ALMA Band 3 Source Counts: A Machine Learning Approach to Contamination Mitigation below 5 Sigma
Abstract
1. Introduction
2. Data Analysis
2.1. Sample and Image Selection
- Galactic latitude (b): +42.2°, +42.2°, and ;
- Gaussianity deviation 1 (): 0.052, 0.009, and ;
- Homogeneity deviation (): 0.011, 0.08, and ;
- Gaussianity deviation 2 (): 0.25, 0.13, and ;
- Simmetry deviation (): 0.047, 0.067, and ;
- FWHM: 1.5″, 1.7″, and .
2.2. Source Extraction
2.3. Completeness
2.4. Spurious Detections
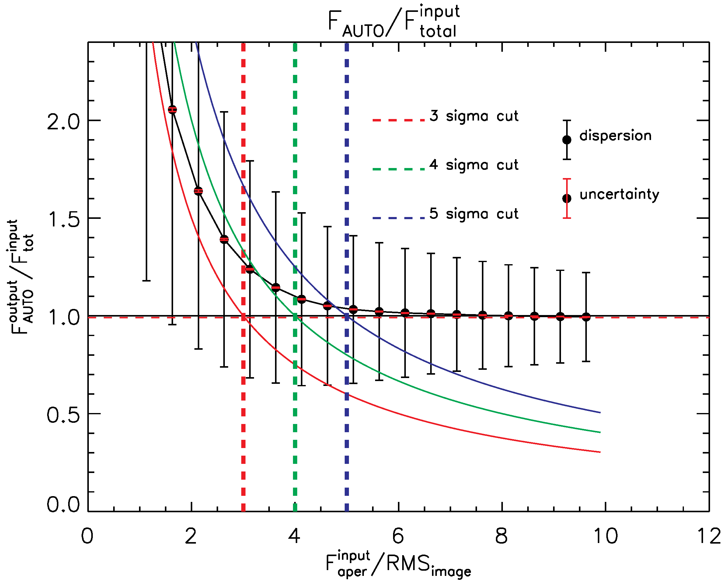
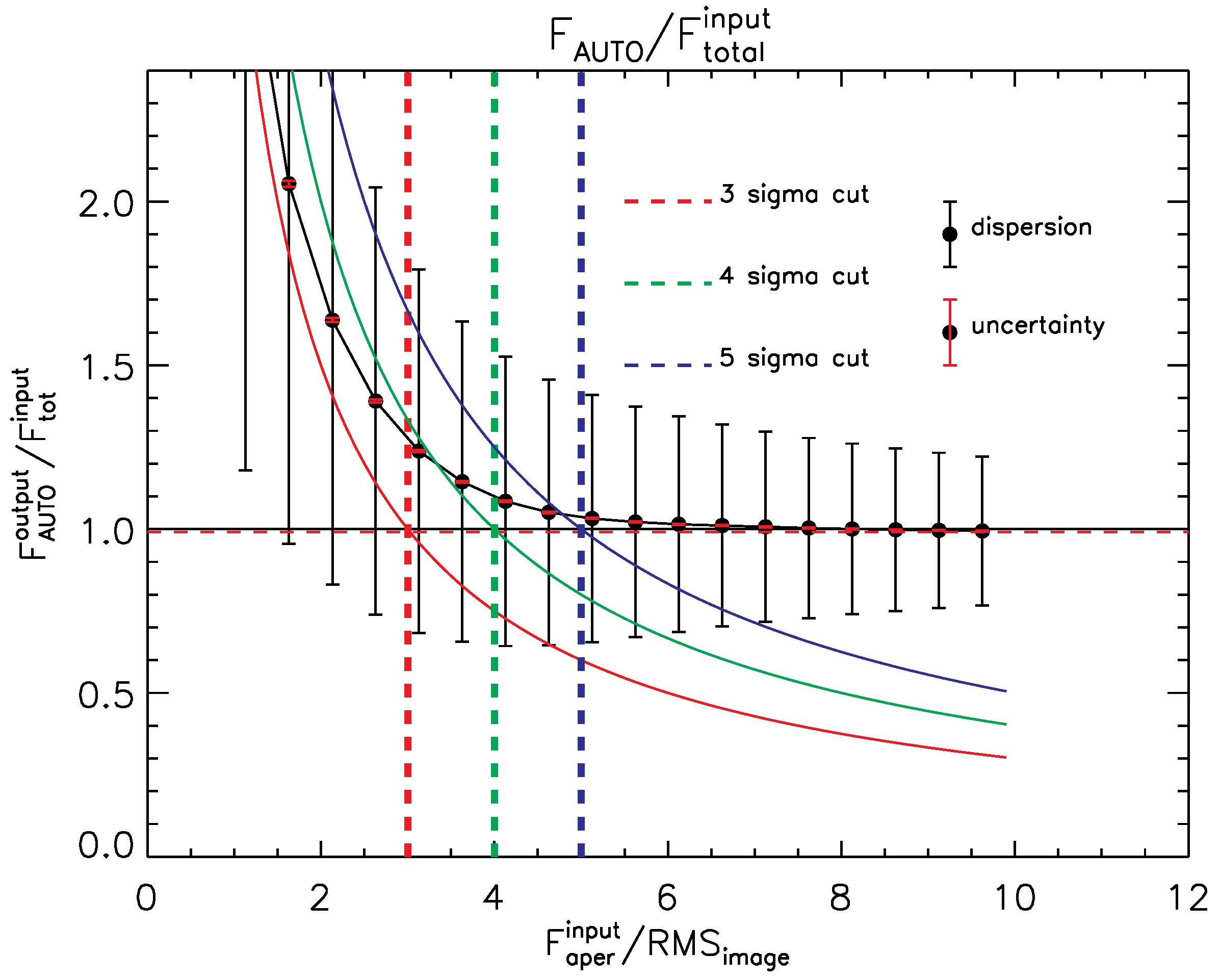
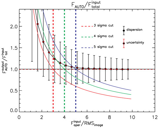
2.5. Flux Boosting
2.6. Other Unwanted Sources
3. Differential Number Counts
3.1. Raw Number Counts
3.2. Number Counts Corrected through Visual Inspection
3.3. Number Counts Corrected Using Machine Learning
- The SNR of the source, which is the ratio between the source’s flux and the noise of the image (both computed using beam-sized apertures);
- The aperture flux of the source, which was corrected for the primary beam;
- The distance of the detection from the image center, which was measured in units of FWHM;
- The FWHM of the image, which was measured in arc-seconds;
- The RMS ratio of the image, which is the ratio between the RMS of the image computed inside the beam-sized apertures and the RMS computed over the pixels;
- The apparent size of the source, which is the ratio between the semi-major axis of the source and the FWHM of the image’s PSF;
- The aperture-to-total flux ratio of the source;
- The ellipticity of the source, which is the ratio between the semi-major and semi-minor axes of the source (assuming it is elliptical in shape).
4. Conclusions
- Increased survey area: Given the large number of calibrators available, these fields provide observations that can be used for survey purposes;
- Diverse target selection: These fields may contain a wider variety of source types that are not originally targeted;
- Free observation time: Since ALMA is already pointed at in the calibrator field, observing additional targets does not require additional observation time.
