Dust Mite-Specific IgE in Nasal Lavage Fluid During Natural Allergen Exposure and After Nasal Provocation Test in Subjects with Suspected Local Allergic Rhinitis
Abstract
1. Introduction
2. Population and Methods
2.1. Subjects’ Recruitment
2.2. Skin Prick Tests (SPTs) and Serum IgE Assessment
2.3. Total Nasal Symptom Score (TNSS) and Visual Analog Scale (VAS)
2.4. Nasal Provocation Test (NPT)
2.5. Nasal Secretion Acquisition
2.6. Local Specific Immunoglobulin E (sIgE) and Total IgE
2.7. Statistical Analysis
3. Results
3.1. HDM Exposure Period vs. Off-Exposure Period
3.2. Pre-NPT vs. Post-NPT
- For sIgE to Dermatophagoides pteronyssinus (D1): 50.5% (Group A, pre-NPT); 56.6% (Group A, post-NPT); 64.8% (Group B, pre-NPT); 69.5% (Group B, post-NPT)
- For sIgE to Dermatophagoides farinae (D2): 54.8% (Group A, pre-NPT); 53.3% (Group A, pot-NPT); 76.4% (Group B, pre-NPT); 68.2% (Group B, post-NPT)
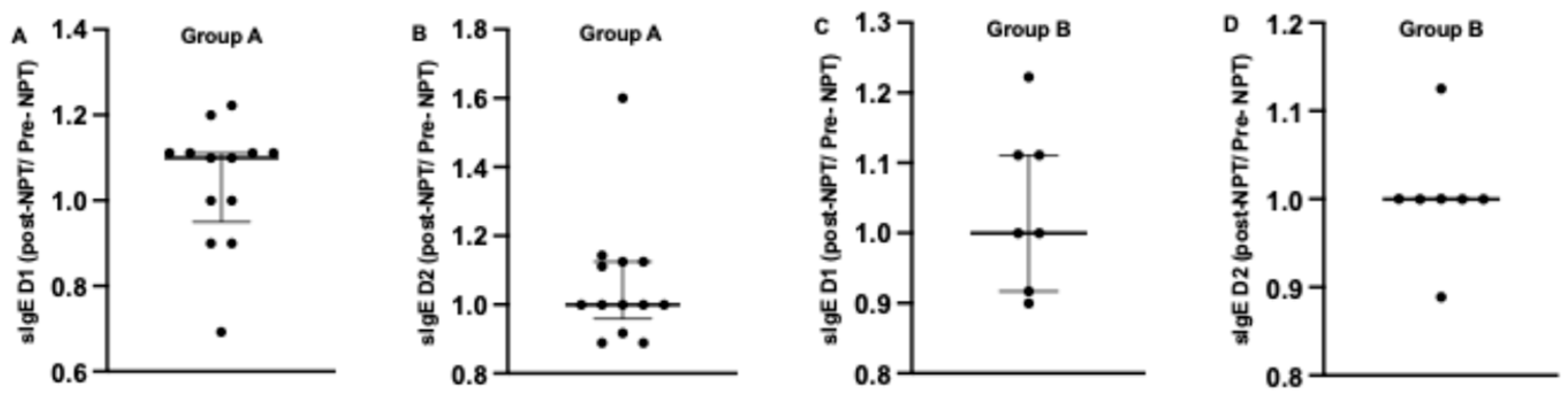
3.3. Total and Relative Change of sIgE to D1 and D2
4. Discussion
Limitations
5. Conclusions
Author Contributions
Funding
Institutional Review Board Statement
Informed Consent Statement
Data Availability Statement
Acknowledgments
Conflicts of Interest
References
- Meltzer, E.O. Allergic Rhinitis. Immunol. Allergy Clin. N. Am. 2016, 36, 235–248. [Google Scholar] [CrossRef]
- Rondón, C.; Fernández, J.; López, S.; Campo, P.; Doña, I.; Torres, M.J.; Mayorga, C.; Blanca, M. Nasal Inflammatory Mediators and Specific IgE Production after Nasal Challenge with Grass Pollen in Local Allergic Rhinitis. J. Allergy Clin. Immunol. 2009, 124, 1005–1011.e1. [Google Scholar] [CrossRef]
- Beken, B.; Eguiluz-Gracia, I.; Yazıcıoğlu, M.; Campo, P. Local Allergic Rhinitis: A Pediatric Perspective. Turk. J. Pediatr. 2020, 62, 701–710. [Google Scholar] [CrossRef]
- Bozek, A.; Ignasiak, B.; Kasperska-Zajac, A.; Scierski, W.; Grzanka, A.; Jarzab, J. Local Allergic Rhinitis in Elderly Patients. Ann. Allergy Asthma Immunol. 2015, 114, 199–202. [Google Scholar] [CrossRef]
- Rondón, C.; Doña, I.; López, S.; Campo, P.; Romero, J.J.; Torres, M.J.; Mayorga, C.; Blanca, M. Seasonal Idiopathic Rhinitis with Local Inflammatory Response and Specific IgE in Absence of Systemic Response. Allergy 2008, 63, 1352–1358. [Google Scholar] [CrossRef]
- Buntarickpornpan, P.; Veskitkul, J.; Pacharn, P.; Visitsunthorn, N.; Vichyanond, P.; Tantilipikorn, P.; Jirapongsananuruk, O. The Proportion of Local Allergic Rhinitis to Dermatophagoides pteronyssinus in Children. Pediatr. Allergy Immunol. 2016, 27, 574–579. [Google Scholar] [CrossRef] [PubMed]
- Campo, P.; Salas, M.; Blanca-López, N.; Rondón, C. Local Allergic Rhinitis. Immunol. Allergy Clin. N. Am. 2016, 36, 321–332. [Google Scholar] [CrossRef] [PubMed]
