Abstract
Impact-sliding experiments were performed by using four self-made lithium-based greases, namely Yangtze Grease 1, Yangtze Grease 2, Yangtze Grease 3, and Yangtze Grease 4. The influence of base oil viscosity, thickener content, and morphology of thickener fiber clusters on the lubricating state were visually explored, combined with field-emission microscopy and two-light interference technology. The grease film distribution at the middle section was measured using Dichromatic Interference Intensity Modulation (DIIM) software. All experiments were executed in a completely flooded environment. The results show that among the components of grease, the base oil’s viscosity has the greatest impact on the anti-wear performance of the grease. As the viscosity of the base oil increases, the grease exhibits better anti-wear performance. The grease film thickness under the condition of high-viscosity base oil is about 10 times higher than that under the condition of low-viscosity base oil. Secondly, the content of thickener in the grease needs to be controlled within a reasonable range. The experiments indicate that the effect of thickener content on the grease’s film-forming properties becomes more pronounced at higher speeds. From the experiment using YG 4, it can be seen that a higher thickener content under high-speed conditions increases the thickness of the lubricating grease film by about 10 times. The dimensions of the thickener fibers and the density of their entanglement structure significantly influence the rheological properties and load-bearing capacity of the grease. Larger fiber sizes and higher entanglement densities result in reduced grease fluidity and recovery but enhance its load-bearing capabilities. In order to obtain the best anti-wear performance during impact-sliding motion, the size of the thickener fiber and the density of the entanglement structure need to be controlled within an appropriate range.
1. Introduction
Impact motions are usually common in a running machine system, which exerts variable applied load and transient effect onto the machine elements mounted on the machine shafts. As a typical unsteady motion under lubricated conditions, the rupture of or reduction in film under impact conditions will cause direct contact between the two surfaces, resulting in wear and tear. The problem of tribological analysis under impact conditions has attracted much attention from researchers.
The problem of lubrication under squeeze conditions dates back to the 1960s. Christensen [1] numerically resolved the pressure distribution and film shape for four distinct boundary conditions. In the 1990s, by using optical interferometry, Larsson and Lundberg [2] discovered that the maximum impact load, the impact velocity, and the lubricant viscosity had an impact on the depth and diameter of the central depression under pure impact conditions. Sakamoto, Nishikawa, Kaneta, Guo, and other authors [3,4,5,6,7,8] identified that non-central dimple formation occurs under conditions of pure squeezing. This type of entrapped lubricant dimple was created near the EHL contact’s edge, which is also where the greatest film thickness was found. Due to their dynamic characteristics linked to a rise in pressure, the dimple was particularly acquired for tiny starting gaps between surfaces or pre-loaded contact points. It was also achieved for greater loading rates and lubricants near the glass transition. According to Josef Fryza [9], approaching speed and lubricant viscosity mostly influence the central film thickness, whereas loading speed directly affects the geometry of the entrapped film. The squeeze problem has also been examined from the wear standpoint by several researchers with the use of wear test machines. Post-experiment, the surfaces of the two specimens were analyzed using a scanning electron microscope and additional surface topography instruments to assess the wear scars. The study of impact wear involves the effect of different materials [10,11,12,13,14], temperature conditions [12], number of impact cycles [13,14], etc., on wear behavior.
Industrial applications often necessitate the consideration of both tangential velocity and alternating loads acting between the interacting surfaces. Because the contacting surfaces bearing the impact load are moving during these processes, it makes sense to consider the sliding/rolling conditions in conjunction with the impact motion. For example, in roller chains or sleeve chains, the pins and sleeves often generate shock loads due to the polygonal effect as they slide back and forth. Yin et al. examined how different impact and sliding velocities affect the wear behavior of 304-grade stainless steel using a homemade impact-sliding wear test rig [15]. Wang et al. discovered [16] that instantaneous high heat and plasticity are associated with the damage that is initiated and accumulated at the contact near-surface under high-speed cyclic impact-sliding conditions. Lv et al.’s [17] investigation of the phenomenon of grease-lubricated impact-sliding composite wear revealed that the wear’s location varies along with changes in sliding speed. Multiple concave convex peaks will appear in the entire contact area for direct contact, and wear will occur simultaneously in the entire area at low speed. At modest speeds, both kinds of wear happen, but at high speeds, the wear starts at the horseshoe’s side lobes. Regardless of the sliding speed, under impact-sliding conditions, the advantage of grease forming a thick film at low speed is lost, and wear will occur rapidly.
Lubricating grease is a two-phase lubricant that is made up of a base oil with a thickener physically scattered throughout [18]. Thickener fibers resist deformation from elastic forces, while the oil resists deformation from viscous forces. When stress is applied to the lubricating grease [19], it provides a cushioning effect on mechanical impacts. Film thickness is an important indicator of the lubrication status of the contact surface. Benefiting from optical interference technology, the grease film thickness under fully flooded conditions and starvation can be accurately obtained [20,21,22]. Wu et al. [23] expanded the use of the average flow rate model to grease and investigated how surface elastic deformation, rheological index, and film thickness ratio affected flow factor. Jin et al. studied the film formation mechanism of grease under different sliding/rolling ratios. [24]. It has been proven that the presence of a thickener and a base oil in grease can promote the formation of grease film to a certain extent. Under low-speed conditions, the thickener significantly influences the formation of the grease film within the contact area [25,26]. Cann et al. believed that under starvation conditions, the formed grease film is composed of two components: one is the deposited thickener, and the other is the hydrodynamic oil film [25,26]. At the same time, under the condition of low entrainment velocities and sufficient lubrication, the thickener can increase overall film thickness. Kimura, Cen, Laurentis, et al. noted a consistent trend: exceptionally thick lubricating films formed at low entrainment velocities, but at high entrainment velocities, the thickness of the formed film was nearly equivalent to that observed with the base oil alone. In other words, a “critical speed” exists, and a V-shape may be seen in the relationship between the grease film-forming properties and entrainment velocity [27,28].
It is crucial to highlight that the film-forming characteristics and evolution behavior of grease under varying lubrication conditions are fundamentally governed by the morphologies of thickener fibers [29,30,31,32] and the physicochemical properties of the base oil [33,34]. Sakai et al. found that lithium grease exhibits the capability to form a thicker EHL film due to the better microstructure of the lithium-based thickener [35]. Couronné et al. investigated the impact of grease elastic modulus on oil film thickness using four greases with various mechanical characteristics and additives. The results showed that the elastic modulus of the grease was correlated with its capacity to form film thickness. [36]. Xu et al. investigated the influence of the thickener content and entanglement degree of thickener fibers on structural strength, structural rearrangement speed, and recoverability and found that greases with greater entanglement degree showed higher structural strength, a lower rate of structural rearrangement, and lower recoverability [37]. Kanazawa et al. tested the influence of the fiber structure of grease on film-forming properties at a certain entrainment speed [38] and found that as the speed increased from low to high, the film-forming properties of the grease were gradually controlled by the thickener and changed to those of the dominant base oil, but the shift to the region dominated by the base oil occurred at a specific value of the ratio between the thickener fiber diameter and the base oil film thickness rather than at a fixed “critical velocity”. Schultheiss et al. investigated the effect of grease composition on the wear behavior of low-speed gears and discovered that the viscosity and type of base oil had a slight impact on gear wear behavior, while the type of thickener and additives had an important impact on gear wear behavior [39]. However, the impact of grease constituents on lubrication efficacy warrants further investigation.
