Testing the Anomalous Growth of the Black Hole Radius from AGN
Abstract
1. Introduction
2. Anomalous Kerr Metric
3. Best Fit of the Spin Evolution in Time
4. Mass Fit
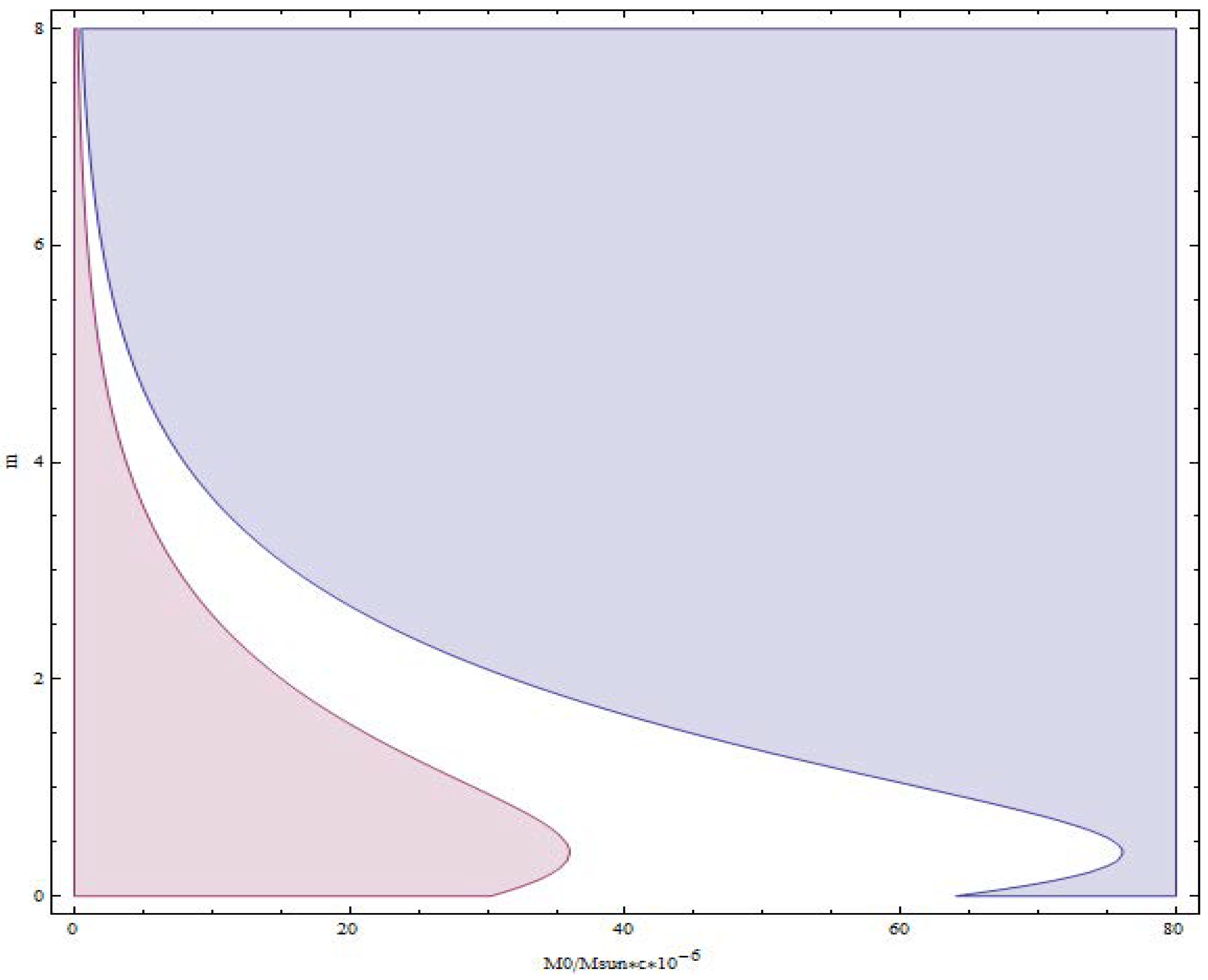
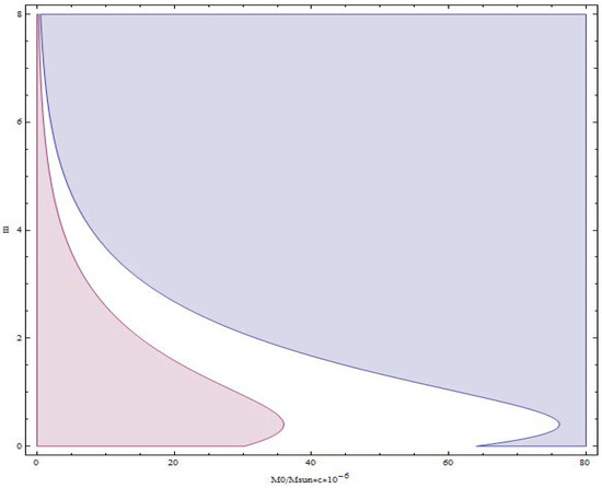
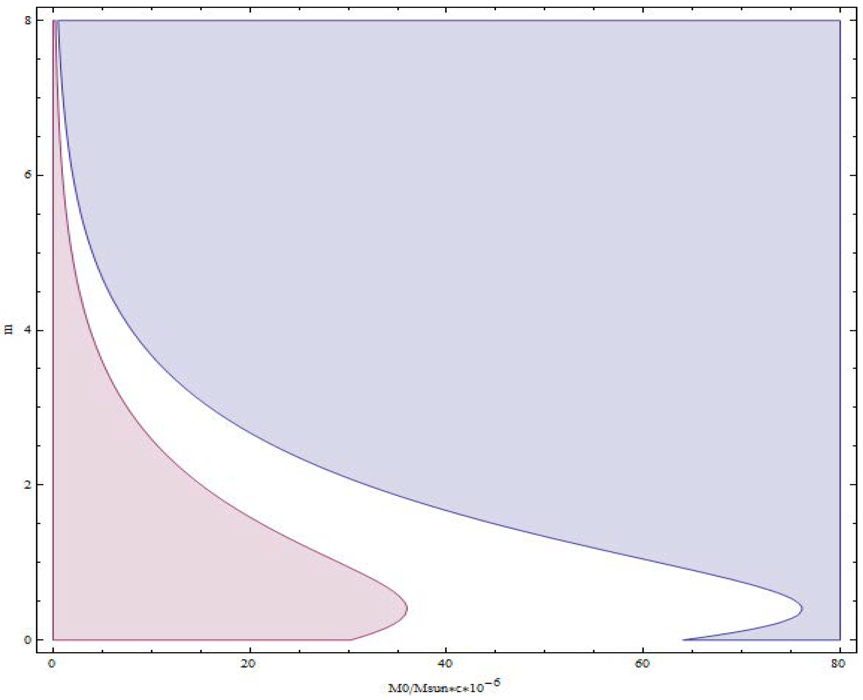
Exclusion Plots
5. Conclusions and Remarks
Author Contributions
Funding
Conflicts of Interest
References
- Nojiri, S.; Odintsov, S.D. Introduction to modified gravity and gravitational alternative for dark energy. Int. J. Geom. Meth. Mod. Phys. 2007, 4, 115–145. [Google Scholar] [CrossRef]
- Nojiri, S.; Odintsov, S.D. Unified cosmic history in modified gravity: From F(R) theory to Lorentz non-invariant models. Phys. Rep. 2001, 505, 59–144. [Google Scholar] [CrossRef]
- Clifton, T.; Ferreira, P.G.; Padilla, A.; Skordis, C. Modified Gravity and Cosmology. Phys. Rep. 2012, 513, 1–189. [Google Scholar] [CrossRef]
- Capozziello, S.; de Laurentis, M. Extended Theories of Gravity. Phys. Rep. 2011, 509, 167–321. [Google Scholar] [CrossRef]
- Nojiri, S.; Odintsov, S.D.; Oikonomou, V.K. Modified Gravity Theories on a Nutshell: Inflation, Bounce and Late-time Evolution. Phys. Rep. 2017, 692, 1–104. [Google Scholar] [CrossRef]
- Bousso, R.; Hawking, S.W. (Anti) evaporation of Schwarzschild-de Sitter black holes. Phys. Rev. D 1998, 57, 2436–2442. [Google Scholar] [CrossRef]
- Nojiri, S.; Odintsov, S.D. Quantum evolution of Schwarzschild-de Sitter (Nariai) black holes. Phys. Rev. D 1999, 59, 044026. [Google Scholar] [CrossRef]
- Nojiri, S.; Odintsov, S.D. Effective action for conformal scalars and anti-evaporation of black holes. Int. J. Mod. Phys. A 1999, 14, 1293–1304. [Google Scholar] [CrossRef]
- Elizalde, E.; Nojiri, S.; Odintsov, S.D. Possible quantum instability of primordial black holes. Phys. Rev. D 1999, 59, 061501. [Google Scholar] [CrossRef]
- Nojiri, S.; Odintsov, S.D. Anti-Evaporation of Schwarzschild-de Sitter Black Holes in F(d+1)(R) gravity. Class. Quant. Grav. 2013, 30, 125003. [Google Scholar] [CrossRef]