- Eguiluz-Gracia, I.; Fernandez-Santamaria, R.; Testera-Montes, A.; Ariza, A.; Campo, P.; Prieto, A.; Perez-Sanchez, N.; Salas, M.; Mayorga, C.; Torres, M.J.; et al. Coexistence of Nasal Reactivity to Allergens with and without IgE Sensitization in Patients with Allergic Rhinitis. Allergy 2020, 75, 1689–1698. [Google Scholar] [CrossRef] [PubMed]
- Eguiluz-Gracia, I.; Pérez-Sánchez, N.; Bogas, G.; Campo, P.; Rondón, C. How to Diagnose and Treat Local Allergic Rhinitis: A Challenge for Clinicians. J. Clin. Med. 2019, 8, 1062. [Google Scholar] [CrossRef]
- Rondón, C.; Campo, P.; Galindo, L.; Blanca-López, N.; Cassinello, M.S.; Rodriguez-Bada, J.L.; Torres, M.J.; Blanca, M. Prevalence and Clinical Relevance of Local Allergic Rhinitis. Allergy 2012, 67, 1282–1288. [Google Scholar] [CrossRef]
- Zicari, A.M.; Occasi, F.; Di Fraia, M.; Mainiero, F.; Porzia, A.; Galandrini, R.; Giuffrida, A.; Bosco, D.; Bertin, S.; Duse, M. Local Allergic Rhinitis in Children: Novel Diagnostic Features and Potential Biomarkers. Am. J. Rhinol. Allergy 2016, 30, 329–334. [Google Scholar] [CrossRef]
- Kim, Y.H.; Park, C.-S.; Jang, T.Y. Immunologic Properties and Clinical Features of Local Allergic Rhinitis. J. Otolaryngol. Head Neck Surg. 2012, 41, 51–57. [Google Scholar]
- Baumann, R.; Rabaszowski, M.; Stenin, I.; Tilgner, L.; Scheckenbach, K.; Wiltfang, J.; Schipper, J.; Chaker, A.; Wagenmann, M. Comparison of the Nasal Release of IL-4, IL-10, IL-17, CCL13/MCP-4, and CCL26/Eotaxin-3 in Allergic Rhinitis during Season and after Allergen Challenge. Am. J. Rhinol. Allergy 2013, 27, 266–272. [Google Scholar] [CrossRef]
- Liu, F.; Li, S.; Gao, C. Expression of Serum YKL-40 in Anaphylactic Rhinitis Patients and Association of Serum YKL-40 with Serum IL-4 and IFN-γ. Lin. Chung Er Bi Yan Hou Tou Jing Wai Ke Za Zhi 2015, 29, 260–263. [Google Scholar]
- Gröger, M.; Klemens, C.; Wendt, S.; Becker, S.; Canis, M.; Havel, M.; Pfrogner, E.; Rasp, G.; Kramer, M.F. Mediators and Cytokines in Persistent Allergic Rhinitis and Nonallergic Rhinitis with Eosinophilia Syndrome. Int. Arch. Allergy Immunol. 2012, 159, 171–178. [Google Scholar] [CrossRef] [PubMed]
- Rondon, C.; Campo, P.; Eguiluz-Gracia, I.; Plaza, C.; Bogas, G.; Galindo, P.; Mayorga, C.; Torres, M.J. Local Allergic Rhinitis Is an Independent Rhinitis Phenotype: The Results of a 10-year Follow-up Study. Allergy 2018, 73, 470–478. [Google Scholar] [CrossRef]
- Roberts, G.; Pfaar, O.; Akdis, C.A.; Ansotegui, I.J.; Durham, S.R.; Gerth van Wijk, R.; Halken, S.; Larenas-Linnemann, D.; Pawankar, R.; Pitsios, C.; et al. EAACI Guidelines on Allergen Immunotherapy: Allergic Rhinoconjunctivitis. Allergy 2018, 73, 765–798. [Google Scholar] [CrossRef]
