Abstract
Background and objective: Obstructive sleep apnea (OSA) can be related to high ghrelin hormone levels that may encourage additional energy intake. Herein, a new systematic review and meta-analysis were performed to check the changes in serum/plasma levels of ghrelin in adults with OSA compared to controls, as well as before compared after continuous positive airway pressure (CPAP) therapy in adults with OSA. Materials and methods: Four main databases were systematically and comprehensively searched until 17 October 2022, without any restrictions. For assessing the quality, we used the Joanna Briggs Institute (JBI) critical appraisal checklist adapted for case–control studies and the National Institutes of Health (NIH) quality assessment tool for before–after studies. The effect sizes were extracted by the Review Manager 5.3 software for the blood of ghrelin in adults with OSA compared with controls, as well as before and after CPAP therapy. Results: Fifteen articles involving thirteen studies for case–control studies and nine articles for before–after studies were included. The pooled standardized mean differences were 0.30 (95% confidence interval (CI): −0.02, 0.61; p = 0.07; I2 = 80%) and 0.10 (95% CI: −0.08, 0.27; p = 0.27; I2 = 42%) for case–control and before–after studies, respectively. For thirteen case–control studies, nine had moderate and four high qualities, whereas for nine before–after studies, five had good and four fair qualities. Based on the trial sequential analysis, more studies are needed to confirm the pooled results of the analyses of blood ghrelin levels in case–control and before–after studies. In addition, the radial plot showed outliers for the analysis of case–control studies that they were significant factors for high heterogeneity. Conclusions: The findings of the present meta-analysis recommended that the blood levels of ghrelin had no significant difference in the adults with OSA compared with the controls, nor did they have significant difference in adults with OSA before compared with after CPAP therapy. The present findings need to be confirmed in additional studies with more cases and higher qualities.
1. Introduction
Obstructive Sleep Apnea (OSA) is a state determined by repeated episodes of partial or complete airway obstruction over sleep [1,2]. Apnea–Hypopnea Index (AHI) or the number of apneas/hypopneas per hour of sleep is the basic metric for identifying OSA that this is evaluated by Polysomnography (PSG) or other shapes of sleep monitoring [3]. The overall prevalence of OSA in adults (AHI ≥ 5 events/h) ranged from 9–38% in the public adult population and was more in men [4]. In addition, the OSA prevalence was calculated to be 56.0% in patients with type 2 diabetes [5].
Obesity, smoking, alcohol consumption, higher age, and male gender can be the risk factors for OSA [6]. It has been shown the impact of ethnicity on the prevalence and severity of OSA that this impact can be related to ethnic differences in adipose tissue distributions [7]. Apart from the environmental and demographical factors, the studies reported that genetic [8,9,10,11] and blood [12,13,14,15,16,17,18,19] factors could also affect the prevalence or development of OSA.
Ghrelin (a 28 amino acid hormone or orexigenic neuropeptide involving an n-octanoyl group on the serine in position 3) [20] is known as an endocrine pathway in controlling nutrition and energy balance that is secreted by a large number of tissues, but its dominant source is the gastric mucosa [21,22]. Ghrelin is in both acylated and unacylated forms [23]. Acylated ghrelin is the active shape of ghrelin [24] (acylation is essential for the ghrelin binding and function [25]) with some metabolic functions such as appetite stimulation, reduced insulin secretion from pancreatic, elevated growth hormone secretion, reduced body energy consumption, and environmental growth and metabolism, especially carbohydrates and fats [22].
The OSA is related to hormonal features and is illustrated by high levels of ghrelin and leptin hormones that may provoke additional energy intake [26]. In men with OSA, energy expenditure relative to body weight reduces with elevating severity of oxygen desaturation that can contribute to a positive energy balance [27]. The studies [28,29] reported different results for blood levels of ghrelin in adults with OSA in comparison with controls. The relationship between OSA and plasma/serum levels of ghrelin is controversial [30]. Obesity [31], cardiovascular diseases [32], diabetes and metabolic syndrome [33], and hypertention [34] are associated with blood ghrelin levels and on the other hand, OSA is related to these disorders or diseases [35,36,37]. Therefore, finding a link between ghrelin levels with OSA development can be useful for prediction of related diseases with OSA and possible treatments.