- Nojiri, S.; Odintsov, S.D. Instabilities and anti-evaporation of Reissner-Nordström black holes in modified F(d+1)(R) gravity. Phys. Lett. B 2014, 735, 376–382. [Google Scholar] [CrossRef]
- Sebastiani, L.; Momeni, D.; Myrzakulov, R.; Odintsov, S.D. Instabilities and (anti)-evaporation of Schwarzschild-de Sitter black holes in modified gravity. Phys. Rev. D 2013, 88, 104022. [Google Scholar] [CrossRef]
- Addazi, A. Evaporation/Antievaporation and energy conditions in alternative gravity. Int. J. Mod. Phys. 2018, 33, 1850030. [Google Scholar] [CrossRef]
- Houndjo, M.J.S.; Momeni, D.; Myrzakulov, R.; Rodrigues, M.E. Evaporation phenomena in f(T) gravity. Can. J. Phys. 2015, 93, 377–383. [Google Scholar] [CrossRef]
- Oikonomou, V.K. A note on Schwarzschild-de Sitter black holes in mimetic F(d+1)(R) gravity. Int. J. Mod. Phys. D 2016, 25, 1650078. [Google Scholar] [CrossRef]
- Oikonomou, V.K. Reissner-Nordström Anti-de Sitter Black Holes in Mimetic F(R) Gravity. Universe 2016, 2, 10. [Google Scholar] [CrossRef]
- Katsuragawa, T.; Nojiri, S. Stability and antievaporation of the Schwarzschild?de Sitter black holes in bigravity. Phys. Rev. D 2015, 91, 084001. [Google Scholar] [CrossRef]
- Addazi, A. (Anti) evaporation of Dyonic Black Holes in string-inspired dilaton f(R)-gravity. Int. J. Mod. Phys. A 2017, 32, 1750102. [Google Scholar] [CrossRef]
- Chakraborty, S.; SenGupta, S. Spherically symmetric brane spacetime with bulk f() gravity. Eur. Phys. J. C 2015, 75, 11. [Google Scholar] [CrossRef]
- Chakraborty, S.; SenGupta, S. Effective gravitational field equations on m-brane embedded in n-dimensional bulk of Einstein and f() gravity. Eur. Phys. J. C 2015, 75, 538. [Google Scholar] [CrossRef]
- Chakraborty, S.; SenGupta, S. Solving higher curvature gravity theories. Eur. Phys. J. C 2016, 76, 552. [Google Scholar] [CrossRef]