- Ellis, A.K.; Soliman, M.; Steacy, L.; Boulay, M.-È.; Boulet, L.-P.; Keith, P.K.; Vliagoftis, H.; Waserman, S.; Neighbour, H. The Allergic Rhinitis—Clinical Investigator Collaborative (AR-CIC): Nasal Allergen Challenge Protocol Optimization for Studying AR Pathophysiology and Evaluating Novel Therapies. Allergy Asthma Clin. Immunol. 2015, 11, 16. [Google Scholar] [CrossRef] [PubMed]
- Horn, A. Nasal Provocation Testing for Detection of House Dust Mite Sensitization with Solutions Prepared by Dissolving the SQ House Dust Mite Sublingual Immunotherapy Tablet. Allergy 2018, 73, 399. [Google Scholar]
- Augé, J.; Vent, J.; Agache, I.; Airaksinen, L.; Campo Mozo, P.; Chaker, A.; Cingi, C.; Durham, S.; Fokkens, W.; Gevaert, P.; et al. EAACI Position Paper on the Standardization of Nasal Allergen Challenges. Allergy 2018, 73, 1597–1608. [Google Scholar] [CrossRef]
- Cho, S.H.; Nanda, A.; Keswani, A.; Adinoff, A.; Baroody, F.M.; Bernstein, J.A.; Gherasim, A.; Han, J.K.; Koepke, J.W.; Ledford, D.K.; et al. Nasal Allergen Challenge (NAC): Practical Aspects and Applications from an EU/US Perspective—A Work Group Report of the AAAAI Rhinitis, Rhinosinusitis and Ocular Allergy Committee. J. Allergy Clin. Immunol. 2023, 151, 1215–1222.e4. [Google Scholar] [CrossRef]
- Thwaites, R.S.; Jarvis, H.C.; Singh, N.; Jha, A.; Pritchard, A.; Fan, H.; Tunstall, T.; Nanan, J.; Nadel, S.; Kon, O.M.; et al. Absorption of Nasal and Bronchial Fluids: Precision Sampling of the Human Respiratory Mucosa and Laboratory Processing of Samples. J. Vis. Exp. 2018, 131, 56413. [Google Scholar] [CrossRef]
- Greiff, L.; Pipkorn, U.; Alkner, U.; Persson, C.G.A. The‘Nasal Pool’Device Applies Controlled Concentrations of Solutes on Human Nasal Airway Mucosa and Samples Its Surface Exudations/Secretions. Clin. Exp. Allergy 1990, 20, 253–259. [Google Scholar] [CrossRef]
- Puts, E.W.A.; Lammerts, L.; Bast, A.; van Dieijen-Visser, M.; Kremer, B. Ureum Als Verdünnungsmarker von Nasensekret in Nasaler Lavageflüssigkeit. Allergologie 2006, 29, 184–193. [Google Scholar] [CrossRef]
- López, S.; Rondón, C.; Torres, M.J.; Campo, P.; Canto, G.; Fernandez, R.; Garcia, R.; Martínez-Cañavate, A.; Blanca, M. Immediate and Dual Response to Nasal Challenge with Dermatophagoides pteronyssinus in Local Allergic Rhinitis. Clin. Exp. Allergy 2010, 40, 1007–1014. [Google Scholar] [CrossRef]
- Kim, J.H.; Yoon, M.G.; Seo, D.H.; Kim, B.S.; Ban, G.Y.; Ye, Y.M.; Shin, Y.S.; Park, H.S. Detection of Allergen Specific Antibodies from Nasal Secretion of Allergic Rhinitis Patients. Allergy Asthma Immunol. Res. 2016, 8, 329–337. [Google Scholar] [CrossRef] [PubMed]
