High-Redshift Quasars at z ≥ 3: Radio Variability and MPS/GPS Candidates
Abstract
1. Introduction
2. Sample
The Literature Data
3. Multi-Band Radio Variability
3.1. Variability Estimates
3.2. Refractive Interstellar Scintillation
3.3. Variability Characteristics
4. Peaked-Spectrum Sources at High Redshifts
4.1. Rest Frame Peak Frequency and FWHM
4.2. Spectral Variability of Identified HFP/GPS/MPS Quasars
4.3. New GPS/MPS Candidates
4.4. HFP Candidates
5. Discussion
5.1. Variability Properties
5.2. Population of Peaked Spectrum Sources at High Redshifts
6. Summary
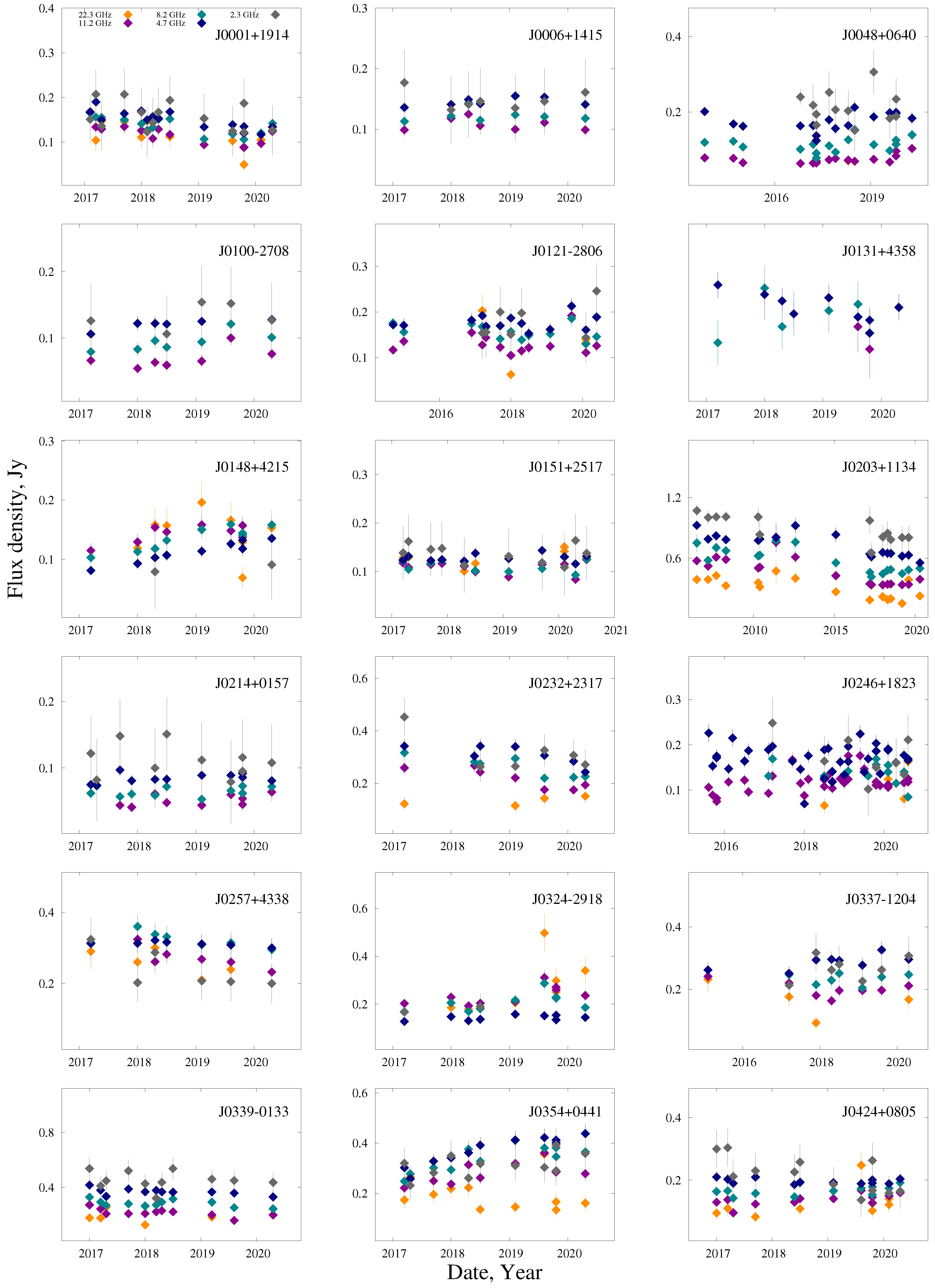
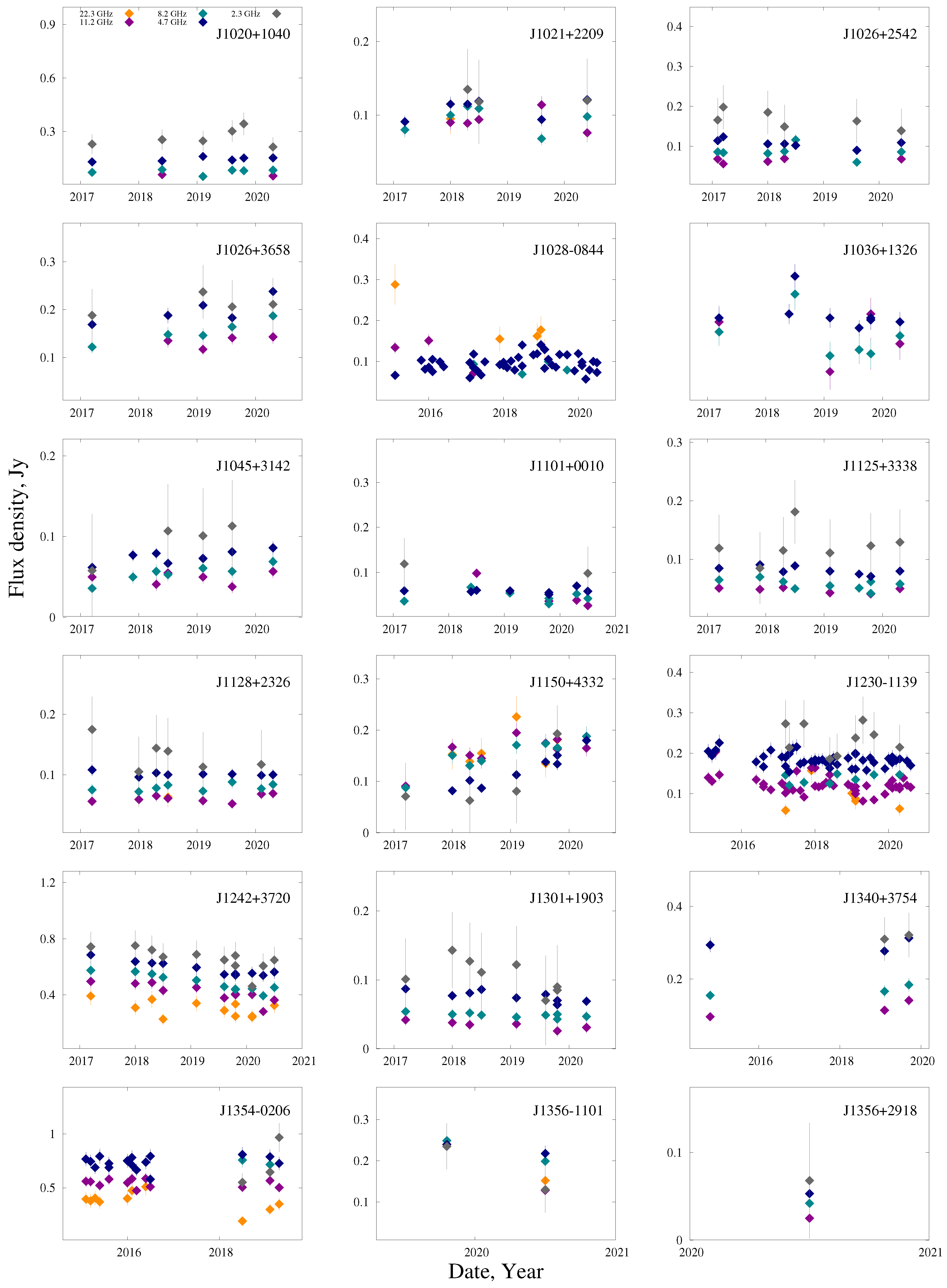
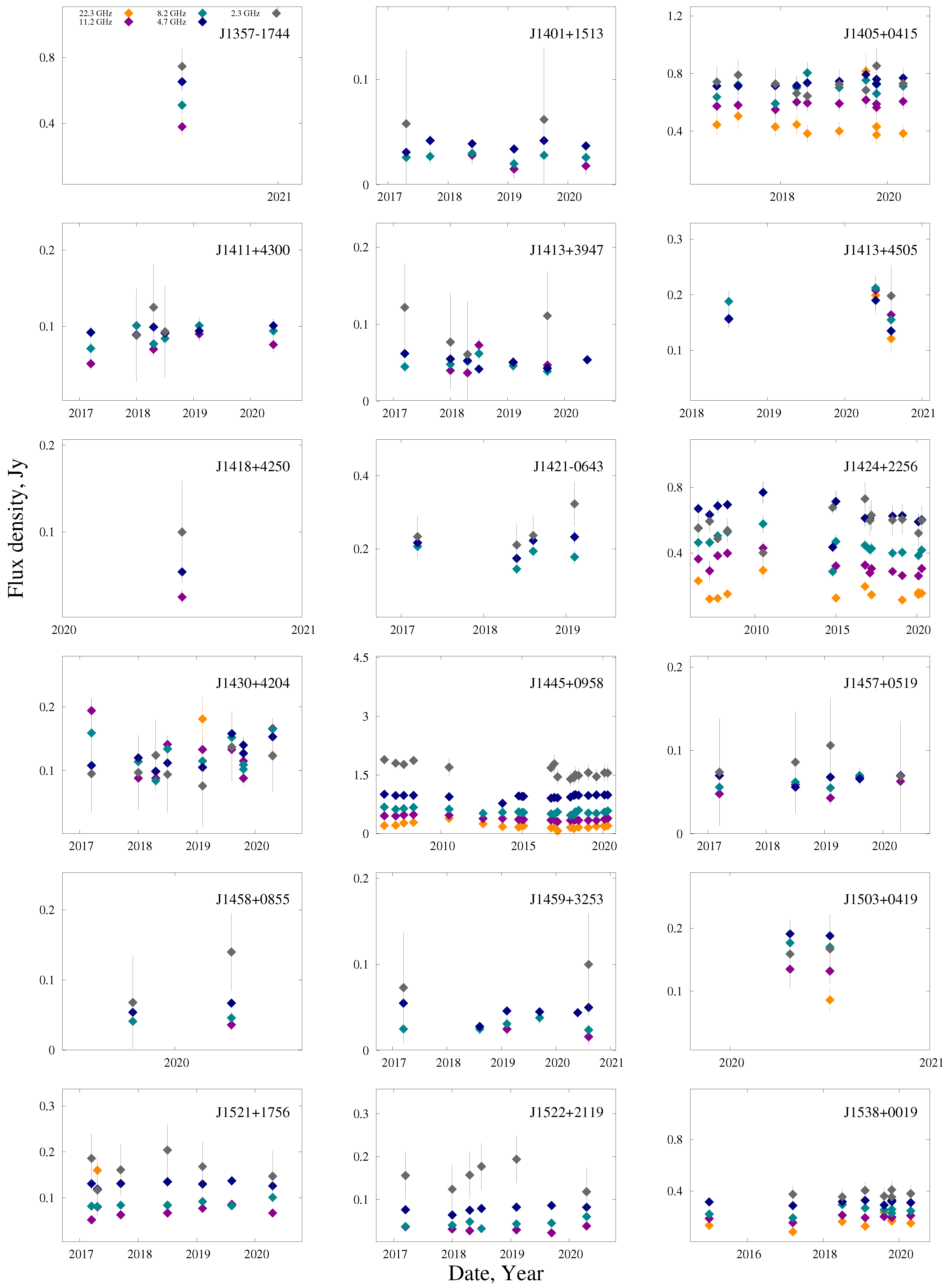
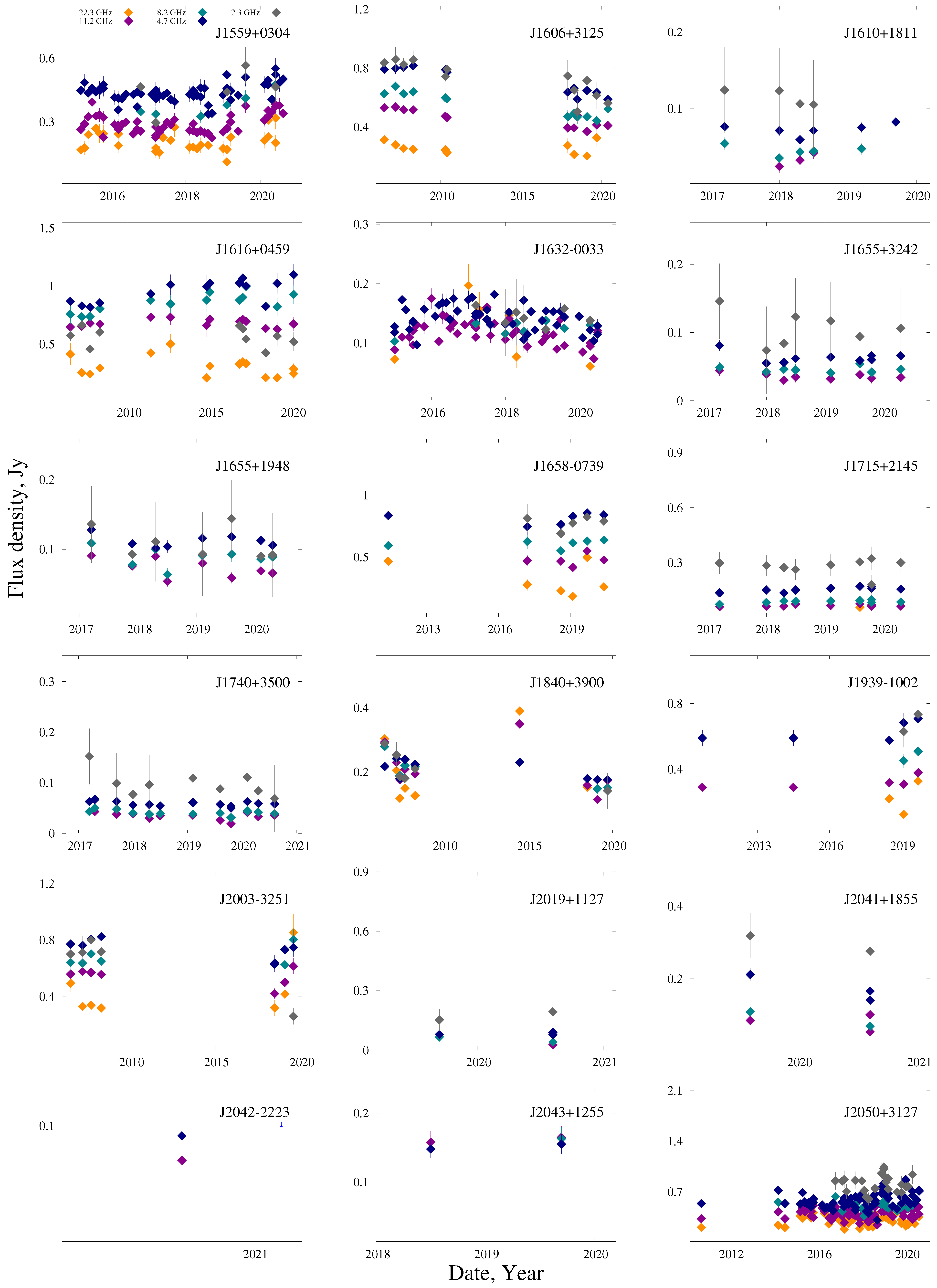
- The quasars show a wide spread of radio variability on any time scale of the measurements. About half of the objects in the sample show a variability level (25–50%) comparable to that of the blazars at low redshifts. Some quasars demonstrate flux density variations of up to 60–90% at 8.2–22.3 GHz. The median values of the modulation index M, the fractional variability , and the variability index are about 0.20 at 2.3–8.2 GHz and are higher at 22.3 GHz (0.28–0.36). The proportion of sources with a low variability of varies from 8 to 20% at different frequencies;
- The distribution of the variability index is significantly different at 22.3 GHz compared to lower frequencies, demonstrating the peak at higher levels of variability. This suggests that the emission from the compact core dominates at higher frequencies, while at lower frequencies, the emission from jet components could blend with the core emission, shifting the distribution peak to lower values. In general, the variability we obtained at the range from dozens to about a hundred GHz in the rest frame is attributed to the dominating core component in quasars;
- Several quasar groups with distinctive variability characteristics were found. The six highest-redshift quasars demonstrate an average variability of about 0.50 and at a shorter time scale than the others;
- Among the 23 GPS and MPS sources reported previously, only 6 objects show low radio variability (). We propose seven new candidates for GPS sources (J0100−2708, J0839+2002, J0933+2845, J1301+1904, J1401+1513, J1521+1756, and J2314+0201) and five new MPS candidates (J0214+0157, J0905+0410, J1045+3142, J1418+4250, and J2019+1127) based on the analysis of their spectral parameters and radio variability. We found that about 18 and 9% of the sample of bright quasars at are GPS and MPS candidates, respectively;
- A peaked spectrum is a typical feature of blazars at high redshifts, and this distinguishes them from the flat spectrum low-redshift blazars. The radio variability exceeding more than 30% in high redshift PS sources is common for blazars.
