Standardized and Quantitative ICG Perfusion Assessment: Feasibility and Reproducibility in a Multicentre Setting
Abstract
1. Introduction
2. Materials and Methods
2.1. Study Design and Participants
2.2. Postoperative Hypoparathyroidism
2.3. Intra-Operative Imaging
2.4. Multicentre Cohort
2.5. Root Cause Analysis Cohort
2.6. Quantification Protocol
2.7. Statistical Analysis
3. Results
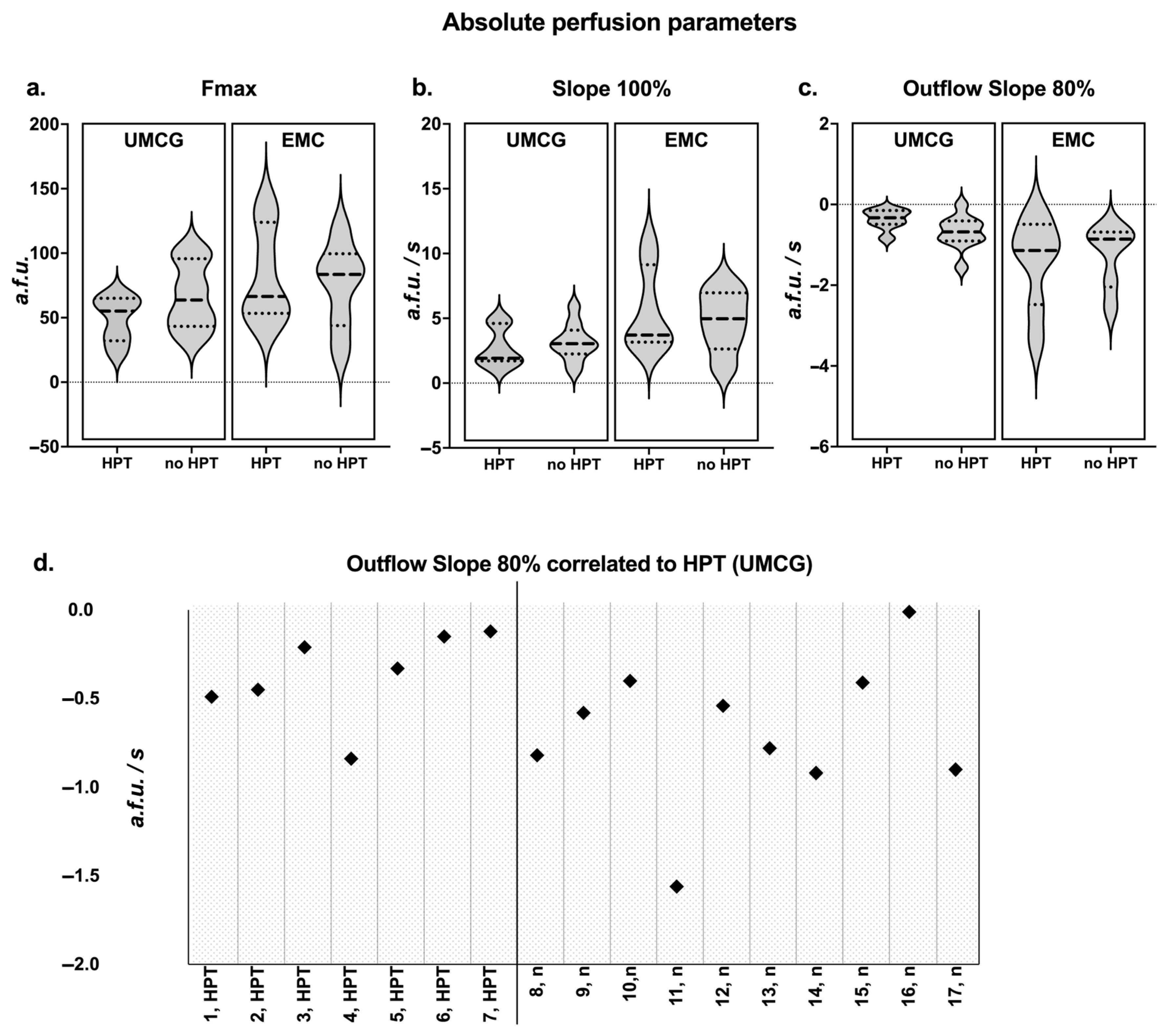
3.1. Multicentre Cohort
3.2. Protocol Deviations
3.3. Root Cause Analysis Cohort
4. Discussion
5. Conclusions
Supplementary Materials
Author Contributions
Funding
Institutional Review Board Statement
Informed Consent Statement
Data Availability Statement
Conflicts of Interest
Abbreviations
| ICG | Indocyanine green |
| NIRF | Near-infrared fluorescence |
| HPT | Hypoparathyroidism |
| WISQ | Workflow model for ICG-angiography integrating Standardization and Quantification |
| UMCG | University Medical Centre Groningen |
| EMC | Erasmus Medical Centre |
| PTH | Parathyroid hormone |
| PG | Parathyroid gland |
| ROI | Region of interest |
| PSR | Parathyroid-to-skin ratio |
| LIG | Least impacted gland |
| Fmax | Maximum fluorescence intensity |
| T | Time |
| a.f.u. | Arbitrary flow units |
| a.f.u./s | Arbitrary flow units per second |
| PET | Positron emitting tomography |
References
- Sripathi, S.; Khan, M.I.; Patel, N.; Meda, R.T.; Nuguru, S.P.; Rachakonda, S. Factors Contributing to Anastomotic Leakage Following Colorectal Surgery: Why, When, and Who Leaks? Cureus 2022, 14, e29964. [Google Scholar] [CrossRef] [PubMed]
- Bhullar, H.; Hunter-Smith, D.J.; Rozen, W.M. Fat Necrosis After DIEP Flap Breast Reconstruction: A Review of Perfusion-Related Causes. Aesthetic Plast. Surg. 2020, 44, 1454–1461. [Google Scholar] [CrossRef]
- Maheshwari, M.; Khan, I.A. Risk Factors for Transient and Permanent Hypoparathyroidism Following Thyroidectomy: A Comprehensive Review. Cureus 2024, 16, e66551. [Google Scholar] [CrossRef]
- Edafe, O.; Antakia, R.; Laskar, N.; Uttley, L.; Balasubramanian, S.P. Systematic Review and Meta-Analysis of Predictors of Post-Thyroidectomy Hypocalcaemia. Br. J. Surg. 2014, 101, 307–320. [Google Scholar] [CrossRef]
- Alander, J.T.; Kaartinen, I.; Laakso, A.; Pätilä, T.; Spillmann, T.; Tuchin, V.V.; Venermo, M.; Välisuo, P. A Review of Indocyanine Green Fluorescent Imaging in Surgery. Int. J. Biomed. Imaging 2012, 2012, 940585. [Google Scholar] [CrossRef]
- Kim, D.H.; Kim, S.H.; Jung, J.; Kim, S.W.; Hwang, S.H. Indocyanine Green Fluorescence for Parathyroid Gland Identification and Function Prediction: Systematic Review and Meta-Analysis. Head Neck 2022, 44, 783–791. [Google Scholar] [CrossRef] [PubMed]