Overall, most of the above research on grease focuses on single forms of motion, for example, pure squeeze, pure sliding, rolling, etc. There are fewer studies on impact-sliding composite motion lubrication, which, coupled with the characteristics of the grease, make the research problem even more complex.
Based on the research of Lv [17], this paper employs four kinds of self-made grease on a ball–disk test rig and uses optical interference technology to study the influence of grease components (thickener structure, concentration, base oil viscosity) on the occurrence of composite wear under impact-sliding conditions. It is hoped that the influence of grease composition on the occurrence of wear under impact-sliding conditions will be elucidated by optical interference technology.
2. Experimental Equipment and Conditions
2.1. Experimental Equipment and Principle
Experiments were carried out using a self-made point-contact impact-sliding-load optical interferometric EHL machine (a schematic diagram is shown in Figure 1). The optical interference test rig consists of a light source, a motion control module, a loading module, an image acquisition module, and a test bench body. The experimental platform combines optical interferometry to effectively and accurately measure the thickness of lubricating film. The basic principle of the optical interference method is that the incident light is reflected on the contact surface between the steel ball and the glass disk of the friction pair, and the two coherent light columns after reflection meet to produce interference fringes. The brightness, color, and order of interference of the fringes reflect the size of the film thickness. In the experiment, we first used red and green dual-color light to illuminate the contact points and then captured optical interference images using a CCD camera and software based on Dichromatic Interference Intensity Modulation (DIIM) technology to measure the thickness of the lubricating grease film [40]. We used specialized software to measure the collected optical interference patterns and obtain the thickness of the lubricating grease film. In order to achieve the expected changes in glass disk speed and steel ball impact load, the servo motor was programmed using PLC. Figure 2 illustrates the load variation during the load variation cycle. The load undergoes cyclic impact in the form of triangular waves.
Figure 1.
Schematic diagram of optical interference test rig.
Figure 2.
Cyclic load variation curve.
2.2. Experimental Materials and Parameters
This K9 glass disc has a bottom layer of SiO2 (120 nm thick) for partial reflection and a 15 nm thick chromium coating film on the side that contacts the steel ball. The steel ball’s composition is G5-precision GCr15 steel. Four self-made lithium-based greases, Yangtze Grease 1 (YG 1), Yangtze Grease 2 (YG 2), Yangtze Grease 3 (YG 3), and Yangtze Grease 4 (YG 4), were selected. The specific parameters of the steel ball and glass disk are shown in Table 1. The specific parameters of the four types of grease are shown in Table 2.
Table 1.
Parameters of steel ball and glass disk.
Table 2.
Parameters of four types of grease.
In all the experiments, the maximum impact load is 15 N, the corresponding Hertz contact stress is 0.41 GPa, and the frequency parameter of the steel ball’s reciprocating impact is 1 Hz. The variation in the loading curve is shown in Figure 1. Unless otherwise specified, the period in this paper is T = 1 s. During the experimental procedure, the ambient conditions were maintained at a temperature of 24 ± 0.5 °C and a relative humidity of 60 ± 5%, using sufficient lubricant (10 g per set of experiments). As each experiment was only conducted for 3 cycles, the glass disc did not rotate more than 1 cycle. So, the glass disc and the steel ball track were adequately and uniformly lubricated. Based on the research of Han et al. [41], it is known that under pure rolling conditions, as the entrainment speed changes from low to high, the thickness of the lubricating grease film first decreases and then increases, showing a V-shaped change. The inflection point of the trend change is called the critical spool speed. When the entrainment speed is lower than the critical entrainment speed, the thickness of the lubricating grease film decreases with the increase in entrainment speed, while when the entrainment speed is greater than the critical entrainment speed, the thickness of the lubricating grease film decreases with the increase in entrainment speed. This change pattern applies to all lubricating greases. Figure 3 is a graph of the relationship between the thickness of the lubricating grease film and the entrainment speed of four types of lubricating grease measured under pure rolling steady-state conditions. It can be seen that the critical velocities of the four types of lubricant are 25 mm/s, 18 mm/s, 40 mm/s, and 2–3 mm/s, respectively. It can be seen that before the critical entrainment speed, the thickness of the lubricating grease film decreases with increasing entrainment speed, while after the critical entrainment speed, the thickness of the lubricating grease film increases with further increases in entrainment speed. So, it is necessary to take velocity points located on both sides of the critical velocity separately to ensure the integrity of the experiment. Under sliding speed conditions, the suction speed is half the sliding speed. When the sliding speed is 0.01 m/s, the entrainment speed is 0.005 m/s, which is located to the left of the critical speed. When the sliding speed is 0.1 m/s, the entrainment speed is 0.05 m/s, located on the right side of the critical speed. Therefore, two speed parameters of 0.01 m/s and 0.1 m/s are selected. However, this work mainly studies the effect of grease composition and structure on impact wear, so the critical speed measured under pure rolling conditions is only for reference. As shown in Table 3, a total of 8 experiments were planned, with each experiment repeated five times to ensure the accuracy of the experimental results.
Figure 3.
Film thickness versus entrainment speed (15 N): (a) YG 1 and YG 2; (b) YG 3 and YG 4.
Table 3.
Experimental setup.
3. Results and Discussion
3.1. Field-Emission Scanning Electron Microscope Images of Four Greases
A field-emission scanning electron microscope (FESEM) was used to see and examine the thickening fiber microstructures of four different types of greases from a microscopic perspective.
The observation of the morphology of grease fiber clusters was performed using an FESEM, and the method of sample preparation was the soaking method. The silicon wafer was prepared with a size of 3 × 3 mm. We applied a layer of grease evenly on the silicon wafer and immersed it in petroleum ether for 48 h; the petroleum ether was replaced once during the immersion. After soaking, the sample was dried, sprayed with gold power, and then observed with an FESEM. The advantage of using the soaking method to prepare samples of lithium-based grease is that it can ensure that the structure of grease fiber clusters is not damaged to the greatest extent.
