Distinct Characteristics of Patients with Gout and an Underweight or Normal Body Mass Index: A Single-Center Retrospective Cross-Sectional Study
Abstract
1. Introduction
2. Materials and Methods
2.1. Patient Selection
2.2. Investigated Variables
2.3. Statistical Analysis
3. Results
3.1. Comparison of Baseline Patient Characteristics Between the Two Groups
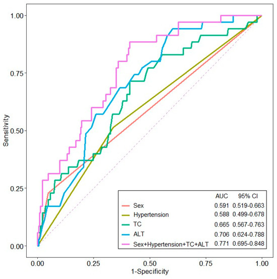
3.2. Predictive Factors for Underweight/Normal BMI in Patients with Gout and Subgroup Analyses
3.3. Gout Flares After One-Year Follow-Up by BMI Status
4. Discussion
5. Conclusions
Supplementary Materials
Author Contributions
Funding
Institutional Review Board Statement
Informed Consent Statement
Data Availability Statement
Conflicts of Interest
Abbreviations
| BMI | Body mass index |
| DM | Diabetes mellitus |
| WBC | White blood cell |
| CRP | C-reactive protein |
| ESR | Erythrocyte sedimentation rate |
| BUN | Blood urea nitrogen |
| TC | Total cholesterol |
| LDL-C | Low-density lipoprotein cholesterol |
| HDL-C | High-density lipoprotein cholesterol |
| HbA1c | Glycated hemoglobin |
| AST | Aspartate aminotransferase |
| ALT | Alanine aminotransferase |
| MSU | Monosodium urate |
| AUC | Area under the curve |
| ROC | Receiver operating characteristic |
References
- Pascual, E.; Addadi, L.; Andres, M.; Sivera, F. Mechanisms of crystal formation in gout-a structural approach. Nat. Rev. Rheumatol. 2015, 11, 725–730. [Google Scholar] [CrossRef]
- Weaver, J.S.; Vina, E.R.; Munk, P.L.; Klauser, A.S.; Elifritz, J.M.; Taljanovic, M.S. Gouty Arthropathy: Review of Clinical Manifestations and Treatment, with Emphasis on Imaging. J. Clin. Med. 2021, 11, 166. [Google Scholar] [CrossRef]
- Dalbeth, N.; Merriman, T.R.; Stamp, L.K. Gout. Lancet 2016, 388, 2039–2052. [Google Scholar] [CrossRef]
- Pecherstorfer, C.; Simon, D.; Unbehend, S.; Ellmann, H.; Englbrecht, M.; Hartmann, F.; Figueiredo, C.; Hueber, A.; Haschka, J.; Kocijan, R.; et al. A Detailed Analysis of the Association between Urate Deposition and Erosions and Osteophytes in Gout. ACR Open Rheumatol. 2020, 2, 565–572. [Google Scholar] [CrossRef]
- Lin, K.C.; Lin, H.Y.; Chou, P. Community based epidemiological study on hyperuricemia and gout in Kin-Hu, Kinmen. J. Rheumatol. 2000, 27, 1045–1050. [Google Scholar]
- Bursill, D.; Taylor, W.J.; Terkeltaub, R.; Dalbeth, N. The nomenclature of the basic disease elements of gout: A content analysis of contemporary medical journals. Semin. Arthritis Rheum. 2018, 48, 456–461. [Google Scholar] [CrossRef]
- GBD 2021 Other Musculoskeletal Disorders Collaborators. Global, regional, and national burden of other musculoskeletal disorders, 1990-2020, and projections to 2050: A systematic analysis of the Global Burden of Disease Study 2021. Lancet Rheumatol. 2023, 5, e670–e682. [Google Scholar] [CrossRef]
- Sorensen, T.I.A.; Martinez, A.R.; Jorgensen, T.S.H. Epidemiology of Obesity. Handb. Exp. Pharmacol. 2022, 274, 3–27. [Google Scholar] [CrossRef]
- Finkelstein, E.A.; Khavjou, O.A.; Thompson, H.; Trogdon, J.G.; Pan, L.; Sherry, B.; Dietz, W. Obesity and severe obesity forecasts through 2030. Am. J. Prev. Med. 2012, 42, 563–570. [Google Scholar] [CrossRef]
