). Different studies investigated the tribological properties of vegetable oils and highlighted the significant influence of different fatty acid compositions [10,11,16,24,29]. Reeves et al. concluded that the natural oils with a high percentage of oleic acid maintain a low friction coefficient value [10]. The polar carboxyl group exhibits a strong affinity for charged nanoparticles, anchoring them effectively. Meanwhile, the hydrophobic hydrocarbon chain facilitates the dispersion of the nanoparticles in nonpolar media, similar to the formation of inverse micelles [28]. Saini et al. investigated the potential and limitations of oleic acid as a lubricant additive in oils and evidenced better performance in the boundary lubrication regime compared to the mixed lubrication regime, according to the concentration of OA molecules [30]. This is in coherence with the friction experimental conditions of this study. However, in order to confirm the positive action of oleic acid molecules, new blends were formulated at different percentages of OA. The low friction coefficient value obtained with 2 wt% of moringa oil was not found in the presence of OA alone in the mixture. The previous results, obtained with transesterified vegetable oils (coconut and waste cooking oils) and investigated under similar tribological conditions, allowed us to highlight the key role of triglycerides in influencing the friction performances of the blends [31]. This suggests a potential synergy of action of the different fatty acid molecules influenced by the percentage of the form of the oleic acid molecules of triglyceride, diglyceride and monoglyceride.
5. Conclusions
The tribological performances of three vegetable oils have been investigated as lubricant bases with graphite particles and as liquid additives in blends composed of graphite particles in a dodecane base. Friction experimental conditions were carried out at an ambient atmosphere in a boundary lubrication regime. Investigations of galba, avocado, moringa oils and dodecane as a base with two percentages of solid lubricant in formulations show a greater friction reduction in the presence of dodecane. These confirm the influence of the viscosity of the lubricant base. Moreover, significant action was observed for the percentage of particles with moringa oil as the base oil, whereas there is no evolution with the galba or avocado oils as lubricant bases. Consequently, the lubricant formulations were prepared with 1 wt% of graphite particles as solid additives. The presence of a small amount of vegetable oils used as a liquid lubricant additive governs the tribological properties of dodecane (mineral base). Whatever the fatty acid composition of the vegetable oils was, an important reduction in the tribological properties of dodecane was observed. The optimal added percentage for these lubricant formulations is 2 wt% of vegetable oil. Furthermore, wear performance investigations show that the different tribological films built with or without particles seem to form as a thin overlayer protecting the sliding surfaces. An important effect of the composition of vegetable oil on friction properties was demonstrated. Moringa oil, mainly constituted with oleic acid triglyceride molecules, presents better friction properties than galba and avocado oil. However, the presence of oleic acid molecules is not the only parameter that can explain the good friction properties of moringa oil. This study highlights the positive action of unsaturated fatty acid molecules on the lubricant performances of these formulations. The triglyceride shape of the oleic acid molecule is the key to a significant friction reduction. Further research on the effect of other components of the vegetable oils (e.g., linoleic acid and palmitic acid), combined with triglyceride of oleic acid on lubricating properties, could be considered.
Author Contributions
Conceptualization, E.S., P.B. and N.N.-M.; methodology, E.S. and N.N.-M.; software, P.B. and Y.B.; validation, N.N.-M. and P.B.; formal analysis, N.N.-M.; investigation, E.S. and A.B.; resources, N.N.-M.; data curation, E.S. and N.N.-M.; writing—original draft preparation, E.S. and N.N.-M.; writing—review and editing, N.N.-M. and P.T.; visualization, N.N.-M. and P.B.; supervision, N.N.-M. and P.B.; project administration, N.N.-M. All authors have read and agreed to the published version of the manuscript.
Funding
This research received no external funding.
Data Availability Statement
The original contributions presented in this study are included in the article. Further inquiries can be directed to the corresponding author.
Conflicts of Interest
The authors declare no conflicts of interest. The funders had no role in the design of the study; in the collection, analyses or interpretation of data; in the writing of the manuscript; or in the decision to publish the results.
