Progress on Sustainable Cryogenic Machining of Hard-to-Cut Material and Greener Processing Techniques: A Combined Machinability and Sustainability Perspective
Abstract
1. Introduction
2. Research Aims and Motivation
- Reducing the consumption of input resources, such as energy, water, and materials.
- Minimizing the use of hazardous and non-biodegradable materials.
- Improving the efficiency of the production process by reducing waste streams.
- Could a green alternative based on cryogenic cooling be used instead of the conventional flood cooling method?
- Being familiar with cryogenic cooling systems and processing methods for machining superalloys.
- Different methods of cooling and processing examined and their impact on other output parameters during the machining of a difficult-to-cut material.
- Presents an overview of various peer-reviewed publications that have been published in the same field.
- By identifying current research gaps in the state-of-the-art and recommending appropriate solutions, this article makes a valuable contribution to the field.
3. Research Methodology
3.1. First Phase: Review Planning
- Determining the research questions and objectives for the review is a significant part of the planning process.
3.2. Second Phase: Reviewing the Development Phase
- The method through which the systematic review was performed should also be mentioned. In search of original research articles, journal articles, and conference proceedings of Elsevier, Emerald, Springer, and Google, the authors gathered information on the machining of hard materials under cryogenic cooling or cryogenic processing, and the sustainable aspects of such machining. Some keywords were machinability, tool wear, superalloys, cutting temperatures, cutting forces, surface roughness, cryogenic cooling, cryogenic processing, sustainability, FEA, and CFD simulation. Researchers analyzed studies from the last two decades, especially those from the previous ten years, from 2021 to 2011. An extensive selection of experimental and numerical studies was the basis for the systematic review. Different material studies were conducted to determine how different cooling techniques were performed on hard materials. These publications were selected for the study according to Figure 1 below.
3.3. Third Phase: Results Dissemination and Communication
- Following confirmation of the selected articles in the previous phase (Phase 2), the related metadata from these articles was uploaded to Microsoft Excel for use in creating the query. In the descriptive analysis, different cooling strategies were used to machine difficult-to-cut materials, analyzed and described based on their machinability (tool and workpiece materials), sustainability (water, coolant, and energy), and type of operation (turning, milling, and drilling).

4. Machining Performance Indicators
4.1. Cutting Temperature
4.2. Cutting Forces
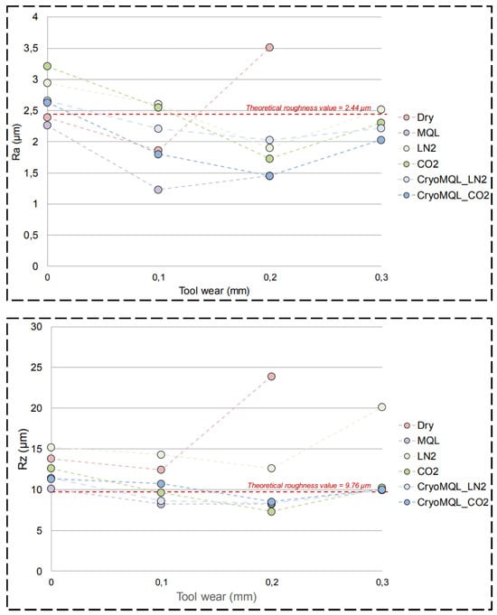
4.3. Surface Roughness
4.4. Tool Wear
Wear Mechanisms and Summary of Findings
- Adhesive Wear: High temperatures during dry machining increased adhesion between the workpiece and cutting tool, resulting in built-up edge development and faster wear. This was visible in Figure 15, where SEM images revealed considerable material adhesion and fracture damage on the tool surface.
- Abrasive Wear: Abrasive wear was present in both settings due to hard particles and workpiece microstructure, but it was less noticeable during cryogenic cooling because lower temperatures assisted in maintaining tool hardness and limited abrasive plowing.
- Thermal Fatigue and Oxidation: High temperatures during both dry and wet machining accelerated the wear development by causing thermal cracking and oxidation layers on the cutting edge. On the other hand, these thermal impacts were reduced by cryogenic cooling, which dramatically lowered cutting zone temperatures.