The OSA cases treated by nasal Continuous Positive Airway Pressure (CPAP) require using CPAP therapy to stop the recurrence of symptoms [38]. The changes in energy metabolism accrue after CPAP therapy for OSA [39]. The studies [40,41,42] reported the impact of CPAP therapy on the blood levels of ghrelin in adults with OSA with different results.
Based on our knowledge of English literature, there was a meta-analysis [30] related to this subject—searching three databases until 2018—with eight case–control and six before–after studies. Therefore, a new systematic review and meta-analysis in four main databases were conducted with more studies (thirteen case–control and nine before–after studies) and additional analyses than the previous meta-analysis for findings potentially effective factors on heterogeneity and bias (radial plot analysis, meta-regression, and trial sequential analysis (TSA)) to check the changes of serum/plasma levels of ghrelin in adults with OSA compared to controls, as well as before compared after CPAP therapy in adults with OSA with more details. In addition to a few new studies, the previous meta-analysis missed several articles before 2018 that could be due of the choices of database or the searching criteria.
2. Materials and Methods
To design of the present meta-analysis, it was followed the PRISMA-P items [43]. The PECO question [44,45] was: Are blood ghrelin levels different in adults with OSA in comparison to controls? (P: human adults with and without OSA, E: OSA disorder, C: adults with OSA compared to controls; O: and the plasma/serum ghrelin level). The clinical PICO (Population, Intervention, Comparator, and Outcome) question was: What is the impact of CPAP therapy on serum/plasma levels of ghrelin in adults with OSA? (P: human adults with OSA, I: CPAP therapy, C: adults with OSA before and after CPAP therapy; O: and the plasma/serum ghrelin level).
2.1. Search Strategy
Four databases (PubMed, Web of Science, Scopus, and Cochrane Library) were systematically and comprehensively searched until 17 October 2022, without any restrictions by one reviewer (M.S.). The search terms were as: (“obstructive sleep apnea” or “sleep apnea” or “OSA” or “obstructive sleep apnea syndrome” or “OSAS” or “obstructive sleep apnea-hypopnea syndrome” or “OSAHS”) and (“ghrelin”). The citations of all types of articles linked to the subject and “Google Scholar” were checked to ensure no study was missed.
2.2. Eligibility Criteria
Inclusion criteria: (1) studies including both adults with OSA and controls aged ≥18 years without any treatment or adults with OSA under CPAP therapy, (2) studies reporting plasma/serum ghrelin levels in OSA and controls or adults with OSA before and after CPAP therapy, (3) PSG was applied to diagnose OSA, defined as AHI ≥5 events/h for adult, (4) adults with OSA did not have other systemic diseases (diabetes mellitus, cardiovascular diseases, heart, hepatic, and renal failures, and lung diseases, any malignancy, and infectious diseases, other sleep disorders), (5) controls did not have OSA or systemic disease (see the previous criterion), and (6) venous blood was took in the fasting state on the morning to measure ghrelin. Exclusion criteria: (1) meta-analyses, book chapters, conference papers, the letter to the editor, commentary, and reviews, (2) studies without complete data, (3) studies in the absence of a control group or the control group had AHI was more than 5 events/h, (4) studies including participants aged less than 18 years old, and (5) studies including adults with OSA with any another disease.
2.3. Data Collection
The data were extracted for any study involved in the meta-analysis by two independent reviewers (A.G. and M.S.). The differences between reviewers were resolved by third reviewer (S.B.). Extracted data were the country and ethnicity of participants, the first author, the publication year, ghrelin sampling, the sample size of adults with OSA and controls, quality or quality score, means BMI, age, and AHI the groups, follow-up duration of CPAP therapy, mean AHI before and after CPAP therapy, and mean of blood levels of ghrelin in all groups.
2.4. Quality Assessment
For assessing the quality, we used the Joanna Briggs Institute (JBI) critical appraisal checklist adapted for case–control studies including ten questions or ten scores as Low: 1–4 scores, Moderate: 5–7 scores, High: 8–10 scores [46] and the National Institutes of Health (NIH) quality assessment tool for before–after studies with twelve question or twelve scores as Good: 9–12 scores, Fair: 5–8 scores, Poor: 1–4 scores [47] (See Supplementary File S1). The quality score were performed by two independent reviewers (M.M.I. and M.S.). The differences between reviewers were resolved by third reviewer (M.K.C.).