Author Contributions
Funding
Institutional Review Board Statement
Informed Consent Statement
Data Availability Statement
Acknowledgments
Conflicts of Interest
Abbreviations
| AGN | Active galactic nuclei |
| CSO | Compact symmetric object |
| FWHM | Full width at half maximum |
| GPS | Gigahertz-peaked spectrum |
| HFP | High-frequency peaker |
| MPS | Megahertz-peaked spectrum |
| PS | peaked radio spectrum |
| RISS | Refractive interstellar scintillation |
Appendix A. Sample Parameters
| NVSS Name | z | Morph. | Morph. | Spectral | Blazar | Cluster | |||
|---|---|---|---|---|---|---|---|---|---|
| (Jy) | Type | Ref. | Type | Type | |||||
| 1 | 2 | 3 | 4 | 5 | 6 | 7 | 8 | 9 | 10 |
| 000108+191434 | 3.10 | c+j | 10 | upturn | FSRQ | 3 | |||
| 000657+141546 | 3.20 | c+j | 1 | peaked | 2 | ||||
| 004858+064005 | 3.58 | cso | 8 | peaked | 1 | ||||
| 010012−270852 | 3.52 | c+j | 10 | peaked | 1 | ||||
| 012100−280623 | 3.11 | c+j | 10 | peaked | FSRQ | 3 | |||
| 013113+435812 a | 3.12 | c+j | 2 | complex | 3 | ||||
| 014844+421518 | 3.24 | upturn | FSRQ | 2 | |||||
| 015106+251729 | 3.10 | c+j | 10 | flat | 3 | ||||
| 020346+113445 | 3.63 | c+j | 10 | peaked * | FSRQ | 4 | |||
| 021435+015702 | 3.28 | c+j | 10 | peaked | 2 | ||||
| 023220+231756 | 3.42 | c+j | 10 | peaked * | 1 | ||||
| 024611+182330 | 3.59 | c+j | 1 | peaked | FSRQ | 4 | |||
| 025759+433836 | 4.06 | c+j | 5 | inverted | 1 | ||||
| 032444−291821 | 4.63 | c+j | 5 | inverted | FSRQ | 0 | |||
| 033755−120404 | 3.44 | c+j | 10 | flat | FSRQ | 1 | |||
| 033900−013317 | 3.19 | c+j | 10 | flat | FSRQ | 2 | |||
| 035424+044107 | 3.26 | c+j | 10 | complex | 4 | ||||
| 042457+080517 | 3.09 | c+j | 10 | inverted | FSRQ | 2 | |||
| 042835+173223 | 3.32 | c+j | 10 | flat | FSRQ | 4 | |||
| 052506−233810 | 3.1 | c+j | 10 | inverted | FSRQ | 4 | |||
| 052506−334304 | 4.41 | c+j | 5 | peaked | Uncert. | 0 | |||
| 053954−283956 | 3.10 | c+j | 10 | peaked * | FSRQ | 4 | |||
| 062419+385648 | 3.46 | c+j | 10 | peaked | FSRQ | 4 | |||
| 064632+445116 | 3.39 | c+j | 10 | peaked | FSRQ | 4 | |||
| 073357+045614 | 3.01 | c+j | 10 | peaked | FSRQ | 4 | |||
| 075141+271631 a | 3.20 | peaked | 2 | ||||||
| 075303+423130 | 3.59 | cso | 8 | peaked | 1 | ||||
| 083322+095941 | 3.75 | c+j | 1 | flat | 1 | ||||
| 083910+200208 | 3.03 | c+j | 10 | peaked | 3 | ||||
| 084715+383110 | 3.18 | c | 4 c | inverted | 2 | ||||
| 090549+041010 | 3.15 | c+j | 1 | peaked | 2 | ||||
| 090915+035443 | 3.20 | c+j | 4, 9 | flat | 3 | ||||
| 091551+000712 | 3.07 | T | 4 c | flat | FSRQ | 2 | |||
| 093337+284532 | 3.42 | E | 4 c | peaked | 1 | ||||
| 094113+114533 | 3.19 | c+j | 1 | flat | 3 | ||||
| 101644+203746 | 3.11 | c+j | 1 | complex | FSRQ | 4 | |||
| 102010+104003 | 3.15 | steep | 2 | ||||||
| 102107+220921 | 4.26 | c+j | 5 | flat | 1 | ||||
| 102623+254259 | 5.28 | c+j | 5 | peaked | FSRQ | 0 | |||
| 102645+365825 | 3.25 | c | 4 c | flat | 3 | ||||
| 102838−084438 | 4.27 | c+j | 5 | flat | FSRQ | 0 | |||
| 103626+132654 | 3.09 | T | 3 | steep | 3 | ||||
| 104523+314232 | 3.23 | c | 4 c | peaked | 2 | ||||
| 110147+001038 | 3.69 | c | 4 c | steep | 1 | ||||
| 112500+333858 | 3.43 | steep | 2 | ||||||
| 112851+232616 | 3.04 | E | 4 c | flat | 2 | ||||
| 115016+433206 | 3.03 | c | 4 c | inverted | FSRQ | 3 | |||
| 123055−113910 | 3.52 | c+j | 8 | peaked | FSRQ | 4 | |||
| 124209+372005 | 3.81 | T | 4 c | peaked * | 4 | ||||
| 130122+190421 | 3.10 | c+j | 10 | peaked | 2 | ||||
| 134022+375443 | 3.11 | c+j | 1 | peaked | 3 | ||||
| 135406−020603 | 3.70 | c+j | 10 | peaked | FSRQ | 4 | |||
| 135646−110130 | 3.01 | c+j | 10 | inverted | FSRQ | 2 | |||
| 135652+291817 | 3.24 | T | 4 c | steep | 2 | ||||
| 135706−174402 | 3.14 | c+j | 10 | peaked * | FSRQ | 4 | |||
| 140135+151325 a | 3.23 | peaked | 3 | ||||||
| 140501+041536 | 3.20 | c+j | 4 c | peaked * | FSRQ | 4 | |||
| 141152+430024 | 3.21 | c+j | 4 c | flat | 2 | ||||
| 141300+394745 | 3.71 | flat | 1 | ||||||
| 141318+450523 | 3.11 | c | 4 c | inverted | FSRQ | 2 | |||
| 141821+425020 | 3.45 | peaked | 2 | ||||||
| 142107−064355 | 3.68 | c+j | 8 | complex | FSRQ | 1 | |||
| 142438+225600 a | 3.62 | c+j | 10 | peaked | FSRQ | 4 | |||
| 143023+420436 | 4.71 | c+j | 5 | flat | FSRQ | 0 | |||
| 144516+095835 | 3.55 | c+j | 8 | peaked | FSRQ | 4 | |||
| 145722+051922 | 3.17 | c+j | 10 | flat | 2 | ||||
| 145805+085529 | 3.06 | steep | 2 | ||||||
| 145927+325358 | 3.32 | complex | 4 c | steep | 2 | ||||
| 150328+041949 | 3.66 | c+ext b | 1 | peaked | 2 | ||||
| 152117+175601 | 3.06 | c | 4 c | peaked | 3 | ||||
| 152219+211957 | 3.22 | steep | 2 | ||||||
| 153815+001905 | 3.49 | c+j | 10 | peaked | 3 | ||||
| 155930+030447 | 3.89 | T | 4 c | peaked | FSRQ | 4 | |||
| 160608+312447 | 4.56 | cso | 6 | peaked | 0 | ||||
| 161005+181143 | 3.11 | T | 4 c | steep | 3 | ||||
| 161637+045932 | 3.21 | c+j | 4 c | peaked * | FSRQ | 4 | |||
| 163257−003321 a | 3.42 | c+j | 10 | flat | FSRQ | 4 | |||
| 165519+324241 | 3.18 | c+j | 1 | steep | 2 | ||||
| 165543+194847 | 3.26 | E | 4 c | flat | 2 | ||||
| 165844−073918 | 3.74 | c+j | 10 | peaked * | FSRQ | 1 | |||
| 171521+214534 | 4.01 | T | 5 | steep | 1 | ||||
| 174020+350048 | 3.22 | steep | 2 | ||||||
| 184057+390046 | 3.1 | c+j | 10 | peaked | FSRQ | 3 | |||
| 193957−100241 | 3.78 | c+j | 8 | complex | FSRQ | 1 | |||
| 200324−325144 | 3.77 | c+j | 10 | peaked | FSRQ | 4 | |||
| 201918+112712 a | 3.27 | c+ext | 7 | peaked | 2 | ||||
| 204124+185502 | 3.05 | steep | 2 | ||||||
| 204257−222326 | 3.63 | c+j | 10 | peaked | FSRQ | 1 | |||
| 204310+125513 | 3.27 | c+j | 10 | flat | FSRQ | 3 | |||
| 205051+312727 | 3.18 | c+j | 10 | peaked | FSRQ | 3 | |||
| 212912−153841 | 3.26 | c+j | 11 | peaked * | FSRQ | 4 | |||
| 213412−041909 | 4.34 | c+j | 5 | flat | 1 | ||||
| 221748+022011 | 3.57 | c+j | 10 | steep | FSRQ | 3 | |||
| 221935−271902 | 3.63 | c+j | 10 | flat | FSRQ | 1 | |||
| 222536+204014 | 3.56 | c+j | 10 | steep | 1 | ||||
| 224800−054117 | 3.29 | c+j | 10 | peaked | Uncert. | 1 | |||
| 225153+221737 | 3.66 | c+j | 10 | flat | FSRQ | 4 | |||
| 231448+020150 | 4.11 | c+j | 5 | peaked | 1 | ||||
| 231643−334912 | 3.1 | c+j | 10 | peaked | FSRQ | 2 | |||
| 232118−082721 | 3.16 | c+j | 10 | flat | FSRQ | 3 | |||
| 234451+343348 | 3.05 | flat | 2 |
| Name | z | N4.7 | N22.3 | |||||||||||||||||
|---|---|---|---|---|---|---|---|---|---|---|---|---|---|---|---|---|---|---|---|---|
| 1 | 2 | 3 | 4 | 5 | 6 | 7 | 8 | 9 | 10 | 11 | 12 | 13 | 14 | 15 | 16 | 17 | 18 | 19 | 20 | 21 |
| J0001+1914 | 3.10 | 35 | 21 | 3 | 9 | 0.53 | 0.42 | 0.46 | 0.47 | 0.31 | 0.31 | 0.63 | 0.64 | 0.65 | 0.23 | 0.17 | 0.17 | 0.57 | 0.34 | 0.35 |
| J0006+1415 | 3.20 | 40 | 14 | – | – | 0.08 | 0.1 | 0.09 | 0.1 | 0.13 | 0.12 | 0.25 | 0.17 | 0.16 | 0.03 | 0.09 | – | – | – | – |
| J0048+0640 | 3.58 | 36 | 25 | – | – | 0.28 | 0.18 | 0.18 | 0.25 | 0.14 | 0.13 | 0.24 | 0.15 | 0.15 | 0.12 | 0.16 | 0.1 | – | – | – |
| J0100−2708 | 3.52 | 31 | 10 | – | – | 0.11 | 0.14 | 0.13 | 0.17 | 0.14 | 0.14 | 0.11 | 0.13 | 0.1 | 0.17 | 0.2 | 0.17 | – | – | – |
| J0121−2806 | 3.11 | 30 | 19 | 7 | 18 | 0.06 | 0.2 | 0.15 | 0.43 | 0.37 | 0.4 | 0.32 | 0.24 | 0.24 | 0.2 | 0.17 | 0.15 | 0.41 | 0.33 | 0.34 |
| J0131+4358 | 3.12 | 34 | 12 | – | – | – | – | – | 0.37 | 0.22 | 0.22 | 0.3 | 0.27 | – | 0.17 | 0.28 | 0.1 | – | – | – |
| J0148+4215 | 3.24 | 34 | 14 | 3 | 8 | – | 0.07 | – | 0.23 | 0.17 | 0.16 | 0.14 | 0.12 | 0.11 | 0.05 | 0.1 | – | 0.36 | 0.25 | 0.22 |
| J0151+2517 | 3.10 | 34 | 17 | 2 | 8 | 0.25 | 0.2 | 0.2 | 0.32 | 0.29 | 0.29 | 0.23 | 0.16 | 0.15 | 0.1 | 0.11 | 0.06 | 0.08 | 0.12 | – |
| J0203+1134 | 3.63 | 42 | 38 | 22 | 31 | 0.21 | 0.09 | 0.08 | 0.33 | 0.22 | 0.21 | 0.4 | 0.18 | 0.17 | 0.38 | 0.26 | 0.26 | 0.45 | 0.33 | 0.33 |
| J0214+0157 | 3.28 | 36 | 19 | – | – | 0.23 | 0.21 | 0.2 | 0.13 | 0.12 | 0.08 | 0.23 | 0.21 | 0.21 | 0.03 | 0.16 | – | – | – | – |
| J0232+2317 | 3.42 | 33 | 13 | – | – | 0.2 | 0.2 | 0.22 | 0.29 | 0.19 | 0.19 | 0.21 | 0.15 | 0.14 | 0.08 | 0.17 | 0.12 | – | 0.11 | – |
| J0246+1823 | 3.59 | 34 | 44 | 2 | 5 | 0.34 | 0.26 | 0.27 | 0.29 | 0.17 | 0.08 | 0.25 | 0.15 | 0.15 | 0.29 | 0.2 | – | 0.31 | 0.33 | 0.34 |
| J0257+4338 | 4.06 | 34 | 16 | 5 | 10 | 0.06 | 0.26 | 0.18 | 0.33 | 0.31 | 0.32 | 0.45 | 0.37 | 0.37 | 0.08 | 0.1 | 0.05 | 0.04 | 0.13 | 0.05 |
| J0324−2918 | 4.63 | 30 | 19 | 15 | 15 | 0.08 | 0.08 | – | 0.44 | 0.43 | 0.45 | 0.41 | 0.25 | 0.25 | 0.14 | 0.16 | 0.13 | 0.39 | 0.4 | 0.39 |
| J0337−1204 | 3.44 | 31 | 12 | 14 | 6 | 0.26 | 0.18 | 0.18 | 0.19 | 0.13 | 0.12 | 0.24 | 0.13 | 0.12 | 0.09 | 0.11 | 0.07 | 0.68 | 0.64 | 0.28 |
| J0339−0133 | 3.19 | >43 | 17 | 13 | 6 | 0.2 | 0.13 | 0.12 | 0.21 | 0.12 | 0.11 | 0.14 | 0.1 | 0.08 | 0.25 | 0.16 | 0.13 | 0.49 | 0.46 | 0.5 |
| J0354+0441 | 3.26 | 40 | 31 | 22 | 13 | 0.18 | 0.15 | 0.14 | 0.27 | 0.13 | 0.11 | 0.22 | 0.18 | 0.17 | 0.17 | 0.15 | 0.12 | 0.54 | 0.47 | 0.47 |
| J0424+0805 | 3.8 | 36 | 21 | 3 | 9 | 0.32 | 0.23 | 0.23 | 0.19 | 0.14 | 0.13 | 0.38 | 0.29 | 0.3 | 0.16 | 0.12 | 0.07 | 0.4 | 0.36 | 0.35 |
| J0428+1732 | 3.32 | 30 | 56 | 5 | 17 | 0.38 | 0.27 | 0.28 | 0.33 | 0.16 | 0.14 | 0.22 | 0.19 | 0.19 | 0.22 | 0.13 | 0.07 | 0.46 | 0.34 | 0.32 |
| J0525−2338 | 3.1 | 30 | 55 | 14 | 50 | 0.28 | 0.19 | – | 0.11 | 0.08 | 0.06 | 0.35 | 0.24 | 0.23 | 0.36 | 0.15 | 0.13 | 0.5 | 0.25 | 0.23 |
| J0525−3343 | 4.41 | 30 | 18 | – | – | 0.29 | 0.3 | 0.36 | 0.71 | 0.62 | 0.66 | 0.3 | 0.25 | 0.18 | – | – | – | – | – | – |
| J0539−2839 | 3.10 | >43 | 66 | 23 | 47 | 0.44 | 0.33 | 0.3 | 0.59 | 0.35 | 0.34 | 0.56 | 0.35 | 0.35 | 0.59 | 0.4 | 0.39 | 0.61 | 0.45 | 0.43 |