- Kim, D.H.; Lee, S.; Jung, J.; Kim, S.; Kim, S.W.; Hwang, S.H. Near-Infrared Autofluorescence-Based Parathyroid Glands Identification in the Thyroidectomy or Parathyroidectomy: A Systematic Review and Meta-Analysis. Langenbecks Arch. Surg. 2022, 407, 491–499. [Google Scholar] [CrossRef] [PubMed]
- Heeman, W.; Vonk, J.; Ntziachristos, V.; Pogue, B.W.; Dierckx, R.A.J.O.; Kruijff, S.; Van Dam, G.M. A Guideline for Clinicians Performing Clinical Studies with Fluorescence Imaging. J. Nucl. Med. 2022, 63, 640–645. [Google Scholar] [CrossRef]
- Galema, H.A.; Faber, R.A.; Tange, F.P.; Hilling, D.E.; van der Vorst, J.R. A Quantitative Assessment of Perfusion of the Gastric Conduit after Oesophagectomy Using Near-Infrared Fluorescence with Indocyanine Green. Eur. J. Surg. Oncol. 2023, 49, 990–995. [Google Scholar] [CrossRef]
- Pantelis, A.G.; Machairiotis, N.; Stavros, S.; Disu, S.; Drakakis, P. Current Applications of Indocyanine Green (ICG) in Abdominal, Gynecologic and Urologic Surgery: A Meta-Review and Quality Analysis with Use of the AMSTAR 2 Instrument. Surg. Endosc. 2024, 38, 511–528. [Google Scholar] [CrossRef]
- Van Den Hoven, P.; Verduijn, P.S.; Van Capelle, L.; Tange, F.P.; Michi, M.; Corion, L.U.M.; Sibinga Mulder, B.G.; Mureau, M.A.M.; Vahrmeijer, A.L.; Van Der Vorst, J.R. Quantification of Near-Infrared Fluorescence Imaging with Indocyanine Green in Free Flap Breast Reconstruction. J. Plast. Reconstr. Aesthetic Surg. 2022, 75, 1820–1825. [Google Scholar] [CrossRef]
- Van Den Hoven, P.; Tange, F.; Van Der Valk, J.; Nerup, N.; Putter, H.; Van Rijswijk, C.; Van Schaik, J.; Schepers, A.; Vahrmeijer, A.; Hamming, J.; et al. Normalization of Time-Intensity Curves for Quantification of Foot Perfusion Using Near-Infrared Fluorescence Imaging with Indocyanine Green. J. Endovasc. Ther. 2023, 30, 364–371. [Google Scholar] [CrossRef]
- Lütken, C.D.; Achiam, M.P.; Svendsen, M.B.; Boni, L.; Nerup, N. Optimizing Quantitative Fluorescence Angiography for Visceral Perfusion Assessment. Surg. Endosc. 2020, 34, 5223–5233. [Google Scholar] [CrossRef] [PubMed]
- Goncalves, L.N.; van den Hoven, P.; van Schaik, J.; Leeuwenburgh, L.; Hendricks, C.H.F.; Verduijn, P.S.; van der Bogt, K.E.A.; van Rijswijk, C.S.P.; Schepers, A.; Vahrmeijer, A.L.; et al. Perfusion Parameters in Near-Infrared Fluorescence Imaging with Indocyanine Green: A Systematic Review of the Literature. Life 2021, 11, 433. [Google Scholar] [CrossRef]
