The Prediction of Wear Depth Based on Machine Learning Algorithms
Abstract
1. Introduction
2. Materials and Methods
2.1. Data Acquisition
2.2. ML Algorithms
2.3. Parameter Optimization of ML Models
2.4. Evaluation Parameters
3. Results and Discussion
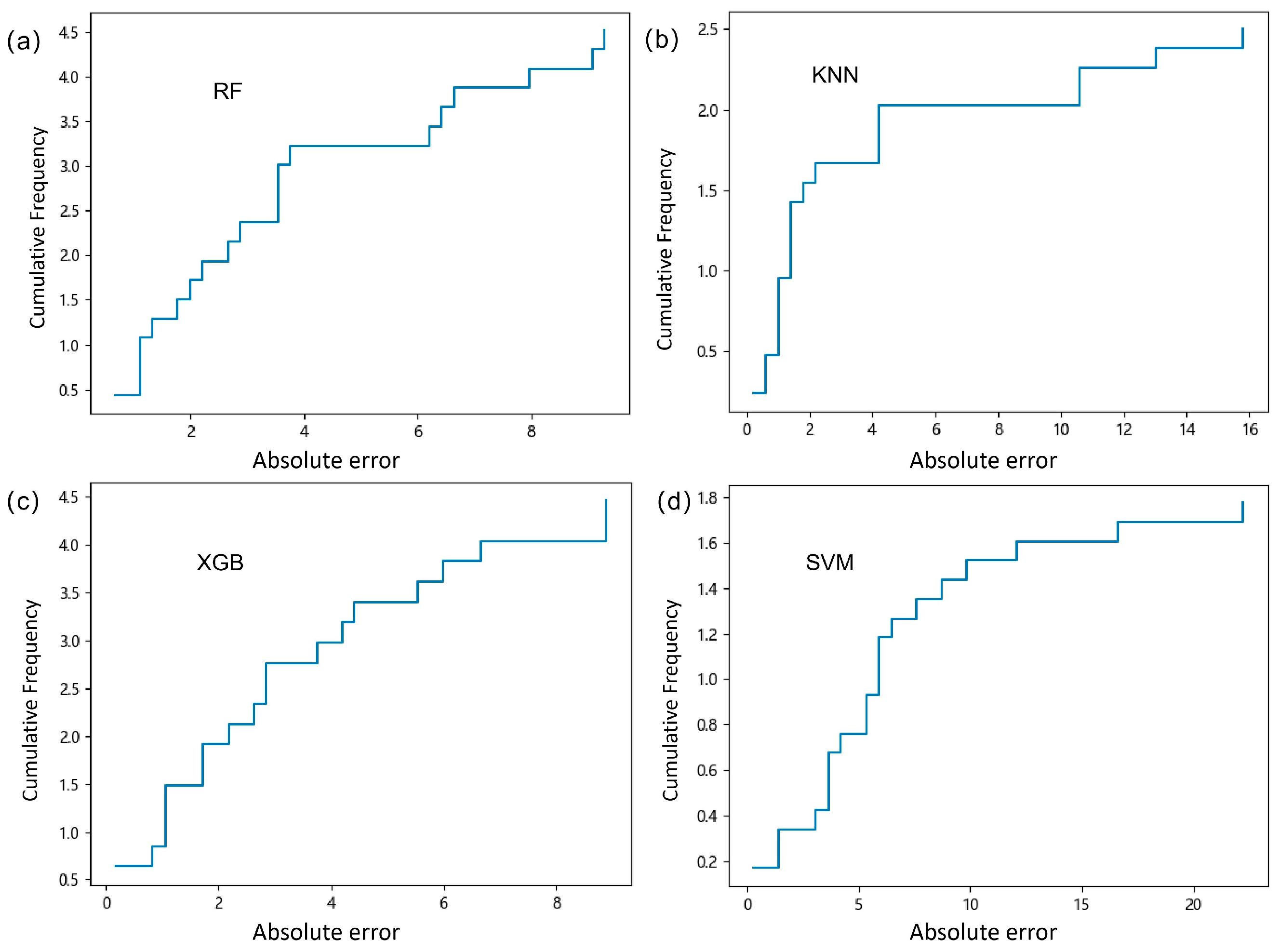
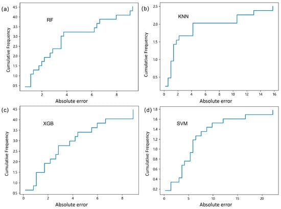
3.1. Model Performance Evaluation
3.2. Comparison between Experimental and Predicted Values
3.3. Regression Analysis of Model Results
3.4. The Influence of Different Characteristic Parameters on Wear Amount
4. Conclusions
Author Contributions
Funding
Data Availability Statement
Conflicts of Interest
References
- Jiang, S.X.; Qun, L.X.; Yan, F.; Yi, Q.Z. Tribo-dynamic analysis for aero ball bearing with 3D measured surface roughness. Eng. Fail. Anal. 2022, 131, 105848. [Google Scholar]
- Yu, G.W.; Xia, W.; Song, Z.Y.; Wu, R.; Wang, S.; Yao, Y. Wear-life analysis of deep groove ball bearings based on Archard wear theory. J. Mech. Sci. 2018, 32, 3329–3336. [Google Scholar] [CrossRef]
- Fu, X.Y.; Wei, L.; Zhang, Y.; Li, S. Comparative study of bearing wear in spindle system at different working conditions. Mech. Based Des. Struct. Mech. 2023, 51, 6184–6203. [Google Scholar] [CrossRef]
- Xue, Y.; Chen, J.; Guo, S.; Meng, Q.L.; Luo, J. Finite element simulation and experimental test of the wear behavior for self-lubricating spherical plain bearings. Friction 2018, 6, 297–306. [Google Scholar] [CrossRef]
- Shu, Y.J.; Shen, F.; Ke, L.L.; Wang, Y.S. Adaptive finite element simulation and experimental verification for f-retting wear of PVDF piezoelectric thin films. Wear 2022, 502–503, 204395. [Google Scholar] [CrossRef]
- Ricci, M.C. Internal Loading Distribution in Statically Loaded Ball Bearings Subjected to an Eccentric Thrust Load. Math. Probl. 2009, 2009, 471804. [Google Scholar] [CrossRef]
- Mannan, A.; Pozzebon, M.L.; Daniel, W.J.T.; Meehan, P.A. Temperature Effect on Load Distribution, Friction, and Wear of a Grease-Lubricated Spherical Roller Bearing (SRB). Tribol. Trans. 2023, 66, 144–161. [Google Scholar] [CrossRef]
- Pozzebon, M.L.; Lin, C.L.; Meehan, P.A. On the Modeling of Wear in Grease-Lubricated Spherical Roller Bea-rings. Tribol. Trans. 2020, 63, 806–819. [Google Scholar] [CrossRef]
- Cen, H.; Lugt, P.M. Film thickness in a grease lubricated ball bearing. Tribol. Int. 2019, 134, 26–35. [Google Scholar] [CrossRef]
- Harris, T.A.; Kotzalas, M.N. Advanced Concepts of Bearing Technology: Rolling Bearing Analysis. In Rolling Bearing Analysis; Routledge: London, UK, 2006. [Google Scholar]
- Gonçalves, D.; Pinho, S.; Graça, B.; Campos, A.V.; Seabra, J.H.O. Friction torque in thrust ball bearings lubri-cated with polymer greases of different thickener content. Tribol. Int. 2016, 96, 87–96. [Google Scholar] [CrossRef]