4.5. Chip Morphology
5. Sustainability Aspects
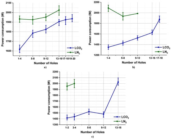
5.1. Drilling Process
5.2. Turning Process
5.3. Integrated Sustainability Assessment
6. Cryogenic Processing
7. Computational Analysis
8. Conclusions
- During machining, the cutting temperature is the essential factor. Different lightweight materials with varying cooling conditions are described in the review. The literature indicates that CO2 in combination with MQL gives the best results. The temperature dropped by approximately 40–50% in comparison to dry machining.
- The effectiveness of machining is also significantly influenced by cutting forces. Studies have shown that using cryogenic technology with MQL reduced cutting forces significantly, around 20–30% for high-performance materials.
- When using the cryogenic CO2 with the MQL system, it significantly reduced surface roughness. The literature has found that the surface finishes improved by approximately 40% over theoretical figures.
- Tool wear is linked to surface roughness as it is caused by adhesion, abrasion, etc. As mentioned above, a combination of Cryo and MQL improved surface roughness. Tool wear due to high-performance materials exhibits similar characteristics. Compared with dry machining, wear on tools reduced by 79%.
- It is rare in the literature to find morphological descriptions of chips. According to the available chip morphology information, cryogenic reduced the chip’s cutting zone temperature, silvery appearance, and brittleness.
- Sustainability is a crucial component of article machining. Power consumption, energy requirements, and carbon dioxide emissions play a significant role in determining the carbon footprint. Cryogenic technology reduced energy demand, power consumption, and CO2 by 40%, 28%, and 35%.
- The article uses computational techniques to determine the implications before starting the experiment. Simulations using CFD and FEA have been conducted to illustrate the operation of cryogenic + MQL machining. In summation, the reduction in machining parameters and improvement in sustainability is evident in the simulation and later verified through experimentation.
- ○
- Creation of real-time thermal monitoring adaptive cryogenic MQL systems powered by AI.
- ○
- CNC programming incorporating LCA metrics to automatically choose the most environmentally friendly machining technique.
- ○
- Investigation of substitute cryogenic fluids, such as hybrid refrigerants or bio-cryogens.
Author Contributions
Funding
Data Availability Statement
Conflicts of Interest
References
- Ali, S.; Pervaiz, S. Machinability analysis of AZ31 magnesium alloys using the Taguchi gray relational analysis. Int. J. Adv. Manuf. Technol. 2023, 126, 4171–4190. [Google Scholar] [CrossRef]
- Kaynak, Y.; Lu, T.; Jawahir, I.S. Cryogenic machining-induced surface integrity: A review and comparison with dry, mql, and flood-cooled machining. Mach. Sci. Technol. 2014, 18, 149–198. [Google Scholar] [CrossRef]
- Bagherzadeh, A.; Budak, E. Investigation of machinability in turning of difficult-to-cut materials using a new cryogenic cooling approach. Tribol. Int. 2018, 119, 510–520. [Google Scholar] [CrossRef]
- Shah, P.; Khanna, N. Chetan Comprehensive machining analysis to establish cryogenic LN2 and LCO2 as sustainable cooling and lubrication techniques. Tribol. Int. 2020, 148, 106314. [Google Scholar] [CrossRef]
- Strano, M.; Chiappini, E.; Tirelli, S.; Albertelli, P.; Monno, M. Comparison of Ti6Al4V machining forces and tool life for cryogenic versus conventional cooling. Proc. Inst. Mech. Eng. Part B J. Eng. Manuf. 2013, 227, 1403–1408. [Google Scholar] [CrossRef]
