Association between Proteinuria Status and Risk of Hypertension: A Nationwide Population-Based Cohort Study
Abstract
1. Introduction
2. Materials and Methods
2.1. Database
2.2. Study Population and Variables
2.3. Statistical Analysis
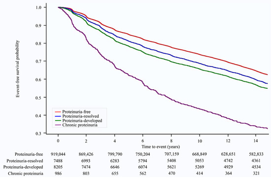
3. Results
4. Discussion
5. Conclusions
Supplementary Materials
Author Contributions
Funding
Institutional Review Board Statement
Informed Consent Statement
Data Availability Statement
Conflicts of Interest
References
- Mills, K.T.; Bundy, J.D.; Kelly, T.N.; Reed, J.E.; Kearney, P.M.; Reynolds, K.; Chen, J.; He, J. Global Disparities of Hypertension Prevalence and Control: A Systematic Analysis of Population-Based Studies From 90 Countries. Circulation 2016, 134, 441–450. [Google Scholar] [CrossRef] [PubMed]
- GBD 2017 Risk Factor Collaborators. Global, regional, and national comparative risk assessment of 84 behavioural, environmental and occupational, and metabolic risks or clusters of risks for 195 countries and territories, 1990–2017: A systematic analysis for the Global Burden of Disease Study 2017. Lancet 2018, 392, 1923–1994. [Google Scholar] [CrossRef]
- Forouzanfar, M.H.; Liu, P.; Roth, G.A.; Ng, M.; Biryukov, S.; Marczak, L.; Alexander, L.; Estep, K.; Hassen Abate, K.; Akinyemiju, T.F.; et al. Global Burden of Hypertension and Systolic Blood Pressure of at Least 110 to 115 mm Hg, 1990-2015. JAMA 2017, 317, 165–182. [Google Scholar] [CrossRef]
- Carey, R.M.; Muntner, P.; Bosworth, H.B.; Whelton, P.K. Prevention and Control of Hypertension: JACC Health Promotion Series. J. Am. Coll. Cardiol. 2018, 72, 1278–1293. [Google Scholar] [CrossRef] [PubMed]
- Ford, E.S.; Cooper, R.S. Risk factors for hypertension in a national cohort study. Hypertension 1991, 18, 598–606. [Google Scholar] [CrossRef] [PubMed]
- Culleton, B.F.; Larson, M.G.; Parfrey, P.S.; Kannel, W.B.; Levy, D. Proteinuria as a risk factor for cardiovascular disease and mortality in older people: A prospective study. Am. J. Med. 2000, 109, 1–8. [Google Scholar] [CrossRef] [PubMed]
- Hillege, H.L.; Fidler, V.; Diercks, G.F.; van Gilst, W.H.; de Zeeuw, D.; van Veldhuisen, D.J.; Gans, R.O.; Janssen, W.M.; Grobbee, D.E.; de Jong, P.E. Urinary albumin excretion predicts cardiovascular and noncardiovascular mortality in general population. Circulation 2002, 106, 1777–1782. [Google Scholar] [CrossRef]
- Song, T.J.; Kim, J.; Lee, H.S.; Nam, C.M.; Nam, H.S.; Kim, Y.D.; Heo, J.H. Distribution of cerebral microbleeds determines their association with impaired kidney function. J. Clin. Neurol. 2014, 10, 222–228. [Google Scholar] [CrossRef]
- Miettinen, H.; Haffner, S.M.; Lehto, S.; Rönnemaa, T.; Pyörälä, K.; Laakso, M. Proteinuria predicts stroke and other atherosclerotic vascular disease events in nondiabetic and non-insulin-dependent diabetic subjects. Stroke 1996, 27, 2033–2039. [Google Scholar] [CrossRef]