- Maruyama, T.; Saitoh, T.; Okouchi, A. Differences in Mechanisms for Fretting Wear Reduction between Oil and Grease Lubrication. Tribol. Trans. 2017, 60, 497–505. [Google Scholar] [CrossRef]
- Sedlaček, M.; Podgornik, B.; Vižintin, J. Influence of surface preparation on roughness parameters, friction and wear. Wear 2009, 266, 482–487. [Google Scholar] [CrossRef]
- Baydoun, S.; Fartas, M.; Fouvry, S. Comparison between physical and machine learning modeling to predict fretting wear volume. Tribol. Int. 2023, 177, 107936. [Google Scholar] [CrossRef]
- Alajmi, M.S.; Almeshal, A.M. Predicting the Tool Wear of a Drilling Process Using Novel Machine Learning XGBoost-SDA. Materials 2020, 13, 4952. [Google Scholar] [CrossRef]
- Shen, Y.; Yang, F.; Habibullah, M.S.; Ahmed, J.; Das, A.K.; Zhou, Y.; Ho, C.L. Predicting tool wear size acro-ss multi-cutting conditions using advanced machine learning techniques. J. Intell. Manuf. 2021, 32, 1753–1766. [Google Scholar] [CrossRef]
- Altay, O.; Gurgenc, T.; Ulas, M.; Özel, C. Prediction of wear loss quantities of ferro-alloy coating using different machine learning algorithms. Friction 2020, 8, 107–114. [Google Scholar] [CrossRef]
- Aydin, F.; Durgut, R.; Mustu, M.; Demir, B. Prediction of wear performance of ZK60 / CeO2 composites usin-g machine learning models. Tribol. Int. 2023, 177, 107945. [Google Scholar] [CrossRef]
- Li, W.; Yang, Z.; Zha, F. Preparation of Well-Dispersed Lubricant Additives with Excellent Antiwear Ability Under High Load. Tribol. Lett. 2020, 68, 94. [Google Scholar] [CrossRef]
- Hamrock, B.J.; Dowson, D. Isothermal Elastohydrodynamic Lubrication of Point Contacts: Part III—Fully Flood-ed Results. J. Lubr. Technol. 1976, 99, 264. [Google Scholar] [CrossRef]
- Statistics, L.B.; Breiman, L. Random Forests. Mach. Learn. 2001, 45, 5–32. [Google Scholar]
- Hasan, M.S.; Kordijazi, A.; Rohatgi, P.K.; Nosonovsky, M. Triboinformatic modeling of dry friction and wear of aluminum base alloys using machine learning algorithms. Tribol. Int. 2021, 161, 107065. [Google Scholar] [CrossRef]
- Li, J.; An, X.; Li, Q.; Li, Q.; Wang, C.; Yu, H.; Zhou, X.; Geng, Y. Application of XGBoost algorithm in th-e optimization of pollutant concentration. Atmos. Res. 2022, 276, 106238. [Google Scholar] [CrossRef]
- Cortes, C.; Vapnik, V. Support-vector networks. Mach. Learn. 1995, 20, 273–297. [Google Scholar] [CrossRef]
- Brereton, R.G.; Lloyd, G.R. Support Vector Machines for classification and regression. Analyst 2010, 135, 230–267. [Google Scholar] [CrossRef]
- Mustafa, U.; Osman, A.; Turan, G.; Cihan, O. Surface roughness prediction of machined aluminum alloy with w-ire electrical discharge machining by different machine learning algorithms. J. Mater. Res. Technol. 2020, 9, 12512–12524. [Google Scholar]