| J0624+3856 | 3.46 | 46 | 68 | 23 | 47 | 0.4 | 0.35 | 0.35 | 0.3 | 0.18 | 0.18 | 0.43 | 0.2 | 0.19 | 0.26 | 0.21 | 0.18 | 0.35 | 0.27 | 0.2 |
| J0646+4451 | 3.39 | 47 | 187 | 30 | 319 | 0.46 | 0.23 | 0.21 | 0.67 | 0.31 | 0.31 | 0.74 | 0.49 | 0.5 | 0.66 | 0.37 | 0.36 | 0.65 | 0.25 | 0.24 |
| J0733+0456 | 3.1 | 40 | 35 | 4 | 15 | 0.47 | 0.21 | 0.21 | 0.37 | 0.24 | 0.24 | 0.48 | 0.36 | 0.37 | 0.29 | 0.21 | 0.18 | 0.44 | 0.27 | 0.24 |
| J0751+2716 | 3.20 | 42 | 13 | – | – | 0.17 | 0.16 | 0.16 | 0.04 | 0.05 | – | 0.04 | 0.1 | 0.05 | 0.05 | 0.12 | – | – | – | – |
| J0753+4231 | 3.59 | 34 | 23 | 18 | 2 | 0.2 | 0.17 | 0.17 | 0.12 | 0.06 | 0.05 | 0.04 | 0.08 | 0.05 | 0.09 | 0.1 | 0.05 | – | 0.17 | – |
| J0833+0959 | 3.75 | 36 | 17 | – | – | – | 0.05 | – | 0.17 | 0.14 | 0.11 | 0.24 | 0.17 | 0.13 | – | 0.07 | – | – | – | – |
| J0839+2002 | 3.3 | 35 | 16 | 3 | 2 | 0.23 | 0.2 | 0.21 | 0.29 | 0.21 | 0.2 | 0.15 | 0.15 | 0.13 | 0.21 | 0.21 | 0.19 | 0.05 | 0.17 | – |
| J0847+3831 | 3.18 | 34 | 16 | 3 | 5 | 0.36 | 0.35 | 0.37 | 0.2 | 0.14 | 0.11 | 0.36 | 0.24 | 0.24 | – | 0.05 | – | 0.14 | 0.24 | 0.23 |
| J0905+0410 | 3.15 | 36 | 12 | – | – | 0.17 | 0.19 | 0.23 | 0.11 | 0.12 | 0.06 | 0.17 | 0.2 | 0.21 | 0.04 | 0.15 | – | – | – | – |
| J0909+0354 | 3.20 | 37 | 18 | 2 | 2 | 0.15 | 0.18 | 0.19 | 0.5 | 0.29 | 0.29 | 0.36 | 0.23 | 0.23 | 0.26 | 0.22 | 0.22 | 0.05 | 0.18 | – |
| J0915+0007 | 3.7 | 42 | 19 | 3 | 7 | 0.27 | 0.23 | 0.19 | 0.23 | 0.15 | 0.14 | 0.08 | 0.11 | – | 0.05 | 0.1 | 0.05 | 0.61 | 0.68 | 0.72 |
| J0933+2845 | 3.42 | 34 | 17 | – | – | 0.34 | 0.25 | 0.24 | 0.25 | 0.19 | 0.14 | 0.22 | 0.21 | 0.09 | 0.21 | 0.23 | – | – | – | – |
| J0941+1145 | 3.19 | 39 | 16 | 1 | 2 | 0.86 | 0.38 | 0.42 | 0.35 | 0.33 | 0.33 | 0.96 | 1 | 0.97 | 0.07 | 0.13 | 0.05 | – | 0.09 | – |
| J1016+2037 | 3.11 | 44 | 91 | 23 | 44 | 0.18 | 0.15 | 0.14 | 0.5 | 0.23 | 0.22 | 0.47 | 0.33 | 0.34 | 0.41 | 0.18 | 0.15 | 0.34 | 0.21 | 0.14 |
| J1020+1040 | 3.15 | 42 | 11 | – | – | 0.18 | 0.17 | 0.17 | 0.09 | 0.08 | 0.06 | 0.23 | 0.17 | 0.15 | – | 0.06 | – | – | – | – |
| J1021+2209 | 4.23 | 35 | 12 | – | – | – | 0.06 | – | 0.18 | 0.13 | 0.11 | 0.13 | 0.16 | 0.15 | 0.09 | 0.13 | 0.1 | – | – | – |
| J1026+2542 | 5.28 | 25 | 13 | – | – | 0.12 | 0.12 | 0.12 | 0.3 | 0.15 | 0.14 | 0.2 | 0.17 | 0.17 | – | 0.08 | – | – | – | – |
| J1026+3658 | 3.25 | 35 | 11 | – | – | 0.05 | 0.08 | 0.07 | 0.4 | 0.3 | 0.31 | 0.43 | 0.3 | 0.32 | 0.02 | 0.08 | 0.05 | – | – | – |
| J1028−0844 | 4.27 | 31 | 49 | 4 | 5 | – | – | – | 0.56 | 0.35 | 0.31 | 0.15 | 0.15 | 0.14 | 0.23 | 0.31 | 0.33 | 0.25 | 0.3 | 0.31 |
| J1036+1326 | 3.9 | 37 | 13 | – | – | – | – | – | 0.48 | 0.4 | 0.39 | 0.31 | 0.3 | 0.26 | 0.39 | 0.35 | 0.25 | – | – | – |
| J1045+3142 | 3.23 | 34 | 10 | – | – | 0.2 | 0.23 | 0.24 | 0.11 | 0.13 | 0.06 | 0.12 | 0.17 | 0.09 | – | 0.14 | – | – | – | – |
| J1101+0010 | 3.69 | 36 | 14 | – | – | 0 | 0.1 | – | 0.28 | 0.23 | 0.18 | 0.18 | 0.25 | 0.15 | 0.42 | 0.57 | 0.63 | – | – | – |
| J1125+3338 | 3.43 | 37 | 14 | – | – | 0.29 | 0.22 | 0.22 | 0.24 | 0.15 | 0.11 | 0.07 | 0.14 | – | – | 0.09 | – | – | – | – |
| J1128+2326 | 3.4 | 34 | 14 | – | – | 0.45 | 0.25 | 0.26 | 0.11 | 0.09 | 0.01 | 0.37 | 0.19 | 0.15 | – | 0.09 | – | – | – | – |
| J1150+4332 | 3.3 | 35 | 14 | 2 | 6 | 0.5 | 0.53 | 0.59 | 0.42 | 0.28 | 0.28 | 0.44 | 0.27 | 0.28 | 0.29 | 0.18 | 0.14 | 0.12 | 0.19 | 0.16 |
| J1230−1139 | 3.52 | >43 | 51 | 14 | 7 | 0.42 | 0.33 | 0.36 | 0.47 | 0.35 | 0.38 | 0.47 | 0.41 | 0.43 | 0.44 | 0.24 | 0.25 | 0.41 | 0.36 | 0.37 |
| J1242+3720 | 3.81 | 46 | 24 | 21 | 13 | 0.18 | 0.15 | 0.12 | 0.28 | 0.21 | 0.21 | 0.29 | 0.18 | 0.19 | 0.19 | 0.14 | 0.12 | 0.14 | 0.17 | 0.11 |
| J1301+1904 | 3.10 | 35 | 13 | – | – | 0.25 | 0.21 | 0.21 | 0.05 | 0.12 | - | – | 0.06 | – | – | 0.15 | – | – | – | – |
| J1340+3754 | 3.11 | 36 | 12 | – | – | 0.08 | 0.11 | 0.12 | 0.3 | 0.17 | 0.17 | 0.15 | 0.1 | 0.09 | 0.03 | 0.11 | – | – | – | – |
| J1354−0206 | 3.70 | 38 | 60 | 23 | 33 | 0.22 | 0.16 | 0.16 | 0.24 | 0.13 | 0.12 | 0.14 | 0.09 | 0.09 | 0.3 | 0.16 | 0.1 | 0.50 | 0.24 | – |
| J1356−1101 | 3.1 | 35 | 9 | – | – | 0.21 | 0.2 | 0.22 | 0.11 | 0.1 | 0.11 | 0.32 | 0.29 | 0.32 | – | – | – | 0.19 | 0.25 | – |
| J1356+2918 | 3.24 | 35 | 7 | – | – | – | – | – | 0.22 | 0.19 | 0.19 | 0.02 | 0.1 | 0.04 | – | – | – | – | – | – |
| J1357−1744 | 3.14 | 38 | 19 | 23 | 3 | 0.37 | 0.26 | 0.25 | 0.28 | 0.12 | 0.12 | 0.27 | 0.21 | 0.22 | 0.36 | 0.39 | 0.44 | 0.48 | 0.55 | 0.63 |
| J1401+1513 | 3.23 | 33 | 11 | – | – | – | 0.03 | – | 0.36 | 0.28 | 0.28 | – | 0.14 | – | 0.09 | 0.27 | 0.18 | – | – | – |
| J1405+0415 | 3.20 | >43 | 26 | 24 | 12 | 0.23 | 0.18 | 0.18 | 0.25 | 0.16 | 0.16 | 0.2 | 0.12 | 0.11 | 0.19 | 0.17 | 0.14 | 0.26 | 0.3 | 0.25 |
| J1411+4300 | 3.21 | 34 | 10 | – | – | 0.08 | 0.16 | 0.17 | 0.05 | 0.06 | – | 0.13 | 0.15 | 0.12 | 0.13 | 0.17 | 0.14 | – | – | – |
| J1413+3947 | 4.12 | 34 | 10 | – | – | 0.22 | 0.27 | 0.29 | 0.12 | 0.14 | – | 0.03 | 0.15 | – | 0.15 | 0.26 | 0.2 | – | – | – |
| J1413+4505 | 3.11 | 34 | 8 | <1 | 2 | – | – | – | 0.27 | 0.16 | 0.16 | 0.19 | 0.19 | 0.21 | 0.03 | 0.13 | 0.11 | 0.09 | 0.24 | – |
| J1418+4250 | 3.45 | 34 | 4 | – | – | – | – | – | 0.02 | 0.08 | – | – | – | – | – | – | – | – | – | – |
| J1421−0643 | 3.68 | 30 | 6 | – | – | 0.19 | 0.18 | 0.2 | 0.3 | 0.23 | 0.26 | 0.21 | 0.16 | 0.17 | – | – | – | – | – | – |
| J1424+2256 | 3.62 | 42 | 29 | 22 | 18 | 0.47 | 0.14 | 0.14 | 0.14 | 0.12 | 0.11 | 0.66 | 0.21 | 0.17 | 0.16 | 0.16 | 0.14 | 0.1 | 0.28 | 0.17 |
| J1430+4204 | 4.71 | 34 | 16 | 2 | 4 | 0.4 | 0.31 | 0.32 | 0.51 | 0.43 | 0.44 | 0.4 | 0.29 | 0.3 | 0.36 | 0.3 | 0.31 | 0.32 | 0.29 | 0.32 |
| J1445+0958 | 3.55 | 41 | 76 | 23 | 27 | 0.15 | 0.1 | 0.08 | 0.15 | 0.1 | 0.09 | 0.26 | 0.17 | 0.15 | 0.57 | 0.26 | 0.26 | 0.67 | 0.4 | 0.38 |
| J1457+0519 | 3.17 | 37 | 12 | – | – | 0.1 | 0.17 | 0.16 | 0.13 | 0.13 | 0.08 | 0.19 | 0.2 | 0.17 | 0.05 | 0.17 | 0.05 | – | – | – |
| J1458+0855 | 3.6 | 34 | 7 | – | – | – | 0.35 | – | 0.2 | 0.21 | – | – | 0.06 | – | – | – | – | – | – | – |
| J1459+3253 | 3.32 | 39 | 11 | – | – | 0.04 | 0.16 | – | 0.23 | 0.17 | 0.07 | 0.08 | 0.19 | – | – | 0.22 | – | – | – | – |
| J1503+0419 | 3.66 | 39 | 8 | – | – | 0.03 | 0.04 | 0.03 | 0.1 | 0.08 | 0.07 | 0.04 | 0.03 | – | – | 0.01 | – | – | – | – |
| J1521+1756 | 3.6 | 40 | 13 | – | – | 0.21 | 0.17 | – | 0.32 | 0.23 | 0.23 | 0.18 | 0.17 | – | 0.1 | 0.15 | 0.11 | – | – | – |
| J1522+2119 | 3.22 | 34 | 10 | – | – | 0.18 | 0.17 | 0.18 | 0.13 | 0.1 | – | 0.09 | 0.18 | – | – | 0.18 | – | – | – | – |
| J1538+0019 | 3.49 | >43 | 20 | 23 | 10 | 0.39 | 0.34 | 0.35 | 0.5 | 0.36 | 0.36 | 0.58 | 0.37 | 0.38 | 0.27 | 0.2 | 0.19 | 0.38 | 0.28 | 0.12 |
| J1559+0304 | 3.89 | 37 | 63 | 8 | 29 | 0.25 | 0.19 | 0.21 | 0.41 | 0.16 | 0.16 | 0.17 | 0.13 | 0.12 | 0.18 | 0.15 | 0.13 | 0.36 | 0.22 | 0.19 |
| J1606+3124 | 4.56 | 37 | 26 | 43 | 22 | 0.3 | 0.16 | 0.15 | 0.28 | 0.18 | 0.19 | 0.22 | 0.15 | 0.15 | 0.16 | 0.13 | 0.12 | 0.1 | 0.15 | 0.07 |
| J1610+1811 | 3.11 | 40 | 12 | – | – | 0.23 | 0.18 | 0.18 | 0.41 | 0.31 | 0.31 | 0.17 | 0.18 | 0.08 | – | 0.23 | – | – | – | – |
| J1616+0459 | 3.21 | >43 | 64 | 23 | 22 | – | 0.13 | 0.12 | 0.26 | 0.13 | 0.12 | 0.42 | 0.15 | 0.13 | 0.17 | 0.1 | 0.09 | 0.26 | 0.25 | 0.21 |
| J1632−0033 | 3.42 | 31 | 57 | 5 | 6 | 0.25 | 0.2 | 0.2 | 0.43 | 0.22 | 0.2 | 0.17 | 0.12 | 0.11 | 0.4 | 0.2 | 0.12 | 0.4 | 0.43 | 0.44 |
| J1655+3242 | 3.18 | 34 | 12 | – | – | 0.24 | 0.22 | 0.21 | 0.04 | 0.12 | – | – | 0.09 | – | – | 0.12 | – | – | – | – |
| J1655+1948 | 3.26 | 34 | 15 | – | – | 0.28 | 0.26 | 0.26 | 0.24 | 0.19 | 0.18 | 0.27 | 0.16 | 0.14 | 0.12 | 0.17 | 0.11 | – | – | – |
| J1658−0739 | 3.74 | 37 | 12 | 10 | 9 | 0.22 | 0.16 | 0.16 | 0.27 | 0.21 | 0.21 | 0.33 | 0.27 | 0.28 | 0.13 | 0.12 | 0.05 | 0.33 | 0.35 | 0.32 |
| J1715+2145 | 4.1 | 35 | 16 | – | – | 0.47 | 0.24 | 0.24 | 0.38 | 0.3 | 0.31 | 0.19 | 0.14 | 0.11 | – | 0.08 | – | – | 0.18 | – |
| J1740+3500 | 3.22 | 34 | 18 | – | – | 0.29 | 0.22 | 0.21 | 0.02 | 0.08 | – | – | 0.11 | – | 0.27 | 0.19 | – | – | – | – |
| J1840+3900 | 3.1 | 36 | 23 | 20 | 13 | 0.24 | 0.22 | 0.18 | 0.52 | 0.41 | 0.42 | 0.14 | 0.16 | 0.15 | 0.45 | 0.34 | 0.33 | 0.52 | 0.51 | 0.48 |
| J1939−1002 | 3.78 | 30 | 17 | 23 | 4 | 0.28 | 0.19 | 0.15 | 0.15 | 0.09 | 0.09 | 0.25 | 0.14 | 0.15 | 0.33 | 0.28 | 0.29 | 0.33 | 0.33 | 0.36 |
| J2003−3251 | 3.77 | >43 | 39 | 15 | 36 | 0.53 | 0.32 | 0.18 | 0.32 | 0.2 | 0.2 | 0.44 | 0.15 | 0.14 | 0.15 | 0.16 | 0.13 | 0.42 | 0.31 | 0.31 |
| J2019+1127 | 3.27 | 41 | 12 | – | – | 0.06 | 0.12 | – | 0.06 | 0.09 | 0.04 | 0.05 | 0.23 | – | – | – | – | – | – | – |
| J2041+1855 | 3.5 | 39 | 12 | – | – | 0.01 | 0.07 | – | 0.18 | 0.16 | 0.15 | 0.11 | 0.22 | – | 0.17 | 0.24 | 0.27 | – | – | – |
| J2042−2223 | 3.63 | 30 | 4 | – | – | 0.01 | 0.01 | – | 0.27 | 0.25 | – | 0.24 | 0.19 | 0.22 | – | – | – | – | – | – |
| J2043+1255 | 3.27 | 40 | 12 | – | – | – | – | – | 0.52 | 0.42 | 0.43 | 0.09 | 0.11 | 0.1 | – | 0.08 | – | – | – | – |
| J2050+3127 | 3.18 | 35 | 15 | 12 | 60 | 0.19 | 0.14 | 0.11 | 0.57 | 0.22 | 0.21 | 0.32 | 0.16 | 0.15 | 0.27 | 0.17 | 0.13 | 0.34 | 0.23 | 0.12 |
| J2129−1538 | 3.26 | 37 | 54 | 20 | 24 | 0.19 | 0.15 | 0.12 | 0.16 | 0.11 | 0.1 | 0.34 | 0.26 | 0.25 | 0.41 | 0.22 | 0.21 | 0.43 | 0.27 | 0.25 |
| J2134−0419 | 4.34 | 31 | 12 | 14 | 3 | 0.21 | 0.15 | 0.14 | 0.12 | 0.09 | 0.08 | 0.13 | 0.12 | 0.11 | 0.19 | 0.21 | 0.2 | 0.05 | 0.14 | 0.11 |
| J2217+0220 | 3.57 | 42 | 25 | 22 | 14 | 0.28 | 0.29 | 0.28 | 0.46 | 0.34 | 0.34 | 0.54 | 0.42 | 0.43 | 0.34 | 0.24 | 0.23 | 0.61 | 0.52 | 0.5 |
| J2219−2719 | 3.63 | 30 | 12 | 14 | 5 | 0.19 | 0.17 | 0.16 | 0.3 | 0.19 | 0.19 | 0.31 | 0.22 | 0.22 | 0.34 | 0.22 | 0.21 | 0.3 | 0.28 | 0.28 |
