Effectiveness of Dry Needling versus Manual Therapy in Myofascial Temporomandibular Disorders: A Single-Blind Randomized Controlled Trial
Abstract
:1. Introduction
2. Materials and Methods
2.1. Design and Ethical Requirements
2.2. Subjects
2.3. Interventions
2.3.1. Dry Needling Intervention
2.3.2. Manual Therapy Intervention
2.4. Variables and Time Assessment
2.5. Statistical Analysis
3. Results
3.1. Pain Intensity
3.2. Active Maximal Mouth Opening
3.3. Cervical Disability
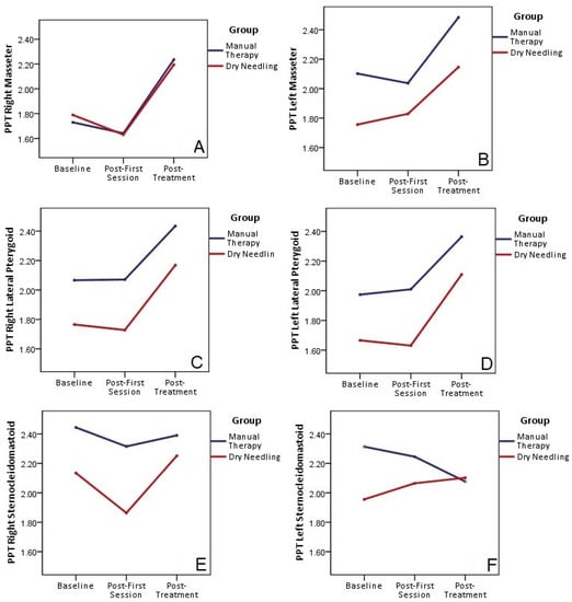
3.4. Pressure–Pain Threshold of the Left and Right Masseters, Lateral Pterygoids, and Sternocleidomastoids
4. Discussion
5. Conclusions
Author Contributions
Funding
Institutional Review Board Statement
Informed Consent Statement
Data Availability Statement
Conflicts of Interest
References
- Montero, J.; Llodra, J.-C.; Bravo, M. Prevalence of the Signs and Symptoms of Temporomandibular Disorders Among Spanish Adults and Seniors According to Five National Surveys Performed Between 1993 and 2015. J. Oral Facial Pain Headache 2018, 32, 349–357. [Google Scholar] [CrossRef] [PubMed]
- Rodrigues-Bigaton, D.; Dibai Filho, A.V.; Costa, A.C.d.S.; Packer, A.C.; de Castro, E.M. Accuracy and Reliability of Infrared Thermography in the Diagnosis of Arthralgia in Women With Temporomandibular Disorder. J. Manip. Physiol. Ther. 2013, 36, 253–258. [Google Scholar] [CrossRef] [PubMed]
- Piątkowska, D. Assessment of the Sensitivity, Specificity, and Accuracy of Thermography in Identifying Patients with TMD. Med. Sci. Monit. 2015, 21, 1485–1493. [Google Scholar] [CrossRef]
- Gauer, R.L.; Semidey, M.J. Diagnosis and treatment of temporomandibular disorders. Am. Fam. Physician 2015, 91, 378–386. [Google Scholar]
- Valesan, L.F.; Da-Cas, C.D.; Réus, J.C.; Denardin, A.C.S.; Garanhani, R.R.; Bonotto, D.; Januzzi, E.; de Souza, B.D.M. Prevalence of temporomandibular joint disorders: A systematic review and meta-analysis. Clin. Oral Investig. 2021, 25, 441–453. [Google Scholar] [CrossRef] [PubMed]
- Bueno, C.H.; Pereira, D.D.; Pattussi, M.P.; Grossi, P.K.; Grossi, M.L. Gender differences in temporomandibular disorders in adult populational studies: A systematic review and meta-analysis. J. Oral Rehabil. 2018, 45, 720–729. [Google Scholar] [CrossRef] [PubMed]
- Peck, C.C.; Goulet, J.P.; Lobbezoo, F.; Schiffman, E.L.; Alstergren, P.; Anderson, G.C.; de Leeuw, R.; Jensen, R.; Michelotti, A.; Ohrbach, R.; et al. Expanding the taxonomy of the diagnostic criteria for temporomandibular disorders. J. Oral Rehabil. 2014, 41, 2–23. [Google Scholar] [CrossRef]
- Conti, P.C.R.; Costa, Y.M.; Gonçalves, D.A.; Svensson, P. Headaches and myofascial temporomandibular disorders: Overlapping entities, separate managements? J. Oral Rehabil. 2016, 43, 702–715. [Google Scholar] [CrossRef]
- Ibáñez-Vera, A.J.; Alonso-Royo, R.; Sánchez-Torrelo, C.M.; Zagalaz-Anula, N.; López-Collantes, J.; Lomas-Vega, R. Psychometric Evaluation of the Krogh-Poulsen Test for the Diagnosis of the Temporomandibular Disorders. Diagnostics 2021, 11, 1876. [Google Scholar] [CrossRef]