- Song, T.J.; Chang, Y.; Shin, M.J.; Heo, J.H.; Kim, Y.J. Low levels of plasma omega 3-polyunsaturated fatty acids are associated with cerebral small vessel diseases in acute ischemic stroke patients. Nutr. Res. 2015, 35, 368–374. [Google Scholar] [CrossRef]
- Currie, G.; Delles, C. Proteinuria and its relation to cardiovascular disease. Int. J. Nephrol. Renov. Dis. 2013, 7, 13–24. [Google Scholar] [CrossRef]
- Inoue, T.; Iseki, K.; Higashiuesato, Y.; Nagahama, K.; Matsuoka, M.; Iseki, C.; Ohya, Y.; Kinjo, K.; Takishita, S. Proteinuria as a significant determinant of hypertension in a normotensive screened cohort in Okinawa, Japan. Hypertens. Res. 2006, 29, 687–693. [Google Scholar] [CrossRef] [PubMed][Green Version]
- Kim, M.K.; Han, K.; Koh, E.S.; Kim, H.S.; Kwon, H.S.; Park, Y.M.; Yoon, K.H.; Lee, S.H. Variability in Total Cholesterol Is Associated With the Risk of End-Stage Renal Disease: A Nationwide Population-Based Study. Arterioscler. Thromb. Vasc. Biol. 2017, 37, 1963–1970. [Google Scholar] [CrossRef] [PubMed]
- Song, S.O.; Jung, C.H.; Song, Y.D.; Park, C.Y.; Kwon, H.S.; Cha, B.S.; Park, J.Y.; Lee, K.U.; Ko, K.S.; Lee, B.W. Background and data configuration process of a nationwide population-based study using the korean national health insurance system. Diabetes Metab. J. 2014, 38, 395–403. [Google Scholar] [CrossRef] [PubMed]
- Seong, S.C.; Kim, Y.Y.; Park, S.K.; Khang, Y.H.; Kim, H.C.; Park, J.H.; Kang, H.J.; Do, C.H.; Song, J.S.; Lee, E.J.; et al. Cohort profile: The National Health Insurance Service-National Health Screening Cohort (NHIS-HEALS) in Korea. BMJ Open 2017, 7, e016640. [Google Scholar] [CrossRef] [PubMed]
- Williams, B.; Mancia, G.; Spiering, W.; Agabiti Rosei, E.; Azizi, M.; Burnier, M.; Clement, D.L.; Coca, A.; de Simone, G.; Dominiczak, A.; et al. 2018 ESC/ESH Guidelines for the management of arterial hypertension. Eur. Heart J. 2018, 39, 3021–3104. [Google Scholar] [CrossRef]
- Unger, T.; Borghi, C.; Charchar, F.; Khan, N.A.; Poulter, N.R.; Prabhakaran, D.; Ramirez, A.; Schlaich, M.; Stergiou, G.S.; Tomaszewski, M.; et al. 2020 International Society of Hypertension Global Hypertension Practice Guidelines. Hypertension 2020, 75, 1334–1357. [Google Scholar] [CrossRef]
- Song, T.J.; Kim, J.W.; Kim, J. Oral health and changes in lipid profile: A nationwide cohort study. J. Clin. Periodontol. 2020, 47, 1437–1445. [Google Scholar] [CrossRef]
- Woo, H.G.; Chang, Y.; Lee, J.S.; Song, T.J. Association of Tooth Loss with New-Onset Parkinson’s Disease: A Nationwide Population-Based Cohort Study. Park. Dis. 2020, 2020, 4760512. [Google Scholar] [CrossRef]
- Lee, K.; Lee, J.S.; Kim, J.; Lee, H.; Chang, Y.; Woo, H.G.; Kim, J.W.; Song, T.J. Oral health and gastrointestinal cancer: A nationwide cohort study. J. Clin. Periodontol. 2020, 47, 796–808. [Google Scholar] [CrossRef]
