Survey of CO2 Radiation Experimental Data in Relation with Planetary Entry
Abstract
1. Nomenclature
| ADST | Arc-Driven Shock Tube |
| CEV | Crew Exploration Vehicle |
| CNRS | Centre National de la Recherche Scientifique |
| CORIA | COmplexe de Recherche Interprofessionnel en Aérothermochimie |
| DLAS | Diode Laser Absorption Spectroscopy |
| EAST | Electric Arc Shock Tube |
| ERWG | European Radiation Working Group |
| HVST | High Velocity Shock Tube |
| ICARE | Institut de Combustion, Aérothermique, Réactivité et Environnement |
| ICP | Inductively Coupled Plasma |
| IR | InfraRed |
| IRS | Institute für RaumfahrtSysteme |
| ISTC | International Science and Technology Center |
| JAXA | Japan Aerospace eXploration Agency |
| KAIST | Korean Advanced Institute of Science and Technology |
| LAEPT | Laboratoire Arc Electrique et Plasmas Thermiques |
| LENS | Large Energy National Shock-tunnel |
| LIF | Laser Induced Fluorescence |
| MIPT | Moscow Institute of Physics and Technology |
| MSL | Mars Surface Laboratory |
| MSU | Moscow State university |
| NASA | National Aeronautics and Space Administration |
| NIR | Near InfraRed |
| PWK | PlasmaWindKanale |
| TALIF | Two-photon Absorption Laser Induced Fluorescence |
| TPS | Thermal Protection System |
| TRP | Technology and Research Programme |
| TSAGI | Russian acronym for Central Institute for Aero-hydrodynamics |
| VIS | VISible |
| VUV | Vacuum UltraViolet |
2. Introduction
3. Propulsion Analysis