- Fernández-de-las-Peñas, C.; Galán-del-Río, F.; Fernández-Carnero, J.; Pesquera, J.; Arendt-Nielsen, L.; Svensson, P. Bilateral Widespread Mechanical Pain Sensitivity in Women With Myofascial Temporomandibular Disorder: Evidence of Impairment in Central Nociceptive Processing. J. Pain 2009, 10, 1170–1178. [Google Scholar] [CrossRef]
- De Leeuw, R.; Klasser, G.D. Orofacial Pain: Guidelines for Assessment, Diagnosis, and Management; Quintessence Publishing Company: Incorporated Hanover Park, IL, USA, 2018; ISBN 0867157682. [Google Scholar]
- Schiffman, E.; Ohrbach, R.; Truelove, E.; Look, J.; Anderson, G.; Goulet, J.-P.; List, T.; Svensson, P.; Gonzalez, Y.; Lobbezoo, F.; et al. Diagnostic Criteria for Temporomandibular Disorders (DC/TMD) for Clinical and Research Applications: Recommendations of the International RDC/TMD Consortium Network and Orofacial Pain Special Interest Group. J. Oral Facial Pain Headache 2014, 28, 6–27. [Google Scholar] [CrossRef] [PubMed]
- American Society of Temporomandibular Joint Surgeons Guidelines for diagnosis and management of disorders involving the temporomandibular joint and related musculoskeletal structures. Cranio 2003, 21, 68–76. [CrossRef]
- Gonzalez-Perez, L.; Infante-Cossio, P.; Granados-Nunez, M.; Urresti-Lopez, F. Treatment of temporomandibular myofascial pain with deep dry needling. Med. Oral Patol. Oral Y Cir. Bucal 2012, 17, e781–e785. [Google Scholar] [CrossRef]
- Gonzalez-Perez, L.M.; Infante-Cossio, P.; Granados-Nunez, M.; Urresti-Lopez, F.J.; Lopez-Martos, R.; Ruiz-Canela-Mendez, P. Deep dry needling of trigger points located in the lateral pterygoid muscle: Efficacy and safety of treatment for management of myofascial pain and temporomandibular dysfunction. Med. Oral Patol. Oral Cir. Bucal 2015, 20, e326. [Google Scholar] [CrossRef] [PubMed]
- Peres, M.A.; Macpherson, L.M.D.; Weyant, R.J.; Daly, B.; Venturelli, R.; Mathur, M.R.; Listl, S.; Celeste, R.K.; Guarnizo-Herreño, C.C.; Kearns, C.; et al. Oral diseases: A global public health challenge. Lancet 2019, 394, 249–260. [Google Scholar] [CrossRef]
- Kulkarni, S.; Thambar, S.; Arora, H. Evaluating the effectiveness of nonsteroidal anti-inflammatory drug(s) for relief of pain associated with temporomandibular joint disorders: A systematic review. Clin. Exp. Dent. Res. 2020, 6, 134–146. [Google Scholar] [CrossRef]
- Sabhlok, A.; Gupta, S.; Girish, M.; Ramesh, K.; Shrivastava, H.; Hota, S. Practice of Occlusal Splint Therapy for Treating Temporomandibular Disorders by General Dentists of Jabalpur—A Cross-Sectional Survey. J. Pharm. Bioallied Sci. 2021, 13, S1079. [Google Scholar] [CrossRef]
- Idáñez-Robles, A.M.; Obrero-Gaitán, E.; Lomas-Vega, R.; Osuna-Pérez, M.C.; Cortés-Pérez, I.; Zagalaz-Anula, N. Exercise therapy improves pain and mouth opening in temporomandibular disorders: A systematic review with meta-analysis. Clin. Rehabil. 2023, 37, 443–461. [Google Scholar] [CrossRef]