- Addazi, A.; Nojiri, S.; Odintsov, S. Evaporation and antievaporation instability of a Schwarzschild-de Sitter braneworld: The case of five-dimensional F(R) gravity. Phys. Rev. D 2017, 95, 124020. [Google Scholar] [CrossRef]
- Singh, D.V.; Singh, N.K. Anti-Evaporation of Bardeen de-Sitter Black Holes. Ann. Phys. 2017, 383, 600–609. [Google Scholar] [CrossRef]
- Bekenstein, J.D. Black holes and entropy. Phys. Rev. D 1973, 7, 2333. [Google Scholar] [CrossRef]
- Hawking, S.W. Particle Creation by Black Holes. Commun. Math. Phys. 1975, 43, 199–220. [Google Scholar] [CrossRef]
- Hawking, S.W. Black holes and Thermodynamics. Phys. Rev. D 1976, 13, 191. [Google Scholar] [CrossRef]
- Hawking, S.W. Breakdown of Predictability in Gravitational Collapse. Phys. Rev. D 1976, 14, 2460. [Google Scholar] [CrossRef]
- Addazi, A.; Capozziello, S. The fate of Schwarzschild-de Sitter Black Holes in F(R) gravity. Mod. Phys. Lett. A 2016, 31, 1650054. [Google Scholar] [CrossRef]
- Ellis, G.F.R. Astrophysical black holes may radiate, but they do not evaporate. arXiv, 2013; arXiv:1310.4771. [Google Scholar]
- Firouzjaee, J.T.; Ellis, G.F.R. Cosmic Matter Flux May Turn Hawking Radiation off. Gen. Rel. Grav. 2015, 47, 6. [Google Scholar] [CrossRef]
- Firouzjaee, J.T.; Ellis, G.F.R. Particle creation from the quantum stress tensor. Phys. Rev. D 2015, 91, 103002. [Google Scholar] [CrossRef]
- Sun, S.; Guainazzi, M.; Ni, Q.; Wang, J.; Qian, C.; Shi, F.; Wang, Y.; Bambi, C. Multi-epoch analysis of the X-ray spectrum of the active galactic nucleus in NGC 5506. Mon. Not. R. Astron. Soc. 2018, 478, 1900–1910. [Google Scholar] [CrossRef]
- Choudhury, K.; Garcia, J.A.; Steiner, J.F.; Bambi, C. Testing the performance and accuracy of the RELXILL model for the relativistic X-ray reflection from accretion disks. Astrophys. J. 2017, 851, 57. [Google Scholar] [CrossRef]
- Bambi, C. Astrophysical Black Holes: A Compact Pedagogical Review. Ann. Phys. 2018, 530, 1700430. [Google Scholar] [CrossRef]
