Numerical Study on Thin Film Lubrication Performance with Imperfect Coating under the Effect of the Electrical Double Layer in Point Contact
Abstract
1. Introduction
2. Theoretical Method
2.1. Lubrication Model
2.2. Surface Deformation and Subsurface Stresses
2.3. Gaussian Surface Roughness
3. Methods and Verification
3.1. Numerical Method
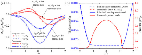
3.2. Model Validation
4. Results and Discussion
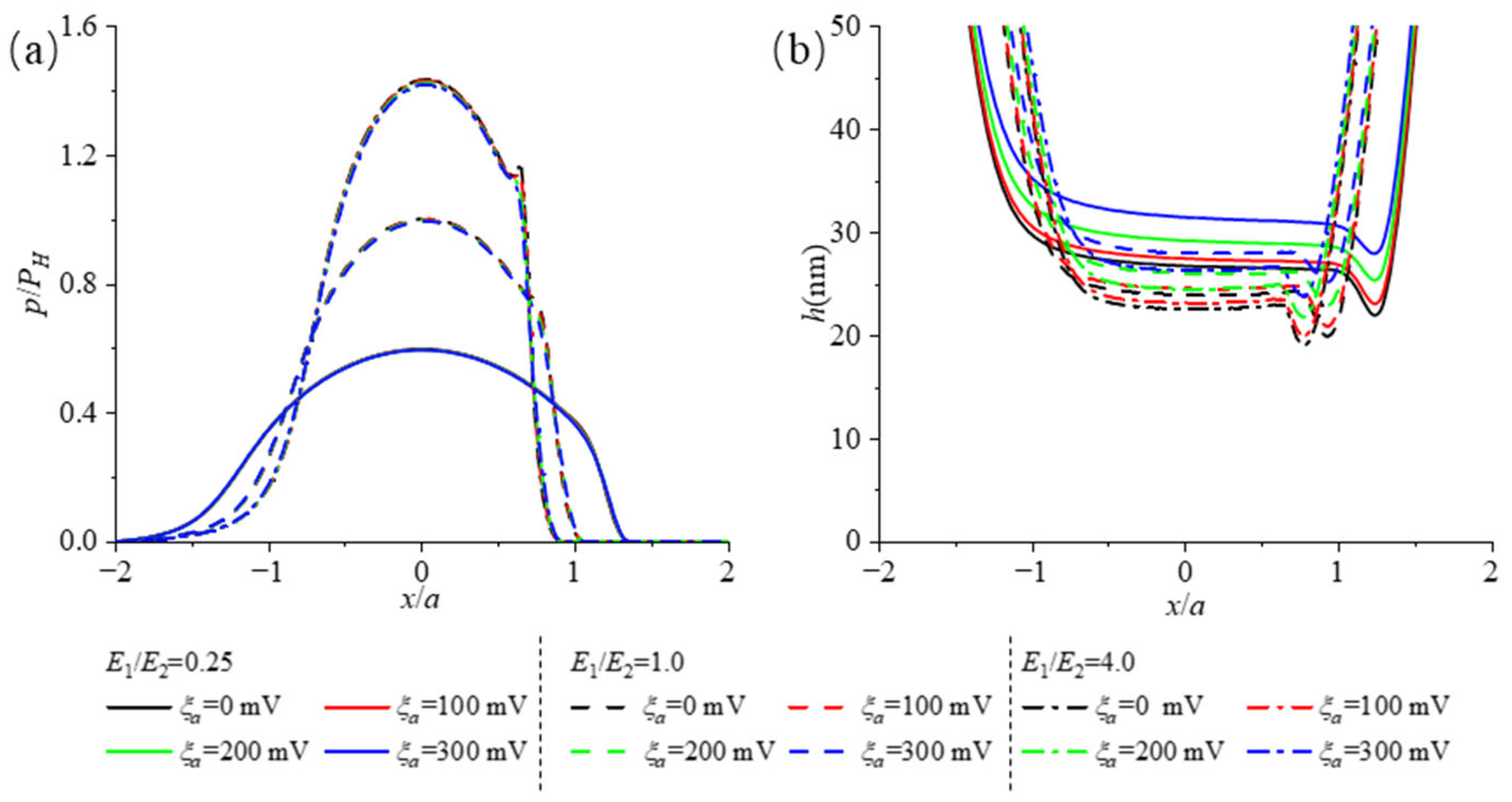
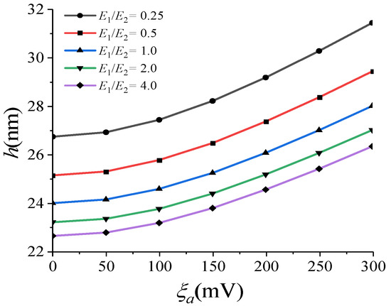
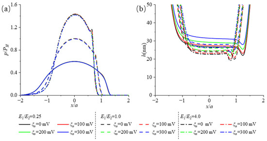