- La Touche, R.; Boo-Mallo, T.; Zarzosa-Rodríguez, J.; Paris-Alemany, A.; Cuenca-Martínez, F.; Suso-Martí, L. Manual therapy and exercise in temporomandibular joint disc displacement without reduction. A systematic review. CRANIO® 2020, 40, 440–450. [Google Scholar] [CrossRef]
- Fricton, J. Myogenous Temporomandibular Disorders: Diagnostic and Management Considerations. Dent. Clin. N. Am. 2007, 51, 61–83. [Google Scholar] [CrossRef]
- Moral, O.M. Del Dry Needling Treatments for Myofascial Trigger Points. J. Musculoskelet. Pain 2010, 18, 411–416. [Google Scholar] [CrossRef]
- Fernández-de-Las-Peñas, C.; Nijs, J. Trigger point dry needling for the treatment of myofascial pain syndrome: Current perspectives within a pain neuroscience paradigm. J. Pain Res. 2019, 12, 1899–1911. [Google Scholar] [CrossRef]
- Hong, C.Z. Lidocaine injection versus dry needling to myofascial trigger point. The importance of the local twitch response. Am. J. Phys. Med. Rehabil. 1994, 73, 256–263. [Google Scholar] [CrossRef] [PubMed]
- Espejo-Antúnez, L.; Castro-Valenzuela, E.; Ribeiro, F.; Albornoz-Cabello, M.; Silva, A.; Rodríguez-Mansilla, J. Immediate effects of hamstring stretching alone or combined with ischemic compression of the masseter muscle on hamstrings extensibility, active mouth opening and pain in athletes with temporomandibular dysfunction. J. Bodyw. Mov. Ther. 2016, 20, 579–587. [Google Scholar] [CrossRef] [PubMed]
- Conti, P.C.R.; De Azevedo, L.R.; De Souza, N.V.W.; Ferreira, F.V. Pain measurement in TMD patients: Evaluation of precision and sensitivity of different scales. J. Oral Rehabil. 2001, 28, 534–539. [Google Scholar] [CrossRef]
- Wood, G.D.; Branco, J.A. A comparison of three methods of measuring maximal opening of the mouth. J. Oral Surg. 1979, 37, 175–177. [Google Scholar] [PubMed]
- Andrade Ortega, J.A.; Delgado Martínez, A.D.; Ruiz, R.A. Validation of the Spanish version of the Neck Disability Index. Spine 2010, 35, E114–E118. [Google Scholar] [CrossRef] [PubMed]
- Sahebjam, F.; Kongara, K.; Chambers, J.P.; Walker, R.E.; Naffa, R.; Lopez-Villalobos, N.; Singh, P.M. Pressure Algometry Validation and Determination of Efficacy of Articaine Hydrochloride Ring Block in Antler Removal in Red Deer (Cervus elaphus). Animals 2020, 10, 2023. [Google Scholar] [CrossRef]
- Cohen, J. Statistical Power Analysis for the Behavioral Sciences; Routledge: New York, NY, USA, 2013. [Google Scholar] [CrossRef]
- Calixtre, L.B.; Oliveira, A.B.; Alburquerque-Sendín, F.; Armijo-Olivo, S. What is the minimal important difference of pain intensity, mandibular function, and headache impact in patients with temporomandibular disorders? Clinical significance analysis of a randomized controlled trial. Musculoskelet. Sci. Pract. 2020, 46, 102108. [Google Scholar] [CrossRef]
- Dib-Zakkour, J.; Flores-Fraile, J.; Montero-Martin, J.; Dib-Zakkour, S.; Dib-Zaitun, I. Evaluation of the Effectiveness of Dry Needling in the Treatment of Myogenous Temporomandibular Joint Disorders. Medicina 2022, 58, 256. [Google Scholar] [CrossRef]