3.1. Introduction
3.2. Experiments
4. Venus
4.1. Test Conditions
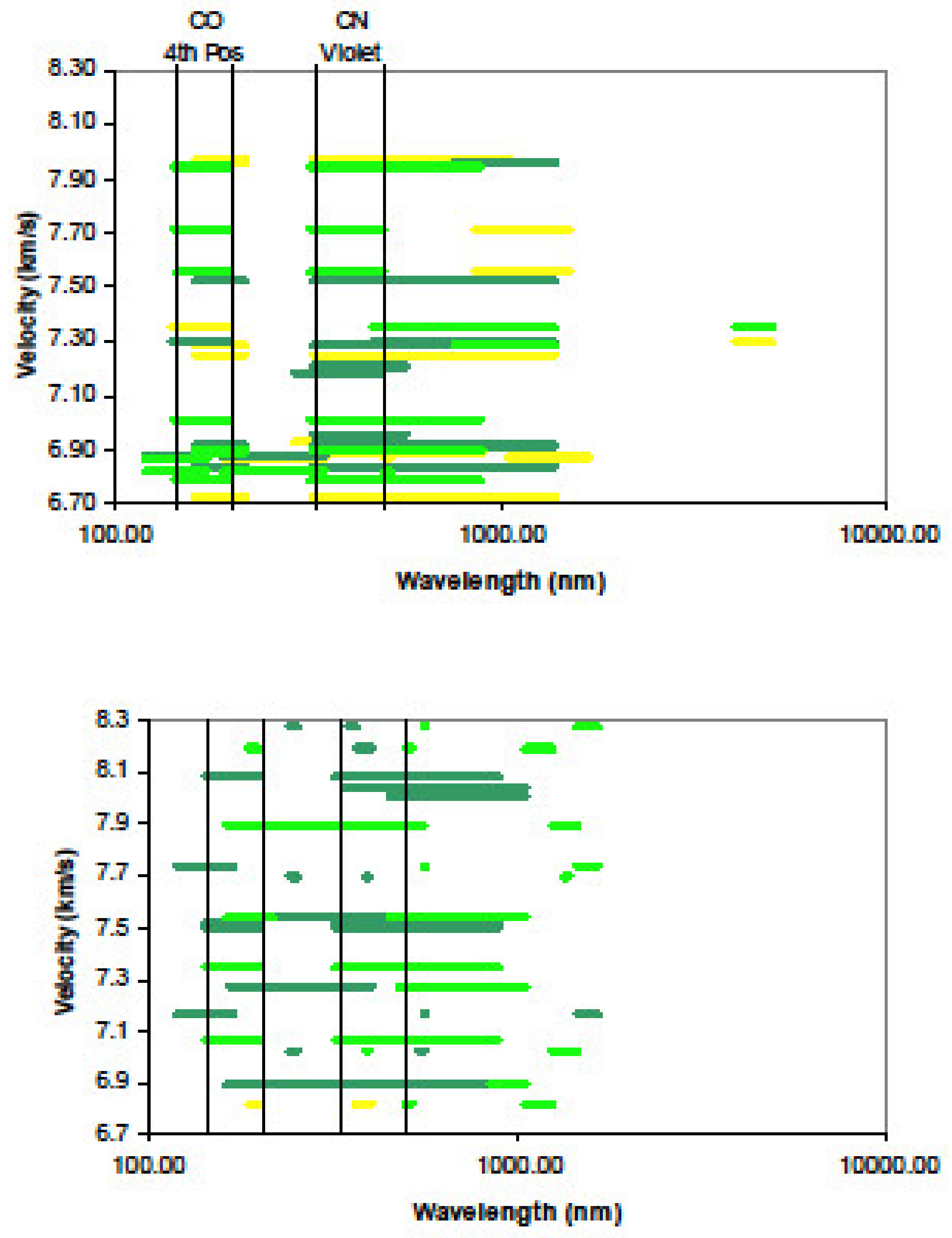
4.2. Available Datasets
5. Mars Entry
5.1. EAST
5.2. JAXA
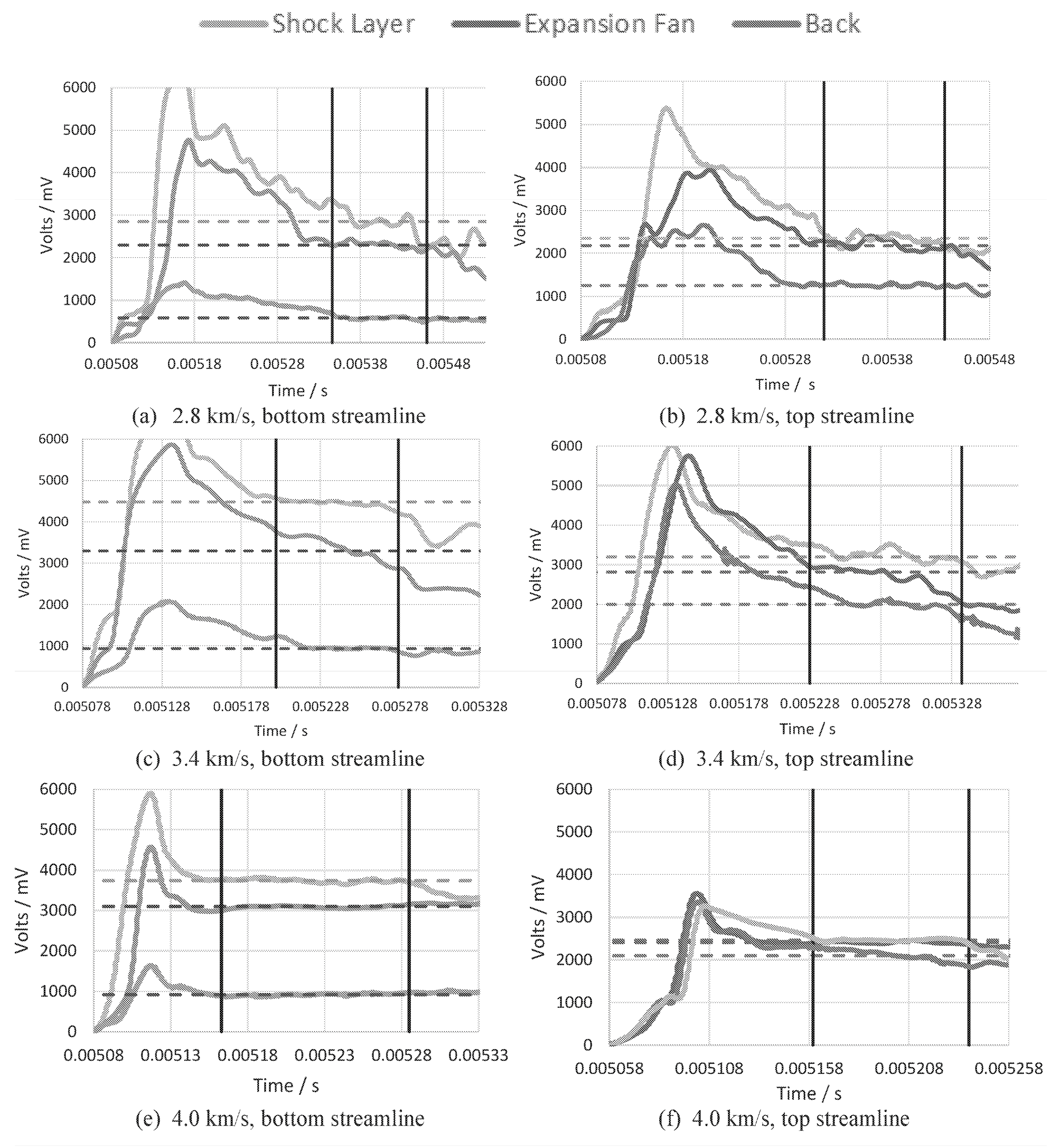
5.3. X2
5.4. Data from Other Facilities
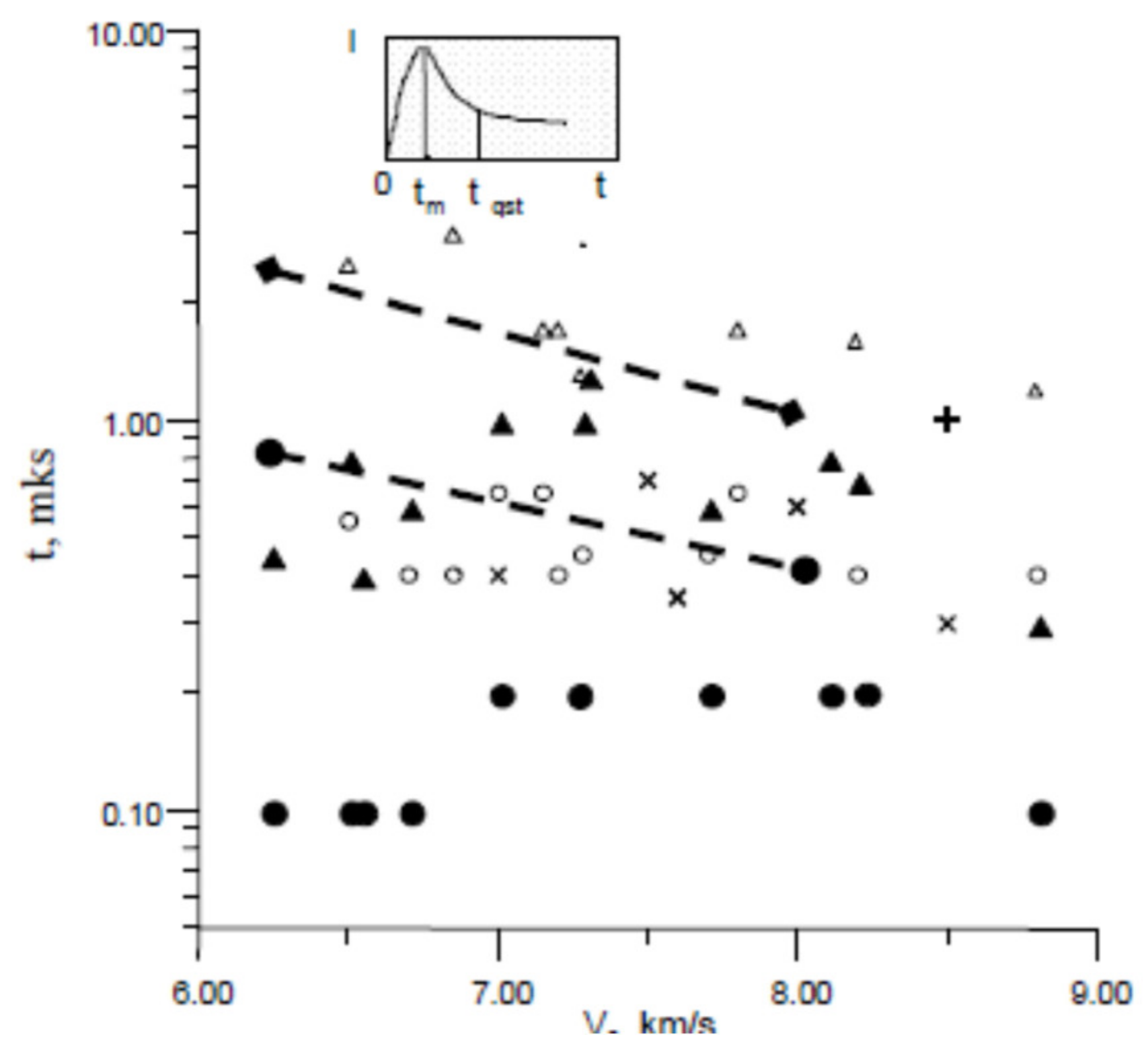
5.4.1. ADST
- Pressure of 0.2 Torr;
- Mixture of 70 % [CO2] and 30 % [N2];
- Velocity from 6 up to 9 km/s.
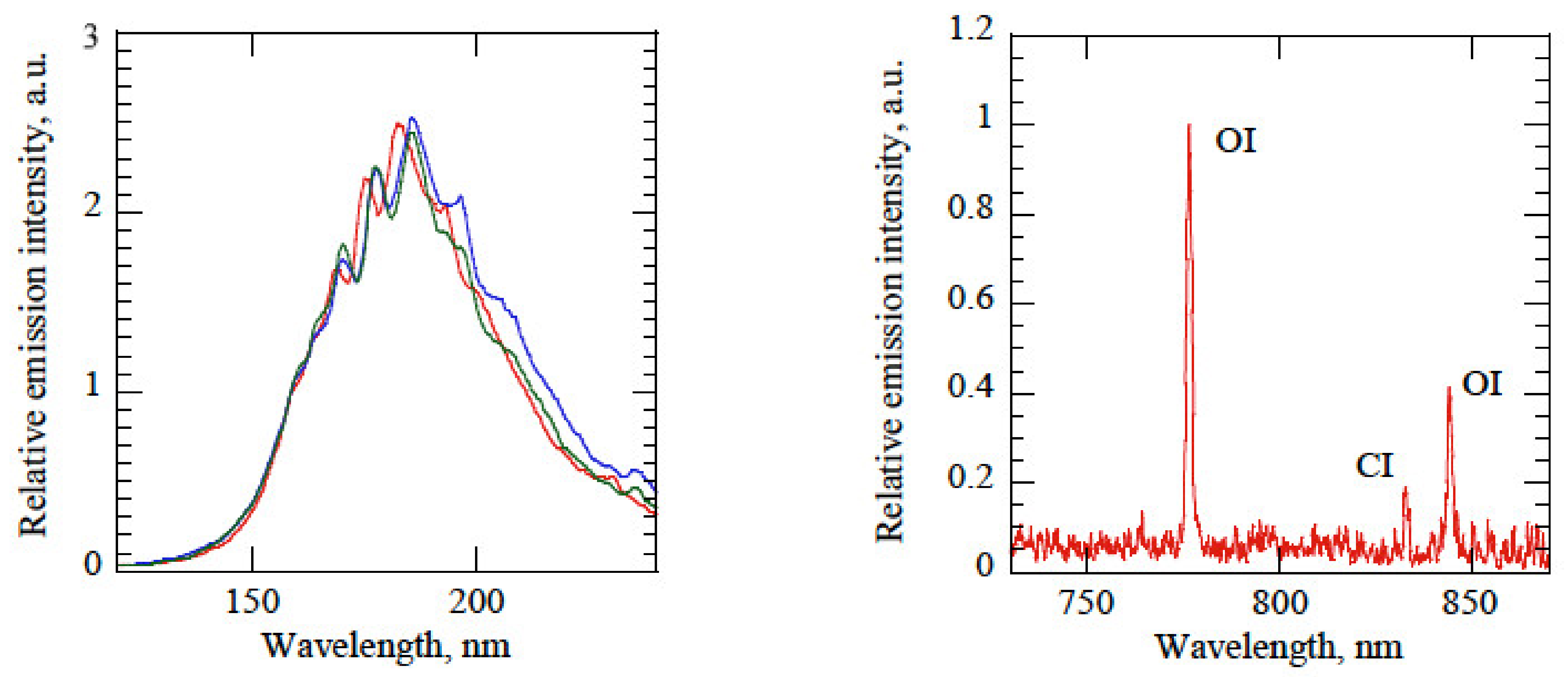
5.4.2. CORIA ICP Torch
5.4.3. ICARE PHEDRA Facility
5.4.4. KAIST
5.4.5. LAEPT ICP Torch
5.4.6. LENS
5.4.7. Moscow State University
5.4.8. TCM2
5.4.9. MIPT VUT-1
- 90% Ar, 9.7% CO2, 0.3% N2;
- 50% Ar, 48.5% CO2, 1.5% N2;
- 50% Ar, 49% CO, 1% N2;
- 97% CO2, 3% N2;
- 98% CO, 2% N2;
- 70% CO, 30% N2.