4.1. Effect of Zeta Potential
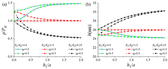
4.2. Effect of Imperfectly Bonded Interface
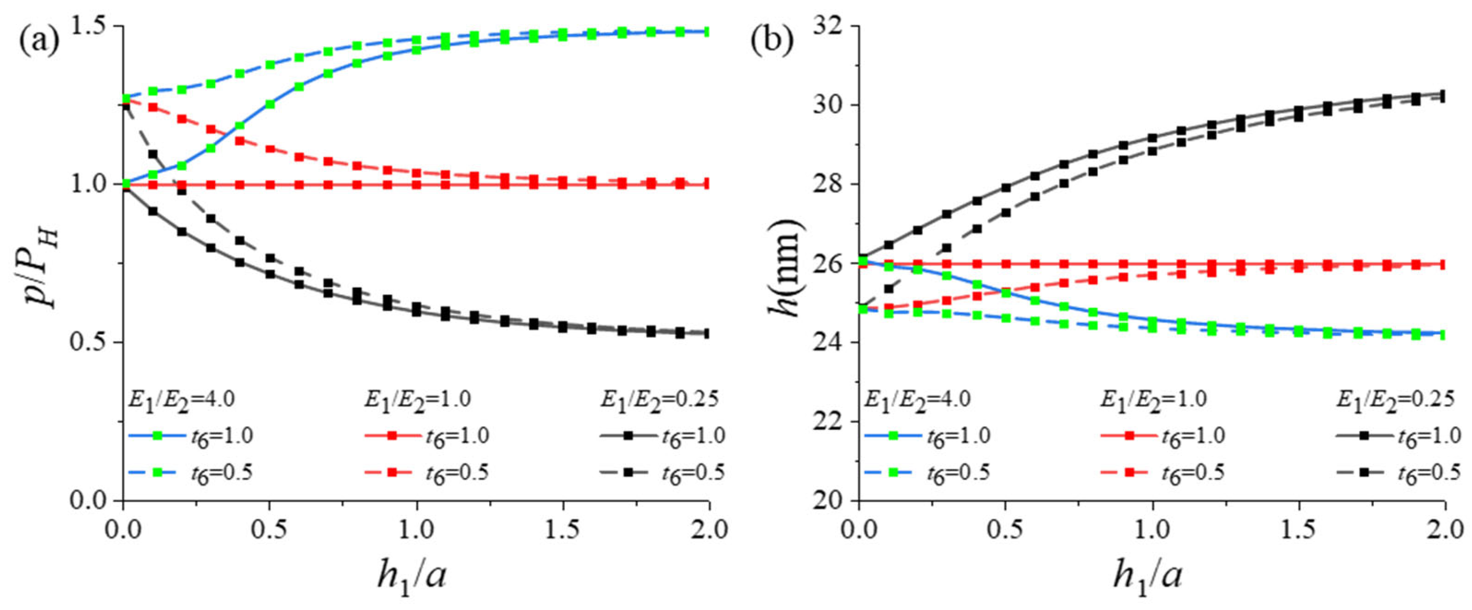
4.2.1. Effect of Coating Thickness and Interface Continuity on Pressure
4.2.2. Effect of Coupling Interface Continuity and Coating Thickness on Subsurface Stress
4.3. Effect of Surface Roughness
5. Conclusions
- (1)
- The increase in zeta potential significantly affects the film thickness of the thin film lubrication. This phenomenon forms substantially thicker films and reduces the liquid shear stress.