Author Contributions
Funding
Data Availability Statement
Acknowledgments
Conflicts of Interest
| 1 | See https://science.nrao.edu/facilities/vla/proposing/TBconvforadetaileddescription (accessed on 29 April 2024). |
| 2 | The uncertainty cannot be obtained by dividing the dispersion for , as the results derived using different configurations (but with the same training set) are not independent of each other |
References
- Gralla, M.B.; Marriage, T.A.; Addison, G.; Baker, A.J.; Bond, J.R.; Crichton, D.; Datta, R.; Devlin, M.J.; Dunkley, J.; Dünner, R.; et al. Atacama Cosmology Telescope: Dusty Star-forming Galaxies and Active Galactic Nuclei in the Equatorial Survey. Astrophys. J. 2020, 893, 104. [Google Scholar] [CrossRef]
- Mocanu, L.M.; Crawford, T.M.; Vieira, J.D.; Aird, K.A.; Aravena, M.; Austermann, J.E.; Benson, B.A.; Béthermin, M.; Bleem, L.E.; Bothwell, M.; et al. Extragalactic Millimeter-wave Point-source Catalog, Number Counts and Statistics from 771 deg2 of the SPT-SZ Survey. Astrophys. J. 2013, 779, 61. [Google Scholar] [CrossRef]
- Everett, W.B.; Zhang, L.; Crawford, T.M.; Vieira, J.D.; Aravena, M.; Archipley, M.A.; Austermann, J.E.; Benson, B.A.; Bleem, L.E.; Carlstrom, J.E.; et al. Millimeter-wave Point Sources from the 2500 Square Degree SPT-SZ Survey: Catalog and Population Statistics. Astrophys. J. 2020, 900, 55. [Google Scholar] [CrossRef]
- Eddington, A.S. On a formula for correcting statistics for the effects of a known error of observation. Mon. Not. R. Astron. Soc. 1913, 73, 359–360. [Google Scholar] [CrossRef]
- Hogg, D.W.; Turner, E.L. A Maximum Likelihood Method to Improve Faint-Source Flux and Color Estimates. Publ. Astron. Soc. Pac. 1998, 110, 727–731. [Google Scholar] [CrossRef]
- Walter, F.; Decarli, R.; Aravena, M.; Carilli, C.; Bouwens, R.; da Cunha, E.; Daddi, E.; Ivison, R.J.; Riechers, D.; Smail, I.; et al. ALMA Spectroscopic Survey in the Hubble Ultra Deep Field: Survey Description. Astrophys. J. 2016, 833, 67. [Google Scholar] [CrossRef]
- Hatsukade, B.; Kohno, K.; Yamaguchi, Y.; Umehata, H.; Ao, Y.; Aretxaga, I.; Caputi, K.I.; Dunlop, J.S.; Egami, E.; Espada, D.; et al. ALMA twenty-six arcmin2 survey of GOODS-S at one millimeter (ASAGAO): Source catalog and number counts. Publ. Astron. Soc. Jpn. 2018, 70, 105. [Google Scholar] [CrossRef]
- González-López, J.; Decarli, R.; Pavesi, R.; Walter, F.; Aravena, M.; Carilli, C.; Boogaard, L.; Popping, G.; Weiss, A.; Assef, R.J.; et al. The Atacama Large Millimeter/submillimeter Array Spectroscopic Survey in the Hubble Ultra Deep Field: CO Emission Lines and 3 mm Continuum Sources. Astrophys. J. 2019, 882, 139. [Google Scholar] [CrossRef]
- González-López, J.; Novak, M.; Decarli, R.; Walter, F.; Aravena, M.; Carilli, C.; Boogaard, L.; Popping, G.; Weiss, A.; Assef, R.J.; et al. The ALMA Spectroscopic Survey in the HUDF: Deep 1.2 mm Continuum Number Counts. Astrophys. J. 2020, 897, 91. [Google Scholar] [CrossRef]
- Gómez-Guijarro, C.; Elbaz, D.; Xiao, M.; Béthermin, M.; Franco, M.; Magnelli, B.; Daddi, E.; Dickinson, M.; Demarco, R.; Inami, H.; et al. GOODS-ALMA 2.0: Source catalog, number counts, and prevailing compact sizes in 1.1 mm galaxies. Astron. Astrophys. 2022, 658, A43. [Google Scholar] [CrossRef]