2.5. Statistical Analyses
The Review Manager 5.3 (RevMan 5.3) software was applied to extract the effect sizes (standardized mean difference (SMD) and 95% confidence interval (CI)) of blood levels of ghrelin amongst adults with OSA and controls, as well as before and after CPAP therapy by one reviewer (M.S.). The p-value (2-sided) of less than 0.05 was considered a significant value. A Pheterogeneity < 0.1(I2 > 50%) reported a significant heterogeneity that in this state, a random-effects model [48], otherwise, a fixed-effect model [49] was used.
The subgroup and random-effect meta-regression analyses were done based on several variables and evaluating the stability of initial pooled SMDs, both “one-study-removed” and “cumulative” analyses as sensitivity analyses were utilized.
The Begg’s funnel plot by Begg’s test was applied to test potential publication bias [50] and the Egger’s test to report degree of asymmetry [51] that the p-values of both tests and the data for sensitivity analyses were extracted by the Comprehensive Meta-Analysis version 2.0 (CMA 2.0) software and a p-value (2-sided) less than 0.10 recommended the existence of the publication bias.
To report the potential random error (false-positive and -negative results) in meta-analysis [52], trial sequential analysis (TSA) was accomplished using TSA software (version 0.9.5.10 beta) [53]. The futility threshold can show a no-impact result before attaining the information size. An α-risk of 5%, a β-risk of 20%, and a 2-sided border type reporting the mean difference and variance were based on empirical assumptions created automatically by the software, were used to calculate the required information size (RIS). If the Z-curve reached the RIS line, enough participants were included in the studies and the conclusion was trustworthy or crossed the borderlines the results could be robust. Differently, the volume of information was not large enough and more evidence was needed.
The effect sizes for the studies including the required data just on a graph were extracted from the graph utilizing GetData Graph Digitizer 2.26 software.
3. Results
3.1. Search Strategy
To search in the databases, 362 records were identified and after deleting duplicates and irrelevant records, 28 full-text articles were evaluated (Figure 1). Then, 13 articles were excluded with reasons (one was a meta-analysis, three were reviews, two did not report a control group or adults with OSA under CPAP therapy, two had no relevant data, two included a control group with AHI >5 events/h, one reported geometrical data, and two were reported in children). At last, 15 articles involving 13 studies for case–control studies and 9 articles for before–after studies were included. All studies reported total ghrelin levels except one study [42] that reported acylated ghrelin.
Figure 1.
Flowchart of the study selection. CPAP: Continuous positive airways pressure. AHI: Apnea–hypopnea index. OSA: Obstructive sleep apnea.
3.2. Characteristics of the Studies
Based on fifteen articles [28,29,39,40,41,42,54,55,56,57,58,59,60,61,62], Table 1 and Table 2 display the characteristics of the case–control and before–after studies in the analysis, respectively. With regard to thirteen case–control studies, nine studies were reported in Caucasians, three in Asians, and one in a population with mixed ethnicity, whereas in nine before–after studies, four in Caucasians, four in Asians, and one in a population with mixed ethnicity. In case–control studies, seven studies reported plasma levels of ghrelin and six serum levels, whereas in before–after studies, six plasma levels and three serum levels. Data of other variables such as sample size, mean BMI, mean age, mean AHI, and follow-up duration are reported in Table 1 and Table 2.
Table 1.
Characteristics of the case–control studies in the meta-analysis.
Table 2.
Characteristics of the studies reporting before and after CPAP therapy in the meta-analysis.
3.3. Pooled Analyses
Figure 2 and Figure 3 show the forest plot analyses of blood ghrelin levels in adults with OSA in comparison to controls and adults with OSA before and after CPAP therapy, respectively. The pooled SMDs were 0.30 (95% CI: −0.02, 0.61; p = 0.07; I2 = 80%) and 0.10 (95% CI: −0.08, 0.27; p = 0.27; I2 = 42%) in case–control and before–after studies, respectively. Therefore, the results recommended that there were no significant differences between adults with OSA and controls, moreover between adults with OSA before and after CPAP therapy (there was no effect of CPAP therapy on OSA).