- Venugopal, K.A.; Paul, S.; Chattopadhyay, A.B. Growth of tool wear in turning of Ti-6Al-4V alloy under cryogenic cooling. Wear 2007, 262, 1071–1078. [Google Scholar] [CrossRef]
- Stampfer, B.; Golda, P.; Schießl, R.; Maas, U.; Schulze, V. Cryogenic orthogonal turning of Ti-6Al-4V: Analysis of nitrogen supply pressure variation and subcooler usage. Int. J. Adv. Manuf. Technol. 2020, 111, 359–369. [Google Scholar] [CrossRef]
- Suhaimi, M.A.; Yang, G.D.; Park, K.H.; Hisam, M.J.; Sharif, S.; Kim, D.W. Effect of Cryogenic Machining for Titanium Alloy Based on Indirect, Internal and External Spray System. Procedia Manuf. 2018, 17, 158–165. [Google Scholar] [CrossRef]
- Abdallah, S.; Ali, S.; Pervaiz, S.; Kannan, S. Conventional Machining of Single Crystal Metals and Super Alloys: A Review. J. Manuf. Sci. Eng. 2022, 144, 1–21. [Google Scholar] [CrossRef]
- Aramcharoen, A. Influence of Cryogenic Cooling on Tool Wear and Chip Formation in Turning of Titanium Alloy. Procedia CIRP 2016, 46, 83–86. [Google Scholar] [CrossRef]
- Damir, A.; Shi, B.; Attia, M.H. Flow characteristics of optimized hybrid cryogenic-minimum quantity lubrication cooling in machining of aerospace materials. CIRP Ann. 2019, 68, 77–80. [Google Scholar] [CrossRef]
- Dhananchezian, M.; Pradeep Kumar, M. Cryogenic turning of the Ti-6Al-4V alloy with modified cutting tool inserts. Cryogenics 2011, 51, 34–40. [Google Scholar] [CrossRef]
- Sales, W.F.; Schoop, J.; Jawahir, I.S. Tribological behavior of PCD tools during superfinishing turning of the Ti6Al4V alloy using cryogenic, hybrid and flood as lubri-coolant environments. Tribol. Int. 2017, 114, 109–120. [Google Scholar] [CrossRef]
- Ravi, S.; Gurusamy, P. Cryogenic machining of AISI p20 steel under liquid nitrogen cooling. Mater. Today Proc. 2021, 37, 806–809. [Google Scholar] [CrossRef]
- Paul, S.; Dhar, N.R.; Chattopadhyay, A.B. Beneficial effects of cryogenic cooling over dry and wet machining on tool wear and surface finish in turning AISI 1060 steel. J. Mater. Process. Technol. 2001, 116, 44–48. [Google Scholar] [CrossRef]
- Bertolini, R.; Ghiotti, A.; Bruschi, S. Machinability of polyamide 6 under cryogenic cooling conditions. Procedia Manuf. 2020, 48, 419–427. [Google Scholar] [CrossRef]
- Sartori, S.; Ghiotti, A.; Bruschi, S. Hybrid lubricating/cooling strategies to reduce the tool wear in finishing turning of difficult-to-cut alloys. Wear 2017, 376–377, 107–114. [Google Scholar] [CrossRef]
- Neto, O.M.P.; Calleja-Ochoa, A.; Ayesta, I.; Rodríguez, A.; González-Barrio, H.; de Lacalle, L.N.L. A Cleaner Milling Process Replacing Emulsion Coolant by Cryogenics CO2. Int. J. Precis. Eng. Manuf.-Green Technol. 2024, 11, 21–32. [Google Scholar] [CrossRef]
- Mulyana, T.; Rahim, E.A.; Md Yahaya, S.N. The influence of cryogenic supercritical carbon dioxide cooling on tool wear during machining high thermal conductivity steel. J. Clean. Prod. 2017, 164, 950–962. [Google Scholar] [CrossRef]
- Klocke, F.; Settineri, L.; Lung, D.; Claudio Priarone, P.; Arft, M. High performance cutting of gamma titanium aluminides: Influence of lubricoolant strategy on tool wear and surface integrity. Wear 2013, 302, 1136–1144. [Google Scholar] [CrossRef]
- Tapoglou, N.; Lopez, M.I.A.; Cook, I.; Taylor, C.M. Investigation of the Influence of CO2 Cryogenic Coolant Application on Tool Wear. Procedia CIRP 2017, 63, 745–749. [Google Scholar] [CrossRef]
- Busch, K.; Hochmuth, C.; Pause, B.; Stoll, A.; Wertheim, R. Investigation of Cooling and Lubrication Strategies for Machining High-temperature Alloys. Procedia CIRP 2016, 41, 835–840. [Google Scholar] [CrossRef]
- Pereira, O.; Rodríguez, A.; Barreiro, J.; Fernández-Abia, A.I.; de Lacalle, L.N.L. Nozzle design for combined use of MQL and cryogenic gas in machining. Int. J. Precis. Eng. Manuf.-Green Technol. 2017, 4, 87–95. [Google Scholar] [CrossRef]