| Case | Velocity (km/s) | Pressure (Torr) | Mixture |
|---|---|---|---|
| 1 | 6.27 | 1.59 | 30% [N2], 70% [CO2] |
| 2 | 6 | 1.42 | 48.5% [CO2], 1.5% [N2], 50% [Ar] |
| 3 | 7.49 | 0.1 | 0.3% [N2], 9.7% [CO2] 90% [Ar] |
| 4 | 7.06 | 0.6 | 3% [N2], 97% [CO2] |
| 5 | 6.5 | 1.32 | 30% [N2], 70% [CO] |
5.4.10. IRS PWK3
6. Synthesis
7. Potential Plans for ESTHER Test Campaigns
- Conditions already run in the frame of ESA activities in VUT-1 and TCM2;
- Test conditions already cross-checked in X2, EAST, and HVST;
- Test conditions for which VUV and NIR radiative spectra are available;
- Run Test Case 2 conditions.
8. Conclusions
Funding
Institutional Review Board Statement
Informed Consent Statement
Data Availability Statement
Acknowledgments
Conflicts of Interest
References
- Martinez, R. Shock Layer Radiation Measurements for Mars and Venus Entry Conditions in an Electric Arc Shock Tube. Master’s Thesis, San José State University, San Jose, CA, USA, December 2010. Available online: https://scholarworks.sjsu.edu/etd_theses/3875 (accessed on 20 November 2020). [CrossRef]
- Saito, T. Calibration and characterization of UV/VUV detectors. In Proceedings of the STCE (Solar-Terrestrial Centre of Excellence) Seminar, Bruxelles, Belgium, 24 September 2009. [Google Scholar]
- Reynier, P. Survey of aerodynamics and aerothermodynamics efforts carried out in the frame of Mars exploration projects. Prog. Aerosp. Sci. 2014, 70, 1–27. [Google Scholar] [CrossRef]
- Reynier, P. Survey of high-enthalpy shock facilities in the perspective of radiation and chemical kinetics investigations. Prog. Aerosp. Sci. 2016, 85, 1–32. [Google Scholar] [CrossRef]
- Dikalyuk, A.S.; Surzhikov, S.T.; Kozlov, P.V.; Shatalov, O.P.; Romanenko, Y.V. Nonequilibrium spectral radiation behind the shock waves in Martian and Earth atmospheres. In Proceedings of the 44th AIAA Thermophysics Conference, San Diego, CA, USA, 24–27 June 2013. [Google Scholar]
- Beck, J. CFD Validation in a CO2 Environment; Synthesis Report CR12/08; Fluid Gravity Engineering Ltd.: Emsworth, UK, 2008. [Google Scholar]
- Reynier, P.; Beck, J.; Bouilly, J.-M.; Chikhaoui, A.; Dudeck, M.; Herdrich, G.; Kosarev, I.; Da Lino Silva, M.; Marraffa, L.; Menecier, S.; et al. Validation of aerothermal chemistry models for re-entry applications: Synthesis of experimental achievements. In Proceedings of the 8th European Symposium on Aerothermodynamics for Space Vehicles, Lisbon, Portugal, 2–6 March 2015. [Google Scholar]
- Löhle, S.; Lein, S.; Eichhorn, C.; Herdrich, G.; Winter, M. Spectroscopic Investigation of an Inductively Heated CO2 Plasma for Mars entry simulation. J. Tech. Phys. Q. 2009, 50, 233–246. [Google Scholar]
- Liebhart, H.; Bauder, U.; Herdrich, G.; Fasoulas, S.; Röser, H.-P. Numerical Modeling of Radiative and convective heat flux for entry flights in CO2 containing atmospheres, AIAA-2012-3195. In Proceedings of the 43rd AIAA Thermophysics Conference, New Orleans, LA, USA, 25–28 June 2012. [Google Scholar]
- Available online: http://esther.ist.utl.pt/pages/ESTHER_brochure.pdf (accessed on 16 January 2020).
- Sventitskiy, A.; Mundt, C. Simulation of the infrared emission from nonscattering aircraft engine exhaust plumes using statistical narrowband models in conjubction with model parameters based on the modern spectroscopic data, AIAA Paper 2012-3315. In Proceedings of the 43rd AIAA Thermophysics Conference, New Orleans, LA, USA, 25–28 June 2012. [Google Scholar]
- Mazouffre, S.; Pawelec, E. Metastable oxygen atom velocity and temperature in supersonic CO2 plasma expansions. J. Phys. D Appl. Phys. 2009, 42, 015203. [Google Scholar] [CrossRef][Green Version]
- Nie, W.; Feng, S.; Xie, Q.; Duan, L.; Zhuang, F. Numerical simulation of liquid rocket exhaust plume radiation, AIAA Paper 2007-4413. In Proceedings of the 39th AIAA Thermophysics Conference, Miami, FL, USA, 25–28 June 2007. [Google Scholar]
- Blunck, D.L.; Gore, J.P. Study of narrowband radiation intensity measurements from subsonic exhaust plumes. J. Propuls. Power 2011, 27, 227–235. [Google Scholar] [CrossRef]
- Higgins, C.; Watts, D.; Smithson, T.; Fournier, P.; Ringuette, S.; Coxhill, I. Characterizing the infrared signature of a liquid propellant engine plume, AIAA Paper 2016-4976. In Proceedings of the 52th AIAA Joint Propulsion Conference, Salt Lake City, UT, USA, 25–27 July 2016. [Google Scholar]
- Packan, D.M.; Gessman, R.J.; Pierrot, L.; Laux, C.O.; Kruger, C.H. Measurement and modeling of OH, NO, and CO2 infrared radiation in a low temperature air plama, AIAA Paper 99-3605. In Proceedings of the 30th Plasmadynamic and Lasers Conference, Norfolk, VA, USA, 28 June–1 July 1999. [Google Scholar]
- Cruden, B.A.; Prabhu, D.; Martinez, R. Absolute radiation measurement in Venus and Mars entry conditions. J. Spacecr. Rockets 2012, 49, 1069–1079. [Google Scholar] [CrossRef]
- Cruden, B.A.; Prabhu, D.; Martinez, R.; Le, H.; Bose, D.; Grinstead, J.H. Absolute radiation measurement in Venus and Mars entry conditions, AIAA Paper 2010-4508. In Proceedings of the 10th AIAA Joint Thermophysics and Heat Transfer Conference, Chicago, IL, USA, 28 June–1 July 2010. [Google Scholar]
- Whiting, E.; Park, C.; Liu, Y.; Arnold, J.; Paterson, J. NEQAIR96, Nonequilibrium and Equilibrium Radiative Transport and Spectra Program: User Manual; NASA RP-1389; NASA Ames Research Center: Moffett Field, CA, USA, 1996.