- (2)
- A decrease in the jumping coefficient t6 promotes an increase in the lubrication pressure. With an increase in the coating thickness, the influence of the interface discontinuities on the liquid film pressure decreases gradually. When the coating thickness exceeds 2.0a, the pressure is primarily affected by the coating material properties.
- (3)
- The von Mises stress of the rigid coating is more concentrated on the coating–substrate interface than that of the flexible coating, which can easily lead to coating failure. When the coating is near the stress concentration area, the stresses under different coatings are affected by the interface continuity and exhibit considerable differences. As the coating thickness increases, the stress is mainly affected by the elastic modulus of the coating.
- (4)
- With the increase in the surface roughness, it can lead to an increase in the pressure peak in a small thickness range, and stress concentration distributes in the shallow coating layer.
Author Contributions
Funding
Data Availability Statement
Conflicts of Interest
Nomenclature
| a | Hertz contact radius |
| unknown coefficients of the Papkovich–Neuber potentials in the frequency domain (k = 1 denotes the coating, whereas k = 2 denotes the substrate) | |
| influence coefficient (IC) relating shear stress to subsurface stress | |
| influence coefficient (IC) relating pressure to subsurface stress | |
| influence coefficient (IC) relating pressure to displacement, mm/MPa | |
| Eb | elastic modulus of the ball, MPa |
| Ek | Young’s modulus, MPa |
| Gk | shear modulus, MPa |
| h | film thickness, m |
| h1 | thickness of coating, mm |
| M, N | number of nodes in the x- and y-directions |
| m, n | Fourier-transformed frequency variables with respect to x and y |
| PH | maximum Hertzian contact pressure, Pa |
| p | pressure, Pa |
| P | dimensionless pressure |
| dimensionless pressure obtained from the previous calculation | |
| qx | shear stress, Pa |
| Rms | root mean square of surface roughness, m |
| Rx | contact radius of curvature in the x-direction for point contact, respectively, mm |
| U | average velocity, m/s |
| w | load, N |
| wnew | calculated load, N |
| x, y, z | coordinates |
| grid size in the x-, y-, and z-directions, mm | |
| Poisson’s ratio of the ball | |
| , | Poisson’s ratio of coating and substrate |
| ambient density, kg/m3 | |
| liquid density, kg/m3 | |
| dimensionless density | |
| electrical viscosity, Pa∙s | |
| apparent viscosity, Pa∙s | |
| ambient viscosity, Pa∙s | |
| viscosity, Pa∙s | |
| dimensionless viscosity | |
| absolute dielectric constant of fluid, F/m | |
| zeta potential of EDL, V | |
| zeta potentials of the lower and upper surfaces of the EDL, respectively, V | |
| Debye reciprocal length parameter, 1/m | |
| bulk electrical conductivity, S/m | |
| , | Papkovich–Neuber potentials |
| distance of node (m, n) from the origin in the frequency domain | |
| displacement, mm | |
| stress, Pa | |
| von Mises stress, Pa | |
| decay length in the x- and y-directions | |
| correlation length | |
| Special mark | |
| IFFT | inverse fast Fourier transform |
| discrete Fourier transform | |
| double continuous Fourier transform about x and y | |