- Hatsukade, B.; Ohta, K.; Seko, A.; Yabe, K.; Akiyama, M. Faint End of 1.3 mm Number Counts Revealed by ALMA. Astrophys. J. Lett. 2013, 769, L27. [Google Scholar] [CrossRef]
- Carniani, S.; Maiolino, R.; De Zotti, G.; Negrello, M.; Marconi, A.; Bothwell, M.S.; Capak, P.; Carilli, C.; Castellano, M.; Cristiani, S.; et al. ALMA constraints on the faint millimetre source number counts and their contribution to the cosmic infrared background. Astron. Astrophys. 2015, 584, A78. [Google Scholar] [CrossRef]
- Kohno, K.; Fujimoto, S.; Tsujita, A.; Kokorev, V.; Brammer, G.; Magdis, G.E.; Valentino, F.; Laporte, N.; Sun, F.; Egami, E.; et al. Unbiased surveys of dust-enshrouded galaxies using ALMA. arXiv 2023, arXiv:2305.15126. [Google Scholar] [CrossRef]
- Oteo, I.; Zwaan, M.A.; Ivison, R.J.; Smail, I.; Biggs, A.D. ALMACAL I: First Dual-band Number Counts from a Deep and Wide ALMA Submillimeter Survey, Free from Cosmic Variance. Astrophys. J. 2016, 822, 36. [Google Scholar] [CrossRef]
- Chen, J.; Ivison, R.J.; Zwaan, M.A.; Smail, I.; Klitsch, A.; Péroux, C.; Popping, G.; Biggs, A.D.; Szakacs, R.; Hamanowicz, A.; et al. ALMACAL IX: Multiband ALMA survey for dusty star-forming galaxies and the resolved fractions of the cosmic infrared background. Mon. Not. R. Astron. Soc. 2023, 518, 1378–1397. [Google Scholar] [CrossRef]
- Condon, J.J.; Cotton, W.D.; Greisen, E.W.; Yin, Q.F.; Perley, R.A.; Broderick, J.J. The NRAO VLA Sky Survey. In Astronomical Data Analysis Software and Systems III; Astronomical Society of the Pacific Conference Series; Crabtree, D.R., Hanisch, R.J., Barnes, J., Eds.; Astronomical Society of the Pacific: San Francisco, CA, USA, 1994; Volume 61, p. 155. [Google Scholar]
- White, R.L.; Becker, R.H.; Helfand, D.J.; Gregg, M.D. A catalog of 1.4 GHz radio sources from the FIRST survey. Astrophys. J. 1997, 475, 479. [Google Scholar] [CrossRef]
- Condon, J.J.; Cotton, W.D.; Greisen, E.W.; Yin, Q.F.; Perley, R.A.; Taylor, G.B.; Broderick, J.J. The NRAO VLA Sky Survey. Astron. J. 1998, 115, 1693–1716. [Google Scholar] [CrossRef]
- Bertin, E.; Arnouts, S. SExtractor: Software for source extraction. Astron. Astrophys. Suppl. Ser. 1996, 117, 393–404. [Google Scholar] [CrossRef]
- Bondi, M.; Ciliegi, P.; Zamorani, G.; Gregorini, L.; Vettolani, G.; Parma, P.; de Ruiter, H.; Le Fevre, O.; Arnaboldi, M.; Guzzo, L.; et al. The VLA-VIRMOS Deep Field. I. Radio observations probing the mu Jy source population. Astron. Astrophys. 2003, 403, 857–867. [Google Scholar] [CrossRef]
- Huynh, M.T.; Hopkins, A.; Norris, R.; Hancock, P.; Murphy, T.; Jurek, R.; Whiting, M. The Completeness and Reliability of Threshold and False-discovery Rate Source Extraction Algorithms for Compact Continuum Sources. Publ. Astron. Soc. Aust. 2012, 29, 229–243. [Google Scholar] [CrossRef][Green Version]
- Hancock, P.J.; Murphy, T.; Gaensler, B.M.; Hopkins, A.; Curran, J.R. Compact continuum source finding for next generation radio surveys. Mon. Not. R. Astron. Soc. 2012, 422, 1812–1824. [Google Scholar] [CrossRef]