Abbreviation s
The following abbreviations are used in this manuscript:
| µ | Friction coefficient |
| GO | Galba oil |
| MO | Moringa oil |
| AvO | Avocado oil |
| OA | Oleic acid |
References
- Salih, N.; Salimon, J. A review on eco-friendly green biolubricants from renewable and sustainable plant oil sources. Biointerface Res. Appl. Chem. 2021, 11, 13303–13327. [Google Scholar] [CrossRef]
- Woma, T.Y.; Lawal, S.A.; Abdulrahman, A.S.; Olutoye, M.A.; Ojapah, M.M. Vegetable oil based lubricants: Challenges and prospects. Tribol. Online 2019, 14, 60–70. [Google Scholar] [CrossRef]
- Jesbin, K.S.; Mahipal, D. Evaluation of tribological characteristics of natural garlic oil as an additive in rubber seed oil. IOP Conf. Ser. Mater. Sci. Eng. 2021, 1114, 012052. [Google Scholar] [CrossRef]
- García-Zapateiro, L.A.; Franco, J.M.; Valencia, C.; Delgado, M.A.; Gallegos, C. Viscous, thermal and tribological characterization of oleic and ricinoleic acids-derived estolides and their blends with vegetable oils. J. Ind. Eng. Chem. 2013, 19, 1289–1298. [Google Scholar] [CrossRef]
- Kumar, V.; Dhanola, A.; Garg, H.C.; Kumar, G. Improving the tribological performance of canola oil by adding CuO nanoadditives for steel/steel contact. Mater. Today Proc. 2020, 28, 1392–1396. [Google Scholar] [CrossRef]
- Pumpuang, A.; Klinkaew, N.; Yoeng, K.; Hin, L.; Maneedaeng, A.; Sukjit, E. The effect of various feedstock alkyl esters on fuel lubrication and properties. Clean. Eng. Technol. 2025, 26, 100942. [Google Scholar] [CrossRef]
- Sanjurjo, C.; Rodríguez, E.; Viesca, J.L.; Battez, A.H. Influence of Molecular Structure on the Physicochemical and Tribological Properties of Biolubricants: A Review. Lubricants 2023, 11, 380. [Google Scholar] [CrossRef]
- Bahari, A.; Lewis, R.; Slatter, T. Friction and wear response of vegetable oils and their blends with mineral engine oil in a reciprocating sliding contact at severe contact conditions. Proc. Inst. Mech. Eng. Part J J. Eng. Tribol. 2018, 232, 244–258. [Google Scholar] [CrossRef]
- Sahoo, R.R.; Biswas, S.K. Frictional response of fatty acids on steel. J. Colloid. Interface Sci. 2009, 333, 707–718. [Google Scholar] [CrossRef] [PubMed]
- Reeves, C.J.; Menezes, P.L.; Jen, T.C.; Lovell, M.R. The influence of fatty acids on tribological and thermal properties of natural oils as sustainable biolubricants. Tribol. Int. 2015, 90, 123–134. [Google Scholar] [CrossRef]
- Liu, J.; Zhang, Y.; Yang, S.; Yi, C.; Liu, T.; Zhang, R.; Jia, D.; Peng, S.; Yang, Q. Prediction of Lubrication Performances of Vegetable Oils by Genetic Functional Approximation Algorithm. Lubricants 2024, 12, 226. [Google Scholar] [CrossRef]
- Campen, S.; Green, J.; Lamb, G.; Atkinson, D.; Spikes, H. On the increase in boundary friction with sliding speed. Tribol. Lett. 2012, 48, 237–248. [Google Scholar] [CrossRef]
- Crespo, A.; Morgado, N.; Mazuyer, D.; Cayer-Barrioz, J. Effect of Unsaturation on the Adsorption and the Mechanical Behavior of Fatty Acid Layers. Langmuir 2018, 34, 4560–4567. [Google Scholar] [CrossRef] [PubMed]
- Meng, Y.; Xu, J.; Jin, Z.; Prakash, B.; Hu, Y. A review of recent advances in tribology. Friction 2020, 8, 221–300. [Google Scholar] [CrossRef]
- Wood, M.H.; Casford, M.T.; Steitz, R.; Zarbakhsh, A.; Welbourn, R.J.L.; Clarke, S.M. Comparative Adsorption of Saturated and Unsaturated Fatty Acids at the Iron Oxide/Oil Interface. Langmuir 2016, 32, 534–540. [Google Scholar] [CrossRef] [PubMed]
- Siniawski, M.T.; Saniei, N.; Adhikari, B.; Doezema, L.A. Influence of fatty acid composition on the tribological performance of two vegetable-based lubricants. J. Synth. Lubr. 2007, 24, 101–110. [Google Scholar] [CrossRef]
- Kasar, A.K.; Reeves, C.J.; Menezes, P.L. Enhancing the Tribological Performance of Avocado Oil With Solid Lubricant Additives: A Fractal Dimension Analysis. J. Tribol. 2025, 147, 091121. [Google Scholar] [CrossRef]