Figure 4 shows the FESEM images of the fiber structures of the four kinds of greases; the magnification is 20,000 times. From an overall point of view, the entanglement of the thickener fibers of greases YG 3 and YG 4 is greater than that of greases YG 1 and YG 2.
Figure 4.
FESEM images of fiber structures of four kinds of grease thickeners (dense area).
In order to better see the specific shape of individual fibers, Figure 5 shows the FESEM images of the fiber structure in the sparse area of the four greases. Specifically, the thickener fibers of YG 1 and YG 2 are coarser and longer than those of YG 3 and YG 4. The thickening fibers of YG 3 and YG 4 are thinner and shorter.
Figure 5.
FESEM images of fiber structures of four kinds of grease thickeners (sparse area).
3.2. Experimental Results for Yangtze Grease 1 and Yangtze Grease 2
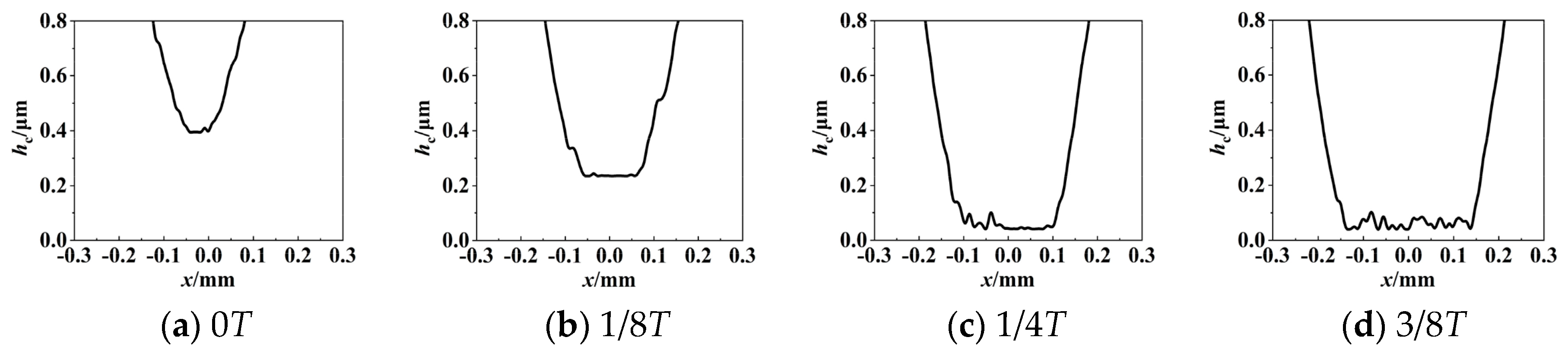
Figure 6 shows the optical interferometric images of the first period of the impact-sliding experiment with YG 1. The sliding speed is 0.01 m/s (Experiment 1 in Table 3), and the impact frequency is 1 Hz. The arrow in the figure indicates the sliding direction. Figure 7 shows the film thickness profiles at the mid-section, corresponding to the position marked by the dashed line in Figure 6. Figure 6a illustrates that the grease film thickness between the steel ball and the glass disk is approximately 0.58 μm at the onset of the experiment. At the instant depicted in Figure 6b, the central contact area expands as the load increases. Due to the existence of tangential velocity, a cavitation area (the area surrounded by the white dotted line in the interferogram) appears in the exit area, and the film thickness in the central region rapidly diminishes to 0.052 μm, as shown in Figure 7b. In Figure 6c–g, the grease at the contact area is depleted, and there is only a very thin layer of lubricating film between the steel ball and the glass disk. At time 1/2T of the maximum load, the grease thickness is only 12 nm (Figure 7c–g). At the end of the first cycle (Figure 6h), the steel ball returns to the initial position, the load becomes zero, the grease returns between the two contact surfaces, and the film thickness of the grease returns to 0.54 μm.
Figure 6.
Interferograms of the first period during the impact-sliding process (vs = 0.01 m/s, YG 1).
Figure 7.
Mid-section film thickness (vs = 0.01 m/s, YG 1).
Figure 8 shows the optical interference image with a sliding speed of 0.1 m/s in the first cycle (Experiment 2 in Table 3); other conditions remain unchanged. Figure 9 displays the film thickness profiles corresponding to the first four images in Figure 8. Starting from Figure 8e, multiple direct contacts of asperity peaks within the contact region are observed, resulting in a minimum film thickness of zero, so there is no need to provide the film thickness of the middle section. Figure 8a shows the initial image, wherein the contact surface exhibits slight engagement, with a central film thickness of the grease at 0.39 μm. Compared with the corresponding image in Figure 6, due to the velocity increases, more grease is entrained into the contact surface, as shown in Figure 8b–d. The central film thickness within the contact area is greater than that observed in the corresponding mid-section depicted in Figure 6, as illustrated in Figure 9b–d. Comparing Figure 8d with Figure 6d, an obvious lubricating grease film can be seen only on the upper side and the right side of the contact area near the center, while at other positions in the contact region the grease is depleted. At this time, the lubrication between the two contact surfaces enters a mixed lubrication state. In Figure 8e, the contact area load has reached its peak, and therefore, the contact area has also reached its maximum value. A good lubricating film reappears in most of the contact region, but the cavitation area has invaded the contact region, resulting in the local direct contact of the asperity peaks. The cavitation area is unfavorable to the lubricating grease film, and it will continue to cause surface damage wear during the unloading process. As shown in Figure 8f, the cavitation continues to expand toward the inlet area, and multiple wear points appear in the contact region. The cavitation region prevents the movement of the grease to the outlet region. So, an area of thicker grease film is formed on the left side of the area. As the load continues to decrease, traces of wear can still be seen in the field of view, as shown in Figure 8h.
Figure 8.
Interferograms of the first period during the impact-sliding process (vs = 0.1 m/s, YG 1).
Figure 9.
Mid-section film thickness (vs = 0.1 m/s, YG 1).
Figure 10 presents the optical interference pattern of YG 2 within one cycle during the experiment. Unlike YG 1, the sliding speed is 0.01 m/s, and the thickener content in YG 2 increases from 8% to 16% (Experiment 3 in Table 3). Figure 11 presents the film thickness profiles at the mid-section, corresponding to the data shown in Figure 10. Comparing Figure 10 with Figure 6, it is evident that when the sliding speed is 0.01 m/s, the increase in the thickener content does not improve the lubrication of the contact area significantly at 1/4T, 3/8T, 1/2T, 11/16T, and 7/8T. From 1/8T (Figure 10b) to 7/8T (Figure 10g), the grease is depleted. In Figure 11b–g, compared with the corresponding time in Figure 7, the film thickness increases by about 4~5 nm. This shows that the increase in thickener content has a certain influence on the increase in the thickness of the grease film.
Figure 10.