| J2225+2040 | 3.56 | 34 | 12 | – | – | 0.18 | 0.13 | 0.13 | 0.13 | 0.07 | – | 0.06 | 0.1 | – | 0.02 | 0.18 | – | – | – | – |
| J2248−0541 | 3.29 | 30 | 13 | 2 | 2 | 0.36 | 0.27 | 0.28 | 0.22 | 0.14 | 0.14 | 0.14 | 0.1 | 0.08 | – | – | – | 0.27 | 0.35 | 0.42 |
| J2251+2217 | 3.66 | 35 | 56 | – | – | 0.13 | 0.14 | 0.14 | 0.27 | 0.2 | 0.17 | 0.15 | 0.14 | 0.12 | 0.34 | 0.17 | 0.13 | – | – | – |
| J2314+0201 | 4.11 | 40 | 20 | – | – | – | 0.1 | – | 0.2 | 0.17 | 0.14 | 0.14 | 0.16 | 0.08 | 0.15 | 0.24 | 0.14 | – | – | – |
| J2316−3349 | 3.10 | 31 | 18 | – | – | 0.65 | 0.29 | 0.22 | 0.18 | 0.1 | 0.1 | 0.45 | 0.28 | 0.28 | 0.26 | 0.2 | 0.19 | – | – | – |
| J2321−0827 | 3.16 | 31 | 10 | 13 | 4 | 0.48 | 0.34 | 0.36 | 0.63 | 0.55 | 0.25 | 0.33 | 0.28 | 0.29 | 0.13 | 0.2 | 0.22 | 0.42 | 0.45 | 0.51 |
| J2344+3433 | 3.5 | 35 | 15 | – | – | 0.28 | 0.23 | 0.23 | 0.24 | 0.22 | 0.2 | 0.33 | 0.36 | 0.36 | 0.18 | 0.19 | – | – | 0.2 | – |
Appendix B. Cluster Analysis of the Quasars with PCA+k-Means and Self Organizing Maps


| Cluster | N | Medians | Min–Max Values | ||||||||
|---|---|---|---|---|---|---|---|---|---|---|---|
| (yr) | (GHz) | Nobs | (yr) | (GHz) | Nobs | ||||||
| 0 | 6 | 5.7 | 0.48 | 26.3 | 21 | 4.6 | 4.0–6.7 | 0.28–0.71 | 24.8–29.5 | 15–48 | 4.3–5.3 |
| 1 | 21 | 7.0 | 0.22 | 22.0 | 13 | 3.7 | 5.8–7.9 | 0.12–0.38 | 20.2–25.1 | 4–24 | 3.3–4.3 |
| 2 | 31 | 8.4 | 0.13 | 19.7 | 12 | 3.2 | 7.6–10.3 | 0.02–0.27 | 18.8–21.9 | 4–21 | 3.0–3.7 |
| 3 | 20 | 8.7 | 0.42 | 19.3 | 14 | 3.1 | 7.3–9.9 | 0.29–0.63 | 18.9–21.5 | 10–24 | 3.0–3.6 |
| 4 | 23 | 9.1 | 0.29 | 20.8 | 55 | 3.4 | 6.9–10.7 | 0.11–0.67 | 18.8–23.0 | 24–187 | 3.0–3.9 |


Appendix C. Comments on Individual Sources
Appendix C.1. Identified HFP/GPS/MPS Candidates which Revealed Significant Radio Variability
Appendix C.2. New GPS/MPS Candidates
Appendix C.3. Gravitationally Lensed Quasars
Appendix D. Light Curves and Radio Spectra








| 1 | NED: https://ned.ipac.caltech.edu (accessed on 22 December 2022). |
| 2 | Spectral index estimated from the power law S∼. |
| 3 | https://openuniverse.asi.it/OU4Blazars/MasterListV2/ (accessed on 22 December 2022). |
| 4 | marked by the letter “a” in Table A1. |
| 5 | https://www.sao.ru/cats/ (accessed on 22 December 2022). |
| 6 | https://github.com/peterwittek/somoclu (accessed on 22 December 2022). |
References
- Schmidt, M. 3C 273: A Star-Like Object with Large Red-Shift. Nature 1963, 197, 1040. [Google Scholar] [CrossRef]
- Matthews, T.A.; Sandage, A.R. Optical Identification of 3C 48, 3C 196, and 3C 286 with Stellar Objects. Astrophys. J. 1963, 138, 30. [Google Scholar] [CrossRef]
- Dent, W.A. Quasi-Stellar Sources: Variation in the Radio Emission of 3C 273. Science 1965, 148, 1458–1460. [Google Scholar] [CrossRef] [PubMed]
- Kellermann, K.I.; Pauliny-Toth, I.I.K. Variable Radio Sources. Annu. Rev. Astron. Astrophys. 1968, 6, 417. [Google Scholar] [CrossRef]
- Rees, M.J. Extragalactic Variable Radio Sources. Nature 1970, 227, 1303–1306. [Google Scholar] [CrossRef]
- Marscher, A.P.; Gear, W.K. Models for high-frequency radio outbursts in extragalactic sources, with application to the early 1983 millimeter-to-infrared flare of 3C 273. Astrophys. J. 1985, 298, 114–127. [Google Scholar] [CrossRef]
- Nyland, K.; Dong, D.; Patil, P.; Lacy, M.; Kimball, A.; Hallinan, G.; Sarbadhicary, S.; Polisensky, E.; Kassim, N.; Peters, W.; et al. Variable radio AGN at high redshift identified in the VLA Sky Survey. In Galaxy Evolution and Feedback across Different Environments; Storchi Bergmann, T., Forman, W., Overzier, R., Riffel, R., Eds.; Cambridge University Press: Cambridge, UK, 2021; Volume 359, pp. 27–32. [Google Scholar] [CrossRef]
- Gergely, L.Á.; Biermann, P.L. The Spin-Flip Phenomenon in Supermassive Black hole binary mergers. Astrophys. J. 2009, 697, 1621–1633. [Google Scholar] [CrossRef]
- Horton, M.A.; Krause, M.G.H.; Hardcastle, M.J. 3D hydrodynamic simulations of large-scale precessing jets: Radio morphology. Mon. Not. R. Astron. Soc. 2020, 499, 5765–5781. [Google Scholar] [CrossRef]
- Villata, M.; Raiteri, C.M. Helical jets in blazars. I. The case of MKN 501. Astron. Astrophys. 1999, 347, 30–36. [Google Scholar]
- Jarvis, M.E.; Harrison, C.M.; Thomson, A.P.; Circosta, C.; Mainieri, V.; Alexander, D.M.; Edge, A.C.; Lansbury, G.B.; Molyneux, S.J.; Mullaney, J.R. Prevalence of radio jets associated with galactic outflows and feedback from quasars. Mon. Not. R. Astron. Soc. 2019, 485, 2710–2730. [Google Scholar] [CrossRef]
- An, T.; Baan, W.A.; Wang, J.Y.; Wang, Y.; Hong, X.Y. Periodic radio variabilities in NRAO 530: A jet-disc connection? Mon. Not. R. Astron. Soc. 2013, 434, 3487–3496. [Google Scholar] [CrossRef]
- Wang, J.Y.; An, T.; Baan, W.A.; Lu, X.L. Periodic radio variabilities of the blazar 1156+295: Harmonic oscillations. Mon. Not. R. Astron. Soc. 2014, 443, 58–66. [Google Scholar] [CrossRef]
- Walker, M.A. Interstellar scintillation of compact extragalactic radio sources. Mon. Not. R. Astron. Soc. 1998, 294, 307–311. [Google Scholar] [CrossRef]
- Koay, J.Y.; Jauncey, D.L.; Hovatta, T.; Kiehlmann, S.; Bignall, H.E.; Max-Moerbeck, W.; Pearson, T.J.; Readhead, A.C.S.; Reeves, R.; Reynolds, C.; et al. The presence of interstellar scintillation in the 15 GHz interday variability of 1158 OVRO-monitored blazars. Mon. Not. R. Astron. Soc. 2019, 489, 5365–5380. [Google Scholar] [CrossRef]
- Fiedler, R.L.; Dennison, B.; Johnston, K.J.; Hewish, A. Extreme scattering events caused by compact structures in the interstellar medium. Nature 1987, 326, 675–678. [Google Scholar] [CrossRef]
- Pushkarev, A.B.; Kovalev, Y.Y.; Lister, M.L.; Hovatta, T.; Savolainen, T.; Aller, M.F.; Aller, H.D.; Ros, E.; Zensus, J.A.; Richards, J.L.; et al. VLBA observations of a rare multiple quasar imaging event caused by refraction in the interstellar medium. Astron. Astrophys. 2013, 555, A80. [Google Scholar] [CrossRef]
- De Breuck, C.; van Breugel, W.; Röttgering, H.J.A.; Miley, G. A sample of 669 ultra steep spectrum radio sources to find high redshift radio galaxies. Astron. Astrophys. Suppl. Ser. 2000, 143, 303–333. [Google Scholar] [CrossRef]
- De Breuck, C.; Klamer, I.; Johnston, H.; Hunstead, R.W.; Bryant, J.; Rocca-Volmerange, B.; Sadler, E.M. A search for distant radio galaxies from SUMSS and NVSS-II. Optical spectroscopy. Mon. Not. R. Astron. Soc. 2006, 366, 58–72. [Google Scholar] [CrossRef]
- Coppejans, R.; Frey, S.; Cseh, D.; Müller, C.; Paragi, Z.; Falcke, H.; Gabányi, K.É.; Gurvits, L.I.; An, T.; Titov, O. On the nature of bright compact radio sources at z > 4.5. Mon. Not. R. Astron. Soc. 2016, 463, 3260–3275. [Google Scholar] [CrossRef]
- O’Dea, C.P.; Baum, S.A.; Stanghellini, C. What are the gigahertz peaked-spectrum radio sources? Astrophys. J. 1991, 380, 66–77. [Google Scholar] [CrossRef]
- Coppejans, R.; Cseh, D.; van Velzen, S.; Falcke, H.; Intema, H.T.; Paragi, Z.; Müller, C.; Williams, W.L.; Frey, S.; Gurvits, L.I.; et al. What are the megahertz peaked-spectrum sources? Mon. Not. R. Astron. Soc. 2016, 459, 2455–2471. [Google Scholar] [CrossRef]
- O’Dea, C.P.; Saikia, D.J. Compact steep-spectrum and peaked-spectrum radio sources. Astron. Astrophys. Rev. 2021, 29, 3. [Google Scholar] [CrossRef]
- Fanti, R.; Fanti, C.; Schilizzi, R.T.; Spencer, R.E.; Rendong, N.; Parma, P.; van Breugel, W.J.M.; Venturi, T. On the nature of compact steep spectrum radio sources. Astron. Astrophys. 1990, 231, 333–346. [Google Scholar]
- Snellen, I.A.G.; Schilizzi, R.T.; Miley, G.K.; de Bruyn, A.G.; Bremer, M.N.; Röttgering, H.J.A. On the evolution of young radio-loud AGN. Mon. Not. R. Astron. Soc. 2000, 319, 445–456. [Google Scholar] [CrossRef]
- An, T.; Baan, W.A. The Dynamic Evolution of Young Extragalactic Radio Sources. Astrophys. J. 2012, 760, 77. [Google Scholar] [CrossRef]
- Readhead, A.C.S.; Taylor, G.B.; Xu, W.; Pearson, T.J.; Wilkinson, P.N.; Polatidis, A.G. The Statistics and Ages of Compact Symmetric Objects. Astrophys. J. 1996, 460, 612–633. [Google Scholar] [CrossRef]
- Coppejans, R.; Cseh, D.; Williams, W.L.; van Velzen, S.; Falcke, H. Megahertz peaked-spectrum sources in the Boötes field I - a route towards finding high-redshift AGN. Mon. Not. R. Astron. Soc. 2015, 450, 1477–1485. [Google Scholar] [CrossRef]
- Coppejans, R.; van Velzen, S.; Intema, H.T.; Müller, C.; Frey, S.; Coppejans, D.L.; Cseh, D.; Williams, W.L.; Falcke, H.; Körding, E.G.; et al. Radio spectra of bright compact sources at z > 4.5. Mon. Not. R. Astron. Soc. 2017, 467, 2039–2060. [Google Scholar] [CrossRef][Green Version]
- Sotnikova, Y.; Mikhailov, A.; Mufakharov, T.; Mingaliev, M.; Bursov, N.; Semenova, T.; Stolyarov, V.; Udovitskiy, R.; Kudryashova, A.; Erkenov, A. High-redshift quasars at z ≥ 3—I. Radio spectra. Mon. Not. R. Astron. Soc. 2021, 508, 2798–2814. [Google Scholar] [CrossRef]
- Stanghellini, C.; O’Dea, C.P.; Dallacasa, D.; Baum, S.A.; Fanti, R.; Fanti, C. A complete sample of GHz-peaked-spectrum radio sources and its radio properties. Astron. Astrophys. Suppl. Ser. 1998, 131, 303–315. [Google Scholar] [CrossRef]
- O’Dea, C.P. The Compact Steep-Spectrum and Gigahertz Peaked-Spectrum Radio Sources. Publ. Astron. Soc. Pac. 1998, 110, 493–532. [Google Scholar] [CrossRef]
- Stanghellini, C. Radio variability and polarization of GHz-peaked-spectrum sources. Mem. Soc. Astron. Ital. 1999, 70, 117–120. [Google Scholar]
- Tornikoski, M.; Torniainen, I.; Lähteenmäki, A.; Hovatta, T.; Nieppola, E.; Turunen, M.; Lainela, M.; Valtaoja, E.; Aller, M.F.; Aller, H.D.; et al. Long-term radio behaviour of GPS sources and candidates. Astron. Nachrichten 2009, 330, 128–132. [Google Scholar] [CrossRef]