Figure 2.
Forest plot analysis of serum/plasma ghrelin levels in adults with obstructive sleep apnea versus controls. The diamond at the bottom of the forest plot represents the result when all the individual studies are combined together and averaged. Names of studies are shown on the left, std. mean differences (green boxes) and confidence intervals (horizontal lines) on the right. The left column shows the first author’s names and publication years of studies for twelve arti-cles [28,29,40,41,54,55,56,57,58,59,60,61] included in the analysis. One article [59] included two independent studies marked with i and ii.
Figure 3.
Forest plot analysis of serum/plasma ghrelin levels in adults with obstructive sleep apnea before and after continuous positive airways pressure therapy. The diamond at the bottom of the forest plot represents the result when all the individual studies are combined together and averaged. Names of studies are shown on the left, std. mean differences (green boxes) and confidence intervals (horizontal lines) on the right. The left column shows the first author’s names and publication years of studies for six articles [39,40,41,42,59,62] included in the analysis. three articles [39,40,59] included two independent studies each one marked with i and ii or iii and iv.
3.4. Quality Scores
Table 3 and Table 4 show JBI critical appraisal checklist for case–control studies and NIH quality assessment tool for before–after studies, respectively. The questions of the JBI critical appraisal checklist and the NIH quality assessment tool have been reported in the Supplementary File S1. Of thirteen case–control studies, nine had moderate and four had high qualities. Of nine before–after studies, five had good and four had fair qualities.
Table 3.
The Joanna Briggs Institute (JBI) critical appraisal checklist for case–control studies.
Table 4.
The National Institutes of Health (NIH) quality assessment tool for before–after studies.
3.5. Subgroup Analyses
Table 5 and Table 6 report the subgroup analyses (for finding probably effective factors for heterogeneity) for the case–control and before–after studies, respectively. The subgroup analysis based on ethnicity, blood sample, sample size, mean BMI of adults and mean age of adults with OSA and controls, mean AHI of adults with OSA, and quality as important factors in adults with OSA and also checked factors in most studies were checked for case–control studies. The results showed that blood sample, sample size, mean age of adults with OSA, and quality were effective factors for the pooled analysis of the blood levels of ghrelin in adults with OSA in comparison to controls, as well as heterogeneity across the studies. In addition, the subgroup analyses based on ethnicity, blood sample, sample size, mean BMI, mean age, mean AHI of adults with OSA before treatment, and quality were checked for before–after studies. The results showed that just mean AHI before treatment was an effective factor for the poled analysis of blood levels of ghrelin in adults with OSA before in comparison to after CPAP therapy.
Table 5.
Subgroup analysis of the correlation between blood levels of ghrelin and several variables in the case–control studies in the meta-analysis.
Table 6.
Subgroup analysis of the correlation between blood levels of ghrelin and several variables in the studies reporting before and after continuous positive airways pressure (CPAP) therapy in the meta-analysis.
3.6. Meta-Regression Analyses
Table 7 and Table 8 include the data of the meta-regression analyses for the case–control and before–after studies, respectively. The results represented that publication year, sample size, mean AHI of adults with OSA, and quality were confounding factors for the blood levels of ghrelin in adults with OSA versus controls (increasing publication year and sample size, the level of ghrelin significantly increased, but increasing mean AHI of adults with OSA and quality score, the level of ghrelin significantly decreased. Among the factors checked in before–after studies, there was no confounding factor. Therefore, publication year, sample size, mean AHI of adults with OSA, and quality can affect the ghrelin levels and these factors can be probably effective factors for heterogeneity across the studies.
Table 7.
Meta-regression analysis of the correlation between blood levels of ghrelin and several variables in the case–control studies in the meta-analysis.
Table 8.
Meta-regression analysis of the correlation between blood levels of ghrelin and several variables in the studies reporting before and after continuous positive airways pressure (CPAP) therapy in the meta-analysis.