- Kim, J.; Kim, H.J.; Jeon, J.; Song, T.J. Association between oral health and cardiovascular outcomes in patients with hypertension: A nationwide cohort study. J. Hypertens. 2022, 40, 374–381. [Google Scholar] [CrossRef] [PubMed]
- Charlson, M.E.; Carrozzino, D.; Guidi, J.; Patierno, C. Charlson Comorbidity Index: A Critical Review of Clinimetric Properties. Psychother. Psychosom. 2022, 91, 8–35. [Google Scholar] [CrossRef] [PubMed]
- Agarwal, R.; Andersen, M.J. Correlates of systolic hypertension in patients with chronic kidney disease. Hypertension 2005, 46, 514–520. [Google Scholar] [CrossRef] [PubMed]
- Ahmed Aziz, K.M. Association of High Levels of Spot Urine Protein with High Blood Pressure, Mean Arterial Pressure and Pulse Pressure with the Development of Diabetic Chronic Kidney Dysfunction or Failure among Diabetic Patients. Statistical Regression Modeling to Predict Diabetic Proteinuria. Curr. Diabetes Rev. 2019, 15, 486–496. [Google Scholar] [CrossRef] [PubMed]
- Jafar, T.H.; Stark, P.C.; Schmid, C.H.; Landa, M.; Maschio, G.; Marcantoni, C.; de Jong, P.E.; de Zeeuw, D.; Shahinfar, S.; Ruggenenti, P.; et al. Proteinuria as a modifiable risk factor for the progression of non-diabetic renal disease. Kidney Int. 2001, 60, 1131–1140. [Google Scholar] [CrossRef] [PubMed]
- Wakasugi, M.; Kazama, J.; Narita, I.; Iseki, K.; Fujimoto, S.; Moriyama, T.; Yamagata, K.; Konta, T.; Tsuruya, K.; Asahi, K.; et al. Association between Overall Lifestyle Changes and the Incidence of Proteinuria: A Population-based, Cohort Study. Intern. Med. 2017, 56, 1475–1484. [Google Scholar] [CrossRef] [PubMed]
- Harrison, T.G.; Tam-Tham, H.; Hemmelgarn, B.R.; Elliott, M.; James, M.T.; Ronksley, P.E.; Jun, M. Change in Proteinuria or Albuminuria as a Surrogate for Cardiovascular and Other Major Clinical Outcomes: A Systematic Review and Meta-analysis. Can. J. Cardiol. 2019, 35, 77–91. [Google Scholar] [CrossRef]
- Sesso, H.D.; Cook, N.R.; Buring, J.E.; Manson, J.E.; Gaziano, J.M. Alcohol consumption and the risk of hypertension in women and men. Hypertension 2008, 51, 1080–1087. [Google Scholar] [CrossRef]
- Forman, J.P.; Rimm, E.B.; Stampfer, M.J.; Curhan, G.C. Folate intake and the risk of incident hypertension among US women. JAMA 2005, 293, 320–329. [Google Scholar] [CrossRef]
- Forman, J.P.; Stampfer, M.J.; Curhan, G.C. Non-narcotic analgesic dose and risk of incident hypertension in US women. Hypertension 2005, 46, 500–507. [Google Scholar] [CrossRef]
- Forman, J.P.; Stampfer, M.J.; Curhan, G.C. Diet and lifestyle risk factors associated with incident hypertension in women. JAMA 2009, 302, 401–411. [Google Scholar] [CrossRef] [PubMed]
- Ahima, R.S. Linking adiponectin to proteinuria. J. Clin. Investig. 2008, 118, 1619–1622. [Google Scholar] [CrossRef] [PubMed]