- Kron, R.G. Photometry of a complete sample of faint galaxies. Astrophys. J. Suppl. Ser. 1980, 43, 305–325. [Google Scholar] [CrossRef]
- Tsukui, T.; Iguchi, S.; Mitsuhashi, I.; Tadaki, K. Proper evaluation of spatially correlated noise in interferometric images. In Proceedings of the Millimeter, Submillimeter, and Far-Infrared Detectors and Instrumentation for Astronomy XI; 2022; Society of Photo-Optical Instrumentation Engineers (SPIE) Conference Series, Montreal, QC, Canada, 31 August 2022; Zmuidzinas, J., Gao, J.R., Eds.; SPIE: Cergy Pontoise, France; Volume 12190, p. 121901C. [CrossRef]
- Tucci, M.; Toffolatti, L.; de Zotti, G.; Martínez-González, E. High-frequency predictions for number counts and spectral properties of extragalactic radio sources. New evidence of a break at mm wavelengths in spectra of bright blazar sources. Astron. Astrophys. 2011, 533, A57. [Google Scholar] [CrossRef]
- Cai, Z.Y.; Lapi, A.; Xia, J.Q.; De Zotti, G.; Negrello, M.; Gruppioni, C.; Rigby, E.; Castex, G.; Delabrouille, J.; Danese, L. A Hybrid Model for the Evolution of Galaxies and Active Galactic Nuclei in the Infrared. Astrophys. J. 2013, 768, 21. [Google Scholar] [CrossRef]
- Ono, Y.; Ouchi, M.; Kurono, Y.; Momose, R. Faint Submillimeter Galaxies Revealed by Multifield Deep ALMA Observations: Number Counts, Spatial Clustering, and a Dark Submillimeter Line Emitter. Astrophys. J. 2014, 795, 5. [Google Scholar] [CrossRef]
- Fujimoto, S.; Ouchi, M.; Ono, Y.; Shibuya, T.; Ishigaki, M.; Nagai, H.; Momose, R. ALMA Census of Faint 1.2 mm Sources Down to ~0.02 mJy: Extragalactic Background Light and Dust-poor, High-z Galaxies. Astrophys. J. Suppl. Ser. 2016, 222, 1. [Google Scholar] [CrossRef]
- Gehrels, N. Confidence Limits for Small Numbers of Events in Astrophysical Data. Astrophys. J. 1986, 303, 336. [Google Scholar] [CrossRef]
- Altman, N.S. An Introduction to Kernel and Nearest-Neighbor Nonparametric Regression. Am. Stat. 1992, 46, 175–185. [Google Scholar] [CrossRef]
- Baronchelli, I.; Scarlata, C.M.; Rodríguez-Muñoz, L.; Bonato, M.; Morselli, L.; Vaccari, M.; Carraro, R.; Barrufet, L.; Henry, A.; Mehta, V.; et al. Identification of Single Spectral Lines in Large Spectroscopic Surveys Using UMLAUT: An Unsupervised Machine-learning Algorithm Based on Unbiased Topology. Astrophys. J. Suppl. Ser. 2021, 257, 67. [Google Scholar] [CrossRef]
- Allen, D.M. The Relationship between Variable Selection and Data Agumentation and a Method for Prediction. Technometrics 1974, 16, 125–127. [Google Scholar] [CrossRef]
- Stone, M. Cross-Validatory Choice and Assessment of Statistical Predictions. J. R. Stat. Soc. Ser. B (Methodol.) 1974, 36, 111–133. [Google Scholar] [CrossRef]
- Hastie, T.; Tibshirani, R.; Friedman, J. The Elements of Statistical Learning; Springer Series in Statistics; Springer: New York, NY, USA, 2001. [Google Scholar]
- Bonato, M. 100 GHz ALMA number counts. INAF—Istituto di Radioastronomia, Via Gobetti 101, Bologna (I-40129), Italy. 2024; manuscript in preparation. [Google Scholar]











| Parameter Tested | Equation | Threshold for Acceptance |
|---|---|---|
| Galactic latitude | - | |
| Gaussianity deviation 1 [c] | ||
| Homogeneity deviation [c] | ||
| Gaussianity deviation 2 [d] | ||