- Shokrani, A.; Al-Samarrai, I.; Newman, S.T. Hybrid cryogenic MQL for improving tool life in machining of Ti-6Al-4V titanium alloy. J. Manuf. Process. 2019, 43, 229–243. [Google Scholar] [CrossRef]
- Pereira, O.; Rodríguez, A.; Fernández-Abia, A.I.; Barreiro, J.; López de Lacalle, L.N. Cryogenic and minimum quantity lubrication for an eco-efficiency turning of AISI 304. J. Clean. Prod. 2016, 139, 440–449. [Google Scholar] [CrossRef]
- Ali, S.; Alshibi, A.; Nasreldin, A.; Pervaiz, S. Artifical intelligence inspired approach to numerically investigate chip morphology in machining AISI630. Int. J. Interact. Des. Manuf. 2024, 18, 6655–6672. [Google Scholar] [CrossRef]
- Dhananchezian, M.; Priyan, M.R.; Rajashekar, G.; Narayanan, S.S. Study the Effect of Cryogenic Cooling on Machinability Characteristics during Turning Duplex Stainless Steel 2205. Mater. Today Proc. 2018, 5, 12062–12070. [Google Scholar] [CrossRef]
- Ranjith, R.; Somu, C.; Tharanitharan, G.; Venkatajalapathi, T.; Naveenkumar, M. Integrated taguchi cum grey relational experimental analysis (great) for optimization and machining characterization of cryogenic cooled AA6063 aluminium alloys. Mater. Today Proc. 2019, 18, 3597–3605. [Google Scholar] [CrossRef]
- Kane, S.N.; Mishra, A.; Dutta, A.K. Preface: International Conference on Recent Trends in Physics (ICRTP 2016). J. Phys. Conf. Ser. 2016, 755, 011001. [Google Scholar] [CrossRef]
- Ali, S.; Pervaiz, S.; Kannan, S. Current Research Trends in Variants of Minimum Quantity Lubrication (MQL): A Review. In ASME International Mechanical Engineering Congress and Exposition; American Society of Mechanical Engineers: New York, NY, USA, 2021. [Google Scholar] [CrossRef]
- Yildirim, Ç.V.; Kivak, T.; Sarikaya, M.; Şirin, Ş. Evaluation of tool wear, surface roughness/topography and chip morphology when machining of Ni-based alloy 625 under MQL, cryogenic cooling and CryoMQL. J. Mater. Res. Technol. 2020, 9, 2079–2092. [Google Scholar] [CrossRef]
- Krishnamurthy, G.; Bhowmick, S.; Altenhof, W.; Alpas, A.T. Increasing efficiency of Ti-alloy machining by cryogenic cooling and using ethanol in MRF. CIRP J. Manuf. Sci. Technol. 2017, 18, 159–172. [Google Scholar] [CrossRef]
- Kesavan, J.; Senthilkumar, V. Experimental investigations on cryo-machining of Hastelloy C-276 with tool wear characteristics. Sadhana-Acad. Proc. Eng. Sci. 2020, 45, 240. [Google Scholar] [CrossRef]
- Akıncıoğlu, S.; Gökkaya, H.; Uygur, İ. The effects of cryogenic-treated carbide tools on tool wear and surface roughness of turning of Hastelloy C22 based on Taguchi method. Int. J. Adv. Manuf. Technol. 2016, 82, 303–314. [Google Scholar] [CrossRef]
- Dhananchezian, M. Study the machinability characteristics of Nicked based Hastelloy C-276 under cryogenic cooling. Meas. J. Int. Meas. Confed. 2019, 136, 694–702. [Google Scholar] [CrossRef]
- Venugopal, K.A.; Paul, S.; Chattopadhyay, A.B. Tool wear in cryogenic turning of Ti-6Al-4V alloy. Cryogenics 2007, 47, 12–18. [Google Scholar] [CrossRef]
- Aramcharoen, A.; Chuan, S.K. An experimental investigation on cryogenic milling of inconel 718 and its sustainability assessment. Procedia CIRP 2014, 14, 529–534. [Google Scholar] [CrossRef]
- Pušavec, F.; Kopac, J. Sustainability Assessment: Cryogenic Machining of Inconel 718. Stroj. Vestn. 2011, 57, 637–647. [Google Scholar] [CrossRef]
- Shah, P.; Bhat, P.; Khanna, N. Life cycle assessment of drilling Inconel 718 using cryogenic cutting fluids while considering sustainability parameters. Sustain. Energy Technol. Assess. 2021, 43, 100950. [Google Scholar] [CrossRef]
- ISO 14044:2006; Environmental Management—Life Cycle Assessment—Requirements and Guidelines. ISO: Geneva, Switzerland, 2006.