- Hannou, S.A.; Haslam, D.E.; McKeown, N.M.; Herman, M.A. Fructose metabolism and metabolic disease. J. Clin. Investig. 2018, 128, 545–555. [Google Scholar] [CrossRef]
- Matsuura, F.; Yamashita, S.; Nakamura, T.; Nishida, M.; Nozaki, S.; Funahashi, T.; Matsuzawa, Y. Effect of visceral fat accumulation on uric acid metabolism in male obese subjects: Visceral fat obesity is linked more closely to overproduction of uric acid than subcutaneous fat obesity. Metabolism 1998, 47, 929–933. [Google Scholar] [CrossRef]
- Panlu, K.; Zhou, Z.; Huang, L.; Ge, L.; Wen, C.; Lv, H. Associations between obesity and hyperuricemia combing mendelian randomization with network pharmacology. Heliyon 2024, 10, e27074. [Google Scholar] [CrossRef]
- Major, T.J.; Dalbeth, N.; Stahl, E.A.; Merriman, T.R. An update on the genetics of hyperuricaemia and gout. Nat. Rev. Rheumatol. 2018, 14, 341–353. [Google Scholar] [CrossRef]
- Brigham, M.D.; Milgroom, A.; Lenco, M.O.; Wang, Z.; Kent, J.D.; LaMoreaux, B.; Johnson, R.J.; Mandell, B.F.; Hadker, N.; Sanchez, H.; et al. Immunosuppressant Use and Gout in the Prevalent Solid Organ Transplantation Population. Prog. Transpl. 2020, 30, 103–110. [Google Scholar] [CrossRef]
- Dalbeth, N.; Choi, H.K.; Joosten, L.A.B.; Khanna, P.P.; Matsuo, H.; Perez-Ruiz, F.; Stamp, L.K. Gout. Nat. Rev. Dis. Primers 2019, 5, 69. [Google Scholar] [CrossRef] [PubMed]
- Wallace, S.L.; Robinson, H.; Masi, A.T.; Decker, J.L.; McCarty, D.J.; Yu, T.F. Preliminary criteria for the classification of the acute arthritis of primary gout. Arthritis Rheum. 1977, 20, 895–900. [Google Scholar] [CrossRef]
- Tan, K.C.B.; WHO Expert Consultation. Appropriate body-mass index for Asian populations and its implications for policy and intervention strategies. Lancet 2004, 363, 157–163. [Google Scholar] [CrossRef]
- Lee, J.; Son, H.; Ryu, O.H. Management Status of Cardiovascular Disease Risk Factors for Dyslipidemia among Korean Adults. Yonsei Med. J. 2017, 58, 326–338. [Google Scholar] [CrossRef]
- Taniguchi, Y.; Hayashi, T.; Tsumura, K.; Endo, G.; Fujii, S.; Okada, K. Serum uric acid and the risk for hypertension and Type 2 diabetes in Japanese men: The Osaka Health Survey. J. Hypertens. 2001, 19, 1209–1215. [Google Scholar] [CrossRef]
- Copur, S.; Demiray, A.; Kanbay, M. Uric acid in metabolic syndrome: Does uric acid have a definitive role? Eur. J. Intern. Med. 2022, 103, 4–12. [Google Scholar] [CrossRef]
- Thottam, G.E.; Krasnokutsky, S.; Pillinger, M.H. Gout and Metabolic Syndrome: A Tangled Web. Curr. Rheumatol. Rep. 2017, 19, 60. [Google Scholar] [CrossRef]
- Yamashita, S.; Matsuzawa, Y.; Tokunaga, K.; Fujioka, S.; Tarui, S. Studies on the impaired metabolism of uric acid in obese subjects: Marked reduction of renal urate excretion and its improvement by a low-calorie diet. Int. J. Obes. 1986, 10, 255–264. [Google Scholar]
- Juraschek, S.P.; Miller, E.R., 3rd; Gelber, A.C. Body mass index, obesity, and prevalent gout in the United States in 1988–1994 and 2007–2010. Arthritis Care Res. 2013, 65, 127–132. [Google Scholar] [CrossRef]