- Özden, M.C.; Atalay, B.; Özden, A.V.; Çankaya, A.; Kolay, E.; Yıldırım, S. Efficacy of dry needling in patients with myofascial temporomandibular disorders related to the masseter muscle. CRANIO® 2020, 38, 305–311. [Google Scholar] [CrossRef] [PubMed]
- Fernández-Carnero, J.; La Touche, R.; Ortega-Santiago, R.; Galan-del-Rio, F.; Pesquera, J.; Ge, H.-Y.; Fernández-de-Las-Peñas, C. Short-term effects of dry needling of active myofascial trigger points in the masseter muscle in patients with temporomandibular disorders. J. Orofac. Pain 2010, 24, 106–112. [Google Scholar]
- Blasco-Bonora, P.M.; Martín-Pintado-Zugasti, A. Effects of Myofascial Trigger Point Dry Needling in Patients with Sleep Bruxism and Temporomandibular Disorders: A Prospective Case Series. Acupunct. Med. 2017, 35, 69–74. [Google Scholar] [CrossRef] [PubMed]
- Tesch, R.D.S.; Macedo, L.C.D.S.P.; Fernandes, F.S.; de Goffredo Filho, G.S.; Goes, C.P.D.Q.F. Effectiveness of dry needling on the local pressure pain threshold in patients with masticatory myofascial pain. Systematic review and preliminary clinical trial. CRANIO® 2021, 39, 171–179. [Google Scholar] [CrossRef] [PubMed]
- Vier, C.; Almeida, M.B.d.; Neves, M.L.; dos Santos, A.R.S.; Bracht, M.A. The effectiveness of dry needling for patients with orofacial pain associated with temporomandibular dysfunction: A systematic review and meta-analysis. Braz. J. Phys. Ther. 2019, 23, 3–11. [Google Scholar] [CrossRef]
- Weden, A.; Bateman, P.; Gordon, C.; Hodgson, N.; Durham, J. Physiotherapy for the management of temporomandibular disorders: Findings from United Kingdom practice. Oral Surg. 2022, 15, 271–276. [Google Scholar] [CrossRef]
- Dunning, J.; Butts, R.; Bliton, P.; Vathrakokoilis, K.; Smith, G.; Lineberger, C.; Eshleman, N.; Fernández-de-Las-Peñas, C.; Young, I.A. Dry needling and upper cervical spinal manipulation in patients with temporomandibular disorder: A multi-center randomized clinical trial. CRANIO® 2022, 1–14. [Google Scholar] [CrossRef]
- Armijo-Olivo, S.; Fuentes, J.P.; da Costa, B.R.; Major, P.W.; Warren, S.; Thie, N.M.R.; Magee, D.J. Reduced endurance of the cervical flexor muscles in patients with concurrent temporomandibular disorders and neck disability. Man. Ther. 2010, 15, 586–592. [Google Scholar] [CrossRef]
- Hu, J.W.; Sessle, B.J.; Raboisson, P.; Dallel, R.; Woda, A. Stimulation of craniofacial muscle afferents induces prolonged facilitatory effects in trigeminal nociceptive brain-stem neurones. Pain 1992, 48, 53–60. [Google Scholar] [CrossRef]
- Jorritsma, W.; Dijkstra, P.U.; de Vries, G.E.; Geertzen, J.H.B.; Reneman, M.F. Detecting relevant changes and responsiveness of Neck Pain and Disability Scale and Neck Disability Index. Eur. Spine J. 2012, 21, 2550–2557. [Google Scholar] [CrossRef]
- Gil-Martínez, A.; Grande-Alonso, M.; López-de-Uralde-Villanueva, I.; López-López, A.; Fernández-Carnero, J.; La Touche, R. Chronic Temporomandibular Disorders: Disability, pain intensity and fear of movement. J. Headache Pain 2016, 17, 103. [Google Scholar] [CrossRef] [PubMed]





| Variables | Dry Needling Group (n = 25) | Manual Therapy Group (n = 25) | p | |