- Gross, D.; Hanenkamp, N. Energy Efficiency Assessment of Cryogenic Minimum Quantity Lubrication Cooling for Milling Operations. Procedia CIRP 2021, 98, 523–528. [Google Scholar] [CrossRef]
- Agrawal, C.; Wadhwa, J.; Pitroda, A.; Iulian, C. Tribology International Comprehensive analysis of tool wear, tool life, surface roughness, costing and carbon emissions in turning Ti–6Al–4V titanium alloy: Cryogenic versus wet machining. Tribol. Int. 2021, 153, 106597. [Google Scholar] [CrossRef]
- Lu, T.; Jawahir, I.S. Metrics-based Sustainability Evaluation of Cryogenic Machining. Procedia CIRP 2015, 29, 520–525. [Google Scholar] [CrossRef]
- Kumar, M.; Song, Q.; Liu, Z.; Sarikaya, M.; Jamil, M.; Mia, M.; Kushvaha, V.; Kumar, A.; Li, Z. Ecological, economical and technological perspectives based sustainability assessment in hybrid-cooling assisted machining of Ti-6Al-4 V alloy. Sustain. Mater. Technol. 2020, 26, e00218. [Google Scholar] [CrossRef]
- Rotella, G.; Lu, T.; Settineri, L.; Dilon, O.W., Jr.; Jawahir, I.S. Sustainable Manufacturing; Springer: Berlin/Heidelberg, Germany, 2012. [Google Scholar] [CrossRef]
- Sharma, J.; Sidhu, B.S. Investigation of effects of dry and near dry machining on AISI D2 steel using vegetable oil. J. Clean. Prod. 2014, 66, 619–623. [Google Scholar] [CrossRef]
- Grguraš, L.; Kern, D.; Pušavec, M. Sustainability Assessment of Advanced Machining Technologies. Stroj. Vestn.-J. Mech. Eng. 2019, 65, 671–679. [Google Scholar] [CrossRef]
- Dhar, N.R.; Paul, S.; Chattopadhyay, A.B. Role of cryogenic cooling on cutting temperature turning steel. J. Manuf. Sci. Eng. Trans. ASME 2002, 124, 146–154. [Google Scholar] [CrossRef]
- Singh, H.; Singh, B.; Kumar, P. Materials Today: Proceedings Effect of cryogenic treatment on corrosion behavior of friction stir processed magnesium alloy AZ91. Mater. Today Proc. 2021, 46, 10389–10395. [Google Scholar] [CrossRef]
- Kumar, A.; Kumar, P.; Singh, B. Materials Today: Proceedings Optimizing the effect of wear test parameters on the specific wear rate of AZ91D magnesium alloy. Mater. Today Proc. 2021, 44, 4885–4890. [Google Scholar] [CrossRef]
- Satyanarayana, M.V.N.V.; Reddy, P.; Kumar, A. Materials Today: Proceedings Preparation of bulk-area stir zone in aluminium 6061 alloy via cryogenic friction stir processing. Mater. Today Proc. 2021, 41, 987–990. [Google Scholar] [CrossRef]
- Tahmasebi, E.; Albertelli, P.; Lucchini, T.; Monno, M.; Mussi, V. CFD and experimental analysis of the coolant flow in cryogenic milling. Int. J. Mach. Tools Manuf. 2019, 140, 20–33. [Google Scholar] [CrossRef]
- Kim, W.Y.; Senguttuvan, S.; Kim, S.H.; Lee, S.W.; Kim, S.M. Numerical study of flow and thermal characteristics in titanium alloy milling with hybrid nanofluid minimum quantity lubrication and cryogenic nitrogen cooling. Int. J. Heat Mass Transf. 2021, 170, 121005. [Google Scholar] [CrossRef]
- Balaji, V.; Ravi, S.; Chandran, P.N.; Damodaran, K.M. Review of the Cryogenic Machining in Turning and Milling Process. Int. J. Res. Eng. Technol. 2015, 4, 38–42. [Google Scholar] [CrossRef]
- Salame, C.; Bejjani, R.; Marimuthu, P. A better understanding of cryogenic machining using CFD and FEM simulation. Procedia CIRP 2019, 81, 1071–1076. [Google Scholar] [CrossRef]
- Bejjani, R.; Salame, C.; Olsson, M. An experimental and finite element approach for a better understanding of ti-6al-4v behavior when machining under cryogenic environment. Materials 2021, 14, 2796. [Google Scholar] [CrossRef] [PubMed]