- Nampalliwar, S.; Bambi, C.; Kokkotas, K.; Konoplya, R. Iron line spectroscopy with Einstein-dilaton- Gauss-Bonnet black holes. Phys. Lett. B 2018, 781, 626–632. [Google Scholar] [CrossRef]
- Tripathi, A.; Nampalliwar, S.; Abdikamalov, A.B.; Ayzenberg, D.; Jiang, J.; Bambi, C. Testing the Kerr nature of the supermassive black hole in Ark 564. Phys. Rev. D 2018, 98, 023018. [Google Scholar] [CrossRef]
- Wang-Ji, J.; Abdikamalov, A.B.; Ayzenberg, D.; Bambi, C.; Dauser, T.; Garcia, J.A.; Nampalliwar, S.; Steiner, J.F. Testing the Kerr metric using X-ray reflection spectroscopy: spectral analysis of GX 339-4. arXiv, 2018; arXiv:1806.00126. [Google Scholar]
- Bambi, C.; Abdikamalov, A.B.; Ayzenberg, D.; Cao, Z.; Liu, H.; Nampalliwar, S.; Tripathi, A.; Wang-Ji, J.; Xu, Y. RELXILL_NK: A relativistic reflection model for testing Einstein’s gravity. Universe 2018, 4, 79. [Google Scholar] [CrossRef]
- Tremaine, S.; Gebhardt, K.; Bender, R.; Bower, G.; Dressler, A.; Faber, S.M.; Filippenko, A.V.; Green, R.; Grillmair, C.; Ho, L.C.; et al. The slope of the black hole mass versus velocity dispersion correlation. Astrophys. J. 2002, 574, 740. [Google Scholar] [CrossRef]
- Nikołajuk, M.; Czerny, B.; Gurynowicz, P. NLS1 galaxies and estimation of their central black hole masses from the X-ray excess variance method. Mon. Not. R. Astron. Soc. 2009, 394, 2141–2152. [Google Scholar] [CrossRef]
| 1. | The only radiation emission is in the form of Hawking’s radiation, which is highly suppressed and undetectable for macroscopic black holes. | 













| obsID | Observatory | Exposure Time [s] | Start Time [MJD] | Epoch Index | 
|---|---|---|---|---|
| 0013140101 | XMM-Newton | 20,007 | 51,942 | E01 | 
| 0201830201 | XMM-Newton | 21,617 | 53,197 | E02 | 
| 0201830301 | XMM-Newton | 20,409 | 53,200 | E03 | 
| 0201830401 | XMM-Newton | 21,956 | 53,208 | E04 | 
| 0201830501 | XMM-Newton | 20,411 | 53,234 | E05 | 
| 701030010 | Suzaku | 47,753 | 53,955 | E06 | 
| 701030020 | Suzaku | 53,296 | 53,958 | E07 | 
| 701030030 | Suzaku | 57,406 | 54,131 | E08 | 