- Santamaría, L.; Calle, A.; Tejada-Giraldo Biol, M.; Calvo, V.; Sánchez, J.; Cardona, R. Nasal Specific IgE to Der p Is Not an Acceptable Screening Test to Predict the Outcome of the Nasal Challenge Test in Patients with Non-Allergic Rhinitis. World Allergy Organ. J. 2020, 13, 100461. [Google Scholar] [CrossRef] [PubMed]
- Krajewska-Wojtys, A.; Jarzab, J.; Zawadzińska, K.; Pyrkosz, K.; Bozek, A. Local Allergic Rhinitis in Adult Patients with Chronic Nasal Symptoms. Int. Arch. Allergy Immunol. 2017, 173, 165–170. [Google Scholar] [CrossRef]
- Krajewska-Wojtys, A.; Jarzab, J.; Gawlik, R.; Bozek, A. Local Allergic Rhinitis to Pollens Is Underdiagnosed in Young Patients. Am. J. Rhinol. Allergy 2016, 30, e198–e201. [Google Scholar] [CrossRef]
- Meng, Y.; Wang, Y.; Lou, H.; Wang, K.; Meng, N.; Zhang, L.; Wang, C. Specific Immunoglobulin E in Nasal Secretions for the Diagnosis of Local Allergic Rhinitis. Rhinol. J. 2019, 57, 313–320. [Google Scholar] [CrossRef]
- Matsumoto, F.Y.; Tranquillini Gonçalves, T.R.; Solé, D.; Falbo Wandalsen, G. Local Allergic Rhinitis in Children: A Systematic Review. Allergol. Immunopathol. Madr 2022, 50, 40–47. [Google Scholar] [CrossRef]
- Rondón, C.; Romero, J.J.; López, S.; Antúnez, C.; Martín-Casañez, E.; Torres, M.J.; Mayorga, C.; R-Pena, R.; Blanca, M. Local IgE Production and Positive Nasal Provocation Test in Patients with Persistent Nonallergic Rhinitis. J. Allergy Clin. Immunol. 2007, 119, 899–905. [Google Scholar] [CrossRef]
- Campo, P.; del Carmen Plaza-Seron, M.; Eguiluz-Gracia, I.; Verge, J.; Galindo, L.; Barrionuevo, E.; Fernandez, J.; Jurado, R.; Mayorga, C.; Torres, M.J.; et al. Direct Intranasal Application of the Solid Phase of ImmunoCAP® Increases Nasal Specific Immunoglobulin E Detection in Local Allergic Rhinitis Patients. Int. Forum Allergy Rhinol. 2018, 8, 15–19. [Google Scholar] [CrossRef] [PubMed]
- Bożek, A.; Kozłowska, R.; Sybila, P.; Miodońska, M.; Mędrala, A.; Foks-Ciekalska, A.; Ignasiak, B. The Aspects of Local Allergic Rhinitis in Polish Children and Adolescents. Adv. Dermatol. Allergol. 2023, 40, 321–325. [Google Scholar] [CrossRef] [PubMed]
- Bozek, A.; Galuszka, B.; Gawlik, R.; Misiolek, M.; Scierski, W.; Grzanka, A.; Canonica, G.W. Allergen Immunotherapy against House Dust Mites in Patients with Local Allergic Rhinitis and Asthma. J. Asthma 2022, 59, 1850–1858. [Google Scholar] [CrossRef]




| Sex | Median Age + Range |
|---|---|
| Female (n = 17) | 46 [22–71] |
| Male (n = 8) | 31.5 [18–57] |
| Exposure Period | Outside of the Exposure Period | p-Value | |
|---|---|---|---|
| TNSS[0–12] | 6; [3.5–8.5] | 3; [1–6] | p = 0.0361 |
| VAS[0–100] | 61; [52–77] | 26; [16–63] | p = 0.0031 |
| sIgE–D1 (kUA/L) | 0.11; [0.1–0.125] | 0.1; [0.09–0.11] | p = 0.0502 |
| sIgE–D2 (kUA/L) | 0.1; [0.08–0.1] | 0.08; [0.08–0.09] | p = 0.0164 |
| Total IgE (kU/L) | 5.075; [4.878–5.733] | 5.370; [4.780–5.610] | p = 0.7631 |