- Mingaliev, M.G.; Sotnikova, Y.V.; Torniainen, I.; Tornikoski, M.; Udovitskiy, R.Y. Multifrequency study of GHz-peaked spectrum sources and candidates with the RATAN-600 radio telescope. Astron. Astrophys. 2012, 544, A25. [Google Scholar] [CrossRef]
- Mingaliev, M.G.; Sotnikova, Y.V.; Mufakharov, T.V.; Erkenov, A.K.; Udovitskiy, R.Y. Gigahertz-peaked spectrum (GPS) galaxies and quasars. Astrophys. Bull. 2013, 68, 262–272. [Google Scholar] [CrossRef]
- Sotnikova, Y.V.; Mufakharov, T.V.; Majorova, E.K.; Mingaliev, M.G.; Udovitskii, R.Y.; Bursov, N.N.; Semenova, T.A. Multifrequency Study of GHz-peaked Spectrum Sources. Astrophys. Bull. 2019, 74, 348–364. [Google Scholar] [CrossRef]
- Sotnikova, Y.; Mufakharov, T.; Mingaliev, M.; Mikhailov, A. Multifrequency study of gigahertz-peaked spectrum sources with RATAN -600. Astron. Nachrichten 2021, 342, 1195–1199. [Google Scholar] [CrossRef]
- Dallacasa, D.; Orienti, M. Radio spectra of High Frequency Peakers. Astron. Nachrichten 2016, 337, 120. [Google Scholar] [CrossRef]
- Kovalev, Y.Y. “TEMPORARY Gps/hfp” Radio Sources. Balt. Astron. 2005, 14, 413–416. [Google Scholar]
- Orienti, M.; Dallacasa, D.; Stanghellini, C. Spectral variability in faint high-frequency peakers. Mon. Not. R. Astron. Soc. 2010, 408, 1075–1088. [Google Scholar] [CrossRef]
- Condon, J.J.; Cotton, W.D.; Greisen, E.W.; Yin, Q.F.; Perley, R.A.; Taylor, G.B.; Broderick, J.J. The NRAO VLA Sky Survey. Astron. J. 1998, 115, 1693–1716. [Google Scholar] [CrossRef]
- Intema, H.T.; Jagannathan, P.; Mooley, K.P.; Frail, D.A. The GMRT 150 MHz all-sky radio survey. First alternative data release TGSS ADR1. Astron. Astrophys. 2017, 598, A78. [Google Scholar] [CrossRef]
- Hurley-Walker, N.; Callingham, J.R.; Hancock, P.J.; Franzen, T.M.O.; Hindson, L.; Kapińska, A.D.; Morgan, J.; Offringa, A.R.; Wayth, R.B.; Wu, C.; et al. GaLactic and Extragalactic All-sky Murchison Widefield Array (GLEAM) survey - I. A low-frequency extragalactic catalogue. Mon. Not. R. Astron. Soc. 2017, 464, 1146–1167. [Google Scholar] [CrossRef]
- Rengelink, R.B.; Tang, Y.; de Bruyn, A.G.; Miley, G.K.; Bremer, M.N.; Roettgering, H.J.A.; Bremer, M.A.R. The Westerbork Northern Sky Survey (WENSS), I. A 570 square degree Mini-Survey around the North Ecliptic Pole. Astron. Astrophys. Suppl. Ser. 1997, 124, 259–280. [Google Scholar] [CrossRef]
- Giommi, P.; Brandt, C.H.; Barres de Almeida, U.; Pollock, A.M.T.; Arneodo, F.; Chang, Y.L.; Civitarese, O.; De Angelis, M.; D’Elia, V.; Del Rio Vera, J.; et al. Open Universe for Blazars: A new generation of astronomical products based on 14 years of Swift-XRT data. Astron. Astrophys. 2019, 631, A116. [Google Scholar] [CrossRef]
- Massaro, E.; Maselli, A.; Leto, C.; Marchegiani, P.; Perri, M.; Giommi, P.; Piranomonte, S. The 5th edition of the Roma-BZCAT. A short presentation. Astrophys. Space Sci. 2015, 357, 75. [Google Scholar] [CrossRef]
- Albareti, F.D.; Comparat, J.; Gutiérrez, C.M.; Prada, F.; Pâris, I.; Schlegel, D.; López-Corredoira, M.; Schneider, D.P.; Manchado, A.; García-Hernández, D.A.; et al. Constraint on the time variation of the fine-structure constant with the SDSS-III/BOSS DR12 quasar sample. Mon. Not. R. Astron. Soc. 2015, 452, 4153–4168. [Google Scholar] [CrossRef]
- Pâris, I.; Petitjean, P.; Aubourg, É.; Myers, A.D.; Streblyanska, A.; Lyke, B.W.; Anderson, S.F.; Armengaud, É.; Bautista, J.; Blanton, M.R.; et al. The Sloan Digital Sky Survey Quasar Catalog: Fourteenth data release. Astron. Astrophys. 2018, 613, A51. [Google Scholar] [CrossRef]
- Afanas’ev, V.L.; Dodonov, S.N.; Moiseev, A.V.; Gorshkov, A.G.; Konnikova, V.K.; Mingaliev, M.G. Radio and Optical Spectral Studies of Radio Sources. Astron. Rep. 2003, 47, 458–466. [Google Scholar] [CrossRef]
- Verkhodanov, O.V.; Trushkin, S.A.; Andernach, H.; Chernenkov, V.N. Current status of the CATS database. Bull. Spec. Astrophys. Obs. 2005, 58, 118–129. [Google Scholar]
- Verkhodanov, O.V.; Trushkin, S.A.; Andernach, H.; Chernenkov, V.N. The CATS Service: An Astrophysical Research Tool. Data Sci. J. 2009, 8, 34–40. [Google Scholar] [CrossRef]
- Aller, M.F.; Aller, H.D.; Hughes, P.A. Pearson-Readhead survey sources - Properties of the centimeter-wavelength flux and polarization of a complete radio sample. Astrophys. J. 1992, 399, 16–28. [Google Scholar] [CrossRef]
- Kraus, A.; Krichbaum, T.P.; Wegner, R.; Witzel, A.; Cimò, G.; Quirrenbach, A.; Britzen, S.; Fuhrmann, L.; Lobanov, A.P.; Naundorf, C.E.; et al. Intraday variability in compact extragalactic radio sources. II. Observations with the Effelsberg 100 m radio telescope. Astron. Astrophys. 2003, 401, 161–172. [Google Scholar] [CrossRef]
- Vaughan, S.; Edelson, R.; Warwick, R.S.; Uttley, P. On characterizing the variability properties of X-ray light curves from active galaxies. Mon. Not. R. Astron. Soc. 2003, 345, 1271–1284. [Google Scholar] [CrossRef]
- Tornikoski, M.; Lainela, M.; Valtaoja, E. The High Radio Frequency Spectra and Variability of Southern Flat-Spectrum Radio Sources. Astron. J. 2000, 120, 2278–2283. [Google Scholar] [CrossRef]
- Nieppola, E.; Tornikoski, M.; Lähteenmäki, A.; Valtaoja, E.; Hakala, T.; Hovatta, T.; Kotiranta, M.; Nummila, S.; Ojala, T.; Parviainen, M.; et al. 37 GHz Observations of a Large Sample of BL Lacertae Objects. Astron. J. 2007, 133, 1947–1953. [Google Scholar] [CrossRef]
- Khabibullina, M.; Mikhailov, A.; Sotnikova, Y.; Mufakharov, T.; Mingaliev, M.; Kudryashova, A.; Bursov, N.; Stolyarov, V.; Udovitskij, R. Radio properties of high-redshift galaxies at z ≥ 1. arXiv 2024, arXiv:2402.02283. [Google Scholar] [CrossRef]
- Morgan, J.S.; Macquart, J.P.; Ekers, R.; Chhetri, R.; Tokumaru, M.; Manoharan, P.K.; Tremblay, S.; Bisi, M.M.; Jackson, B.V. Interplanetary Scintillation with the Murchison Widefield Array I: A sub-arcsecond survey over 900 deg2 at 79 and 158 MHz. Mon. Not. R. Astron. Soc. 2018, 473, 2965–2983. [Google Scholar] [CrossRef]
- Narayan, R. The Physics of Pulsar Scintillation. Philos. Trans. R. Soc. Lond. Ser. A 1992, 341, 151–165. [Google Scholar] [CrossRef]
- Kellermann, K.I.; Owen, F.N. Radio galaxies and quasars. In Galactic and Extragalactic Radio Astronomy; Kellermann, K.I., Verschuur, G.L., Eds.; Springer: New York, NY, USA, 1988; pp. 563–602. [Google Scholar]
- Krezinger, M.; Perger, K.; Gabányi, K.É.; Frey, S.; Gurvits, L.I.; Paragi, Z.; An, T.; Zhang, Y.; Cao, H.; Sbarrato, T. Radio-loud Quasars above Redshift 4: Very Long Baseline Interferometry (VLBI) Imaging of an Extended Sample. Astrophys. J. Suppl. Ser. 2022, 260, 49. [Google Scholar] [CrossRef]
- Frey, S.; Paragi, Z.; Fogasy, J.O.; Gurvits, L.I. The first estimate of radio jet proper motion at z > 5. Mon. Not. R. Astron. Soc. 2015, 446, 2921–2928. [Google Scholar] [CrossRef]
- Sbarrato, T.; Ghisellini, G.; Nardini, M.; Tagliaferri, G.; Foschini, L.; Ghirlanda, G.; Tavecchio, F.; Greiner, J.; Rau, A.; Gehrels, N. SDSS J102623.61+254259.5: The second most distant blazar at z = 5.3. Mon. Not. R. Astron. Soc. 2012, 426, L91–L95. [Google Scholar] [CrossRef]
- Zhang, Y.; An, T.; Frey, S. Fast jet proper motion discovered in a blazar at z = 4.72. Sci. Bull. 2020, 65, 525–530. [Google Scholar] [CrossRef] [PubMed]
- Hook, I.M.; McMahon, R.G.; Shaver, P.A.; Snellen, I.A.G. Discovery of radio-loud quasars with redshifts above 4 from the PMN sample. Astron. Astrophys. 2002, 391, 509–517. [Google Scholar] [CrossRef]
- Hook, I.M.; McMahon, R.G. Discovery of radio-loud quasars with z = 4.72 and z = 4.010. Mon. Not. R. Astron. Soc. 1998, 294, L7–L12. [Google Scholar] [CrossRef]
- Celotti, A.; Ghisellini, G. The power of blazar jets. Mon. Not. R. Astron. Soc. 2008, 385, 283–300. [Google Scholar] [CrossRef]
- Zickgraf, F.J.; Voges, W.; Krautter, J.; Thiering, I.; Appenzeller, I.; Mujica, R.; Serrano, A. Identification of a complete sample of northern ROSAT All-Sky Survey X-ray sources. V. Discovery of a z = 4.28 QSO near the RASS source RX J1028.6-0844. Astron. Astrophys. 1997, 323, L21–L24. [Google Scholar]
- Fiedler, R.L.; Waltman, E.B.; Spencer, J.H.; Johnston, K.J.; Angerhofer, P.E.; Florkowski, D.R.; Josties, F.J.; Klepczynski, W.J.; McCarthy, D.D.; Matsakis, D.N. Daily Observations of Compact Extragalactic Radio Sources at 2695 and 8085 MHz, 1979–1985. Astrophys. J. Suppl. Ser. 1987, 65, 319. [Google Scholar] [CrossRef]
- Lazio, T.J.W.; Waltman, E.B.; Ghigo, F.D.; Fiedler, R.L.; Foster, R.S.; Johnston, K.J. A Dual-Frequency, Multiyear Monitoring Program of Compact Radio Sources. Astrophys. J. Suppl. Ser. 2001, 136, 265–392. [Google Scholar] [CrossRef]
- Vagnetti, F.; Turriziani, S.; Trevese, D. Ensemble X-ray variability of active galactic nuclei from serendipitous source catalogues. Astron. Astrophys. 2011, 536, A84. [Google Scholar] [CrossRef]
- Vagnetti, F.; Middei, R.; Antonucci, M.; Paolillo, M.; Serafinelli, R. Ensemble X-ray variability of active galactic nuclei. II. Excess variance and updated structure function. Astron. Astrophys. 2016, 593, A55. [Google Scholar] [CrossRef]
- Arthur, D.; Vassilvitskii, S. k-means++: The advantages of careful seeding. In Proceedings of the Eighteenth Annual ACM-SIAM Symposium on Discrete Algorithms, SODA ’07, New Orleans, LA, USA, 7–9 January 2007; pp. 1027–1035. [Google Scholar]
- Kohonen, T. Self-Organizing Maps; Springer: Berlin, Germany, 2001. [Google Scholar]
- Torniainen, I.; Tornikoski, M.; Teräsranta, H.; Aller, M.F.; Aller, H.D. Long term variability of gigahertz-peaked spectrum sources and candidates. Astron. Astrophys. 2005, 435, 839–856. [Google Scholar] [CrossRef]