- Meigs, J.B.; Wilson, P.W.; Fox, C.S.; Vasan, R.S.; Nathan, D.M.; Sullivan, L.M.; D’Agostino, R.B. Body mass index, metabolic syndrome, and risk of type 2 diabetes or cardiovascular disease. J. Clin. Endocrinol. Metab. 2006, 91, 2906–2912. [Google Scholar] [CrossRef] [PubMed]
- Kobo, O.; Leiba, R.; Avizohar, O.; Karban, A. Normal body mass index (BMI) can rule out metabolic syndrome: An Israeli cohort study. Medicine 2019, 98, e14712. [Google Scholar] [CrossRef]
- Maruyama, S.; Nakamura, S. Why are women slimmer than men in developed countries? Econ. Hum. Biol. 2018, 30, 1–13. [Google Scholar] [CrossRef]
- Huang, X.; Jiang, X.; Wang, L.; Chen, L.; Wu, Y.; Gao, P.; Hua, F. Visceral adipose accumulation increased the risk of hyperuricemia among middle-aged and elderly adults: A population-based study. J. Transl. Med. 2019, 17, 341. [Google Scholar] [CrossRef]
- Xu, C. Hyperuricemia and nonalcoholic fatty liver disease: From bedside to bench and back. Hepatol. Int. 2016, 10, 286–293. [Google Scholar] [CrossRef] [PubMed]
- Orkaby, A.R. The Highs and Lows of Cholesterol: A Paradox of Healthy Aging? J. Am. Geriatr. Soc. 2020, 68, 236–237. [Google Scholar] [CrossRef] [PubMed]
- Schroevers, J.L.; Richard, E.; Hoevenaar-Blom, M.P.; van den Born, B.-J.H.; van Gool, W.A.; Moll van Charante, E.P.; van Dalen, J.W. Adverse Lipid Profiles Are Associated with Lower Dementia Risk in Older People. J. Am. Med. Dir. Assoc. 2024, 25, 105132. [Google Scholar] [CrossRef]
- McCormick, N.; O’Connor, M.J.; Yokose, C.; Merriman, T.R.; Mount, D.B.; Leong, A.; Choi, H.K. Assessing the Causal Relationships Between Insulin Resistance and Hyperuricemia and Gout Using Bidirectional Mendelian Randomization. Arthritis Rheumatol. 2021, 73, 2096–2104. [Google Scholar] [CrossRef]
- Lima, W.G.; Martins-Santos, M.E.; Chaves, V.E. Uric acid as a modulator of glucose and lipid metabolism. Biochimie 2015, 116, 17–23. [Google Scholar] [CrossRef]
- Nakatochi, M.; Kanai, M.; Nakayama, A.; Hishida, A.; Kawamura, Y.; Ichihara, S.; Akiyama, M.; Ikezaki, H.; Furusyo, N.; Shimizu, S.; et al. Genome-wide meta-analysis identifies multiple novel loci associated with serum uric acid levels in Japanese individuals. Commun. Biol. 2019, 2, 115. [Google Scholar] [CrossRef] [PubMed]
- Chen, Y.J.; Chen, I.C.; Lin, H.J.; Lin, Y.C.; Chang, J.C.; Chen, Y.M.; Hsiao, T.H.; Chen, P.C.; Lin, C.H. Association of ABCG2 rs2231142 Allele and BMI With Hyperuricemia in an East Asian Population. Front. Genet. 2021, 12, 709887. [Google Scholar] [CrossRef] [PubMed]
- Çorbacıoğlu, Ş.K.; Aksel, G. Receiver operating characteristic curve analysis in diagnostic accuracy studies: A guide to interpreting the area under the curve value. Turk. J. Emerg. Med. 2023, 23, 195–198. [Google Scholar] [CrossRef] [PubMed]

| Total (n = 269) | Underweight/Normal BMI (n = 35) | Overweight/Obesity (n = 234) | p-Value | |
|---|---|---|---|---|
| Demographic data | ||||
| Age (year) | 47.6 ± 17.2 | 56.6 ± 18.5 | 46.3 ± 16.6 | <0.001 |
| Sex, female (%) | 19 (7.1) | 8 (22.9) | 11 (4.7) | <0.001 |
| BMI (kg/m2) | 27.4 ± 4.7 | 20.7 ± 2.4 | 28.4 ± 4.1 | <0.001 |
| Alcohol (%) | 170 (63.2) | 16 (45.7) | 154 (65.8) | 0.022 |
| Smoking (%) | 95 (35.3) | 12 (34.3) | 83 (35.5) | 0.891 |
| New-onset disease (%) | 81 (30.1) | 10 (28.6) | 71 (30.3) | 0.832 |