| Superscripts or subscripts | |
| k = 1, 2 | coating or substrate |
References
- Zuo, Q.; Huang, P.; Su, F. Theory analysis of asymmetrical electric double layer effects on thin film lubrication. Tribol. Int. 2012, 49, 67–74. [Google Scholar] [CrossRef]
- Funari, R.; Matsumoto, A.; de Bruyn, J.R.; Shen, A.Q. Rheology of the electric double layer in electrolyte solutions. Anal. Chem. 2020, 92, 8244–8253. [Google Scholar] [CrossRef] [PubMed]
- Luan, Z.; Liu, W.; Xia, Y.; Zhang, R.; Feng, B.; Hu, X.; Huang, S.; Xu, X. Effects of an electrical double layer and tribo-induced electric field on the penetration and lubrication of water-based lubricants. Lubricants 2022, 10, 111. [Google Scholar] [CrossRef]
- Xu, J.; Kato, K. Formation of tribochemical layer of ceramics sliding in water and its role for low friction. Wear 2000, 245, 61–75. [Google Scholar] [CrossRef]
- Spikes, H.A. Triboelectrochemistry: Influence of applied electrical potentials on friction and wear of lubricated contacts. Tribol. Lett. 2020, 68, 90. [Google Scholar] [CrossRef]
- Luo, J.; Liu, M.; Ma, L. Origin of Friction and the new frictionless technology-superlubricity: Advancements and future outlook. Nano Energy 2021, 86, 106092. [Google Scholar] [CrossRef]
- Wong, P.L.; Huang, P.; Meng, Y. The effect of the electric double layer on a very thin water lubricating film. Tribol. Lett. 2003, 14, 197–203. [Google Scholar] [CrossRef]
- Bai, S.; Huang, P.; Meng, Y.; Wen, S. Modeling and analysis of interfacial electro-kinetic effects on thin film lubrication. Tribol. Int. 2006, 39, 1405–1412. [Google Scholar] [CrossRef]
- Zuo, Q.; Lai, T.; Huang, P. The effect of the electric double layer on very thin thermal elastohydrodynamic lubricating film. Tribol. Lett. 2012, 45, 455–463. [Google Scholar] [CrossRef]
- Wang, X.L.; Kato, K.; Adachi, K. The lubrication effect of micro-pits on parallel sliding faces of SiC in water. Tribol. Trans. 2002, 45, 294–301. [Google Scholar] [CrossRef]
- Zheng, Q.; Chhattal, M.; Bai, C.; Zheng, Z.; Qiao, D.; Gong, Z.; Zhang, J. Superlubricity of PTFE triggered by green ionic liquids. Appl. Surf. Sci. 2023, 614, 156241. [Google Scholar] [CrossRef]
- Chen, Q.-D.; Shyu, S.-H.; Li, W.-L. An overlapped electrical double layer model for aqueous electrolyte lubrication with asymmetric surface electric potentials. Tribol. Int. 2020, 147, 106283. [Google Scholar] [CrossRef]
- Jing, D.; Pan, Y.; Wang, X. The effect of the electrical double layer on hydrodynamic lubrication: A non-monotonic trend with increasing zeta potential. Beilstein J. Nanotechnol. 2017, 8, 1515–1522. [Google Scholar] [CrossRef]
- Fang, Y.; Ma, L.; Luo, J. Modelling for water-based liquid lubrication with ultra-low friction coefficient in rough surface point contact. Tribol. Int. 2020, 141, 105901. [Google Scholar] [CrossRef]
- Deng, W.; Li, S.; Liu, X.; Zhao, X.; An, Y.; Zhou, H.; Chen, J. A novel approach to fabricate hybrid materials with excellent tribological properties from spray-formed ceramic. Mater. Lett. 2017, 193, 199–202. [Google Scholar] [CrossRef]
- Ghazali, M.J.; Shamsul Baharin, A.F.S.; Wahab, J.A.; Muchtar, A. Erosive wear resistance of dimpled ceramic coatings on mild steels. Ind. Lubr. Tribol. 2017, 69, 404–408. [Google Scholar] [CrossRef]