- Shafi, W.K.; Raina, A.; Ul Haq, M.I. Tribological performance of avocado oil containing copper nanoparticles in mixed and boundary lubrication regime. Ind. Lubr. Tribol. 2018, 70, 865–871. [Google Scholar] [CrossRef]
- Nomède-Martyr, N.; Bilas, P.; Mathieu, G.; Bercion, Y.; Joseph, H.; Thomas, P. Moringa Oil and Carbon Phases of Different Shapes as Additives for Lubrication. Lubricants 2024, 12, 358. [Google Scholar] [CrossRef]
- Nomède-Martyr, N.; Vitulin, M.; Joseph, H.; Thomas, P. Moringa oil with graphite and hexagonal boron nitride particles as additives for lubrication. Diam. Relat. Mater. 2022, 124, 108930. [Google Scholar] [CrossRef]
- Saka, A.; Abor, T.K.; Okafor, A.C.; Okoronkwo, M.U. Thermo-Rheological and Tribological Properties of Low- and High-oleic Vegetable Oils as Sustainable Bio-based lubricants. RSC Sustain. 2025, 3, 1461–1476. [Google Scholar] [CrossRef]
- Silva-Alvarez, D.F.; Dominguez-Lopez, I.; Vidales Hurtado, M.A.; Gutierrez-Antonio, C.; Flores-Garay, K.A.; Garcia-Garcia, A.L. A review on the menagerie of green fluids and nanoparticles to develop sustainable biolubricant technologies. Environ. Technol. Innov. 2024, 33, 103532. [Google Scholar] [CrossRef]
- Mohd Salleh, Z.A.; Syahrullail, S.; Norzita, N.; Nurun Najwa, R. Friction study on chemically modified RBD PK oil as a potential renewable resource. J. Braz. Soc. Mech. Sci. Eng. 2021, 43, 127. [Google Scholar] [CrossRef]
- Berman, D. Plant-Based Oils for Sustainable Lubrication Solutions—Review. Lubricants 2024, 12, 300. [Google Scholar] [CrossRef]
- Nomede-Martyr, N.; Philippe, B.; Philippe, T.; Georges, M.; Laurence, R. Tribological performances of graphite and hexagonal boron nitride particles in the presence of liquid. J. Tribol. 2021, 143, 071401. [Google Scholar] [CrossRef]
- Pawar, R.V.; Hulwan, D.B.; Mandale, M.B. Recent advancements in synthesis, rheological characterization, and tribological performance of vegetable oil-based lubricants enhanced with nanoparticles for sustainable lubrication. J. Clean. Prod. 2022, 378, 134454. [Google Scholar] [CrossRef]
- Fry, B.M.; Chui, Y.; Moody, G.; Wong, J.S.S. Interactions between organic friction modifier additives. Tribol. Int. 2020, 151, 106438. [Google Scholar] [CrossRef]
- Yu, H.; Chen, H.; Zheng, Z.; Qiao, D.; Feng, D.; Gong, Z.; Dong, G. Effect of functional groups on tribological properties of lubricants and mechanism investigation. Friction 2023, 11, 911–926. [Google Scholar] [CrossRef]
- Hamnas, A.; Unnikrishnan, G. Bio-lubricants from vegetable oils: Characterization, modifications, applications and challenges—Review. Renew. Sustain. Energy Rev. 2023, 182, 113413. [Google Scholar] [CrossRef]
- Saini, V.; Pond, L.; Uhryn, J.; Kalayil, A.; Tomar, A.; Subramanian, K.; Trifkovic, M.; Egberts, P. Shear-dependent tribological behavior of oleic acid as a sustainable lubricant additive in oils and nano-greases. Wear 2025, 570, 205932. [Google Scholar] [CrossRef]
- Adou, A.I.; Brelle, L.; Marote, P.; Sylvestre, M.; Cebriàn-Torrejòn, G.; Nomede-Martyr, N. Physicochemical Properties of Coconut and Waste Cooking Oils for Biofuel Production and Lubrication. Fuels 2025, 6, 57. [Google Scholar] [CrossRef]
Disclaimer/Publisher’s Note: The statements, opinions and data contained in all publications are solely those of the individual author(s) and contributor(s) and not of MDPI and/or the editor(s). MDPI and/or the editor(s) disclaim responsibility for any injury to people or property resulting from any ideas, methods, instructions or products referred to in the content. |
© 2025 by the authors. Licensee MDPI, Basel, Switzerland. This article is an open access article distributed under the terms and conditions of the Creative Commons Attribution (CC BY) license.