| Simmetry deviation [d] | ||
| FWHM | FWHM of <5 arcsec |
| SExtractor Parameter | Value | Units |
|---|---|---|
| Filter | “Gauss” with size | Pixels |
| BACK_SIZE | Pixels | |
| BACK_FILTERSIZE | 2 | / |
| DETECT_MINAREA | Pixels | |
| DETECT_THRESH | 1.2 | |
| ANALYSIS_THRESH | 1.2 | |
| PHOT_AUTOPARAMS (KRON_FACT) [b] | 2.5 | A_IMAGE |
| PHOT_AUTOPARAMS (rKRON_min) [c] | 3.5 | Pixels |
| log(F[mJy]) | Effective Area [arcmin2] | |||
|---|---|---|---|---|
| SNRmin | SNRmin | SNRmin | SNRmin | |
| −1.25 | 2.38 | 2.38 | 2.38 | 2.38 |
| −1.00 | 3.18 | 2.95 | 2.81 | 2.72 |
| −0.75 | 9.07 | 7.14 | 6.24 | 5.69 |
| −0.50 | 96.1 | 79.8 | 66.0 | 54.3 |
| −0.25 | 303.5 | 281.2 | 260.2 | 240.6 |
| 0.00 | 524.6 | 503.9 | 484.5 | 465.5 |
| 0.25 | 633.9 | 628.7 | 622.3 | 616.2 |
| 0.50 | 665.2 | 663.4 | 662.0 | 659.7 |
| 0.75 | 674.7 | 674.3 | 673.9 | 673.2 |
| 1.00 | 679.3 | 679.0 | 678.7 | 678.3 |
| 1.25 | 681.8 | 681.6 | 681.4 | 681.2 |
| log(F[mJy]) | log(counts []) | log(counts []) | log(counts []) |
|---|---|---|---|
| Visual Inspection | UMLAUT Eliminated | UMLAUT Weighted | |
| −0.75 | |||
| −0.50 | |||
| −0.25 | |||
| 0.00 | |||
| 0.25 | - | ||
| 0.50 | - | ||
| 0.75 | - | ||
| 1.00 | - | - | |
| 1.25 | - | - |
Disclaimer/Publisher’s Note: The statements, opinions and data contained in all publications are solely those of the individual author(s) and contributor(s) and not of MDPI and/or the editor(s). MDPI and/or the editor(s) disclaim responsibility for any injury to people or property resulting from any ideas, methods, instructions or products referred to in the content. |
© 2024 by the authors. Licensee MDPI, Basel, Switzerland. This article is an open access article distributed under the terms and conditions of the Creative Commons Attribution (CC BY) license (https://creativecommons.org/licenses/by/4.0/).
Share and Cite
Baronchelli, I.; Bonato, M.; De Zotti, G.; Casasola, V.; Delli Veneri, M.; Guglielmetti, F.; Liuzzo, E.; Paladino, R.; Trobbiani, L.; Zwaan, M. ALMA Band 3 Source Counts: A Machine Learning Approach to Contamination Mitigation below 5 Sigma. Galaxies 2024, 12, 26. https://doi.org/10.3390/galaxies12030026
Baronchelli I, Bonato M, De Zotti G, Casasola V, Delli Veneri M, Guglielmetti F, Liuzzo E, Paladino R, Trobbiani L, Zwaan M. ALMA Band 3 Source Counts: A Machine Learning Approach to Contamination Mitigation below 5 Sigma. Galaxies. 2024; 12(3):26. https://doi.org/10.3390/galaxies12030026
Chicago/Turabian StyleBaronchelli, Ivano, Matteo Bonato, Gianfranco De Zotti, Viviana Casasola, Michele Delli Veneri, Fabrizia Guglielmetti, Elisabetta Liuzzo, Rosita Paladino, Leonardo Trobbiani, and Martin Zwaan. 2024. "ALMA Band 3 Source Counts: A Machine Learning Approach to Contamination Mitigation below 5 Sigma" Galaxies 12, no. 3: 26. https://doi.org/10.3390/galaxies12030026
APA StyleBaronchelli, I., Bonato, M., De Zotti, G., Casasola, V., Delli Veneri, M., Guglielmetti, F., Liuzzo, E., Paladino, R., Trobbiani, L., & Zwaan, M. (2024). ALMA Band 3 Source Counts: A Machine Learning Approach to Contamination Mitigation below 5 Sigma. Galaxies, 12(3), 26. https://doi.org/10.3390/galaxies12030026