- Torniainen, I.; Tornikoski, M.; Lähteenmäki, A.; Aller, M.F.; Aller, H.D.; Mingaliev, M.G. Radio continuum spectra of gigahertz-peaked spectrum galaxies. Astron. Astrophys. 2007, 469, 451–457. [Google Scholar] [CrossRef]
- Snellen, I.A.G.; Schilizzi, R.T.; de Bruyn, A.G.; Miley, G.K.; Rengelink, R.B.; Roettgering, H.J.; Bremer, M.N. A new sample of faint Gigahertz Peaked Spectrum radio sources. Astron. Astrophys. Suppl. Ser. 1998, 131, 435–449. [Google Scholar] [CrossRef]
- Bicknell, G.V.; Dopita, M.A.; O’Dea, C.P. Unification of the Radio and Optical Properties of Gigahertz Peak Spectrum and Compact Steep-Spectrum Radio Sources. Astrophys. J. 1997, 485, 112–124. [Google Scholar] [CrossRef]
- Fanti, C.; Fanti, R.; Dallacasa, D.; Schilizzi, R.T.; Spencer, R.E.; Stanghellini, C. Are compact steep-spectrum sources young? Astron. Astrophys. 1995, 302, 317. [Google Scholar]
- van Breugel, W.; Miley, G.; Heckman, T. Studies of kiloparsec-scale, steep-spectrum radio cores. I. VLA maps. Astrophys. J. 1984, 89, 5–22. [Google Scholar] [CrossRef]
- Bai, J.M.; Lee, M.G. GPS Quasars as Special Blazars. J. Korean Astron. Soc. 2005, 38, 125–128. [Google Scholar] [CrossRef]
- Labiano, A.; Vermeulen, R.C.; Barthel, P.D.; O’Dea, C.P.; Gallimore, J.F.; Baum, S.; de Vries, W. H I absorption in <ASTROBJ>3C 49</ASTROBJ> and <ASTROBJ>3C 268.3</ASTROBJ>. Probing the environment of compact steep spectrum and GHz peaked spectrum sources. Astron. Astrophys. 2006, 447, 481–487. [Google Scholar] [CrossRef]
- Orienti, M.; Dallacasa, D.; Stanghellini, C. Constraining the spectral age of very asymmetric CSOs. Evidence of the influence of the ambient medium. Astron. Astrophys. 2007, 461, 923–929. [Google Scholar] [CrossRef]
- Dicken, D.; Tadhunter, C.; Axon, D.; Morganti, R.; Robinson, A.; Kouwenhoven, M.B.N.; Spoon, H.; Kharb, P.; Inskip, K.J.; Holt, J.; et al. Spitzer Mid-IR Spectroscopy of Powerful 2 Jy and 3CRR Radio Galaxies. I. Evidence against a Strong Starburst-AGN Connection in Radio-loud AGN. Astrophys. J. 2012, 745, 172. [Google Scholar] [CrossRef]
- Baum, S.A.; O’Dea, C.P.; Murphy, D.W.; de Bruyn, A.G. 0108+388 - A compact double source with surprising properties. Astron. Astrophys. 1990, 232, 19–26. [Google Scholar]
- Reynolds, C.S.; Begelman, M.C. Intermittant Radio Galaxies and Source Statistics. Astrophys. J. 1997, 487, L135–L138. [Google Scholar] [CrossRef]
- Stanghellini, C.; O’Dea, C.P.; Dallacasa, D.; Cassaro, P.; Baum, S.A.; Fanti, R.; Fanti, C. Extended emission around GPS radio sources. Astron. Astrophys. 2005, 443, 891–902. [Google Scholar] [CrossRef]
- Readhead, A.C.S.; Ravi, V.; Blandford, R.D.; Sullivan, A.G.; Somalwar, J.; Liodakis, I.; Lister, M.L.; Taylor, G.B.; Wilkinson, P.N.; Globus, N.; et al. The Evolution of Compact Symmetric Objects—A Possible Connection with Tidal Disruption Events. arXiv 2023, arXiv:2303.11361. [Google Scholar] [CrossRef]
- Torniainen, I. Multifrequency Studies of Gigahertz-Peaked Spectrum Sources and Candidates. Ph.D. Thesis, Helsinki University of Technology, Espoo, Finland, 2008. [Google Scholar]
- O’Dea, C.P.; Baum, S.A.; Morris, G.B. CCD observations of gigahertz-peaked-spectrum radio sources. Astron. Astrophys. Suppl. Ser. 1990, 82, 261–272. [Google Scholar]
- de Vries, W.H.; Barthel, P.D.; O’Dea, C.P. Radio spectra of Gigahertz Peaked Spectrum radio sources. Astron. Astrophys. 1997, 321, 105–110. [Google Scholar]
- Edwards, P.G.; Tingay, S.J. New candidate GHz peaked spectrum and compact steep spectrum sources. Astron. Astrophys. 2004, 424, 91–106. [Google Scholar] [CrossRef]
- Dallacasa, D.; Stanghellini, C.; Centonza, M.; Furnari, G. High frequency peakers. New Astron. Rev. 2002, 46, 299–302. [Google Scholar] [CrossRef]
- Orienti, M. High frequency peakers. Astron. Nachrichten 2009, 330, 167. [Google Scholar] [CrossRef]
- Orienti, M.; Dallacasa, D.; Stanghellini, C. Constraining the nature of high frequency peakers. The spectral variability. Astron. Astrophys. 2007, 475, 813–820. [Google Scholar] [CrossRef]
- Orienti, M.; Dallacasa, D. Constraining the nature of high frequency peakers. II. Polarization properties. Astron. Astrophys. 2008, 479, 409–415. [Google Scholar] [CrossRef]
- Paragi, Z.; Frey, S.; Gurvits, L.I.; Kellermann, K.I.; Schilizzi, R.T.; McMahon, R.G.; Hook, I.M.; Pauliny-Toth, I.I.K. VLBI imaging of extremely high redshift quasars at 5 GHz. Astron. Astrophys. 1999, 344, 51–60. [Google Scholar]
- Zhang, Y.; An, T.; Frey, S.; Gabányi, K.É.; Sotnikova, Y. Radio Jet Proper-motion Analysis of Nine Distant Quasars above Redshift 3.5. Astrophys. J. 2022, 937, 19. [Google Scholar] [CrossRef]
- Plavin, A.V.; Kovalev, Y.Y.; Pushkarev, A.B. Direction of Parsec-scale Jets for 9220 Active Galactic Nuclei. Astrophys. J. Suppl. Ser. 2022, 260, 4. [Google Scholar] [CrossRef]
- Gobeille, D.B.; Wardle, J.F.C.; Cheung, C.C. VLA Observations of a Complete Sample of Radio Loud Quasars between redshifts 2.5 and 5.28: I. high-redshift sample summary and the radio images. arXiv 2014, arXiv:1406.4797. [Google Scholar] [CrossRef]
- An, T.; Wang, A.; Zhang, Y.; Aditya, J.N.H.S.; Hong, X.; Cui, L. A compact symmetric radio source born at one-tenth the current age of the Universe. Mon. Not. R. Astron. Soc. 2022, 511, 4572–4581. [Google Scholar] [CrossRef]
- Garrett, M.A.; Muxlow, T.W.B.; Patnaik, A.R.; Walsh, D. MERLIN observations of the gravitational lens system 2016+112. Mon. Not. R. Astron. Soc. 1994, 269, 902–906. [Google Scholar] [CrossRef]
- Cheng, X.; An, T.; Wang, A.; Jaiswal, S. High-Frequency and High-Resolution VLBI Observations of GHz Peaked Spectrum Objects. Galaxies 2023, 11, 42. [Google Scholar] [CrossRef]
- Orienti, M.; Dallacasa, D. Physical properties of young radio sources: VLBA observations of high-frequency peaking radio sources. Mon. Not. R. Astron. Soc. 2014, 438, 463–475. [Google Scholar] [CrossRef]
- Callingham, J.R.; Ekers, R.D.; Gaensler, B.M.; Line, J.L.B.; Hurley-Walker, N.; Sadler, E.M.; Tingay, S.J.; Hancock, P.J.; Bell, M.E.; Dwarakanath, K.S.; et al. Extragalactic Peaked-spectrum Radio Sources at Low Frequencies. Astrophys. J. 2017, 836, 174. [Google Scholar] [CrossRef]
- O’Dea, C.P.; Baum, S.A.; Stanghellini, C.; Morris, G.B.; Patnaik, A.R.; Gopal-Krishna. Multifrequency VLA observations of GHz-peaked-spectrum radio cores. Astron. Astrophys. Suppl. Ser. 1990, 84, 549–562. [Google Scholar]
- O’Dea, C.P.; Dent, W.A.; Kinzel, W.M.; Balonek, T.J. Multifrequency radio observations of the variable quasars 0133+476, 0235+164, 1749+096, and 2131-021. Astrophys. J. 1986, 92, 1262–1271. [Google Scholar] [CrossRef]
- Ade, P.A.R.; Aghanim, N.; Angelakis, E.; Arnaud, M.; Ashdown, M.; Aumont, J.; Baccigalupi, C.; Balbi, A.; Banday, A.J.; Barreiro, R.B.; et al. Planck early results. XIV. ERCSC validation and extreme radio sources. Astron. Astrophys. 2011, 536, A14. [Google Scholar] [CrossRef]
- O’Dea, C.P. Do quasars with radio spectra peaked at gigahertz frequencies have extremely high redshifts? Mon. Not. R. Astron. Soc. 1990, 245, 20P–23P. [Google Scholar]
- Marecki, A.; Falcke, H.; Niezgoda, J.; Garrington, S.T.; Patnaik, A.R. Gigahertz Peaked Spectrum sources from the Jodrell Bank-VLA Astrometric Survey. I. Sources in the region 35degr <= delta <= 75degr. Astron. Astrophys. Suppl. Ser. 1999, 135, 273–289. [Google Scholar]
- Dallacasa, D.; Stanghellini, C.; Centonza, M.; Fanti, R. High frequency peakers. I. The bright sample. Astron. Astrophys. 2000, 363, 887–900. [Google Scholar]
- Tinti, S.; Dallacasa, D.; de Zotti, G.; Celotti, A.; Stanghellini, C. High Frequency Peakers: Young radio sources or flaring blazars? Astron. Astrophys. 2005, 432, 31–43. [Google Scholar] [CrossRef]
- Mufakharov, T.; Mikhailov, A.; Sotnikova, Y.; Mingaliev, M.; Stolyarov, V.; Erkenov, A.; Nizhelskij, N.; Tsybulev, P. Flux-density measurements of the high-redshift blazar PSO J047.4478+27.2992 at 4.7 and 8.2 GHz with RATAN-600. Mon. Not. R. Astron. Soc. 2021, 503, 4662–4666. [Google Scholar] [CrossRef]
- Healey, S.E.; Romani, R.W.; Taylor, G.B.; Sadler, E.M.; Ricci, R.; Murphy, T.; Ulvestad, J.S.; Winn, J.N. CRATES: An All-Sky Survey of Flat-Spectrum Radio Sources. Astrophys. J. Suppl. Ser. 2007, 171, 61–71. [Google Scholar] [CrossRef]
- Kimball, A.E.; Ivezić, Ž.; Wiita, P.J.; Schneider, D.P. Correlations of Quasar Optical Spectra with Radio Morphology. Astron. J. 2011, 141, 182. [Google Scholar] [CrossRef]
- Gordon, D.; Jacobs, C.; Beasley, A.; Peck, A.; Gaume, R.; Charlot, P.; Fey, A.; Ma, C.; Titov, O.; Boboltz, D. Second Epoch VLBA Calibrator Survey Observations: VCS-II. Astron. J. 2016, 151, 154. [Google Scholar] [CrossRef] [PubMed]
- D’Abrusco, R.; Massaro, F.; Paggi, A.; Smith, H.A.; Masetti, N.; Landoni, M.; Tosti, G. The WISE Blazar-like Radio-loud Sources: An All-sky Catalog of Candidate γ-ray Blazars. Astrophys. J. Suppl. Ser. 2014, 215, 14. [Google Scholar] [CrossRef]
- Petrov, L.; Kovalev, Y.Y.; Fomalont, E.B.; Gordon, D. The Fourth VLBA Calibrator Survey: VCS4. Astron. J. 2006, 131, 1872–1879. [Google Scholar] [CrossRef]
- Amirkhanyan, V.R.; Mikhailov, V.P. The radio source Z0254+43: z = 4.067. Astrophysics 2006, 49, 184–193. [Google Scholar] [CrossRef]
- Patnaik, A.R.; Browne, I.W.A.; Wilkinson, P.N.; Wrobel, J.M. Interferometer phase calibration sources - I. The region 35deg <= Dec. <= 75deg. Mon. Not. R. Astron. Soc. 1992, 254, 655. [Google Scholar] [CrossRef]
- Lovell, J.E.J.; Rickett, B.J.; Macquart, J.P.; Jauncey, D.L.; Bignall, H.E.; Kedziora-Chudczer, L.; Ojha, R.; Pursimo, T.; Dutka, M.; Senkbeil, C.; et al. The Micro-Arcsecond Scintillation-Induced Variability (MASIV) Survey. II. The First Four Epochs. Astrophys. J. 2008, 689, 108–126. [Google Scholar] [CrossRef]