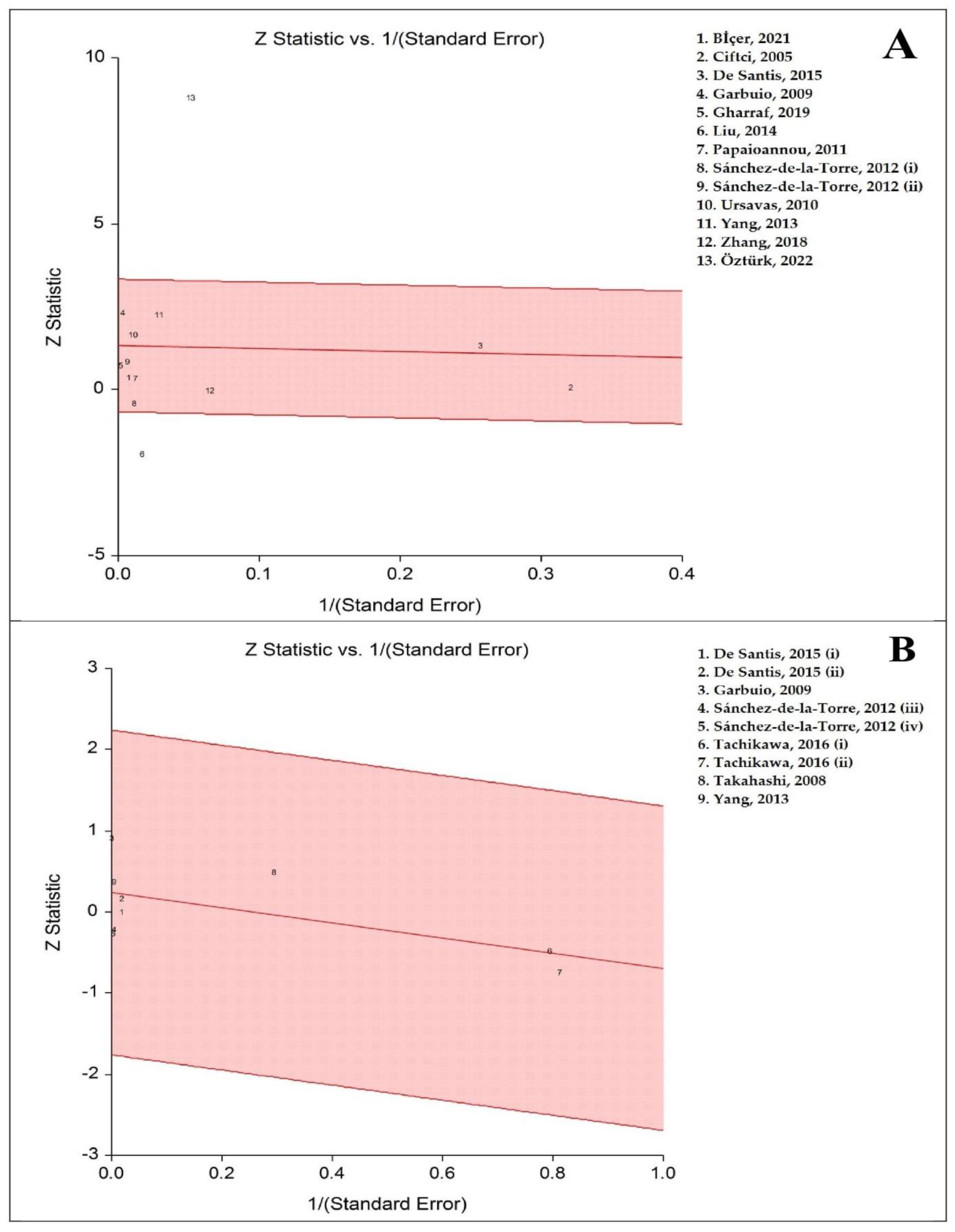
3.7. Radial Plots
Figure 4 identifies the radial plots for the case–control and before–after studies, respectively. The radial plot confirmed the high heterogeneity between the case–control studies. Two studies [28,57] were outliers and removing these studies as a sensitivity analysis, there was a lack of heterogeneity. Therefore, outliers are a significant effective factor for high heterogeneity between the studies. The radial plot confirmed that there was no heterogeneity due to outliers for before–after studies.
Figure 4.