- Cruden, B. Absolute radiation measurements in Earth and Mars entry conditions, STO-AVT-218. In Proceedings of the Radiation and Gas-Surface Interaction Phenomena in High-Speed Re-Entry, University of Illinois, Urbana-Champaign, IL, USA, 7–9 April 2014. [Google Scholar]
- Boubert, P.; Bultel, A.; Annaloro, J.; Cruden, B.A.; McIntyre, T.; Fujita, K. Radiation of high temperature gases: TC2-M5 Definition of shock tunnel test cases for gas radiation prediction in Mars–like atmosphere. In Proceedings of the 6th International Workshop on Radiation and High Temperature Gases in Atmospheric Entry, Saint Andrews, UK, 24–28 November 2014. [Google Scholar]
- Potter, D. Numerical prediction of nonequilibrium radiative emission from shock heated CO2-N2, ESA SP-714. In Proceedings of the 5th International Workshop on Radiation and High Temperature Gases in Atmospheric Entry, Barcelona, Spain, 16–19 October 2012. [Google Scholar]
- Grinstead, J.H.; Wright, M.J.; Bogdanoff, D.W.; Allen, G.A. Shock radiation measurements for Mars aerocapture radiative heating analysis. J. Thermophys. Heat Transf. 2009, 23, 249–255. [Google Scholar] [CrossRef]
- Bose, D.; Grinstead, J.H.; Bogdanoff, D.W.; Wright, M.J. Shock layer radiation measurements and analysis for Mars entry. In Proceedings of the 3rd International Workshop on Radiation of High Temperature Gases in Atmospheric Entry (ESA SP-667, Jan. 2009), Heraklion, Greece, 20 September–3 October 2008. [Google Scholar]
- Cruden, B. Recent progress in entry radiation measurements in the NASA Ames Electric Arc Shock Tube facility, ESA SP-714. In Proceedings of the 5th International Workshop on Radiation of High Temperature Gases in Atmospheric Entry, Barcelona, Spain, 16–19 October 2012. [Google Scholar]
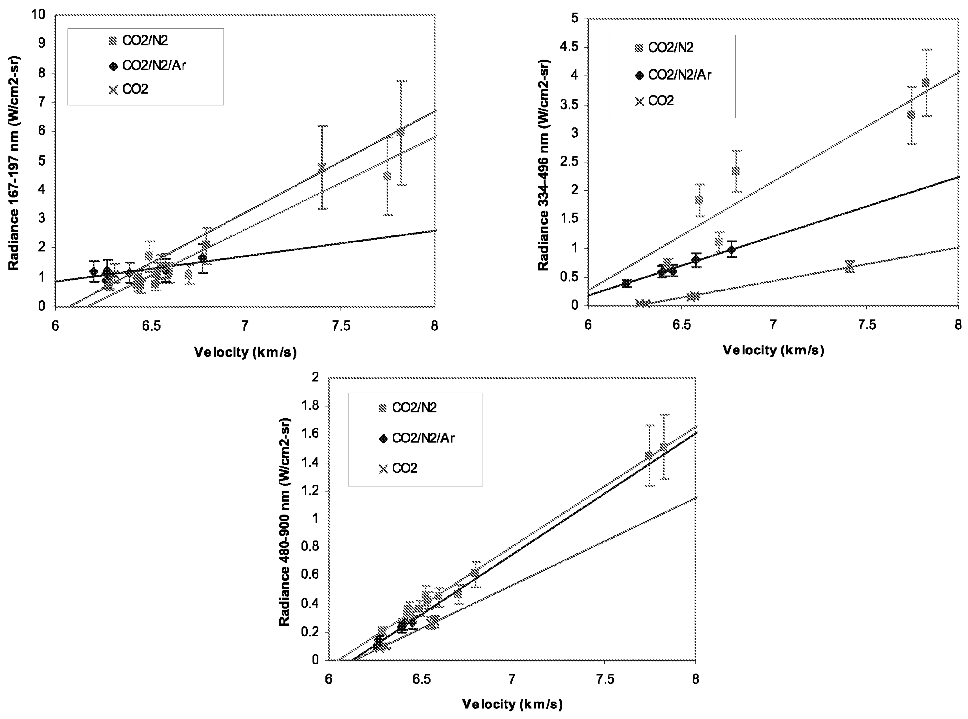
- Cruden, A.B.; Brandis, A.M.; Prabhu, D.K. Compositional dependence of radiance in CO2/N2/Ar systems, AIAA Paper 2013-2502. In Proceedings of the 44th AIAA Thermophysics Conference, San Diego, CA, USA, 24–27 June 2013. [Google Scholar]
- Johnston, C.O.; Hollis, B.R.; Sutton, K. Spectrum modeling for air shock-layer radiation at Lunar return conditions. J. Spacecr. Rockets 2008, 45, 865–878. [Google Scholar] [CrossRef]
- Johnston, C.; Brandis, A.; Panesi, M.; Sutton, K.; Prabhu, D. Shock layer radiation modeling and uncertainty for Mars entry, AIAA Paper 2012-2866. In Proceedings of the 43rd AIAA Thermophysics Conference, New Orleans, LA, USA, 25–28 June 2012. [Google Scholar]
- Cruden, B.A.; Prabhu, D.K.; Brandis, A.M. Measurements and characterization of mid-wave infrared radiation in CO2 shocks, AIAA Paper 2014-2962. In Proceedings of the 11th Joint Thermophysics and Heat Transfer Conference, Atlanta, GA, USA, 16–20 June 2014. [Google Scholar]
- Takayanagi, H.; Fujita, K. Radiation measurements from carbon dioxide from VUV to IR region, AIAA Paper 2011-3631. In Proceedings of the 42nd AIAA Thermophysics Conference, Honolulu, HI, USA, 27–30 June 2011. [Google Scholar]
- Takayanagi, H.; Fujita, K. Absolute radiation measurements behind strong shock wave in carbon dioxide flow for Mars aerocapture missions, AIAA Paper 2012-2744. In Proceedings of the 43rd AIAA Thermophysics Conference, New Orleans, LA, USA, 25–28 June 2012. [Google Scholar]
- Takayanagi, H.; Fujita, K. Infrared radiation measurements behind strong shock wave in Mars simulant gas for aerocapture missions, AIAA Paper 2013-2504. In Proceedings of the 44th AIAA Thermophysics Conference, San Diego, GA, USA, 24–27 June 2013. [Google Scholar]
- Takayanagi, H.; Nomura, S.; Lemal, A.; Fujita, K. Measurements of nonequilibrium carbon dioxide infrared radiation in an expansion tube, AIAA Paper 2017-1369. In Proceedings of the 55th AIAA Aerospace Sciences Meeting, Grapewine, TX, USA, 9–13 January 2017. [Google Scholar]