- Noltes, M.E.; Metman, M.J.H.; Heeman, W.; Rotstein, L.; Van Ginhoven, T.M.; Vriens, M.R.; Engelsman, A.F.; Boerma, E.C.; Brouwers, A.H.; Van Dam, G.M.; et al. A Novel and Generic Workflow of Indocyanine Green Perfusion Assessment Integrating Standardization and Quantification Toward Clinical Implementation. Ann. Surg. 2021, 274, E659–E663. [Google Scholar] [CrossRef] [PubMed]
- Noltes, M.E.; Metman, M.J.H.; Jansen, L.; Peeperkorn, E.W.M.; Engelsman, A.F.; Kruijff, S. Parathyroid Function Saving Total Thyroidectomy Using Autofluorescence and Quantified Indocyanine Green Angiography. Video Endocrinol. 2022, 9. [Google Scholar] [CrossRef]
- Lončar, I.; Noltes, M.E.; Dickhoff, C.; Engelsman, A.F.; Schepers, A.; Vriens, M.R.; Bouvy, N.D.; Kruijff, S.; Van Ginhoven, T.M. Persistent Postthyroidectomy Hypoparathyroidism in the Netherlands. JAMA Otolaryngol. Head Neck Surg. 2021, 147, 959–965. [Google Scholar] [CrossRef]
- Wang, W.; Xia, F.; Meng, C.; Zhang, Z.; Bai, N.; Li, X. Prediction of Permanent Hypoparathyroidism by Parathyroid Hormone and Serum Calcium 24 h after Thyroidectomy. Am. J. Otolaryngol. Head Neck Med. Surg. 2018, 39, 746–750. [Google Scholar] [CrossRef] [PubMed]
- Lončar, I.; Dulfer, R.R.; Massolt, E.T.; Timman, R.; de Rijke, Y.B.; Franssen, G.J.H.; Burger, P.J.W.A.; Smit, C.; van der Horst, F.A.L.; Peeters, R.P.; et al. Postoperative Parathyroid Hormone Levels as a Predictor for Persistent Hypoparathyroidism. Eur. J. Endocrinol. 2020, 183, 149–159. [Google Scholar] [CrossRef]
- Gupta, S.; Chaudhary, P.; Durga, C.K.; Naskar, D. Validation of Intra-Operative Parathyroid Hormone and Its Decline as Early Predictors of Hypoparathyroidism after Total Thyroidectomy: A Prospective Cohort Study. Int. J. Surg. 2015, 18, 150–153. [Google Scholar] [CrossRef]
- Gorpas, D.; Koch, M.; Anastasopoulou, M.; Bozhko, D.; Klemm, U.; Nieberler, M.; Ntziachristos, V. Multi-Parametric Standardization of Fluorescence Imaging Systems Based on a Composite Phantom. IEEE Trans. Biomed. Eng. 2020, 67, 185–192. [Google Scholar] [CrossRef] [PubMed]
- Ilahi, A.; Muco, E.; Ilahi, T.B. Anatomy, Head and Neck, Parathyroid. In StatPearls; StatPearls Publishing LLC: Tampa, FL, USA, 2025. [Google Scholar]
- Claussen, C.D.; Banzer, D.; Pfretzschner, C.; Kalender, W.A.; Schörner, W. Bolus Geometry and Dynamics after Intravenous Contrast Medium Injection. Radiology 1984, 153, 365–368. [Google Scholar] [CrossRef]
- Clark, T.J.; Gunn, M.L. CT Angiography in the Emergency Department: Maximizing Contrast Enhancement and Image Quality While Minimizing Radiation Dose and Contrast Material Volume. Radiographics 2017, 37, 1304–1305. [Google Scholar] [CrossRef]