- Bakris, G. Proteinuria: A link to understanding changes in vascular compliance? Hypertension 2005, 46, 473–474. [Google Scholar] [CrossRef] [PubMed]
- Sharma, K.; Ramachandrarao, S.; Qiu, G.; Usui, H.K.; Zhu, Y.; Dunn, S.R.; Ouedraogo, R.; Hough, K.; McCue, P.; Chan, L.; et al. Adiponectin regulates albuminuria and podocyte function in mice. J. Clin. Investig. 2008, 118, 1645–1656. [Google Scholar] [CrossRef]
- Sharma, K. The link between obesity and albuminuria: Adiponectin and podocyte dysfunction. Kidney Int. 2009, 76, 145–148. [Google Scholar] [CrossRef]
- Caglar, K.; Yilmaz, M.I.; Sonmez, A.; Cakir, E.; Kaya, A.; Acikel, C.; Eyileten, T.; Yenicesu, M.; Oguz, Y.; Bilgi, C.; et al. ADMA, proteinuria, and insulin resistance in non-diabetic stage I chronic kidney disease. Kidney Int. 2006, 70, 781–787. [Google Scholar] [CrossRef]
- Yilmaz, M.I.; Sonmez, A.; Saglam, M.; Qureshi, A.R.; Carrero, J.J.; Caglar, K.; Eyileten, T.; Cakir, E.; Oguz, Y.; Vural, A.; et al. ADMA levels correlate with proteinuria, secondary amyloidosis, and endothelial dysfunction. J. Am. Soc. Nephrol. 2008, 19, 388–395. [Google Scholar] [CrossRef]
- Trimarchi, H.; Muryan, A.; Dicugno, M.; Young, P.; Forrester, M.; Lombi, F.; Pomeranz, V.; Iriarte, R.; Raña, M.S.; Alonso, M. Proteinuria: An ignored marker of inflammation and cardiovascular disease in chronic hemodialysis. Int. J. Nephrol. Renov. Dis. 2012, 5, 1–7. [Google Scholar] [CrossRef]
- Patrick, D.M.; Van Beusecum, J.P.; Kirabo, A. The role of inflammation in hypertension: Novel concepts. Curr. Opin. Physiol. 2021, 19, 92–98. [Google Scholar] [CrossRef]
- Topham, P.S.; Jethwa, A.; Watkins, M.; Rees, Y.; Feehally, J. The value of urine screening in a young adult population. Fam. Pract. 2004, 21, 18–21. [Google Scholar] [CrossRef]


| Total | Proteinuria-Free | Proteinuria-Resolved | Proteinuria-Developed | Chronic Proteinuria | p-Value | |
|---|---|---|---|---|---|---|
| Number of participants (%) | 935,723 | 919,044 (98.2) | 7488 (0.8) | 8205 (0.9) | 986 (0.1) | |
| Age, years | 40.96 ± 11.01 | 40.95 ± 10.99 | 41.67 ± 11.87 | 41.71 ± 11.77 | 43.43 ± 11.58 | <0.001 |
| Sex | <0.001 | |||||
| Men | 585,143 (62.5) | 576,080 (62.7) | 3871 (51.7) | 4493 (54.8) | 699 (70.9) | |
| Women | 350,580 (37.5) | 342,964 (37.3) | 3617 (48.3) | 3712 (45.2) | 287 (29.1) | |
| Systolic blood pressure (mmHg) | 115.88 ± 8.82 | 115.88 ± 8.82 | 115.91 ± 9.25 | 115.95 ± 9.2 | 118.13 ± 9.09 | <0.001 |
| Diastolic blood pressure (mmHg) | 72.85 ± 6.14 | 72.85 ± 6.13 | 72.65 ± 6.32 | 72.85 ± 6.36 | 74.26 ± 6.26 | <0.001 |
| Body mass index (kg/m2) | 22.91 ± 2.86 | 22.91 ± 2.85 | 22.95 ± 3.01 | 22.94 ± 3.13 | 23.66 ± 3.27 | <0.001 |
| Household income | <0.001 | |||||
| Q1, lowest | 133,759 (14.3) | 131,192 (14.3) | 1219 (16.3) | 1219 (14.9) | 129 (13.1) | |