- Brandis, A.; McIntyre, T.; Morgan, R.; Jacobs, P. Overview of radiation measurements on the X2 facility at the University of Queensland, ESA SP-667. In Proceedings of the 3rd International Workshop on Radiation of High Temperature Gases in Atmospheric Entry, Heraklion, Greece, 30 September–3 October 2008. [Google Scholar]
- Palmer, G.; Prabhu, D.; Brandis, A.; McIntyre, T.J. Simulation of radiation measurements taken in the X2 facility for Mars and Titan gas mixtures, AIAA Paper 2011-3768. In Proceedings of the 42nd AIAA Thermophysics Conference, Honolulu, HI, USA, 27–30 June 2011. [Google Scholar]
- Gu, S.; Morgan, R.G.; McIntyre, T.J. Study of afterbody radiation during Mars entry in an expansion tube; AIAA Paper 2017-0212. In Proceedings of the AIAA SciTech Forum, Grapevine, TX, USA, 9–13 January 2017. [Google Scholar]
- McIntyre, T.J.; Eichmann, T.N.; Jacobs, C.; Potter, D.; McGilvray, M.; Jacobs, P.; Morgan, R. Shock tube and expansion tunnel measurements of high temperature radiating flows, ESA SP-689. In Proceedings of the 4th International Workshop on Radiation of High Temperature Gases in Atmospheric Entry, Lausanne, Switzerland, 12–15 October 2010. [Google Scholar]
- Chernyi, G.G.; Losev, S.A. Problems of Aerothermoballistics, Radiation Gasdynamics, Heat and Mass Transfer for Planet Sample Return Missions; Final Project Technical Report of ISTC N1549-00; Research Institute of Mechanics: Moscow, Russia, 2003. [Google Scholar]
- Thomas, G.M.; Ménard, W.A. Experimental Measurements of Nonequilibrium and Equilibrium Radiation from Planetary Atmospheres. AIAA J. 1966, 4, 227–237. [Google Scholar] [CrossRef]
- Brémare, N.; Hyun, S.Y.; Studer, D.; Boubert, P.; Vervish, P. Radiation and chemistry of CO2 and air inductive plasmas as freejets and interaction with samples, AIAA Paper 2011-3624. In Proceedings of the 42nd AIAA Thermophysics Conference, Honolulu, HI, USA, 27–30 June 2011. [Google Scholar]
- Brémare, N.; Boubert, P. New ICP experimental conditions for the study of air and CO2 pasma radiation, ESA SP-714. In Proceedings of the 5th International Workshop on Radiation of High Temperature Gases in Atmospheric Entry, Barcelona, Spain, 16–19 October 2012. [Google Scholar]
- Lino Da Silva, M. Simulation des Propriétés Radiatives du Plasma Entourant un Véhicule Traversant une Atmosphère Planétaire à Vitesse Hypersonique—Application à la Planète Mars. Ph.D. Thesis, Université d’Orléans, Orléans, France, 9 December 2004. [Google Scholar]
- Lago, V. Radiation measurements in low pressure high enthalpy flows from VUV and near IR region, AIAA Paper 2015-3516. In Proceedings of the 20th AIAA International Space Planes and Hypersonic Systems and Technologies Conference, Glasgow, UK, 6–9 July 2015. [Google Scholar]
- Lee, E.-S.; Park, C.; Chang, K.-S. Shock tube determination of CN formation rate in a C0-N2 mixture. J. Thermophys. Heat Transf. 2007, 21, 50–56. [Google Scholar] [CrossRef]
- Vacher, D.; Lino Da Silva, M.; André, P.; Faure, G.; Dudeck, M. Radiation from an equilibrium CO2-N2 plasma in the 250-850 nm spectral region: 1. Experiment. Plasma Sources Sci. Technol. 2008, 17, 035012. [Google Scholar] [CrossRef]
- Löhle, S.; Vacher, D.; Menecier, S.; Dudeck, M.; Liebhart, H.; Marynowski, T.; Herdrich, G.; Fasoulas, S.; André, P. Measurement campaigns on Mars entry plasmas using ICP torches. Characterization by emission spectroscopy and probe techniques, ESA SP-689. In Proceedings of the 4th International Workshop on Radiation of High Temperature Gases in Atmospheric Entry, Lausanne, Switzerland, 12–15 October 2010. [Google Scholar]