Interferograms of the first period during the impact-sliding process (vs = 0.01 m/s, YG 2).
Figure 11.
Mid-section film thickness (vs = 0.01 m/s, YG 2).
Figure 12 presents the interferograms obtained at a higher sliding speed of 0.1 m/s during the initial cycle (Experiment 4 in Table 3). The grease at the contact area is depleted quickly, and the increase in sliding speed makes it easier for the cavitation area to invade the contact region, causing indirect contact between the asperity peaks and then the expansion of point wear, as shown in Figure 12f. Compared with the corresponding instant in Figure 10, the central film thickness in Figure 13 has increased by 7~10 nm. The increase in sliding velocity also has a certain influence on the increase in film thickness, but it accelerates the entry of air and causes spot wear under the condition of YG 2 grease lubrication.
Figure 12.
Interferograms of the first period during the impact-sliding process (vs = 0.1 m/s, YG 2).
Figure 13.
Mid-section film thickness (vs = 0.1 m/s, YG 2).
Comprehensively, in comparative experiments 1, 2, 3, and 4, the YG 1 and YG 2 greases cannot achieve a good lubricating effect and may even cause the appearance of wear phenomena in the first cycle.
3.3. Experimental Results of Yangtze Grease 3 and Yangtze Grease 4
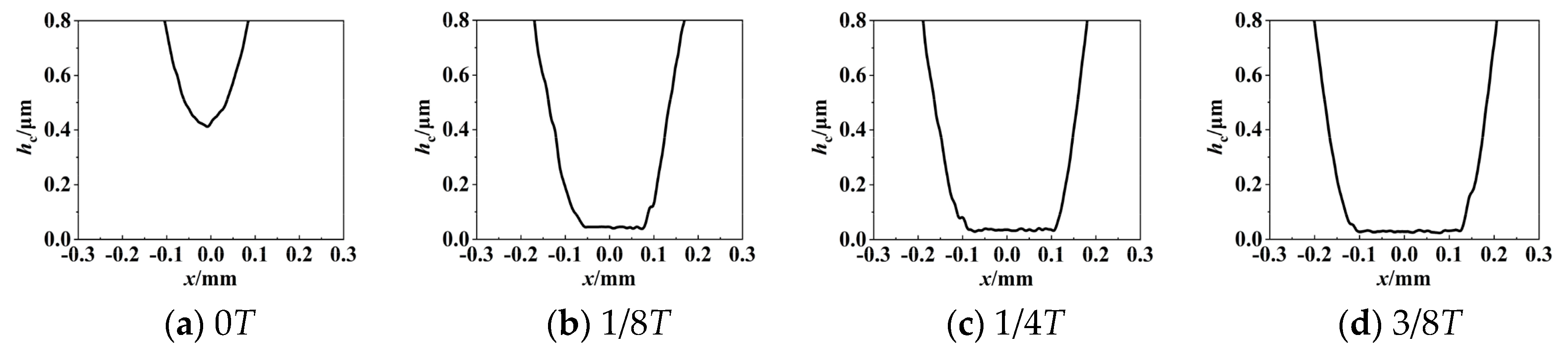
Figure 14 shows the interferograms of the first period of the impact-sliding experiment using YG 3. The sliding speed is 0.01 m/s (Experiment 5 in Table 3). Figure 15 shows the film thickness corresponding to the interferograms. In Figure 14a, the contact area exhibits EHL, with a central film thickness of approximately 0.45 μm (Figure 15a). In Figure 14a, the contact area is in the EHL state, and the central film thickness is about 0.45 μm (Figure 15a). At 1/8T, as shown in Figure 14b, the contact area presents a horseshoe shape, and the central film thickness decreases to 0.18 μm (Figure 15b). In Figure 14c–e, as the load increases, the contact region’s area continues to expand, and in Figure 15c–e, the grease thickness decreases gradually. In Figure 15e–g, the grease is not significantly replenished in the process of unloading, and the grease film in the center region hardly changes. Compared with Figure 6, Figure 14 is not in a depleted state. Additionally, grease YG 3 is made from a base oil with a higher viscosity compared to that of YG 1. During the experiment, the central film thickness of Experiment 5 was about 130 nm higher than that of Experiment 1 at 1/8T–7/8T (0T and 1T have no load, so we will not discuss them). It can be preliminarily speculated that the increase in the viscosity of the base oil improves the thickness under impact-sliding conditions.
Figure 14.
Interferograms of the first period during the impact-sliding process (vs = 0.01 m/s, YG 3).
Figure 15.
Mid-section film thickness (vs = 0.01 m/s, YG 3).
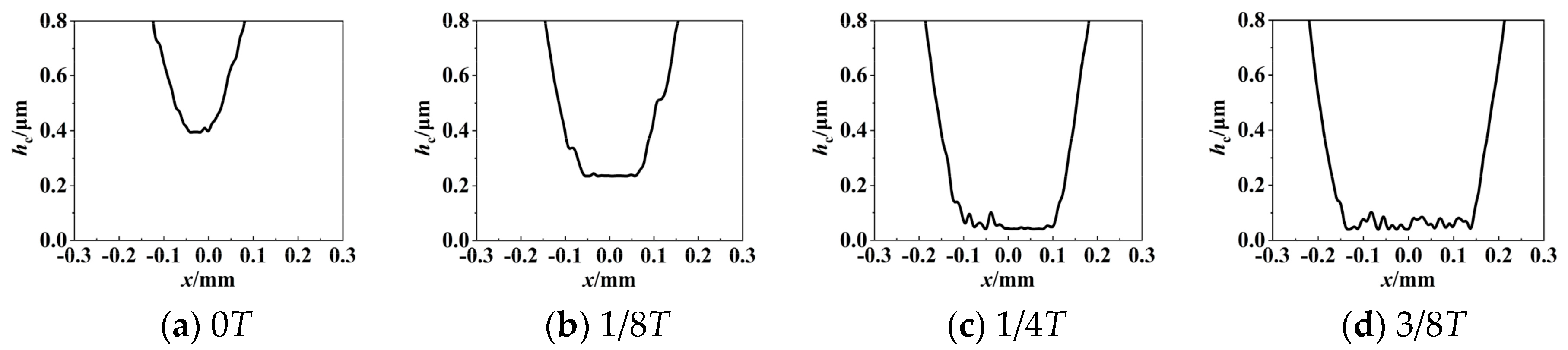
Figure 16 presents the interferograms obtained at a higher sliding speed of 0.1 m/s during the initial cycle (Experiment 6 in Table 3). Figure 17 presents the film thickness profiles at the mid-section for the corresponding time intervals. In the interferograms, it can be seen that the lubricating effect is relatively good, but still, no fiber clusters of the grease thickener are present. The appearance of the classic horseshoe shape indicates that the contact area has entered a state of EHL. Compared with Figure 15, with the increase in sliding speed and applied load, the entrainment velocity further increases, resulting in a slight increase in the thickness of the grease film (approximately 30 nm thicker).