| 0554170101 | XMM-Newton | 88,919 | 54,833 | E09 | 
| 1598 | Chandra | 90,040 | 51,909 | E10 | 
| obsID | Time | Spin | Error | 
|---|---|---|---|
| 0013140101 | 51,942 | 0.989993 | ±5.97296 | 
| 0201830201 | 53,197 | 0.985785 | ± 2.72601 × 10 | 
| 0201830301 | 53,200 | 0.989983 | ±3.26932 × 10 | 
| 0201830401 | 53,208 | 0.979123 | ±3.51087 | 
| 0554170101 | 54,833 | 0.990000 | ±8.70283 × 10 | 
| 1598 | 51,909 | 0.986380 | ±0.187406 | 
| obsID | Standard Error | Error | Mass | 
|---|---|---|---|
| 0201830401 | 0.6053 | ±0.1143 | 68.28 | 
| 0201830501 | 0.6683 | ±0.1201 | 101.66 | 
| 701030010 | 0.6527 | ±7.7903 × 10 | 92.46 | 
| 701030020 | 0.2157 | ±0.1049 | 60.48 | 
| 701030030 | 0.6544 | ±0.1343 | 93.45 | 
| 0554170101 | 0.2600 | ±6.2502 × 10 | 128.03 | 
| Parameters | Values | Errors | 
|---|---|---|
| 43.5857 | ±4.75554 | |
| 43.5857 | ±4.75554 | |
| m | 0.400512 | ±18194.9 | 
| n | 0.779544 | ±10049.6 | 
| 0.0735094 | ±4.69429 | |
| 0.0742621 | ±0.185221 | 
© 2018 by the authors. Licensee MDPI, Basel, Switzerland. This article is an open access article distributed under the terms and conditions of the Creative Commons Attribution (CC BY) license (http://creativecommons.org/licenses/by/4.0/).
Share and Cite
Addazi, A.; Marciano, A.; Qian, C. Testing the Anomalous Growth of the Black Hole Radius from AGN. Galaxies 2018, 6, 107. https://doi.org/10.3390/galaxies6040107
Addazi A, Marciano A, Qian C. Testing the Anomalous Growth of the Black Hole Radius from AGN. Galaxies. 2018; 6(4):107. https://doi.org/10.3390/galaxies6040107
Chicago/Turabian StyleAddazi, Andrea, Antonino Marciano, and Chenyang Qian. 2018. "Testing the Anomalous Growth of the Black Hole Radius from AGN" Galaxies 6, no. 4: 107. https://doi.org/10.3390/galaxies6040107
APA StyleAddazi, A., Marciano, A., & Qian, C. (2018). Testing the Anomalous Growth of the Black Hole Radius from AGN. Galaxies, 6(4), 107. https://doi.org/10.3390/galaxies6040107
 
        
 
       