- Lino da Silva, M.; Dudeck, M. A line-by-line spectroscopic code for the simulation of plasma radiation during planetary entries: The SESAM code, AIAA Paper 2004-2157. In Proceedings of the 35th AIAA Plasmadynamics and Lasers Conference, Portland, OR, USA, 28 June–July 2004. [Google Scholar]
- Parker, R.; MacLean, M.; Holden, M.; Wakeman, T. Shock front radiation studies at CUBRC, AIAA Paper 2010-1370. In Proceedings of the 48th AIAA Aerospace Meeting, Orlando, FL, USA, 4–7 January 2010. [Google Scholar]
- Parker, R.; Dufrene, A.; Holden, M.; Wakeman, T. Shock front emission measurements at 10 km/s, AIAA Paper 2011-715. In Proceedings of the 49th AIAA Aerospace Sciences Meeting, Orlando, FL, USA, 4–7 January 2011. [Google Scholar]
- Hollis, B.R.; Prabhu, D.K.; MacLean, M.; Dufrene, A. Blunt-body aerothermodynamic database from high-enthalpy carbon-dioxide testing in an expansion tunnel. J. Thermophys. Heat Transf. 2017, 31, 712–731. [Google Scholar] [CrossRef]
- Kozlov, P.V.; Romanenko, Y.V.; Shatalov, O.P. Radiation intensity measurement in simulated Martian atmospheres on the double diaphragm shock tube, ESA SP-689. In Proceedings of the 4th International Workshop on Radiation of High Temperature Gases in Atmospheric Entry, Lausanne, Switzerland, 12–15 October 2010. [Google Scholar]
- Chikhaoui, A.; Boubert, P.; Rond, C.; Félio, J.-M. Shock Tube Aerochemistry Measurement Techniques: Development of High Entry Velocity Chemical Kinetics Models; AURORA E30; IUSTI: Marseille, France, 2006. [Google Scholar]
- Boubert, P.; Rond, C. Nonequilibrium Radiation in Shocked Martian Mixtures. J. Thermophys. Heat Transf. 2010, 24, 40–49. [Google Scholar] [CrossRef]
- Ramjaun, D. Cinétique des Radicaux Libres à L’aval D’ondes de Choc dans des Atmosphères Planétaires: Expérimentation en Tube à Choc. Ph.D. Thesis, Université de Provence, Marseille, France, 1998. [Google Scholar] [CrossRef]
- Anokhin, E.M.; Ivanova, T.; Starikovskii, A.Y. Strong shock waves in CO2:N2:Ar mixtures, ESA SP-629. Proceedings of 2nd Int. Workshop on Radiation of High Temperature Gases in Atmospheric Entry, Rome, Italy, 6–8 September 2006. [Google Scholar]
- Anokhin, E.M.; Ivanova, T.Y.; Koudriavtsev, N.N.; Starikovskii, A.Y. Non equilibrium radiation investigation behind the strong shock waves in CO2:N2:Ar mixtures, AIAA Paper 2005-792. Proceedings of 43rd AIAA Aerospace Sciences Meeting and Exhibit-Meeting Papers, Reno, NV, USA, 10–13 January 2005. [Google Scholar]
- Herdrich, G.; Marynowski, T.; Dropmann, M.; Fasoulas, S. Atmospheric Entry Simulation Capabilities of the IRS Plasma Wind Tunnel PWK3 for Mars and Venus. Appl. Phys. Res. 2012, 4, 144–156. [Google Scholar] [CrossRef]
- Marynowski, T.; Löhle, S.; Fasoulas, S. Two-photon laser-induced fluorescence investigation of CO2 plasmas for Mars entry. J. Thermophys. Heat Transf. 2014, 28, 394–400. [Google Scholar] [CrossRef]
- Burghaus, H.; Herdrich, G.; Fasoulas, S. Derivation of Species Distribution in Inductively Heated CO2 Plasma via Automated Spectral Fitting. Vac. J. 2021, 184, 109901. [Google Scholar] [CrossRef]
- Collen, P.L.; Doherty, L.J.; McGilvray, M.; Naved, I.; Morgan, R.G.; Gildfind, D.E. Commissioning of the T6 Stalker tunnel, AIAA Paper 2019-1941. In Proceedings of the AIAA SciTech Forum, San Diego, GA, USA, 7–11 January 2019. [Google Scholar]
- Brandis, A.M. Validation of shock layer radiation: Perspectives for Test Cases, ESA SP-714. In Proceedings of the 5th International Workshop on Radiation and High Temperature Gases in Atmospheric Entry, Barcelona, Spain, 16–19 October 2012. [Google Scholar]
- Brandis, A.M.; Morgan, R.G.; McIntyre, T.J.; Jacobs, P.A. Nonequilibrium radiation intensity measurements in simulated Titan atmospheres. J. Thermophys. Heat Transf. 2010, 24, 291–300. [Google Scholar] [CrossRef]

























































| Pressure (Torr) | Velocity (km/s) | Reference |