- Chhetri, R.; Morgan, J.; Ekers, R.D.; Macquart, J.P.; Sadler, E.M.; Giroletti, M.; Callingham, J.R.; Tingay, S.J. Interplanetary scintillation studies with the Murchison Widefield Array-II. Properties of sub-arcsecond compact sources at low radio frequencies. Mon. Not. R. Astron. Soc. 2018, 474, 4937–4955. [Google Scholar] [CrossRef]
- Ross, K.; Callingham, J.R.; Hurley-Walker, N.; Seymour, N.; Hancock, P.; Franzen, T.M.O.; Morgan, J.; White, S.V.; Bell, M.E.; Patil, P. Spectral variability of radio sources at low frequencies. Mon. Not. R. Astron. Soc. 2021, 501, 6139–6155. [Google Scholar] [CrossRef]
- Nyland, K.; Dong, D.Z.; Patil, P.; Lacy, M.; van Velzen, S.; Kimball, A.E.; Sarbadhicary, S.K.; Hallinan, G.; Baldassare, V.; Clarke, T.E.; et al. Quasars That Have Transitioned from Radio-quiet to Radio-loud on Decadal Timescales Revealed by VLASS and FIRST. Astrophys. J. 2020, 905, 74. [Google Scholar] [CrossRef]
- Chih Hsu, P.; Koay, J.Y.; Matsushita, S.; Hwang, C.Y.; Hovatta, T.; Kiehlmann, S.; Readhead, A.; Max-Moerbeck, W.; Reeves, R. Milliarcsecond Core Size Dependence of the Radio Variability of Blazars. arXiv 2023, arXiv:2308.09626. [Google Scholar] [CrossRef]
- Kiehlmann, S.; Readhead, A.C.S.; O’Neill, S.; Wilkinson, P.N.; Lister, M.L.; Liodakis, I.; Bruzewski, S.; Pearson, T.J.; Sheldahl, E.; Siemiginowska, A.; et al. Compact Symmetric Objects: A Distinct Population of Jetted Active Galaxies. arXiv 2023, arXiv:2303.11359. [Google Scholar] [CrossRef]
- Kiehlmann, S.; Lister, M.L.; Readhead, A.C.S.; Liodakis, I.; O’Neill, S.; Pearson, T.J.; Sheldahl, E.; Siemiginowska, A.; Tassis, K.; Taylor, G.B.; et al. Towards a Comprehensive Catalog of Bona Fide Compact Symmetric Objects. arXiv 2023, arXiv:2303.11357. [Google Scholar] [CrossRef]
- Perger, K.; Frey, S.; Schwartz, D.A.; Gabányi, K.É.; Gurvits, L.I.; Paragi, Z. Multi-scale Radio and X-Ray Structure of the High-redshift Quasar PMN J0909+0354. Astrophys. J. 2021, 915, 98. [Google Scholar] [CrossRef]
- Pedregosa, F.; Varoquaux, G.; Gramfort, A.; Michel, V.; Thirion, B.; Grisel, O.; Blondel, M.; Prettenhofer, P.; Weiss, R.; Dubourg, V.; et al. Scikit-learn: Machine Learning in Python. J. Mach. Learn. Res. 2011, 12, 2825–2830. [Google Scholar]
- Bengfort, B.; Bilbro, R. Yellowbrick: Visualizing the Scikit-Learn Model Selection Process. J. Open Source Softw. 2019, 4, 1075. [Google Scholar] [CrossRef]
- van der Maaten, L.; Hinton, G. Visualizing Data using t-SNE. J. Mach. Learn. Res. 2008, 9, 2579–2605. [Google Scholar]
- Wittek, P.; Gao, S.C.; Lim, I.S.; Zhao, L. somoclu: An Efficient Parallel Library for Self-Organizing Maps. J. Stat. Softw. 2017, 78, 1–21. [Google Scholar] [CrossRef]
- Gorshkov, A.G.; Konnikova, V.K.; Mingaliev, M.G. Long-term variability of a complete sample of flat-spectrum radio sources at declinations 10°–12°30’ (J2000). Astron. Rep. 2012, 56, 345–362. [Google Scholar] [CrossRef]
- Drinkwater, M.J.; Webster, R.L.; Francis, P.J.; Condon, J.J.; Ellison, S.L.; Jauncey, D.L.; Lovell, J.; Peterson, B.A.; Savage, A. The Parkes Half-Jansky Flat-Spectrum Sample. Mon. Not. R. Astron. Soc. 1997, 284, 85–125. [Google Scholar] [CrossRef]
- Bennett, C.L.; Lawrence, C.R.; Burke, B.F.; Hewitt, J.N.; Mahoney, J. The MIT–Green Bank (MG) 5 GHz Survey. Astrophys. J. Suppl. Ser. 1986, 61, 1. [Google Scholar] [CrossRef]
- Torniainen, I.; Tornikoski, M.; Turunen, M.; Lainela, M.; Lähteenmäki, A.; Hovatta, T.; Mingaliev, M.G.; Aller, M.F.; Aller, H.D. Cluster analyses of gigahertz-peaked spectrum sources with self-organising maps. Astron. Astrophys. 2008, 482, 483–498. [Google Scholar] [CrossRef]
- Jeong, Y.; Sohn, B.W.; Chung, A.; Park, S.; Park, P. Identifying High Frequency Peakers using the Korean VLBI Network. Astron. Nachrichten 2016, 337, 130. [Google Scholar] [CrossRef]
- Wright, A.E.; Griffith, M.R.; Hunt, A.J.; Troup, E.; Burke, B.F.; Ekers, R.D. The Parkes-MIT-NRAO (PMN) Surveys. VIII. Source Catalog for the Zenith Survey (−37.0 degrees < delta < −29.0 degrees). Astrophys. J. Suppl. Ser. 1996, 103, 145. [Google Scholar] [CrossRef]
- Brinkmann, W.; Siebert, J.; Reich, W.; Fuerst, E.; Reich, P.; Voges, W.; Truemper, J.; Wielebinski, R. The ROSAT AGN content of the 87GB 5 GHz survey: Bulk properties of previously optically identified sources. Astron. Astrophys. Suppl. Ser. 1995, 109, 147–170. [Google Scholar]
- Muñoz, J.A.; Falco, E.E.; Kochanek, C.S.; Lehár, J.; Mediavilla, E. The Redshift Distribution of Flat-Spectrum Radio Sources. Astrophys. J. 2003, 594, 684–694. [Google Scholar] [CrossRef]
- Snios, B.; Schwartz, D.A.; Siemiginowska, A.; Sobolewska, M.; Birkinshaw, M.; Cheung, C.C.; Gobeille, D.B.; Marshall, H.L.; Migliori, G.; Wardle, J.F.C.; et al. Discovery of Candidate X-Ray Jets in High-redshift Quasars. Astrophys. J. 2021, 914, 130. [Google Scholar] [CrossRef]
- Riley, J.M.W.; Waldram, E.M.; Riley, J.M. The 7C survey of radio sources at 151 MHz: 33 regions in the range 7h < RA < 17h, 30° < Dec. <58°. Mon. Not. R. Astron. Soc. 1999, 306, 31–34. [Google Scholar] [CrossRef]
- Liu, F.K.; Zhang, Y.H. A new list of extra-galactic radio jets. Astron. Astrophys. 2002, 381, 757–760. [Google Scholar] [CrossRef]
- Yang, J.; Gurvits, L.; Lobanov, A.; Frey, S.; Hong, X. Dual frequency VSOP imaging of a high redshift quasar PKS 1402+044. In Proceedings of Science, Proceedings of the 8th European VLBI Network Symposium, Torun, Poland, 26–29 September 2006; Baan, W., Bachiller, R., Booth, R., Charlot, P., Diamond, P., Garrett, M., Hong, X., Jonas, J., Kus, A., Mantovani, F., et al., Eds.; Proceedings of Science: Milan, Italy, 2006; p. 86. [Google Scholar]
- Dodson, R.; Fomalont, E.B.; Wiik, K.; Horiuchi, S.; Hirabayashi, H.; Edwards, P.G.; Murata, Y.; Asaki, Y.; Moellenbrock, G.A.; Scott, W.K.; et al. The VSOP 5 GHz Active Galactic Nucleus Survey. V. Imaging Results for the Remaining 140 Sources. Astrophys. J. Suppl. Ser. 2008, 175, 314–355. [Google Scholar] [CrossRef]
- Lawrence, C.R.; Schneider, D.P.; Schmidt, M.; Bennett, C.L.; Hewitt, J.N.; Burke, B.F.; Turner, E.L.; Gunn, J.E. Discovery of a New Gravitational Lens System. Science 1984, 223, 46–49. [Google Scholar] [CrossRef] [PubMed]
- More, A.; McKean, J.P.; More, S.; Porcas, R.W.; Koopmans, L.V.E.; Garrett, M.A. The role of luminous substructure in the gravitational lens system MG 2016+112. Mon. Not. R. Astron. Soc. 2009, 394, 174–190. [Google Scholar] [CrossRef]
- Wu, J.; Brandt, W.N.; Miller, B.P.; Garmire, G.P.; Schneider, D.P.; Vignali, C. An X-Ray and Multiwavelength Survey of Highly Radio-loud Quasars at z > 4: Jet-linked Emission in the Brightest Radio Beacons of the Early Universe. Astrophys. J. 2013, 763, 109. [Google Scholar] [CrossRef]
- Zhu, S.F.; Brandt, W.N.; Wu, J.; Garmire, G.P.; Miller, B.P. Investigating the X-ray enhancements of highly radio-loud quasars at z > 4. Mon. Not. R. Astron. Soc. 2019, 482, 2016–2038. [Google Scholar] [CrossRef]
- Lagattuta, D.J.; Auger, M.W.; Fassnacht, C.D. Adaptive Optics Observations of B0128+437: A Low-mass, High-redshift Gravitational Lens. Astrophys. J. Lett. 2010, 716, L185–L189. [Google Scholar] [CrossRef]
- Phillips, P.M.; Norbury, M.A.; Koopmans, L.V.E.; Browne, I.W.A.; Jackson, N.J.; Wilkinson, P.N.; Biggs, A.D.; Blandford, R.D.; de Bruyn, A.G.; Fassnacht, C.D.; et al. A new quadruple gravitational lens system: CLASS B0128+437. Mon. Not. R. Astron. Soc. 2000, 319, L7–L11. [Google Scholar] [CrossRef]
- Tonry, J.L.; Kochanek, C.S. Redshifts of the Gravitational Lenses MG 0414+0534 and MG 0751+2716. Astron. J. 1999, 117, 2034–2038. [Google Scholar] [CrossRef]
- Lehar, J.; Burke, B.F.; Conner, S.R.; Falco, E.E.; Fletcher, A.B.; Irwin, M.; McMahon, R.G.; Muslow, T.W.B.; Schechter, P.L. The Gravitationally Lensed Radio Source MG 0751+2716. Astron. J. 1997, 114, 48–53. [Google Scholar] [CrossRef]
- Rusin, D.; Kochanek, C.S.; Norbury, M.; Falco, E.E.; Impey, C.D.; Lehár, J.; McLeod, B.A.; Rix, H.W.; Keeton, C.R.; Muñoz, J.A.; et al. B1359+154: A Six-Image Lens Produced by a z ≃ 1 Compact Group of Galaxies. Astrophys. J. 2001, 557, 594–604. [Google Scholar] [CrossRef]
- Tonry, J.L. Redshifts of the Gravitational Lenses B1422+231 and PG 1115+080. Astron. J. 1998, 115, 1. [Google Scholar] [CrossRef]
- Patnaik, A.R.; Browne, I.W.A.; Walsh, D.; Chaffee, F.H.; Foltz, C.B. B 1422+231: A new gravitationally lensed system at Z = 3.62. Mon. Not. R. Astron. Soc. 1992, 259, 1P–4P. [Google Scholar] [CrossRef]
- Mao, S.; Schneider, P. Evidence for substructure in lens galaxies? Mon. Not. R. Astron. Soc. 1998, 295, 587–594. [Google Scholar] [CrossRef]
- Ofek, E.O.; Maoz, D.; Rix, H.W.; Kochanek, C.S.; Falco, E.E. Spectroscopic Redshifts for Seven Lens Galaxies. Astrophys. J. 2006, 641, 70–77. [Google Scholar] [CrossRef]
- Winn, J.N.; Morgan, N.D.; Hewitt, J.N.; Kochanek, C.S.; Lovell, J.E.J.; Patnaik, A.R.; Pindor, B.; Schechter, P.L.; Schommer, R.A. PMN J1632-0033: A New Gravitationally Lensed Quasar. Astron. J. 2002, 123, 10–19. [Google Scholar] [CrossRef]
- Winn, J.N.; Rusin, D.; Kochanek, C.S. The central image of a gravitationally lensed quasar. Nature 2004, 427, 613–615. [Google Scholar] [CrossRef]










| FWHMRA | FWHMDec | |||
|---|---|---|---|---|
| (GHz) | (GHz) | (mJy/beam) | (arcmin) | (arcmin) |
| 50 | ||||
| 15 | ||||
| 10 | ||||
| 8 | ||||
| 40 | ||||
| 200 |
| Frequency | N | Nobs | ||
|---|---|---|---|---|
| (GHz) | (yrs) | (yrs) | ||
| 4.7 | 101 | 16 | 35 | 8 |
| 22.3 | 52 | 9 | 14 | 3 |
| N | Median | Mean | Min | Max | |
|---|---|---|---|---|---|
| 94 | 0.18 | 0.20 ± 0.09 | 0.01 | 0.53 | |
| 87 | 0.23 | 0.25 ± 0.15 | 0.01 | 0.86 | |
| 80 | 0.20 | 0.21± 0.09 | 0.03 | 0.59 | |