Figure 16.
Interferograms of the first period during the impact-sliding process (vs = 0.1 m/s, YG 3).
Figure 17.
Mid-section film thickness (vs = 0.1 m/s, YG 3).
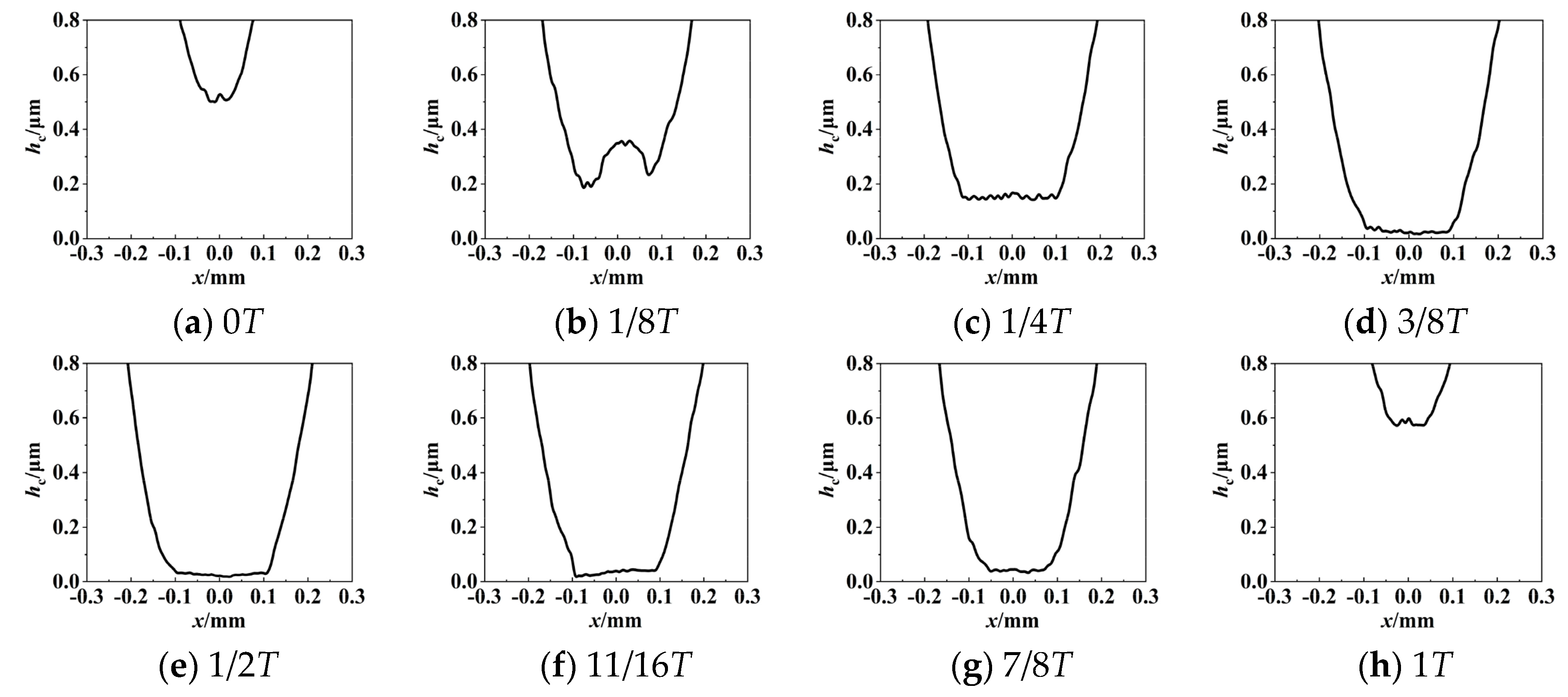
Figure 18 presents the interferograms of YG 4 at a sliding velocity of 0.01 m/s (Experiment 7 in Table 3). Compared with grease YG 3, the thickener content increases from 8% to 16%. Figure 19 shows the film thickness profiles at the mid-section for the corresponding time intervals. At the instant shown in Figure 18a, a substantial presence of grease fiber clusters is observed between the two interfacing surfaces. In Figure 18b, as the load increases, the contact region continues expanding, and a large grease fiber cluster appears in the lower half of the contact area. The appearance of the fiber cluster greatly increases grease film thickness. In Figure 19b, an obvious bump is formed in the grease film curve. At the 1/4T instant shown in Figure 18c, the grease fiber cluster has moved out of the contact region, and only a thicker grease film exists in the upper half of the contact region. Starting from Figure 18d, the lubrication state presents a similar variation to that in Figure 14 (Experiment 5). Compared to Figure 19 and Figure 15, the increase in thickener content did not increase film thickness, but the minimum film thickness in the mid-section was close to zero during the unloading stage.
Figure 18.
Interferograms of the first period during the impact-sliding process (vs = 0.01 m/s, YG 4).
Figure 19.
Mid-section film thickness (vs = 0.01 m/s, YG 4).
Figure 20 presents the interferograms obtained at a higher sliding speed of 0.1 m/s (Experiment 8 in Table 3). YG 4 is characterized by a very wide cavitation area, as depicted in Figure 18 and Figure 20, on the right side of the outlet region, from top to bottom. As the sliding speed increases, the contact area presents an obvious horseshoe shape, which has the same regular change as in Figure 16 (Experiment 6). From the perspective of the corresponding grease thickness, the central grease thickness in Figure 21 is about 10 nm lower than that in Figure 17 during the experiment.
Figure 20.
Interferograms of the first period during the impact-sliding process (vs = 0.1 m/s, YG 4).
Figure 21.
Mid-section film thickness (vs = 0.1 m/s, YG 4).
4. Discussion
From the FESEM image in Figure 4b, it can be seen that the higher thickener content resulted in a denser entangled structure of the fibers. Combined with optical interference experiments, it can be seen that when it is impacted, it exhibits an excellent load-bearing capacity, but the rearrangement speed of the fiber structure is slow and the recoverability is not strong. At the same time, the denser entangled structure also increases the consistency, and the lower base oil viscosity makes the thickener fibers coarser, so YG 2 is the thickest and highest NLGI-grade grease among the four greases. As illustrated in Figure 10 and Figure 12, upon impact, the thickener fibers fail to re-enter the contact region, resulting in a depleted contact region and reduced film thickness.