|---|---|---|
| 0.5 | 11.4 | [1,15,17] |
| 0.5 | 10.6 | [1,15,17] |
| 1 | 9.5 | [1,15,17] |
| Velocity (km/s) | 8.5 |
| Density (kg/m3) | 1.79 × 10–3 |
| Temperature (K) | 1060 |
| Enthalpy (MJ/kg) | 36 |
| Mach number | 12.8 |
| V (m/s) | P (Torr) | T (K) | c (m/s) | Tv (K) | CO2 (mole fraction) |
|---|---|---|---|---|---|
| 2877 | 2.7 | 1191 | 507 | 2358 | 0.92 |
| 3484 | 2.7 | 1378 | 560 | 2758 | 0.76 |
| 4077 | 1.13 | 1281 | 543 | 2815 | 0.73 |
| Run | Pressure (Torr) | Velocity (km/s) | Peq (Torr) | Veq (km/s) |
|---|---|---|---|---|
| 1 | 1.3 | 3.45 | 3.77 | 5.2 |
| 2 | 2.6 | 3.2 | 7.3 | 4.83 |
| 3 | 2.6 | 3.4 | 8.37 | 5.13 |
| Case | Velocity (km/s) | Pressure (Torr) | Mixture |
|---|---|---|---|
| 1 | 5.8 | 1.47 | 30% [N2], 70% [CO2] |
| 2 | 5.2 | 4.06 | 100% [CO] |
| 3 | 6.17 | 1.8 | 70% [N2], 30% [CO2] |
| 4 | 6.25 | 1.68 | 70% [N2], 30% [CO2] |
| Pressure (Torr) | Velocity (km/s) | Facility | Data | Reference |
|---|---|---|---|---|
| 0.5 | 11.4 | EAST | VUV to IR | [1,17,18] |
| 0.5 | 10.6 | EAST | VUV to IR | [1,17,18] |
| 1 | 9.5 | EAST | VUV to IR | [1,17,18] |
| Pressure (Torr) | Velocity (km/s) | Facility | Spectra | Reference |
|---|---|---|---|---|
| 0.2 | 6–9 | ADST | - | [39] |
| 0.1 | 8.6 | EASTX2 | VUV to NIRUV-VIS | [23,25,34,35] |
| 0.1 | 8.3–9 | EAST | VUV to IR | [24] |
| 0.1 | 7–7.5–8 | EAST | VUV to IR | [25,26] |
| 1 | 7–7.5–8 | EAST | VUV to IR | [25] |
| 0.25 | 6.5 | EAST | VUV to IR | [26] |
| 0.2–1 | 3–7.5 | EAST | IR | [29] |
| 0.075 | 7.6 | HVET | VIS-IR | [33] |
| 0.15 | 5.5 | HVET | VIS-IR | [33] |
| 1.5 | 7.3–7.5 | HVST | VUV to NIR | [33] |
| 1 | 7 | HVST | VUV to NIR | [31] |
| 0.1 | 8.5 | HVST | VUV to NIR | [31] |
| 1 | 2.5–8 | HVST | IR | [32] |
| 3.77 | 5.2 | KAIST | - | [44] |
| 7.3 | 4.83 | KAIST | - | [44] |
| 8.37 | 5.13 | KAIST | - | [44] |
| 0.3 | 6.3–7.6 | MSU | UV-VIS | [51] |
| 1 | 4.6–5.8 | MSU | UV-VIS | [51] |
| 1.47 | 5.8 | TCM2 | UV | [54] |
| 1.68 | 6.25 | TCM2 | UV | [52] |
| 1.8 | 6.17 | TCM2 | UV | [52] |
| 4.06 | 5.2 | TCM2 | VIS | [54] |
| 0.1 | 7.49 | VUT-1 | VUV-VIS | [55] |
| 0.6 | 7.06 | VUT-1 | VUV-VIS | [55] |
| 1.32 | 6.5 | VUT-1 | VUV-VIS | [55] |
| 1.42 | 6 | VUT-1 | VUV-UV | [52] |
| 1.59 | 6.27 | VUT-1 | - | [52] |
| 8.5 | - | X2 | UV-VIS | [37] |
| 0.1 | 8.7 | X2 | UV-VIS | [34] |
| 1.13 | 4 | X2 | IR | [36] |
| 2.7 | 3.5 | X2 | IR | [36] |
| 2.7 | 2.9 | X2 | IR | [36] |
| Pressure (Pa) | Enthalpy (MJ/kg) | Facility | Data | Mixture |
|---|---|---|---|---|
| 3800 | 25 | CORIA ICP | VUV to VIS | CO2 |
| 9000 | 8.5 | CORIA ICP | VUV to VIS | CO2 |
| 2.9 to 5.3 | 4.16 to 35 | ICARE PHEDRA | VUV to NIR | 97% CO2-3% N2 |
| 130 | 10, 15, and 20 | IRS PWK3 | UV to VIS | CO2 |
| 95,000 | 19 | LAEPT ICP | UV to NIR | 97% CO2-3% N2 |
Publisher’s Note: MDPI stays neutral with regard to jurisdictional claims in published maps and institutional affiliations. |
© 2021 by the author. Licensee MDPI, Basel, Switzerland. This article is an open access article distributed under the terms and conditions of the Creative Commons Attribution (CC BY) license (http://creativecommons.org/licenses/by/4.0/).
Share and Cite
Reynier, P. Survey of CO2 Radiation Experimental Data in Relation with Planetary Entry. Galaxies 2021, 9, 15. https://doi.org/10.3390/galaxies9010015
Reynier P. Survey of CO2 Radiation Experimental Data in Relation with Planetary Entry. Galaxies. 2021; 9(1):15. https://doi.org/10.3390/galaxies9010015
Chicago/Turabian StyleReynier, Philippe. 2021. "Survey of CO2 Radiation Experimental Data in Relation with Planetary Entry" Galaxies 9, no. 1: 15. https://doi.org/10.3390/galaxies9010015
APA StyleReynier, P. (2021). Survey of CO2 Radiation Experimental Data in Relation with Planetary Entry. Galaxies, 9(1), 15. https://doi.org/10.3390/galaxies9010015