| 101 | 0.17 | 0.20 ± 0.11 | 0.05 | 0.62 | |
| 101 | 0.27 | 0.28 ± 0.15 | 0.02 | 0.71 | |
| 90 | 0.17 | 0.20 ± 0.12 | 0.01 | 0.66 | |
| 100 | 0.17 | 0.21 ± 0.12 | 0.03 | 1.00 | |
| 95 | 0.23 | 0.27 ± 0.17 | 0.02 | 0.96 | |
| 84 | 0.17 | 0.21 ± 0.14 | 0.04 | 0.97 | |
| 92 | 0.17 | 0.18 ± 0.09 | 0.01 | 0.57 | |
| 77 | 0.18 | 0.21 ± 0.14 | 0.02 | 0.66 | |
| 66 | 0.14 | 0.17 ± 0.11 | 0.05 | 0.63 | |
| 55 | 0.28 | 0.30 ± 0.13 | 0.09 | 0.68 | |
| 51 | 0.36 | 0.35 ± 0.18 | 0.04 | 0.68 | |
| 45 | 0.31 | 0.31 ± 0.15 | 0.05 | 0.72 |
| Frequency | Source’s Size | m (5 GHz) | t (5 GHz) | m (15 GHz) | t (15 GHz) | N, | N, |
|---|---|---|---|---|---|---|---|
| (GHz) | (mas) | (%) | days | (%) | days | ||
| 2.3 | 0.41 | 2.1 | 8.6 | 8.5 | 17.2 | 4/1 | 10/4 |
| 4.7 | 0.20 | 1.2 | 4.2 | 4.7 | 8.4 | 6/3 | 4/14 |
| 8.2 | 0.12 | 0.7 | 2.4 | 2.9 | 4.8 | 6/3 | 6/10 |
| 11.2 | 0.08 | 0.6 | 1.8 | 2.3 | 3.5 | 11/7 | 9/9 |
| 22.3 | 0.04 | 0.3 | 0.9 | 1.3 | 1.8 | 4/1 | 4/1 |
| N2.3 | N4.7 | N8.2 | N11.2 | N22.3 | ||||||
|---|---|---|---|---|---|---|---|---|---|---|
| peaked | 41 | 0.19 ± 0.08 | 43 | 0.19 ± 0.12 | 41 | 0.18 ± 0.10 | 31 | 0.18 ± 0.09 | 23 | 0.28 ± 0.13 |
| flat | 20 | 0.22 ± 0.09 | 22 | 0.20 ± 0.11 | 22 | 0.21 ± 0.19 | 20 | 0.14 ± 0.09 | 10 | 0.38 ± 0.17 |
| steep | 9 | 0.20 ± 0.04 | 10 | 0.21 ± 0.12 | 1 | 0.50 | 4 | 0.35 ± 0.19 | 7 | 0.17 ± 0.13 |
| inverted | 5 | 0.32 ± 0.17 | 8 | 0.20 ± 0.13 | 8 | 0.28 ± 0.05 | 6 | 0.11 ± 0.04 | 6 | 0.24 ± 0.12 |
| upturn | 1 | 0.46 | 2 | 0.24 ± 0.11 | 2 | 0.38 ± 0.38 | 1 | 0.17 | 2 | 0.29 ± 0.09 |
| complex | 4 | 0.16 ± 0.03 | 5 | 0.18 ± 0.08 | 4 | 0.21 ± 0.09 | 4 | 0.17 ± 0.09 | 3 | 0.32 ± 0.17 |
| N2.3 | N4.7 | N8.2 | N11.2 | N22.3 | ||||||
| peaked | 43 | 0.26 ± 0.14 | 47 | 0.28 ± 0.16 | 44 | 0.28 ± 0.17 | 38 | 0.23 ± 0.16 | 25 | 0.37 ± 0.16 |
| flat | 20 | 0.27 ± 0.18 | 24 | 0.30 ± 0.16 | 24 | 0.25 ± 0.19 | 21 | 0.18 ± 0.11 | 12 | 0.34 ± 0.21 |
| steep | 12 | 0.20 ± 0.14 | 15 | 0.23 ± 0.14 | 12 | 0.17 ± 0.14 | 6 | 0.27 ± 0.15 | 1 | 0.61 |
| inverted | 7 | 0.26 ± 0.16 | 8 | 0.26 ± 0.13 | 8 | 0.36 ± 0.08 | 6 | 0.18 ± 0.13 | 8 | 0.23 ± 0.17 |
| upturn | 1 | 0.53 | 2 | 0.35 ± 0.17 | 2 | 0.38 ± 0.35 | 2 | 0.14 ± 0.13 | 2 | 0.46 ± 0.15 |
| complex | 4 | 0.21 ± 0.05 | 5 | 0.32 ± 0.13 | 5 | 0.29 ± 0.11 | 4 | 0.27 ± 0.12 | 3 | 0.40 ± 0.12 |
| NVSS Name | z | FWHM | /N4.7 | Morph. | Blazar | Spectral | ||
|---|---|---|---|---|---|---|---|---|
| (GHz) | dex | Type | Type | |||||
| 1 | 2 | 3 | 4 | 5 | 6 | 7 | 8 | 9 |
| 000657+141546 | 3.20 | 1.5 | 7.7 | 40/14 | 0.10 | c+j [98] | GPS | |
| 004858+064005 | 3.58 | 3.9 | 1.5 | 36/25 | 0.25 | cso [99] | GPS | |
| 010012−270851 * | 3.52 | 1.4 | 1.7 | 31/10 | 0.17 | c+j [100] | GPS | |
| 012100−280623 | 3.11 | 0.3 | 3.0 | 30/19 | 0.43 | c+j [100] | FSRQ | MPS |
| 020346+113445 a | 3.63 | 3.7 | 1.5 | 42/38 | 0.33 | c+j [100] | FSRQ | GPS |
| 021435+015703 * | 3.28 | 0.5 | 1.9 | 46/19 | 0.13 | c+j [100] | MPS | |
| 023220+231756 a | 3.42 | 0.5 | 2.0 | 33/13 | 0.29 | c+j [100] | MPS | |
| 024611+182330 | 3.59 | 1.8 | 1.8 | 34/44 | 0.29 | c+j [98] | FSRQ | GPS |
| 052506−334304 | 4.41 | 0.9 | 1.6 | 30/11 | 0.71 | c+j [62] | Uncert. | MPS |
| 053954−283956 a | 3.10 | 7.0 | 1.8 | 43/66 | 0.59 | c+j [100] | FSRQ | HFP |
| 062419+385648 | 3.46 | 0.3 | 2.5 | 46/68 | 0.30 | c+j [100] | FSRQ | MPS |
| 064632+445116 | 3.39 | 17.3 | 1.5 | 47/187 | 0.67 | c+j [100] | FSRQ | HFP |
| 073357+045614 | 3.10 | 5.8 | 1.8 | 40/35 | 0.37 | c+j [100] | FSRQ | HFP |
| 075141+271631 | 3.20 | 0.2 | 1.5 | 42/13 | 0.04 | MPS | ||
| 075303+423130 | 3.59 | 0.9 | 1.5 | 34/23 | 0.12 | cso [99] | MPS | |
| 083910+200208 * | 3.30 | 1.8 | 2.0 | 35/16 | 0.29 | c+j [100] | GPS | |
| 090549+041010 * | 3.15 | 0.5 | 1.6 | 36/12 | 0.11 | c+j [98] | MPS | |
| 093337+284532 * | 3.42 | 1.7 | 1.5 | 34/17 | 0.25 | E [101] b | GPS | |
| 102623+254259 | 5.28 | 0.3 | 1.7 | 25/13 | 0.30 | c+j [62] | FSRQ | MPS |
| 104523+314232 * | 3.23 | 0.9 | 2.3 | 34/10 | 0.11 | c [101] b | MPS | |
| 123055−113910 | 3.52 | 1.1 | 2.1 | 43/51 | 0.47 | c+j [99] | FSRQ | GPS |
| 124209+372005 | 3.81 | 1.7 | 2.1 | 46/24 | 0.28 | T [101] b | GPS | |
| 130121+190421 * | 3.10 | 1.7 | 1.9 | 35/13 | 0.05 | c+j [100] | GPS | |
| 134022+375443 | 3.11 | 2.7 | 1.4 | 36/12 | 0.30 | c+j [98] | GPS | |
| 135406−020603 | 3.70 | 2.6 | 1.8 | 38/60 | 0.24 | c+j [100] | FSRQ | GPS |
| 135706−174402 a | 3.14 | 1.8 | 1.7 | 38/19 | 0.28 | c+j [100] | FSRQ | GPS |
| 140135+151325 * | 3.23 | 1.3 | 2.0 | 33/11 | 0.36 | GPS | ||
| 140501+041536 a | 3.20 | 8.3 | 2.1 | 43/26 | 0.25 | c+j [101] b | FSRQ | HFP |
| 141821+425020 * | 3.45 | 0.9 | 1.5 | 34/4 | 0.02 | MPS | ||
| 142438+225600 | 3.62 | 3.3 | 1.5 | 42/29 | 0.14 | c+j [100] | FSRQ | GPS |
| 144516+095835 | 3.55 | 1.3 | 1.6 | 41/76 | 0.15 | c+j [99] | FSRQ | GPS |
| 150328+041949 | 3.66 | 5.6 | 1.5 | 39/8 | 0.10 | c+ext [98] | HFP | |
| 152117+175601 * | 3.06 | 3.5 | 1.4 | 40/13 | 0.32 | c [101] b | GPS | |
| 153815+001905 | 3.49 | 2.9 | 1.6 | 43/20 | 0.50 | c+j [100] | GPS | |
| 155930+030447 | 3.89 | 4.5 | 1.7 | 37/63 | 0.41 | T [101] b | FSRQ | GPS |
| 160608+312447 | 4.56 | 2.5 | 1.5 | 37/26 | 0.28 | cso [102] | GPS | |
| 161637+045932 | 3.21 | 4.4 | 1.4 | 43/64 | 0.26 | c+j [101] b | FSRQ | GPS |
| 165844−073918 a | 3.74 | 5.9 | 1.5 | 37/12 | 0.27 | c+j [100] | FSRQ | HFP |
| 184057+390046 | 3.1 | 4.5 | 1.8 | 36/23 | 0.52 | c+j [100] | FSRQ | GPS |
| 200324−325144 | 3.77 | 5.6 | 1.4 | 43/39 | 0.32 | c+j [100] | FSRQ | HFP |
| 201918+112712 * | 3.27 | 0.5 | 1.8 | 41/12 | 0.06 | c+ext [103] | MPS | |
| 204257−222326 | 3.63 | 3.5 | 2.1 | 30/4 | 0.27 | c+j [100] | FSRQ | GPS |
| 205051+312727 | 3.18 | 1.9 | 2.9 | 35/15 | 0.57 | c+j [100] | FSRQ | GPS |
| 212912−153840 | 3.26 | 6.8 | 1.5 | 37/54 | 0.16 | c+j [104] | FSRQ | HFP |
| 224800−054117 | 3.29 | 0.4 | 3.3 | 30/13 | 0.22 | c+j [100] | Uncert. | MPS |
| 231448+020150 * | 4.11 | 1.7 | 2.1 | 40/20 | 0.20 | c+j [62] | GPS | |
| 231643−334912 | 3.10 | 3.9 | 1.3 | 31/18 | 0.18 | c+j [100] | FSRQ | GPS |
| N | FWHM | ||||||
|---|---|---|---|---|---|---|---|
| (GHz) | (Jy) | (dex) | |||||
| PS blazars | 25 | ||||||
| PS non-blazars | 22 | ||||||
| all | 47 |
| Name | N22.3 | N11.2 | Blazar | Spectral | ||||
|---|---|---|---|---|---|---|---|---|
| (yrs) | (yrs) | Type | Type | |||||
| 1 | 2 | 3 | 4 | 5 | 6 | 7 | 8 | 9 |
| J0048+0640 | – | – | 7 | 17 | – | 0.12 | – | GPS [1] |
| J0121−2806 | 7 | 18 | 5 | 14 | 0.41 | 0.20 | FSRQ | MPS [1] |
| J0203+1134 | 22 | 31 | 13 | 22 | 0.45 | 0.38 | FSRQ | GPS [2] |
| J0324−2918 | 15 | 15 | 5 | 16 | 0.39 | 0.14 | FSRQ | GPS [3] |
| J0646+4451 | 30 | 319 | 14 | 68 | 0.65 | 0.66 | FSRQ | HFP [2, 4] |
| J0751+2716 | – | – | 3 | 9 | – | 0.05 | – | MPS [5] |
| J0753+4231 | – | – | 9 | 10 | – | 0.09 | – | MPS [1] |
| J1230−1139 | 14 | 7 | 23 | 44 | 0.41 | 0.44 | FSRQ | GPS [1] |
| J1340+3754 | – | – | 5 | 3 | – | 0.03 | – | GPS [1] |
| J1354−0206 | 23 | 33 | 23 | 44 | 0.50 | 0.30 | FSRQ | GPS [2, 6] |
| J1357−1744 | 23 | 3 | 25 | 3 | 0.48 | 0.36 | FSRQ | GPS [2] |
| J1424+2256 | 22 | 18 | 14 | 14 | 0.10 | 0.16 | FSRQ | GPS [2, 4] |
| J1445+0958 | 23 | 27 | 42 | 33 | 0.67 | 0.57 | FSRQ | GPS [2, 6] |
| J1538+0019 | 23 | 10 | 23 | 9 | 0.38 | 0.27 | – | GPS [1] |
| J1559+0304 | 8 | 29 | 26 | 51 | 0.36 | 0.18 | FSRQ | GPS [5] |
| J1606+3124 | 43 | 22 | 41 | 15 | 0.10 | 0.16 | – | GPS [2] |
| J1616+0459 | 23 | 22 | 27 | 19 | 0.26 | 0.17 | FSRQ | HFP [2, 4, 6] |
| J1658−0739 | 10 | 9 | 12 | 6 | 0.33 | 0.13 | FSQR | GPS [2] |
| J1840+3900 | 20 | 13 | 13 | 10 | 0.52 | 0.45 | FSRQ | GPS [4, 7] |
| J2003−3251 | 15 | 36 | 13 | 8 | 0.42 | 0.15 | FSRQ | HFP [2] |
| J2129−1538 | 20 | 24 | 41 | 21 | 0.43 | 0.41 | FSRQ | HFP [2, 6] |
| J2248−0541 | 2 | 2 | 1 | 6 | 0.27 | – | Uncert. | MPS [5] |
| J2316−3349 | – | – | 7 | 13 | – | 0.26 | FSRQ | GPS [1] |
Disclaimer/Publisher’s Note: The statements, opinions and data contained in all publications are solely those of the individual author(s) and contributor(s) and not of MDPI and/or the editor(s). MDPI and/or the editor(s) disclaim responsibility for any injury to people or property resulting from any ideas, methods, instructions or products referred to in the content. |
© 2024 by the authors. Licensee MDPI, Basel, Switzerland. This article is an open access article distributed under the terms and conditions of the Creative Commons Attribution (CC BY) license (https://creativecommons.org/licenses/by/4.0/).
Share and Cite
Sotnikova, Y.; Mikhailov, A.; Mufakharov, T.; An, T.; Kudryavtsev, D.; Mingaliev, M.; Udovitskiy, R.; Kudryashova, A.; Stolyarov, V.; Semenova, T. High-Redshift Quasars at z ≥ 3: Radio Variability and MPS/GPS Candidates. Galaxies 2024, 12, 25. https://doi.org/10.3390/galaxies12030025
Sotnikova Y, Mikhailov A, Mufakharov T, An T, Kudryavtsev D, Mingaliev M, Udovitskiy R, Kudryashova A, Stolyarov V, Semenova T. High-Redshift Quasars at z ≥ 3: Radio Variability and MPS/GPS Candidates. Galaxies. 2024; 12(3):25. https://doi.org/10.3390/galaxies12030025
Chicago/Turabian StyleSotnikova, Yulia, Alexander Mikhailov, Timur Mufakharov, Tao An, Dmitry Kudryavtsev, Marat Mingaliev, Roman Udovitskiy, Anastasia Kudryashova, Vlad Stolyarov, and Tamara Semenova. 2024. "High-Redshift Quasars at z ≥ 3: Radio Variability and MPS/GPS Candidates" Galaxies 12, no. 3: 25. https://doi.org/10.3390/galaxies12030025
APA StyleSotnikova, Y., Mikhailov, A., Mufakharov, T., An, T., Kudryavtsev, D., Mingaliev, M., Udovitskiy, R., Kudryashova, A., Stolyarov, V., & Semenova, T. (2024). High-Redshift Quasars at z ≥ 3: Radio Variability and MPS/GPS Candidates. Galaxies, 12(3), 25. https://doi.org/10.3390/galaxies12030025