|---|---|---|---|---|
| Age (years) | 34.56 ± 8.43 | 38.08 ± 9.75 | 0.127 | |
| Gender | Male, n (%) | 12 (48) | 9 (36) | 0.39 |
| Female, n (%) | 13 (52) | 16 (64) | ||
| NPRS (0–10) | 6 ± 1.63 | 5.76 ± 1.36 | 0.587 | |
| MMO (cm) | 4.25 ± 0.46 | 4.24 ± 0.58 | 0.435 | |
| NDI (0–50) | 12.64 ± 5.03 | 10.8 ± 4.66 | 0.622 | |
| PPT (kg/cm2) | Right Masseter | 1.78 ± 0.87 | 1.72 ± 0.57 | 0.101 |
| Left Masseter | 1.75 ± 0.8 | 2.1 ± 0.7 | 0.414 | |
| Right Lateral Pterygoid | 1.76 ± 0.8 | 2.14 ± 0.58 | 0.226 | |
| Left Lateral Pterygoid | 1.66 ± 0.64 | 1.97 ± 0.79 | 0.504 | |
| Right Sternocleidomastoid | 2.13 ± 0.68 | 2.44 ± 0.6 | 0.749 | |
| Left Sternocleidomastoid | 1.95 ± 0.58 | 2.31 ± 0.8 | 0.187 | |
| Variable | Point Assessment | Dry Needling Group (n = 25) | Manual Therapy Group (n = 25) |
|---|---|---|---|
| NPRS (0–10) | Baseline | 6.00 ± 1.63 | 5.76 ± 1.36 |
| Post-First-Session | 6.04 ± 2.42 | 5.60 ± 1.78 | |
| Within-Group Differences from Baseline | 0.40 (−0.90, 0.98) | −0.16 (−0.83, 0.51) | |
| Post-Treatment | 3.48 ± 2.00 | 2.84 ± 1.95 | |
| Within-Group Differences from Baseline | −2.52 (−3.43, −1.60) * | −2.92 (−3.77, −2.07) * | |
| MMO (cm) | Baseline | 4.25 ± 0.46 | 4.24 ± 0.58 |
| Post-First-Session | 4.41 ± 0.38 | 4.55 ± 0.50 | |
| Within-Group Differences from Baseline | 0.16 (0.03, 0.29) * | 0.30 (0.20, 0.41) * | |
| Post-Treatment | 4.53 ± 0.31 | 4.62 ± 0.46 | |
| Within-Group Differences from Baseline | 0.27 (0.14, 0.41) * | 0.37 (0.22, 0.52) * | |
| NDI (0–50) | Baseline | 12.64 ± 5.03 | 10.80 ± 4.66 |
| Post-Treatment | 9.44 ± 3.08 | 8.12 ± 3.79 | |
| Within-Group Differences from Baseline | −3.2 (−4.31, −2.09) * | −2.68 (−3.56, −1.79) * |
| Dry Needling Group | Manual Therapy Group | |
|---|---|---|
| PPT Right Masseter (n = 30) | n = 16 | n = 14 |
| Baseline | 1.78 ± 0.87 | 1.72 ± 0.57 |
| Post-First-Session | 1.63 ± 0.91 | 1.64 ± 0.52 |
| Within-Group Differences from Baseline | −0.15 (−0.43, 0.11) | −0.08 (−0.31, 0.14) |
| Post-Treatment | 2.19 ± 0.98 | 2.23 ± 0.58 |
| Within-Group Differences from Baseline | 0.40 (0.04, 0.76) * | 0.50 (0.18, 0.83) * |
| PPT Left Masseter (n = 37) | n = 23 | n = 14 |
| Baseline | 1.75 ± 0.80 | 2.10 ± 0.70 |
| Post-First-Session | 1.82 ± 0.74 | 2.03 ± 0.63 |
| Within-Group Differences from Baseline | 0.07 (−0.08, 0.23) | −0.06 (−039, 0.26) |
| Post-Treatment | 2.14 ± 0.80 | 2.48 ± 0.84 |
| Within-Group Differences from Baseline | 0.39 (0.20, 0.58) * | 0.38 (0.09, 0.66) * |
| PPT Right Lateral Pterygoid (n = 27) | n = 14 | n = 13 |
| Baseline | 1.76 ± 0.80 | 2.06 ± 0.50 |
| Post-First-Session | 1.72 ± 0.65 | 2.07 ± 0.44 |
| Within-Group Differences from Baseline | −0.3 (−0.34, 0.27) | 0.004 (−0.18, 0.19) |
| Post-Treatment | 2.16 ± 0.72 | 2.43 ± 0.49 |
| Within-Group Differences from Baseline | 0.40 (0.07, 0.73) * | 0.36 (0.19, 0.34) * |
| PPT Left Lateral Pterygoid (n = 32) | n = 14 | n = 18 |
| Baseline | 1.66 ± 0.67 | 1.97 ± 0.79 |
| Post-First-Session | 1.63 ± 0.59 | 2.01 ± 0.80 |