- Pervaiz, S.; Kannan, S.; Kishawy, H.A. An extensive review of the water consumption and cutting fluid based sustainability concerns in the metal cutting sector. J. Clean. Prod. 2018, 197, 134–153. [Google Scholar] [CrossRef]
- Tazehkandi, A.H.; Shabgard, M.; Tutunchi, A. Improving the Performance of Machining Parameters in the Turning Process of Inconel 686 by Using Cryo-MQL Method. Lubr. Sci. 2025, 37, 17–33. [Google Scholar] [CrossRef]
- Gao, Y.; Wang, Y.; Chen, Z.; Liu, L.; Zhang, Y.; Jia, S.; Yang, P. Influence of the cryogenic treatment on wear resistance and cutting performance of cemented carbide. Int. J. Refract. Met. Hard Mater. 2025, 128, 107042. [Google Scholar] [CrossRef]
- Mohamad Fauzee, N.F.; Abdul Halim, N.H.; Solihin, Z.H.; Tharazi, I.; Zakaria, I.A.; Hadi, M.A. A computational fluid dynamics analysis of cryo-CO2 flow and thermal behaviour in high-speed milling process. Appl. Therm. Eng. 2025, 264, 125342. [Google Scholar] [CrossRef]
- Pereira, R.B.D.; Gómez-Escudero, G.; Calleja-Ochoa, A.; Pereira, O.; González-Barrio, H.; Brandão, L.C.; de Lacalle, L.N.L. Hybrid cryogenic/MQL helical milling for hole-making of Inconel 718. Results Eng. 2025, 26, 104776. [Google Scholar] [CrossRef]
- Demirbaş, A.; Köklü, U.; Morkavuk, S.; Giasin, K.; Kocaman, E.; Sarıkaya, M. Machining-Induced Damage and Corrosion Behavior of Monel-400 Alloy Under Cryogenic Cooling Conditions: A Sustainable Initiative. Int. J. Precis. Eng. Manuf. Technol. 2025, 12, 493–508. [Google Scholar] [CrossRef]
- Varghese, V.; Sharma, P.; Ramesh, M.R.; Chakradhar, D.; Dhasan, S. Experimental Investigation on Surface Integrity in Cryogenic Machining of Maraging Steel. J. Mater. Eng. Perform. 2025. [Google Scholar] [CrossRef]
- Bertolini, R.; Stramare, A.; Bruschi, S.; Ghiotti, A.; Campagnolo, A. Impact of cryogenic machining on the fatigue strength and surface integrity of wrought Ti6Al4V with equiaxed microstructure. Eng. Fail. Anal. 2025, 170, 109274. [Google Scholar] [CrossRef]
- Tamil Alagan, N.; Sajja, N.T.; Zeman, P.; Primus, T.; Falk, K.; Awe, S.A. Sustainable machining of aluminum MMCs: The role of biomimetic textured cutting tools in cryogenic conditions. J. Manuf. Process. 2025, 133, 1005–1024. [Google Scholar] [CrossRef]
- Zhang, G.; Ma, W.; Gao, Y.; Zhao, Y.; Zhao, G.; Meng, J.; Zuo, D.; Sun, Y. Clarification of the effect of cooling rate on abrasive embedding behavior of PDMS in cryogenic abrasive air-jet machining. J. Manuf. Process. 2025, 134, 749–761. [Google Scholar] [CrossRef]
- Akkaş, M.; Gürdal, M. Effect on Machinability Characteristics of Cryogenic Process and Performance Assessment by Using Machine Learning Approach with Scaled Conjugate Gradient Algorithm. Iran. J. Sci. Technol. Trans. Mech. Eng. 2025, 49, 181–200. [Google Scholar] [CrossRef]
- Damir, A.; Shi, B.; Elsayed, A.; Thelin, J.; M’Saoubi, R.; Attia, H. On the tribological and thermal aspects of cryogenic machining of Inconel 718 and their effects on surface integrity. Wear 2025, 571, 205855. [Google Scholar] [CrossRef]
- Sarıkaya, M.; Yıldırım, Ç.V.; Şirin, Ş.; Kara, M.İ.; Şirin, E.; Kıvak, T.; Królczyk, G.M.; Ataş, A. Performance and wear analysis in machining of Co-based Haynes 25/L605 superalloy using sustainable cooling/lubrication agencies. Sustain. Mater. Technol. 2025, 43, e01268. [Google Scholar] [CrossRef]
- Guarise, A.; Bertolini, R.; Ghiotti, A.; Bruschi, S. Wear behaviour of additively manufactured Nitinol cryogenically machined at different cutting speeds. Tribol. Int. 2025, 204, 110478. [Google Scholar] [CrossRef]