- Fan, H.; Su, Y.; Song, J.; Wan, H.; Hu, L.; Zhang, Y. Surface 3-D lubrication structure design of Al2O3/Ni-laminated ceramics to improve tribological properties under combined environments. Appl. Surf. Sci. 2019, 480, 572–581. [Google Scholar] [CrossRef]
- Deng, W.; An, Y.; Zhao, X.; Zhang, C.; Tang, L.; Liu, J. Cavitation erosion behavior of ceramic/organic coatings exposed to artificial seawater. Surf. Coat. Technol. 2020, 399, 126133. [Google Scholar] [CrossRef]
- Wang, Z.; Wang, W.; Wang, H.; Hu, Y. Stress analysis on layered materials in point elastohydrodynamic-lubricated contacts. Tribol. Lett. 2009, 35, 229–244. [Google Scholar] [CrossRef]
- Habchi, W. A numerical model for the solution of thermal elastohydrodynamic lubrication in coated circular contacts. Tribol. Int. 2014, 73, 57–68. [Google Scholar] [CrossRef]
- Alakhramsing, S.S.; de Rooij, M.B.; Schipper, D.J.; van Drogen, M. Elastohydrodynamic lubrication of coated finite line contacts. Proc. Inst. Mech. Eng. J. 2018, 232, 1077–1092. [Google Scholar] [CrossRef]
- Wu, J.; Wang, L.; He, T.; Wang, T.; Shu, K.; Gu, L.; Zhang, C. Mixed lubrication of coated angular contact ball bearing considering dynamic characteristics. Lubr. Sci. 2021, 33, 201–213. [Google Scholar] [CrossRef]
- Lee, Y.-S.; Yamagishi, S.; Tsuro, M.; Ji, C.; Cho, S.; Kim, Y.; Choi, M. Wear behaviors of stainless steel and lubrication effect on transitions in lubrication regimes in sliding contact. Metals 2021, 11, 1854. [Google Scholar] [CrossRef]
- Wang, Z.; Yu, H.; Wang, Q. Layer-substrate system with an imperfectly bonded interface: Spring-like condition. Int. J. Mech. Sci. 2017, 134, 315–335. [Google Scholar] [CrossRef]
- Yu, H.; Wang, Z.; Wang, Q. Analytical solutions for the elastic fields caused by eigenstrains in two frictionlessly joined half-spaces. Int. J. Solids Struct. 2016, 100, 74–94. [Google Scholar] [CrossRef]
- Li, D.; Wang, Z.; Yu, H.; Wang, Q. Elastic fields caused by eigenstrains in two joined half-spaces with an interface of coupled imperfections: Dislocation-like and force-like conditions. Int. J. Eng. Sci. 2018, 126, 22–52. [Google Scholar] [CrossRef]
- Wang, Z.; Yu, H.; Wang, Q. Layer-substrate system with an imperfectly bonded interface: Coupled dislocation-like and force-like conditions. Int. J. Solids Struct. 2017, 122, 91–109. [Google Scholar] [CrossRef]
- He, T.; Wang, Z.; Wu, J. Effect of imperfect coating on the elastohydrodynamic lubrication: Dislocation-like and force-like coating-substrate interfaces. Tribol. Int. 2020, 143, 106098. [Google Scholar] [CrossRef]
- Dowson, D.; Higginson, G.R. Elasto-hydrodynamic Lubrication: The Fundamentals of Roller and Gear Lubrication; Pergamon Press: Oxford, UK, 1966. [Google Scholar] [CrossRef]
- Lu, R.; Zhang, H.; Mitsuya, Y.; Fukuzawa, K.; Itoh, S. Influence of surface roughness and coating on the friction properties of nanometer-thick liquid lubricant films. Wear 2014, 319, 56–61. [Google Scholar] [CrossRef]
- Guegan, J.; Kadiric, A.; Spikes, H. A study of the lubrication of EHL point contact in the presence of longitudinal roughness. Tribol. Lett. 2015, 59, 22. [Google Scholar] [CrossRef]
- Liu, H.; Liu, H.; Zhu, C.; Wei, P.; Tang, J. Tribological behavior of coated spur gear pairs with tooth surface roughness. Friction 2019, 7, 117–128. [Google Scholar] [CrossRef]