- Mordon, S.; Devoisselle, J.M.; Soulie-Begu, S.; Desmettre, T. Indocyanine Green: Physicochemical Factors Affecting Its Fluorescence in Vivo. Microvasc. Res. 1998, 55, 146–152. [Google Scholar] [CrossRef]
- Coates, E. Aggregation of Dyes in Aqueous Solutions. J. Soc. Dye. Colour. 1969, 85, 355–368. [Google Scholar] [CrossRef]
- Zhou, J.F.; Chin, M.P.; Schafer, S.A. Aggregation and Degradation of Indocyanine Green. Laser Surg. Adv. Charact. Ther. Syst. IV 1994, 2128, 495–505. [Google Scholar] [CrossRef]
- SmPC Indocyanine Groen. Available online: https://www.geneesmiddeleninformatiebank.nl/smpc/h31052_smpc.pdf (accessed on 8 May 2024).
- NDA/BLA Multi-Disciplinary Review and Evaluation NDA 211580 505(b)(2). SPY AGENT Green, Indocyanine Green. Available online: https://www.fda.gov/media/124115/download (accessed on 8 May 2024).
- Desmettre, T.; Devoisselle, J.M.; Mordon, S. Fluorescence Properties and Metabolic Features of Indocyanine Green (ICG) as Related to Angiography. Surv. Ophthalmol. 2000, 45, 15–27. [Google Scholar] [CrossRef]
- Rajagopalan, R.; Uetrecht, P.; Bugaj, J.E.; Achilefu, S.A.; Dorshow, R.B. Stabilization of the Optical Tracer Agent Indocyanine Green Using Noncovalent Interactions. Photochem. Photobiol. 2000, 71, 347–350. [Google Scholar] [CrossRef] [PubMed]
- Li, D.H.; Smith, B.D. Deuterated Indocyanine Green (ICG) with Extended Aqueous Storage Shelf-Life: Chemical and Clinical Implications. Chem. A Eur. J. 2021, 27, 14535–14542. [Google Scholar] [CrossRef] [PubMed]
- Bricks, J.L.; Slominskii, Y.L.; Panas, I.D.; Demchenko, A.P. Fluorescent J-Aggregates of Cyanine Dyes: Basic Research and Applications Review. Methods Appl. Fluoresc. 2017, 6, 012001. [Google Scholar] [CrossRef]
- Herz, A.H. Aggregation of Sensitizing Dyes in Solution and Their Adsorption onto Silver Halides. Adv. Colloid Interface Sci. 1977, 8, 237–298. [Google Scholar] [CrossRef]
- Saxena, V.; Sadoqi, M.; Shao, J. Degradation Kinetics of Indocyanine Green in Aqueous Solution. J. Pharm. Sci. 2003, 92, 2090–2097. [Google Scholar] [CrossRef] [PubMed]
- Fox, I.J.; Wood, E.H. Indocyanine Green: Physical and Physiological Properties. Proc. Staff Meet. Mayo Clin. 1960, 35, 732–744. [Google Scholar]
- Landsman, M.L.J.; Kwant, G.; Mook, G.A.; Zijlstra, W.G. Light-Absorbing Properties, Stability, and Spectral Stabilization of Indocyanine Green. J. Appl. Physiol. 1976, 40, 575–583. [Google Scholar] [CrossRef]
- Chon, B.; Ghann, W.; Uddin, J.; Anvari, B.; Kundra, V. Indocyanine Green (ICG) Fluorescence Is Dependent on Monomer with Planar and Twisted Structures and Inhibited by H-Aggregation. Int. J. Mol. Sci. 2023, 24, 13030. [Google Scholar] [CrossRef]