| Within-Group Differences from Baseline | −0.04 (−0.24, 0.16) | 0.01 (−0.19, 0.22) |
| Post-Treatment | 2.10 ± 0.71 | 2.36 ± 0.84 |
| Within-Group Differences from Baseline | 0.50 (0.29, 0.71) * | 0.53 (0.25, 0.80) * |
| PPT Right Sternocleidomastoid (n = 25) | n = 13 | n = 12 |
| Baseline | 2.13 ± 0.68 | 2.44 ± 0.60 |
| Post-First-Session | 1.86 ± 0.74 | 2.31 ± 0.53 |
| Within-Group Differences from Baseline | −0.27 (−0.57, 0.02) | −0.12 (−0.26, 0.007) |
| Post-Treatment | 2.25 ± 0.71 | 2.39 ± 0.62 |
| Within-Group Differences from Baseline | 0.11 (−0.11, 0.34) | −0.05 (−0.34, 0.23) |
| PPT Left Sternocleidomastoid (n = 27) | n = 15 | n = 12 |
| Baseline | 1.95 ± 0.58 | 2.31 ± 0.80 |
| Post-First-Session | 2.06 ± 0.75 | 2.24 ± 0.88 |
| Within-Group Differences from Baseline | 0.10 (−0.22, 0.43) | −0.06 (−0.33, 0.19) |
| Post-Treatment | 2.10 ± 0.69 | 2.07 ± 0.76 |
| Within-Group Differences from Baseline | 0.14 (−0.21, 0.50) | −0.23 (−0.78, 0.31) |
Disclaimer/Publisher’s Note: The statements, opinions and data contained in all publications are solely those of the individual author(s) and contributor(s) and not of MDPI and/or the editor(s). MDPI and/or the editor(s) disclaim responsibility for any injury to people or property resulting from any ideas, methods, instructions or products referred to in the content. |
© 2023 by the authors. Licensee MDPI, Basel, Switzerland. This article is an open access article distributed under the terms and conditions of the Creative Commons Attribution (CC BY) license (https://creativecommons.org/licenses/by/4.0/).
Share and Cite
García-de la-Banda-García, R.; Cortés-Pérez, I.; Ibancos-Losada, M.d.R.; López-Ruiz, M.d.C.; Obrero-Gaitán, E.; Osuna-Pérez, M.C. Effectiveness of Dry Needling versus Manual Therapy in Myofascial Temporomandibular Disorders: A Single-Blind Randomized Controlled Trial. J. Pers. Med. 2023, 13, 1415. https://doi.org/10.3390/jpm13091415
García-de la-Banda-García R, Cortés-Pérez I, Ibancos-Losada MdR, López-Ruiz MdC, Obrero-Gaitán E, Osuna-Pérez MC. Effectiveness of Dry Needling versus Manual Therapy in Myofascial Temporomandibular Disorders: A Single-Blind Randomized Controlled Trial. Journal of Personalized Medicine. 2023; 13(9):1415. https://doi.org/10.3390/jpm13091415
Chicago/Turabian StyleGarcía-de la-Banda-García, Rocío, Irene Cortés-Pérez, María del Rocío Ibancos-Losada, María del Carmen López-Ruiz, Esteban Obrero-Gaitán, and María Catalina Osuna-Pérez. 2023. "Effectiveness of Dry Needling versus Manual Therapy in Myofascial Temporomandibular Disorders: A Single-Blind Randomized Controlled Trial" Journal of Personalized Medicine 13, no. 9: 1415. https://doi.org/10.3390/jpm13091415
APA StyleGarcía-de la-Banda-García, R., Cortés-Pérez, I., Ibancos-Losada, M. d. R., López-Ruiz, M. d. C., Obrero-Gaitán, E., & Osuna-Pérez, M. C. (2023). Effectiveness of Dry Needling versus Manual Therapy in Myofascial Temporomandibular Disorders: A Single-Blind Randomized Controlled Trial. Journal of Personalized Medicine, 13(9), 1415. https://doi.org/10.3390/jpm13091415