- Prajapati, D.K.; Tiwari, M. Effect of topography parameter, load, and surface roughness onfriction coefficient in mixed lubrication regime. Lubr. Sci. 2019, 31, 218–228. [Google Scholar] [CrossRef]
- He, Y.F.; Tang, J.Y.; Zhou, W.; Liao, D.R. Research on the obtainment of topography parameters by rough surface simulation with fast fourier transform. J. Tribol. Trans. ASME 2015, 137, 031401. [Google Scholar] [CrossRef]
- Prajapati, D.K.; Tiwari, M. Topography analysis of random aanisotropic gaussian rough surfaces. J. Tribol.-Trans. ASME 2017, 139, 041402. [Google Scholar] [CrossRef]
- Bair, S.; Liu, Y.; Wang, Q.J. The pressure-viscosity coefficient for Newtonian EHL film thickness with general piezoviscous response. J. Tribol. Trans. ASME. 2006, 128, 624–631. [Google Scholar] [CrossRef]
- Yu, C.; Wang, Z.; Liu, G.; Keer, L.M.; Wang, Q.J. Maximum von Mises stress and its location in trilayer materials in contact. J. Tribol. Trans. ASME 2016, 138, 041402. [Google Scholar] [CrossRef]


















| Parameter | Value | Parameter | Value |
|---|---|---|---|
| Radius of sphere (Rb) | 6.35 mm | Maximum pressure of Hertz contact (PH) | 450.41 MPa |
| Poisson’s ratio of sphere | 0.26 | Radius of Hertz contact (a) | 0.0326 mm |
| Elastic modulus of sphere (Eb) | 320 GPa | Viscosity | 0.002 Pa∙s |
| Poisson’s ratio of the substrate and coating | 0.3 | Pressure–viscosity coefficient | |
| Elastic modulus of the substrate (E2) | 210 GPa |
Disclaimer/Publisher’s Note: The statements, opinions and data contained in all publications are solely those of the individual author(s) and contributor(s) and not of MDPI and/or the editor(s). MDPI and/or the editor(s) disclaim responsibility for any injury to people or property resulting from any ideas, methods, instructions or products referred to in the content. |
© 2023 by the authors. Licensee MDPI, Basel, Switzerland. This article is an open access article distributed under the terms and conditions of the Creative Commons Attribution (CC BY) license (https://creativecommons.org/licenses/by/4.0/).
Share and Cite
Fang, Y.; Xuan, H.; Ren, H.; Fu, S.; Lin, T. Numerical Study on Thin Film Lubrication Performance with Imperfect Coating under the Effect of the Electrical Double Layer in Point Contact. Lubricants 2023, 11, 274. https://doi.org/10.3390/lubricants11070274
Fang Y, Xuan H, Ren H, Fu S, Lin T. Numerical Study on Thin Film Lubrication Performance with Imperfect Coating under the Effect of the Electrical Double Layer in Point Contact. Lubricants. 2023; 11(7):274. https://doi.org/10.3390/lubricants11070274
Chicago/Turabian StyleFang, Yanfei, Hui Xuan, Haoling Ren, Shengjie Fu, and Tianliang Lin. 2023. "Numerical Study on Thin Film Lubrication Performance with Imperfect Coating under the Effect of the Electrical Double Layer in Point Contact" Lubricants 11, no. 7: 274. https://doi.org/10.3390/lubricants11070274
APA StyleFang, Y., Xuan, H., Ren, H., Fu, S., & Lin, T. (2023). Numerical Study on Thin Film Lubrication Performance with Imperfect Coating under the Effect of the Electrical Double Layer in Point Contact. Lubricants, 11(7), 274. https://doi.org/10.3390/lubricants11070274