Radial plots of serum/plasma ghrelin levels. (A) Adults with obstructive sleep apnea vs. controls. (B) Before and after continuous positive airways pressure therapy in adults with OSA. Each number shows one study that the studies with related numbers are represented in right side. Each number in up and right shows one study that (A) shows thirteen studies from twelve articles [28,29,40,41,54,55,56,57,58,59,60,61] and (B) ahows nine studies from six articles [39,40,41,42,59,62]. The articles with two independent studies [39,40,59] have marked with i and ii or iii and iv.
3.8. Sensitivity Analyses
The sensitivity analyses reported stability of the pooled results for both case–control and before–after studies. There were two outliers [28,57] for the case–control studies that removed them, pooled SMD became 0.22 (95% CI: 0.05, 0.39; p = 0.010; I2 = 0%). The result showed a significantly high level of ghrelin in adults with OSA vs. controls.
3.9. Trial Sequential Analyses (TSAs)
Figure 5 shows TSAs for the case–control and before–after studies. The result of TSA showed that the cumulative Z-curve crossed both the conventional boundary and the trial sequential monitoring boundary, which recommended that the result of the analysis of blood ghrelin level in adults with OSA vs. controls is robust with 1009 cases. Although the actual sample size did not exceed the RIS of 1280 cases, therefore definite result could not be obtained for this analysis, and more studies with sufficient evidence are needed. The results did not confirm the sufficient cases and evidence for the pooled analyses of the blood levels of ghrelin in before–after studies. Because Z-curve did not cross the RIS line or monitored the boundaries in the analysis of before–after studies. Therefore, more studies with sufficient evidence are needed in the future to confirm this result of the analysis of blood ghrelin levels before compared with after CPAP therapy in adults with OSA.
Figure 5.
Trial sequential analysis of serum/plasma ghrelin levels. (A) Adults with obstructive sleep apnea compared to controls (D2 = 98%). (B) Before and after continuous positive airways pressure therapy (D2 = 81%) in adults with OSA. The red horizontal lines show monitoring boundaries for benefit (upper line), monitoring boundaries for harm (lower line), and futility boundaries (middle lines). The red vertical line is related to the required sample size.
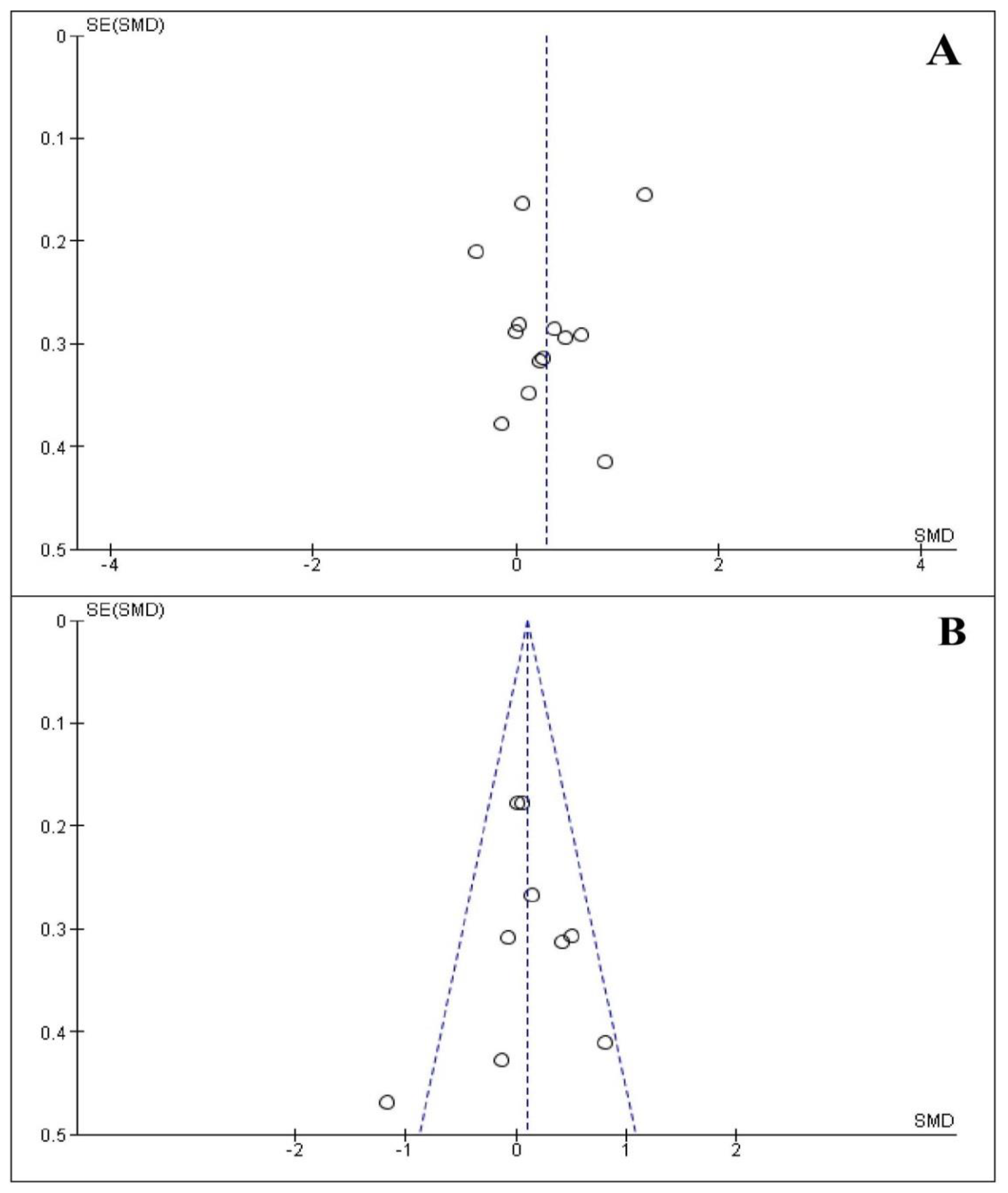
3.10. Publication Bias
Figure 6 represents the funnel plots of serum/plasma ghrelin levels in both case–control and before–after studies. The results display no publication bias among case–control (p-values: Egger’s = 0.357 and Begg’s = 0.714) and before–after (p-values: Egger’s = 0.891 and Begg’s = 0.834) studies.