The increase in base oil viscosity makes the thickener fiber dimensions smaller and the degree of entanglement increases [37]. Therefore, it can be seen from Figure 5 that, compared with the other three greases, the thickener fiber size of YG 4 is tiny and the entangled structure density is the highest. The denser the entangled structure of the thickener fibers, the greater their load-bearing capacity. However, due to the small size of the fibers, the structure is significantly influenced by the sliding speed. At high sliding speeds, more clusters of thickener fibers are introduced into the contact zone, whereas at low sliding speeds, the dense, entangled structure fails to reach the contact zone. Nonetheless, a very thin grease film is consistently formed in the contact area, as illustrated in Figure 18 and Figure 20.
To elucidate the impact of grease composition on lubrication performance more comprehensively, Figure 22 and Figure 23 show the comparison curves of four types of grease film thickness under two sliding speed conditions. T is the period, t is the time, and the vertical ordinate is the central film thickness of the grease lubrication contact region.
Figure 22.
Mid-section film thickness of four kinds of grease (vs = 0.01 m/s).
Figure 23.
Mid-section film thickness of four kinds of grease (vs = 0.1 m/s).
The thickener content of the YG 1 grease is lower than that of the YG 2 grease, so the thickened fiber entanglement structure formed by YG 1 is less dense and more dispersed (loose) than that of YG 2, as shown in Figure 4a. Therefore, the structure recombination speed and recovery ability of thickener fibers of YG 1 are stronger than those of YG 2. In Figure 22 and Figure 23, the initial central film thickness of YG 1 is observed to be marginally greater than that of YG 2 prior to the onset of wear. Since YG 1 has a lower thickener content, the entangled structure it forms has a lower density, so the tangential velocity significantly removes lubricant from the contact zone, thereby impairing its ability to support the load effectively. In Figure 8, the wear occurs on the right side near the outlet area.
Excessive density of the thickener fiber entanglement structure can reduce the fluidity of the lubricating grease, while too low a density will not be able to bear loads well. YG 3 shows very good anti-friction properties (Figure 14 and Figure 16). In Figure 4, the entangled structure formed by YG 3 has moderate density, and its fiber size is relatively small. Combined with optical interference experiments, it can be seen that YG 3 can still form a thick lubricating film in the contact area under low-speed conditions, while the other three experimental greases fail to establish an effective lubricating film under low-speed conditions. Therefore, it has good fluidity and recoverability and has a certain load-bearing capacity, so in the optical interferometric experiment it exhibited excellent anti-friction properties.
The viscosity of base oil PAO 4 is smaller than that of base oil PAO 40. Through the comparisons of Experiment 1 and Experiment 5, Experiment 3 and Experiment 7, Experiment 2 and Experiment 6, and Experiment 4 and Experiment 8, it can be found that when the viscosity of the base oil is lower (PAO 4), the central film thickness decreases rapidly at first in the process of impact-sliding and then tends to be stable. When the speed is low (Figure 22), upon completion of the impact, the central grease thickness basically returns to the same film thickness as the initial position. When the speed is high (Figure 23), the contact region wears out and the grease thickness becomes zero. Overall, it has been observed that an increase in the viscosity of the base oil correlates with a thicker central film thickness in the grease, thereby enhancing the lubrication effect. As depicted in Figure 22 and Figure 23, whether it is a low sliding speed or a high sliding speed, the central grease thickness of the greases formulated with PAO 40 is greater than that of the greases formulated with PAO 4, which is the same as the results shown in the optical interferometric images of Figure 6 and Figure 14.
From the perspective of thickener content, for base oils with low viscosity (PAO 4), the thickener content has little effect on the thickness of the grease film. The central film thickness with a content of 8% is slightly higher than that with a content of 16%, as shown in the first and second curves in Figure 22 and Figure 23. When the viscosity of the base oil is high (PAO 40), the influence of the thickener content on the central film thickness is more obvious, and the lubrication state when the thickener content is 8% is obviously better than that when the thickener content is 16%, as shown in the third and fourth curves in Figure 22 and Figure 23. On the whole, the increase in the thickener content did not improve the lubrication state; on the contrary, the thickener content of 8% is more preferable. This is because the increase in thickener content leads to an increase in the fiber density of the lubricant thickener, thereby improving the fluidity of the lubricant and making it more susceptible to other factors. Therefore, the selection of thickener content should be kept within a reasonable range.
In addition, a comparison of Figure 22 and Figure 23 (from the perspective of sliding velocity) shows that for lubricating greases (YG 1 and YG 2) with a lower-viscosity base oil (PAO 4), during loading, the grease film first decreases rapidly and then becomes stable. Referring to the correlation between grease film thickness and entrainment velocity for the four different greases, when the sliding speed is low (Figure 22)—due to the low effective entrainment speed, which is lower than the critical speed of the V-shaped curve in Figure 3 (the speed corresponding to the lowest point of the V-shaped curve)—the grease film thickness should be thicker, but due to the existence of the impact load and the slow increase in load, the squeeze effect is not obvious, and no impact dimple is observed. During the loading process, as the load increases, the grease within the contact zone is squeezed out, leading to a rapid reduction in the thickness of the grease film. During the unloading process, as the applied load diminishes, the thickness of the grease film changes in the opposite direction to the loading process and gradually returns to its initial thickness. When the sliding speed is high (Figure 23), the effective entrainment speed is much greater than the critical entrainment speed. At this entrainment speed, the lubricating effect of the grease is primarily governed by the base oil. Since the base oil viscosity of the YG 1 and YG 2 greases is relatively low, a good lubricating oil film cannot be established on the contact surface at a higher effective entrainment speed. As the load increases, the effective entrainment speed further increases, causing cavitation to enter the contact region, which leads to local direct contact of the asperity peaks and wear.
For lubricating greases (YG 3 and YG 4) with a high-viscosity base oil (PAO 40), when the sliding speed is low (Figure 22), the effective entrainment speed is much lower than the critical entrainment velocity of the YG 3 grease. Due to the good fluidity of the YG 4 grease, a thicker lubricating film is still formed under the condition of low effective entrainment speed and loading. For the YG 4 grease, at low speed, the effective entrainment speed is still greater than the critical entrainment speed. As the load increases, the effective entrainment speed further increases (still near the critical entrainment speed). Therefore, under the condition that the squeeze effect is not obvious, as the load increases, the agglomerates of thickener fibers are carried away from the contact region, and because of its poor fluidity, the grease film thickness rapidly decreases to an extremely low thickness. The unloading process is opposite to the loading process, and the film thickness eventually returns to its initial thickness. When the sliding speed is high (Figure 23), the effective entrainment speed is much greater than the critical entrainment speed of the two greases. At this entrainment speed, the lubricating effect of the grease is determined by the base oil. Due to the high viscosity of the base oil in YG 3 and YG 4, a good lubrication state is formed under high entrainment speed conditions, and the contact area presents a classic horseshoe shape, indicating an elastohydrodynamic lubrication state.