| Patient comorbidities | ||||
| Hypertension (%) | 172 (63.9) | 17 (48.6) | 155 (66.2) | 0.043 |
| DM (%) | 33 (12.3) | 5 (14.3) | 28 (12.0) | 0.781 |
| Dyslipidemia (%) | 187 (69.5) | 22 (62.9) | 165 (70.5) | 0.360 |
| Laboratory data | ||||
| WBC count (cells/mm3) | 7679.9 ± 2218.0 | 7321.7 ± 2171.2 | 7733.5 ± 2224.6 | 0.307 |
| CRP (mg/L) | 13.1 ± 28.4 | 19.3 ± 40.0 | 12.2 ± 26.2 | 0.169 |
| ESR (mm/h) | 20.0 ± 24.4 | 31.2 ± 30.4 | 18.3 ± 22.9 | 0.003 |
| BUN (mg/dL) | 15.3 ± 8.3 | 17.8 ± 10.9 | 14.9 ± 7.8 | 0.060 |
| Creatinine (mg/dL) | 1.0 ± 0.3 | 1.1 ± 0.5 | 1.0 ± 0.3 | 0.355 |
| Uric acid (mg/dL) | 7.9 ± 1.7 | 7.2 ± 1.8 | 8.0 ± 1.6 | 0.008 |
| TC (mg/dL) | 186.1 ± 47.5 | 161.4 ± 51.5 | 189.8 ± 45.8 | <0.001 |
| LDL-C (mg/dL) | 122.1 ± 40.7 | 101.8 ± 42.0 | 125.1 ± 39.7 | 0.002 |
| HDL-C (mg/dL) | 46.2 ± 12.9 | 48.0 ± 18.8 | 46.0 ± 11.8 | 0.395 |
| Triglyceride (mg/dL) | 182.6 ± 138.4 | 121.4 ± 83.7 | 191.7 ± 142.7 | 0.005 |
| HbA1c (%) | 5.8 ± 0.8 | 5.8 ± 1.3 | 5.7 ± 0.7 | 0.667 |
| Fasting glucose (mg/dL) | 102.9 ± 23.5 | 101.1 ± 16.4 | 103.2 ± 24.4 | 0.628 |
| AST (IU/L) | 28.8 ± 27.2 | 23.6 ± 10.7 | 29.6 ± 28.8 | 0.228 |
| ALT (IU/L) | 37.1 ± 31.7 | 21.4 ± 12.8 | 39.5 ± 33.0 | 0.002 |
| Underweight/Normal BMI (n = 35) | Overweight/Obesity (n = 234) | |||||
|---|---|---|---|---|---|---|
| Characteristics | Correlation Coefficient | 95% CI | p-Value | Correlation Coefficient | 95% CI | p-Value |
| Age | −0.100 | −0.419 to 0.241 | 0.568 | −0.287 | −0.400 to −0.165 | <0.001 |
| Sex, female | −0.337 | −0.603 to −0.004 | 0.048 | −0.020 | −0.148 to 0.109 | 0.761 |
| Alcohol | 0.017 | −0.318 to 0.348 | 0.923 | −0.038 | −0.165 to 0.091 | 0.568 |
| Smoking | 0.104 | −0.237 to 0.423 | 0.551 | −0.083 | −0.209 to 0.045 | 0.203 |
| New onset gout | −0.160 | −0.468 to 0.183 | 0.359 | −0.002 | −0.130 to 0.126 | 0.977 |
| Hypertension | 0.133 | −0.210 to 0.446 | 0.446 | 0.201 | 0.075 to 0.321 | 0.002 |
| DM | 0.057 | −0.282 to 0.383 | 0.747 | 0.027 | −0.102 to 0.155 | 0.680 |
| Dyslipidemia | −0.100 | −0.419 to 0.242 | 0.569 | 0.162 | 0.035 to 0.284 | 0.013 |
| WBC count | −0.073 | −0.397 to 0.266 | 0.676 | 0.022 | −0.107 to 0.150 | 0.740 |
| CRP | 0.037 | −0.300 to 0.365 | 0.834 | −0.145 | −0.268 to −0.017 | 0.027 |
| ESR | −0.222 | −0.517 to 0.120 | 0.200 | −0.134 | −0.258 to −0.006 | 0.040 |
| BUN | −0.046 | −0.374 to 0.291 | 0.791 | −0.119 | −0.243 to 0.010 | 0.071 |
| Creatinine | −0.122 | −0.438 to 0.220 | 0.484 | −0.149 | −0.272 to −0.021 | 0.023 |
| Uric acid | −0.001 | −0.334 to 0.332 | 0.994 | 0.190 | 0.063 to 0.311 | 0.004 |
| TC | −0.003 | −0.336 to 0.330 | 0.985 | 0.040 | −0.088 to 0.168 | 0.540 |
| LDL-C | −0.015 | −0.346 to 0.320 | 0.934 | 0.089 | −0.039 to 0.215 | 0.173 |
| HDL-C | −0.010 | −0.343 to 0.324 | 0.952 | −0.122 | −0.246 to 0.007 | 0.064 |
| Triglyceride | −0.028 | −0.358 to 0.308 | 0.871 | 0.035 | −0.094 to 0.162 | 0.599 |
| HbA1c | 0.035 | −0.301 to 0.364 | 0.840 | 0.101 | −0.027 to 0.227 | 0.122 |
| Fasting glucose | −0.021 | −0.351 to 0.315 | 0.907 | −0.027 | −0.155 to 0.102 | 0.682 |
| AST | −0.177 | −0.482 to 0.166 | 0.310 | 0.010 | −0.119 to 0.138 | 0.881 |
| ALT | 0.232 | −0.110 to 0.525 | 0.180 | 0.314 | 0.194 to 0.425 | <0.001 |