Figure 6.
Funnel plots of serum/plasma ghrelin levels. (A) Adults with obstructive sleep apnea compared to controls. (B) Before and after continuous positive airways pressure therapy in adults with OSA. SMD: Standardized mean difference. SE: Standard error. Circles represent individual studies. The diagonal dashed lines represent the pseudo 95% confidence intervals around the pooled SMD for each standard error of the ordinate vertical axis values. The vertical dashed line represents the pooled SMD.
4. Discussion
The relationship between OSA and plasma/serum ghrelin levels and the effect of CPAP therapy on ghrelin levels have remained controversial [30]. The main results of the present meta-analysis recommended that the serum/plasma levels of ghrelin had no significant difference in the adults with OSA compared to the controls, moreover in adults with OSA before compared to after CPAP therapy. Removing outliers, the serum/plasma levels of ghrelin were significantly higher in the adults with OSA compared to the controls. Two analyses included low sample sizes based on TSA results. Blood sample, sample size, quality scores, means age, and AHI of adults with OSA were effective factors in case–control studies, and the mean AHI of adults with OSA before CPAP therapy in before–after studies. Therefore, the present findings require to be confirmed in additional studies with more cases and higher qualities.
Among thirteen case–control studies, three studies [28,41,61] showed a significantly high level of ghrelin, whereas other studies did not find any significant difference between in adults with OSA versus controls. Among all before–after studies in the present meta-analysis, the CPAP therapy had a significant defect in increasing [40] and decreasing [41] the blood levels of ghrelin, but other studies did not find any effect of CPAP on the levels of ghrelin in adults with OSA.
A systematic review recommended the positive impact of older age, male gender, and higher BMI on OSA prevalence [4]. Research showed that plasma ghrelin decreased in obese people and increased in lean people [63]. Ciftci et al. [55] revealed that serum ghrelin level has a positive correlation with BMI and AHI. Other studies confirmed the positive correlation of serum ghrelin levels with BMI [40] and AHI [60]. However, a number of studies did not confirm the correlation of serum ghrelin level with BMI [56] and AHI [40,56]. Whatever the present meta-analysis showed the correlation of AHI and age with blood ghrelin levels in adults with OSA, but it did not find any significant correlation between blood levels of ghrelin and BMI.