| Q2 | 364,149 (38.9) | 357,587 (38.9) | 2962 (39.6) | 3281 (40.0) | 319 (32.4) | |
| Q3 | 304,680 (32.6) | 299,626 (32.6) | 2247 (30.0) | 2465 (30.0) | 342 (34.7) | |
| Q4, highest | 133,135 (14.2) | 130,639 (14.2) | 1060 (14.2) | 1240 (15.1) | 196 (19.9) | |
| Smoking | <0.001 | |||||
| Never | 564,164 (60.3) | 553,337 (60.2) | 4914 (65.6) | 5388 (65.7) | 525 (53.3) | |
| Former | 104,020 (11.1) | 102,352 (11.1) | 757 (10.1) | 772 (9.4) | 139 (14.1) | |
| Current | 267,539 (28.6) | 263,355 (28.7) | 1817 (24.3) | 2045 (24.9) | 322 (32.7) | |
| Alcohol consumption (days/week) | <0.001 | |||||
| <3 | 661,033 (70.6) | 648,951 (70.6) | 5464 (73.0) | 5963 (72.7) | 655 (66.4) | |
| ≥3 | 274,690 (29.4) | 270,093 (29.4) | 2024 (27.0) | 2242 (27.3) | 331 (33.6) | |
| Regular exercise (days/week) | <0.001 | |||||
| <3 | 772,628 (82.6) | 759,047 (82.6) | 6067 (81.0) | 6720 (81.9) | 794 (80.5) | |
| ≥3 | 163,095 (17.4) | 159,997 (17.4) | 1421 (19.0) | 1485 (18.1) | 192 (19.5) | |
| Comorbidities | ||||||
| Diabetes mellitus | 83,324 (8.9) | 81,058 (8.8) | 967 (12.9) | 1089 (13.3) | 210 (21.3) | <0.001 |
| Dyslipidemia | 166,485 (17.8) | 162,667 (17.7) | 1658 (22.1) | 1837 (22.4) | 323 (32.8) | <0.001 |
| Atrial fibrillation | 963 (0.1) | 940 (0.1) | 11 (0.2) | 10 (0.1) | 2 (0.2) | <0.001 |
| Cancer | 14,261 (1.5) | 13,930 (1.5) | 162 (2.2) | 149 (1.8) | 20 (2.0) | <0.001 |
| Renal disease | 2685 (0.3) | 2532 (0.3) | 76 (1.0) | 48 (0.6) | 29 (2.9) | <0.001 |
| Charlson Comorbidity Index | <0.001 | |||||
| 0 | 400,108 (42.8) | 393,485 (42.8) | 2961 (39.5) | 3302 (40.2) | 360 (36.5) | |
| 1 | 395,345 (42.3) | 388,548 (42.3) | 3104 (41.5) | 3339 (40.7) | 354 (35.9) | |
| ≥2 | 140,270 (15.0) | 137,011 (14.9) | 1423 (19.0) | 1564 (19.1) | 272 (27.6) |
| Group | Total (n) | Hypertension (n) | Incidence Rate (per 1000 Person Years) | HR (95% Confidence Interval) | ||
|---|---|---|---|---|---|---|
| Model 1 | Model 2 | Model 3 | ||||
| Proteinuria-free | 919,044 | 339,260 | 31.5 | 1 (ref) | 1 (ref) | 1 (ref) |
| Proteinuria-resolved | 7488 | 3131 | 37.4 | 1.19 (1.15, 1.23) | 1.17 (1.13, 1.21) | 1.17 (1.13, 1.21) |
| Proteinuria-developed | 8205 | 3638 | 41.3 | 1.31 (1.27, 1.35) | 1.31 (1.27, 1.35) | 1.31 (1.26, 1.35) |
| Chronic proteinuria | 986 | 657 | 81.4 | 2.61 (2.41, 2.81) | 2.11 (1.95, 2.27) | 2.09 (1.94, 2.26) |
| p for trend | <0.001 | <0.001 | <0.001 | |||
| Model 1 | Model 2 | Model 3 | ||||
|---|---|---|---|---|---|---|
| HR (95% CI) | p-Value | HR (95% CI) | p-Value | HR (95% CI) | p-Value | |
| Proteinuria-resolved vs. Proteinuria-free (reference) | 1.19 (1.15, 1.23) | <0.001 | 1.17 (1.13, 1.21) | <0.001 | 1.17 (1.13, 1.21) | <0.001 |
| Proteinuria-developed vs. Proteinuria-free (reference) | 1.31 (1.27, 1.36) | <0.001 | 1.31 (1.27, 1.35) | <0.001 | 1.31 (1.26, 1.35) | <0.001 |