| TNSS (0–12) | VAS (0–100) | |||
|---|---|---|---|---|
| Pre-NPT | Post-NPT | Pre-NPT | Post-NPT | |
| Group A (n = 15) | 2; [1–6] | 1; [0–2] | 24; [5–63] | 18; [0.5–31] |
| Group B (n = 8) | 5; [2.25–5] | 3.5; [2.25–5.75] | 27.5; [22.5–65.75] | 58.5; [48.75–72] |
| p value (A vs. B) | p = 0.2026 | p = 0.0011 | p = 0.2579 | p = 0.0030 |
| SIgE D1 (kUA/L) | sIgE D2 (kUA/L) | |||
|---|---|---|---|---|
| Pre NPT | Post NPT | Pre NPT | Post NPT | |
| Group A, n = 11 | 0.4374; [0.3091–0.4948] | 0.4454; [0.3091–0.5394] | 0.3888; [0.2583–0.4915] | 0.3888; [0.2296–0.5443] |
| Group B, n = 7 | 0.3787; [0.3294–0.5583] | 0.4126; [0.2990–0.5583] | 0.3001; [0.2658–0.5075] | 0.3294; [0.2658–0.5075] |
| p value (A vs. B) | p = 0.6590 | p = 0.5962 | p = 0.5962 | p = 0.4525 |
Disclaimer/Publisher’s Note: The statements, opinions and data contained in all publications are solely those of the individual author(s) and contributor(s) and not of MDPI and/or the editor(s). MDPI and/or the editor(s) disclaim responsibility for any injury to people or property resulting from any ideas, methods, instructions or products referred to in the content. |
© 2025 by the authors. Licensee MDPI, Basel, Switzerland. This article is an open access article distributed under the terms and conditions of the Creative Commons Attribution (CC BY) license (https://creativecommons.org/licenses/by/4.0/).
Share and Cite
Mortada, M.M.; Sherri, A.; Pietrowska, E.; Popławska, M.; Chałubiński, M.; Kurowski, M. Dust Mite-Specific IgE in Nasal Lavage Fluid During Natural Allergen Exposure and After Nasal Provocation Test in Subjects with Suspected Local Allergic Rhinitis. Life 2025, 15, 1683. https://doi.org/10.3390/life15111683
Mortada MM, Sherri A, Pietrowska E, Popławska M, Chałubiński M, Kurowski M. Dust Mite-Specific IgE in Nasal Lavage Fluid During Natural Allergen Exposure and After Nasal Provocation Test in Subjects with Suspected Local Allergic Rhinitis. Life. 2025; 15(11):1683. https://doi.org/10.3390/life15111683
Chicago/Turabian StyleMortada, Mohamad Mahdi, Alaa Sherri, Edyta Pietrowska, Marta Popławska, Maciej Chałubiński, and Marcin Kurowski. 2025. "Dust Mite-Specific IgE in Nasal Lavage Fluid During Natural Allergen Exposure and After Nasal Provocation Test in Subjects with Suspected Local Allergic Rhinitis" Life 15, no. 11: 1683. https://doi.org/10.3390/life15111683
APA StyleMortada, M. M., Sherri, A., Pietrowska, E., Popławska, M., Chałubiński, M., & Kurowski, M. (2025). Dust Mite-Specific IgE in Nasal Lavage Fluid During Natural Allergen Exposure and After Nasal Provocation Test in Subjects with Suspected Local Allergic Rhinitis. Life, 15(11), 1683. https://doi.org/10.3390/life15111683