- Al-Taher, M.; Pruimboom, T.; Schols, R.M.; Okamoto, N.; Bouvy, N.D.; Stassen, L.P.S.; van der Hulst, R.R.W.J.; Kugler, M.; Hostettler, A.; Noll, E.; et al. Influence of Intraoperative Vasopressor Use on Indocyanine Green Fluorescence Angiography: First Evaluation in an Experimental Model. Sci. Rep. 2021, 11, 9650. [Google Scholar] [CrossRef]
- Van Osch, M.J.P.; Vonken, E.J.P.A.; Wu, O.; Viergever, M.A.; Van der Grond, J.; Bakker, C.J.G. Model of the Human Vasculature for Studying the Influence of Contrast Injection Speed on Cerebral Perfusion MRI. Magn. Reson. Med. 2003, 50, 614–622. [Google Scholar] [CrossRef]
- Mannheim, J.G.; Mamach, M.; Reder, S.; Traxl, A.; Mucha, N.; Disselhorst, J.A.; Mittelhauser, M.; Kuntner, C.; Thackeray, J.T.; Ziegler, S.; et al. Reproducibility and Comparability of Preclinical PET Imaging Data: A Multicenter Small-Animal PET Study. J. Nucl. Med. 2019, 60, 1483–1491. [Google Scholar] [CrossRef] [PubMed]
- Doot, R.K.; Scheuermann, J.S.; Christian, P.E.; Karp, J.S.; Kinahan, P.E. Instrumentation Factors Affecting Variance and Bias of Quantifying Tracer Uptake with PET/CT. Med. Phys. 2010, 37, 6035–6046. [Google Scholar] [CrossRef] [PubMed]





| Camera System | n | Injection Rate of 1st Administration | Injection Rate of 2nd Administration | Concentration | |
|---|---|---|---|---|---|
| Group 1 | Quest Platform 2.0 | 3 | Slow | Fast | 2.5 mg/mL |
| Group 2 | Quest Platform 2.0 | 3 | Fast | Slow | 2.5 mg/mL |
| Group 3 | Quest Platform 2.0 | 3 | Fast | Fast | 2.5 mg/mL |
| Group 4 | Stryker Spy-Elite | 3 | Fast | Fast | 2.5 mg/mL |
| Group 5 | Quest Platform 2.0 | 3 | Fast * | Fast * | 0.5 mg/mL |
| First | Second | ||||||||
|---|---|---|---|---|---|---|---|---|---|
| N | Median | Q1 | Q3 | Median | Q1 | Q3 | p | ||
| T of Inflow Start (s) | Slow—Fast (group 1) | 5 | 32 | 31 | 33 | 20 | 18 | 22 | |
| Fast—Slow (group 2) | 4 | 15 | 14 | 20 | 23 | 21 | 27 | ||
| Fast—Fast (group 3) | 6 | 28 | 23 | 31 | 24 | 21 | 28 | ||
| 1st vs. 2nd injection | 15 | 28 | 18 | 32 | 22 | 20 | 25 | 0.19 | |
| Fmax (a.f.u.) | Slow—Fast (group 1) | 5 | 58.2 | 25.2 | 79.1 | 38.8 | 23.6 | 48.3 | |
| Fast—Slow (group 2) | 4 | 54.1 | 40.9 | 82.9 | 38.8 | 27.7 | 50.5 | ||
| Fast—Fast (group 3) | 6 | 38.5 | 15.5 | 87.7 | 34.3 | 14.1 | 57.4 | ||
| 1st vs. 2nd injection | 15 | 52.6 | 24.4 | 76.9 | 38.8 | 21.5 | 49.5 | 0.08 | |
| Time to Peak (s) | Slow—Fast (group 1) | 5 | 37.4 | 17.4 | 93.5 | 17.0 | 12.9 | 103.9 | |
| Fast—Slow (group 2) | 4 | 17.9 | 10.6 | 36.5 | 19.5 | 15.6 | 33.2 | ||
| Fast—Fast (group 3) | 6 | 45.2 | 18.0 | 60.0 | 31.8 | 18.4 | 38.8 | ||
| 1st vs. 2nd injection | 15 | 37.4 | 14.8 | 47.8 | 22.2 | 15.2 | 36.8 | 0.21 | |