- Kong, D.; Chen, Y.; Li, N. Gaussian process regression for tool wear prediction. Mech. Syst. Signal Proc. 2018, 104, 556–574. [Google Scholar] [CrossRef]
- Matrenin, P.; Safaraliev, M.; Dmitriev, S.; Kokin, S.; Eshchanov, B.; Rusina, A. Adaptive ensemble models for medium-term forecasting of water inflow when planning electricity generation under climate change. Energy Rep. 2022, 8, 439–447. [Google Scholar] [CrossRef]
- Zhao, L.; Biao, W. Prediction of ideal strength by machine learning. Mater. Chem. Phys. 2023, 299, 127476. [Google Scholar]








| Ball | Disc | |
|---|---|---|
| Elastic modulus—E (GPa) | 210 | 208 |
| Poison coefficient—v (/) | 0.29 | 0.283 |
| Radius—(mm) | 6.35 | 80 |
| Hardness—HRC | 63 | 60 |
| Lubricant | Viscosity at 40 °C (mm2/s) | Viscosity at 100 °C (mm2/s) | Viscosity Index | Specific Gravity (g/cm3) |
|---|---|---|---|---|
| PAO8 | 50.72 | 8.34 | 138 | 0.8326 |
| Descriptions | Value |
|---|---|
| Normal Load (N) | 20, 30, 50 |
| Sliding speed (mm/s) | 200, 500, 800 |
| Sliding distance (m) | 250, 500, 750 |
| Motion | Rotating |
| Temperature (°C) | 20, 60, 100 |
| ML Model | MAE | RMSE | MSE | R2 |
|---|---|---|---|---|
| KNN | 4.54 | 5.69 | 38.41 | 0.68 |
| RF | 3.25 | 4.14 | 18.3 | 0.84 |
| SVM | 7.29 | 8.81 | 87.2 | 0.29 |
| XGBoost | 2.95 | 3.62 | 14.48 | 0.88 |
Disclaimer/Publisher’s Note: The statements, opinions and data contained in all publications are solely those of the individual author(s) and contributor(s) and not of MDPI and/or the editor(s). MDPI and/or the editor(s) disclaim responsibility for any injury to people or property resulting from any ideas, methods, instructions or products referred to in the content. |
© 2024 by the authors. Licensee MDPI, Basel, Switzerland. This article is an open access article distributed under the terms and conditions of the Creative Commons Attribution (CC BY) license (https://creativecommons.org/licenses/by/4.0/).
Share and Cite
Zhu, C.; Jin, L.; Li, W.; Han, S.; Yan, J. The Prediction of Wear Depth Based on Machine Learning Algorithms. Lubricants 2024, 12, 34. https://doi.org/10.3390/lubricants12020034
Zhu C, Jin L, Li W, Han S, Yan J. The Prediction of Wear Depth Based on Machine Learning Algorithms. Lubricants. 2024; 12(2):34. https://doi.org/10.3390/lubricants12020034
Chicago/Turabian StyleZhu, Chenrui, Lei Jin, Weidong Li, Sheng Han, and Jincan Yan. 2024. "The Prediction of Wear Depth Based on Machine Learning Algorithms" Lubricants 12, no. 2: 34. https://doi.org/10.3390/lubricants12020034
APA StyleZhu, C., Jin, L., Li, W., Han, S., & Yan, J. (2024). The Prediction of Wear Depth Based on Machine Learning Algorithms. Lubricants, 12(2), 34. https://doi.org/10.3390/lubricants12020034