| Proteinuria-resolved vs. Chronic proteinuria (reference) | 0.46 (0.43, 0.50) | <0.001 | 0.58 (0.53, 0.63) | <0.001 | 0.58 (0.53, 0.63) | <0.001 |
| Proteinuria-developed vs. Chronic proteinuria (reference) | 0.52 (0.48, 0.56) | <0.001 | 0.65 (0.59, 0.70) | <0.001 | 0.65 (0.60, 0.71) | <0.001 |
| With Renal Diseases | ||||
| Proteinuria Status | Total (n) | Hypertension (n) | Incidence Rate (per 1000 Person Years) | Adjusted HR (95% CI) * |
| Proteinuria-free | 2532 | 1562 | 70.94 | 1 (ref) |
| Proteinuria-resolved | 76 | 56 | 98.21 | 1.46 (1.12, 1.91) |
| Proteinuria-developed | 48 | 33 | 88.31 | 1.43 (1.01, 2.02) |
| Chronic proteinuria | 29 | 25 | 185.34 | 2.62 (1.76, 3.91) |
| p for trend | <0.001 | |||
| Without Renal Diseases | ||||
| Proteinuria Status | Total (n) | Hypertension (n) | Incidence Rate (per 1000 Person Years) | Adjusted HR (95% CI) * |
| Proteinuria-free | 916,512 | 337,698 | 31.42 | 1 (ref) |
| Proteinuria-resolved | 7412 | 3075 | 37.02 | 1.16 (1.12, 1.21) |
| Proteinuria-developed | 8157 | 3605 | 41.05 | 1.30 (1.26, 1.35) |
| Chronic proteinuria | 957 | 632 | 79.61 | 2.08 (1.92, 2.25) |
| p for trend | <0.001 | |||
Disclaimer/Publisher’s Note: The statements, opinions and data contained in all publications are solely those of the individual author(s) and contributor(s) and not of MDPI and/or the editor(s). MDPI and/or the editor(s) disclaim responsibility for any injury to people or property resulting from any ideas, methods, instructions or products referred to in the content. |
© 2023 by the authors. Licensee MDPI, Basel, Switzerland. This article is an open access article distributed under the terms and conditions of the Creative Commons Attribution (CC BY) license (https://creativecommons.org/licenses/by/4.0/).
Share and Cite
Lee, H.; Park, M.-S.; Kang, M.K.; Song, T.-J. Association between Proteinuria Status and Risk of Hypertension: A Nationwide Population-Based Cohort Study. J. Pers. Med. 2023, 13, 1414. https://doi.org/10.3390/jpm13091414
Lee H, Park M-S, Kang MK, Song T-J. Association between Proteinuria Status and Risk of Hypertension: A Nationwide Population-Based Cohort Study. Journal of Personalized Medicine. 2023; 13(9):1414. https://doi.org/10.3390/jpm13091414
Chicago/Turabian StyleLee, Hyungwoo, Moo-Suk Park, Min Kyoung Kang, and Tae-Jin Song. 2023. "Association between Proteinuria Status and Risk of Hypertension: A Nationwide Population-Based Cohort Study" Journal of Personalized Medicine 13, no. 9: 1414. https://doi.org/10.3390/jpm13091414
APA StyleLee, H., Park, M.-S., Kang, M. K., & Song, T.-J. (2023). Association between Proteinuria Status and Risk of Hypertension: A Nationwide Population-Based Cohort Study. Journal of Personalized Medicine, 13(9), 1414. https://doi.org/10.3390/jpm13091414