5. Conclusions
- A higher base oil viscosity is beneficial to prevent impact wear. Among the constituents of grease, the viscosity of the base oil is a primary determinant of its anti-wear properties. With an increase in sliding velocity, a higher base oil viscosity results in a more pronounced protective effect against impact wear.
- The content of the thickener has minimal impact on the film-forming properties of greases with lower base oil viscosity, but it has a significant effect on greases with higher base oil viscosity. At low speeds, higher thickener content reduces the central film thickness, but the effect is little at high speeds. Therefore, based on the premise of increasing the film thickness of the grease, the thickener content needs to be controlled within a reasonable range for different movement speeds.
- The size of the thickener fiber structure and the density of the entanglement structure will affect the fluidity and load-bearing capacity of the grease. Larger fiber sizes and entanglement structure densities will reduce the fluidity and recoverability of the grease but increase the load-bearing capacity. Smaller fiber sizes and entanglement structures will increase the fluidity and recoverability of the grease, but the load-bearing capacity will decrease. Additionally, smaller fiber sizes are more susceptible to the impact of sliding speed. Therefore, in order to obtain the best anti-wear performance, it is necessary to control the base oil viscosity and thickener content according to different movement speeds and control the size of the thickener fiber and the density of the entanglement structure within a reasonable range to achieve the purpose of enhancing the fluidity and load-bearing capacity of the grease.
Author Contributions
Conceptualization, J.W. and Z.L.; methodology, X.W. and Y.H.; software, X.W.; validation, Y.H., Z.L. and J.W.; formal analysis, X.W. and J.W.; investigation, X.W.; resources, X.W.; data curation, X.W. and Z.L.; writing—original draft preparation, X.W.; writing—review and editing, J.W.; visualization, X.W.; supervision, J.W.; project administration, J.W.; funding acquisition, J.W. All authors have read and agreed to the published version of the manuscript.
Funding
The authors have disclosed a receipt of the following financial support for the research, authorship, and/or publication of this article: This work was supported by the National Natural Science Foundation of China (51875298) and the Shandong Provincial Natural Science Foundation (ZR2019MEE040).
Data Availability Statement
Data are contained within the article.
Conflicts of Interest
The authors declare no potential conflicts of interest with respect to the research, authorship, and/or publication of this article.
References
- Christensen, H. Oil Film in a Closing Gap. Proc. R. Soc. London. Ser. A. Math. Phys. Sci. 1962, 266, 312–328. [Google Scholar] [CrossRef]
- Larsson, R.; Lundberg, J. Study of Lubricated Impact Using Optical Interferometry. Wear 1995, 190, 184–189. [Google Scholar] [CrossRef]
- Sakamoto, M.; Nishikawa, H.; Kaneta, M. Behaviour of Point Contact EHL Films under Pulsating Loads; Elsevier: Amsterdam, The Netherlands, 2003; pp. 391–399. [Google Scholar] [CrossRef]
- Guo, F.; Kaneta, M.; Wang, J.; Nishikawa, H.; Yang, P. Occurrence of a Noncentral Dimple in Squeezing EHL Contacts. J. Tribol. 2006, 128, 632–640. [Google Scholar] [CrossRef]
- Kaneta, M.; Ozaki, S.; Nishikawa, H.; Guo, F. Effects of Impact Loads on Point Contact Elastohydrodynamic Lubrication Films. Proc. Inst. Mech. Eng. Part J J. Eng. Tribol. 2007, 221, 271–278. [Google Scholar] [CrossRef]
- Nishikawa, H.; Miyazaki, H.; Kaneta, M.; Guo, F. Effects of Two-Stage Impact Load on Point Contact Elastohydrodynamic Lubrication Films. Proc. Inst. Mech. Eng. Part J J. Eng. Tribol. 2008, 222, 807–814. [Google Scholar] [CrossRef]
- Kaneta, M.; Nishikawa, H.; Mizui, M.; Guo, F. Impact Elastohydrodynamics in Point Contacts. Proc. Inst. Mech. Eng. Part J J. Eng. Tribol. 2011, 225, 1–12. [Google Scholar] [CrossRef]
- Kaneta, M.; Wang, J.; Guo, F.; Krupka, I.; Hartl, M. Effects of Loading Process and Contact Shape on Point Impact Elastohydrodynamics. Tribol. Trans. 2012, 55, 772–781. [Google Scholar] [CrossRef]
- Fryza, J.; Sperka, P.; Kaneta, M.; Krupka, I.; Hartl, M. Effects of Lubricant Rheology and Impact Speed on EHL Film Thickness at Pure Squeeze Action. Tribol. Int. 2017, 106, 1–9. [Google Scholar] [CrossRef]
- Sukpat, M.; Jirapong, K.; Karuna, T. Computational Study of Impact Wear: FatigueApproach. Wear 2023, 528–529, 204972. [Google Scholar] [CrossRef]
- Wang, S.G.; He, W.F.; Zhang, H.H.; Zhang, L.Y.; Cao, X.; Jiao, Y.; Huang, D.; Li, C.Z.; Zhang, Y.H. Study on the Impact Erosion Wear Resistance and Damage Evolution of TiN Films under Different Impact Cycles. Thin Solid Film. 2023, 770, 139757. [Google Scholar] [CrossRef]
- Chen, X.D.; Wang, L.W.; Yang, L.Y.; Tang, R.; Yu, Y.Q.; Cai, Z.B. Investigation on the Impact Wear Behavior of 2.25Cr–1Mo Steel at Elevated Temperature. Wear 2021, 476, 203740. [Google Scholar] [CrossRef]
- Yilmaz, H.; Sadeler, R. Impact Wear Behavior of Ball Burnished 316L Stainless Steel. Surf. Coat. Technol. 2019, 363, 369–378. [Google Scholar] [CrossRef]
- Wang, S.; Cui, Q.; Zou, J.; Zhang, Z. Impact Wear Mechanism of 2Cr13 Steel under Small Stress Multi-Impact Conditions. Wear 2020, 462–463, 203492. [Google Scholar] [CrossRef]
- Yin, M.; Cai, Z.; Zhang, Z.; Yue, W. Effect of Ultrasonic Surface Rolling Process on Impact-Sliding Wear Behavior of the 690 Alloy. Tribol. Int. 2020, 147, 105600. [Google Scholar] [CrossRef]
- Wang, C.; Aldakheel, F.; Zhang, C.W.; Gu, L.; Wriggers, P. Failure of High-Speed Bearing at Cyclic Impact-Sliding Contacts: Numerical and Experimental Analysis. Int. J. Mech. Sci. 2023, 253, 108410. [Google Scholar] [CrossRef]
- Lv, Z.; Han, Y.; Zhang, R.; Wang, J. Occurrence of Grease Lubricated Impact-Sliding Composite Wear. Lubricants 2022, 10, 284. [Google Scholar] [CrossRef]
- ASTM 1961 09.01; Annual Book of ASTM Standards. ASTM International: West Conshohocken, PA, USA, 2002; pp. 389–392.