- George, A.; Dhanish, P.B.; Mathew, J. Mitigating the tribological challenges in machining Ti6Al4V using tool texturing and deep cryogenic treatment techniques. Wear 2025, 571, 205867. [Google Scholar] [CrossRef]






































| Parameter | Dry | Flooded | MQL | Cryogenic (LN2/LCO2) | Hybrid (Cryo + MQL/CMQL) |
|---|---|---|---|---|---|
| Cutting Temperature | High (~350 °C) | Moderate | Moderate (~275 °C) | Decrease by 22–50% | Decrease by up to 49% (CO2 + MQL) |
| Cutting Forces | Highest | Moderate | Moderate | Decrease by 30–40% | Reduced up to 75% (LN2), B6Decrease by up to 40% (CMQL) |
| Surface Roughness | High (≥2.5 µm) | Moderate | Decrease by ~14% | Decrease by 22–31% | Reduced by 25–40% |
| Tool Wear | Severe (burns, adhesion) | Moderate (built-up edge) | Reduced slightly | Decrease to 75% | Decrease by up to 100% |
| Chip Morphology | Curly, dark (high heat) | Less curly, vaporized coolant | Slightly improved | Brittle, silver, and easy to break | Most optimized chip morphology |
| Power Consumption | Highest | High (due to pumps) | Moderate | Decrease by 27–40% | Decrease by up to 39% |
| Energy Requirement | High | High | Moderate | Decrease by 12–28% | Decrease by up to 40.5% (with regrinding) |
| CO2 Emissions | High | High | Moderate | Decrease by 22–35% | Decrease by up to 35% |
| Machining Cost | Low (initial) | High (fluids, waste) | Moderate | Reduced by 27% compared to wet | Decreased by 44% (running cost) |
| Tool Life Improvement | Shortest | Better than dry | Improved | Decreased by 70–78% | Decreased by up to 100% |
| Environmental Impact | Poor | High (waste, fluid use) | Moderate | Reduced due to no harmful fluids | Best balance of eco-performance |
Disclaimer/Publisher’s Note: The statements, opinions and data contained in all publications are solely those of the individual author(s) and contributor(s) and not of MDPI and/or the editor(s). MDPI and/or the editor(s) disclaim responsibility for any injury to people or property resulting from any ideas, methods, instructions or products referred to in the content. |
© 2025 by the authors. Licensee MDPI, Basel, Switzerland. This article is an open access article distributed under the terms and conditions of the Creative Commons Attribution (CC BY) license (https://creativecommons.org/licenses/by/4.0/).
Share and Cite
Ali, S.; Abdallah, S.; Pervaiz, S.; Deiab, I. Progress on Sustainable Cryogenic Machining of Hard-to-Cut Material and Greener Processing Techniques: A Combined Machinability and Sustainability Perspective. Lubricants 2025, 13, 322. https://doi.org/10.3390/lubricants13080322
Ali S, Abdallah S, Pervaiz S, Deiab I. Progress on Sustainable Cryogenic Machining of Hard-to-Cut Material and Greener Processing Techniques: A Combined Machinability and Sustainability Perspective. Lubricants. 2025; 13(8):322. https://doi.org/10.3390/lubricants13080322
Chicago/Turabian StyleAli, Shafahat, Said Abdallah, Salman Pervaiz, and Ibrahim Deiab. 2025. "Progress on Sustainable Cryogenic Machining of Hard-to-Cut Material and Greener Processing Techniques: A Combined Machinability and Sustainability Perspective" Lubricants 13, no. 8: 322. https://doi.org/10.3390/lubricants13080322
APA StyleAli, S., Abdallah, S., Pervaiz, S., & Deiab, I. (2025). Progress on Sustainable Cryogenic Machining of Hard-to-Cut Material and Greener Processing Techniques: A Combined Machinability and Sustainability Perspective. Lubricants, 13(8), 322. https://doi.org/10.3390/lubricants13080322