| Characteristics | Univariate Analysis | Multivariate Analysis (Stepwise) | ||||
|---|---|---|---|---|---|---|
| OR | 95% CI | p-Value | OR | 95% CI | p-Value | |
| Age | 1.032 | 1.012 to 1.053 | 0.001 | |||
| Sex, female | 6.007 | 2.222 to 16.237 | <0.001 | 3.831 | 1.254 to 11.705 | 0.018 |
| Alcohol | 0.438 | 0.213 to 0.897 | 0.024 | |||
| Smoking | 0.949 | 0.449 to 2.005 | 0.891 | |||
| New onset gout | 0.918 | 0.419 to 2.012 | 0.831 | |||
| Hypertension | 0.481 | 0.235 to 0.985 | 0.045 | 0.367 | 0.166 to 0.809 | 0.013 |
| DM | 1.226 | 0.440 to 3.420 | 0.697 | |||
| Dyslipidemia | 0.708 | 0.337 to 1.485 | 0.360 | |||
| WBC count | 1.000 | 1.000 to 1.000 | 0.306 | |||
| CRP | 1.007 | 0.997 to 1.017 | 0.183 | |||
| ESR | 1.018 | 1.005 to 1.030 | 0.005 | |||
| BUN | 1.031 | 0.997 to 1.066 | 0.076 | |||
| Creatinine | 1.504 | 0.627 to 3.607 | 0.361 | |||
| Uric acid | 0.738 | 0.589 to 0.924 | 0.008 | |||
| TC | 0.987 | 0.979 to 0.995 | 0.001 | 0.990 | 0.982 to 0.999 | 0.031 |
| LDL-C | 0.986 | 0.977 to 0.995 | 0.002 | |||
| HDL-C | 1.011 | 0.985 to 1.038 | 0.394 | |||
| Triglyceride | 0.990 | 0.984 to 0.996 | 0.001 | |||
| HbA1c | 1.093 | 0.730 to 1.635 | 0.667 | |||
| Fasting glucose | 0.995 | 0.977 to 1.014 | 0.627 | |||
| AST | 0.977 | 0.946 to 1.010 | 0.170 | |||
| ALT | 0.953 | 0.926 to 0.981 | 0.001 | 0.967 | 0.941 to 0.995 | 0.019 |
Disclaimer/Publisher’s Note: The statements, opinions and data contained in all publications are solely those of the individual author(s) and contributor(s) and not of MDPI and/or the editor(s). MDPI and/or the editor(s) disclaim responsibility for any injury to people or property resulting from any ideas, methods, instructions or products referred to in the content. |
© 2025 by the authors. Licensee MDPI, Basel, Switzerland. This article is an open access article distributed under the terms and conditions of the Creative Commons Attribution (CC BY) license (https://creativecommons.org/licenses/by/4.0/).
Share and Cite
Ahn, S.S.; Kim, J.A.; Ryu, S.; Shin, Y.; Choi, S.H.; Choi, K.Y.; Bae, K. Distinct Characteristics of Patients with Gout and an Underweight or Normal Body Mass Index: A Single-Center Retrospective Cross-Sectional Study. Life 2025, 15, 1876. https://doi.org/10.3390/life15121876
Ahn SS, Kim JA, Ryu S, Shin Y, Choi SH, Choi KY, Bae K. Distinct Characteristics of Patients with Gout and an Underweight or Normal Body Mass Index: A Single-Center Retrospective Cross-Sectional Study. Life. 2025; 15(12):1876. https://doi.org/10.3390/life15121876
Chicago/Turabian StyleAhn, Sung Soo, Jiyoung Agatha Kim, Soorack Ryu, Yagop Shin, Sung Hoon Choi, Ka Young Choi, and Kunhyung Bae. 2025. "Distinct Characteristics of Patients with Gout and an Underweight or Normal Body Mass Index: A Single-Center Retrospective Cross-Sectional Study" Life 15, no. 12: 1876. https://doi.org/10.3390/life15121876
APA StyleAhn, S. S., Kim, J. A., Ryu, S., Shin, Y., Choi, S. H., Choi, K. Y., & Bae, K. (2025). Distinct Characteristics of Patients with Gout and an Underweight or Normal Body Mass Index: A Single-Center Retrospective Cross-Sectional Study. Life, 15(12), 1876. https://doi.org/10.3390/life15121876