- Salomonsson, L.; Stang, G.; Zhmud, B. Oil/Thickener Interactions and Rheology of Lubricating Greases. Tribol. Trans. 2007, 50, 302–309. [Google Scholar] [CrossRef]
- Spikes, H.A.; Cann, P.M. The Development and Application of the Spacer Layer Imaging Method for Measuring Lubricant Film Thickness. Proc. Inst. Mech. Eng. Part J J. Eng. Tribol. 2001, 215, 261–277. [Google Scholar] [CrossRef]
- Cann, P.M.E.; Damiens, B.; Lubrecht, A.A. The Transition between Fully Flooded and Starved Regimes in EHL. Tribol. Int. 2004, 37, 859–864. [Google Scholar] [CrossRef]
- Kanazawa, Y.; De Laurentis, N.; Kadiric, A. Studies of Friction in Grease-Lubricated Rolling Bearings Using Ball-on-Disc and Full Bearing Tests. Tribol. Trans. 2019, 63, 77–89. [Google Scholar] [CrossRef]
- Wu, M.J.; Han, X.; Tao, Y.R.; Pei, J.X. An Average Flow Model Considering Non-Newtonian Characteristics with Application to Grease Behavior. J. Tribol. 2022, 144, 101802. [Google Scholar] [CrossRef]
- Jin, X.Y.; Li, X.M.; Chen, Q.; Yang, P.; Guo, F.; Jiang, N. Observation of Grease Film Behavior in Sliding-Rolling Concentrated Contacts. J. Tribol. 2021, 144, 011602. [Google Scholar] [CrossRef]
- Cann, P.M. Starvation and Reflow in a Grease-Lubricated Elastohydrodynamic Contact. Tribol. Trans. 1996, 39, 698–704. [Google Scholar] [CrossRef]
- Cann, P.M. Understanding Grease Lubrication. Tribol. Ser. 1996, 31, 573–581. [Google Scholar] [CrossRef]
- Kimura, Y.; Endo, T.; Dong, D. EHL with Grease at Low Speeds. In Advanced Tribology; Springer: Berlin/Heidelberg, Germany, 2008; pp. 15–19. [Google Scholar] [CrossRef]
- De Laurentis, N.; Kadiric, A.; Lugt, P.; Cann, P. The Influence of Bearing Grease Composition on Friction in Rolling/Sliding Concentrated Contacts. Tribol. Int. 2016, 94, 624–632. [Google Scholar] [CrossRef]
- Cen, H.; Lugt, P.M.; Morales-Espejel, G. On the Film Thickness of Grease-Lubricated Contacts at Low Speeds. Tribol. Trans. 2014, 57, 668–678. [Google Scholar] [CrossRef]
- Cen, H.; Lugt, P.M.; Morales-Espejel, G. Film Thickness of Mechanically Worked Lubricating Grease at Very Low Speeds. Tribol. Trans. 2014, 57, 1066–1071. [Google Scholar] [CrossRef]
- Morales-Espejel, G.E.; Lugt, P.M.; Pasaribu, H.R.; Cen, H. Film Thickness in Grease Lubricated Slow Rotating Rolling Bearings. Tribol. Int. 2014, 74, 7–19. [Google Scholar] [CrossRef]
- Cyriac, F.; Lugt, P.M.; Bosman, R.; Padberg, C.J.; Venner, C.H. Effect of Thickener Particle Geometry and Concentration on the Grease EHL Film Thickness at Medium Speeds. Tribol. Lett. 2016, 61, 18. [Google Scholar] [CrossRef]
- Lugt, P.M. A Review on Grease Lubrication in Rolling Bearings. Tribol. Trans. 2009, 52, 470–480. [Google Scholar] [CrossRef]
- Cann, P.M. Grease Lubrication of Rolling Element Bearings—Role of the Grease Thickener. Lubr. Sci. 2007, 19, 183–196. [Google Scholar] [CrossRef]
- Sakai, K.; Tokumo, Y.; Ayame, Y.; Shitara, Y.; Tanaka, H.; Sugimura, J. Effect of Formulation of Li Greases on Their Flow and Ball Bearing Torque. Tribol. Online 2016, 11, 168–173. [Google Scholar] [CrossRef][Green Version]
- Couronné, I.; Vergne, P.; Mazuyer, D.; Truong-Dinh, N.; Girodin, D. Effects of Grease Composition and Structure on Film Thickness in Rolling Contact. Tribol. Trans. 2003, 46, 31–36. [Google Scholar] [CrossRef]
- Xu, N.; Wang, X.; Ma, R.; Li, W.; Zhang, M. Insights into the Rheological Behaviors and Tribological Performances of Lubricating Grease: Entangled Structure of a Fiber Thickener and Functional Groups of a Base Oil. New J. Chem. 2018, 42, 1484–1491. [Google Scholar] [CrossRef]
- Kanazawa, Y.; Sayles, R.S.; Kadiric, A. Film Formation and Friction in Grease Lubricated Rolling-Sliding Non-Conformal Contacts. Tribol. Int. 2017, 109, 505–518. [Google Scholar] [CrossRef]
- Schultheiss, H.; Tobie, T.; Stahl, K. The Effect of Selected Grease Components on the Wear Behavior of Grease-Lubricated Gears. J. Tribol. 2016, 138, 011602. [Google Scholar] [CrossRef]
- Liu, H.C.; Guo, F.; Guo, L.; Wong, P.L. A Dichromatic Interference Intensity Modulation Approach to Measurement of Lubricating Film Thickness. Tribol. Lett. 2015, 58, 15. [Google Scholar] [CrossRef]
- Han, Y.M.; Sperka, P.; Wang, J.; Krupka, I.; Hartl, M.; Li, W.M.; Wang, X.B.; Liu, W.M. InfluenceofFreeWaterDroplets on Film Formation under Point Contact-Grease-Lubrication. J. Tribol. 2023, 145, 074101. [Google Scholar] [CrossRef]
Disclaimer/Publisher’s Note: The statements, opinions and data contained in all publications are solely those of the individual author(s) and contributor(s) and not of MDPI and/or the editor(s). MDPI and/or the editor(s) disclaim responsibility for any injury to people or property resulting from any ideas, methods, instructions or products referred to in the content. |
© 2024 by the authors. Licensee MDPI, Basel, Switzerland. This article is an open access article distributed under the terms and conditions of the Creative Commons Attribution (CC BY) license (https://creativecommons.org/licenses/by/4.0/).






