| Inflow Slope (a.f.u./s) | Slow—Fast (group 1) | 5 | 1.53 | 0.40 | 2.69 | 1.28 | 0.28 | 3.40 | |
| Fast—Slow (group 2) | 4 | 3.67 | 1.20 | 5.87 | 1.66 | 0.95 | 2.78 | ||
| Fast—Fast (group 3) | 6 | 0.85 | 0.39 | 2.82 | 0.87 | 0.49 | 2.37 | ||
| 1st vs. 2nd injection | 15 | 1.53 | 0.51 | 3.42 | 1.02 | 0.59 | 2.88 | 0.07 | |
| Outflow Slope (a.f.u./s) | Slow—Fast (group 1) | 2 | −0.36 | −0.30 | |||||
| Fast—Slow (group 2) | 3 | −1.54 | −0.47 | ||||||
| Fast—Fast (group 3) | 4 | −0.34 | −0.49 | −0.13 | −0.29 | −0.42 | −0.15 | ||
| 1st vs. 2nd injection | 9 | −0.36 | −1.04 | −0.34 | −0.30 | −0.65 | −0.28 | 0.02 * |
Disclaimer/Publisher’s Note: The statements, opinions and data contained in all publications are solely those of the individual author(s) and contributor(s) and not of MDPI and/or the editor(s). MDPI and/or the editor(s) disclaim responsibility for any injury to people or property resulting from any ideas, methods, instructions or products referred to in the content. |
© 2025 by the authors. Licensee MDPI, Basel, Switzerland. This article is an open access article distributed under the terms and conditions of the Creative Commons Attribution (CC BY) license (https://creativecommons.org/licenses/by/4.0/).
Share and Cite
Feitsma, E.; Schouw, H.; Hoffman, T.; van Dijk, S.; Heeman, W.; Vonk, J.; Tange, F.; Koetje, J.; Jansen, L.; Schepers, A.; et al. Standardized and Quantitative ICG Perfusion Assessment: Feasibility and Reproducibility in a Multicentre Setting. Life 2025, 15, 1868. https://doi.org/10.3390/life15121868
Feitsma E, Schouw H, Hoffman T, van Dijk S, Heeman W, Vonk J, Tange F, Koetje J, Jansen L, Schepers A, et al. Standardized and Quantitative ICG Perfusion Assessment: Feasibility and Reproducibility in a Multicentre Setting. Life. 2025; 15(12):1868. https://doi.org/10.3390/life15121868
Chicago/Turabian StyleFeitsma, Eline, Hugo Schouw, Tim Hoffman, Sam van Dijk, Wido Heeman, Jasper Vonk, Floris Tange, Jan Koetje, Liesbeth Jansen, Abbey Schepers, and et al. 2025. "Standardized and Quantitative ICG Perfusion Assessment: Feasibility and Reproducibility in a Multicentre Setting" Life 15, no. 12: 1868. https://doi.org/10.3390/life15121868
APA StyleFeitsma, E., Schouw, H., Hoffman, T., van Dijk, S., Heeman, W., Vonk, J., Tange, F., Koetje, J., Jansen, L., Schepers, A., van Ginhoven, T., Kelder, W., van Dam, G., Szymanski, W., Noltes, M., & Kruijff, S. (2025). Standardized and Quantitative ICG Perfusion Assessment: Feasibility and Reproducibility in a Multicentre Setting. Life, 15(12), 1868. https://doi.org/10.3390/life15121868