One study [28] reported a significant association between serum ghrelin levels and the severity of OSA as serum level of ghrelin was significantly higher in adults with severe OSA vs. moderate OSA and moderate OSA compared to mild OSA. Unfortunately, most studies did not report the blood levels of ghrelin based on OSA severity and therefore we could not analyze the association between the blood ghrelin levels and the severity of OSA. The researchers need to perform this analysis among adults with OSA in their original articles in the future. In addition, results of this current meta-analysis were in line with the previously published meta-analysis [30].
There were three significant limitations during the meta-analysis design. (1) A low number of participants in the studies and low included studies in each analysis. (2) Less number of studies had high quality. (3) High heterogeneity among case–control studies. In contrast, there were two important strengths. (1) The stability of results. (2) A lack of publication bias across the studies.
5. Conclusions
The present meta-analysis recommended that the blood levels of ghrelin had no significant difference in the adults with OSA vs. the controls, moreover in adults with OSA before vs. after CPAP therapy. Notwithstanding the low number of individuals in the analyses, the study reported that blood sample, sample size, quality scores, mean age, and mean AHI of adults with OSA were effective factors in case–control studies, and mean AHI of adults with OSA before CPAP therapy in before–after studies. Therefore, the present findings require to be accepted in additional studies with more cases and higher qualities.
Supplementary Materials
The following supporting information can be downloaded at: https://www.mdpi.com/article/10.3390/life13010149/s1. I. The Joanna Briggs Institute (JBI) Critical Appraisal Checklist for case-control study (last amended in 2017). Q. The National Institutes of Health (NIH) quality as-sessment tool for before-after (Pre-Post) study with no control group.
Author Contributions
Conceptualization, A.G.; methodology, M.S.; software, M.S.; validation, M.S. and S.B.; formal analysis, M.S.; investigation, M.M.I.; resources, M.K.C.; data curation, M.S.; writing—original draft preparation, S.B.; writing—review and editing, and L.S.B. and A.B.B. visualization, M.S.; supervision, A.G.; project administration, A.G.; funding acquisition, M.M.I. All authors have read and agreed to the published version of the manuscript.
Funding
This research received no external funding.
Institutional Review Board Statement
Not applicable.
Informed Consent Statement
Not applicable.
Data Availability Statement
No new data were created or analyzed in this study. Data sharing is not applicable to this article.
Conflicts of Interest
The authors have declared that no competing interest exist.
References
- Pretto, J.J.; Gyulay, S.G.; Hensley, M.J. Trends in anthropometry and severity of sleep-disordered breathing over two decades of diagnostic sleep studies in an Australian adult sleep laboratory. Med. J. Aust. 2010, 193, 213–216. [Google Scholar] [CrossRef] [PubMed]
- Park, J.G.; Ramar, K.; Olson, E.J. Updates on definition, consequences, and management of obstructive sleep apnea. In Mayo Clinic Proceedings; Elsevier: Amsterdam, The Netherlands, 2011; pp. 549–555. [Google Scholar]
- Quan, S.; Gillin, J.C.; Littner, M.; Shepard, J. Sleep-related breathing disorders in adults: Recommendations for syndrome definition and measurement techniques in clinical research. editorials. Sleep 1999, 22, 662–689. [Google Scholar] [CrossRef] [PubMed]
- Senaratna, C.V.; Perret, J.L.; Lodge, C.J.; Lowe, A.J.; Campbell, B.E.; Matheson, M.C.; Hamilton, G.S.; Dharmage, S.C. Prevalence of obstructive sleep apnea in the general population: A systematic review. Sleep Med. Rev. 2017, 34, 70–81. [Google Scholar] [CrossRef] [PubMed]
- Fallahi, A.; Jamil, D.I.; Karimi, E.B.; Baghi, V.; Gheshlagh, R.G. Prevalence of obstructive sleep apnea in patients with type 2 diabetes: A systematic review and meta-analysis. Diabetes Metab. Syndr. Clin. Res. Rev. 2019, 13, 2463–2468. [Google Scholar] [CrossRef]
- Mirrakhimov, A.E.; Sooronbaev, T.; Mirrakhimov, E.M. Prevalence of obstructive sleep apnea in Asian adults: A systematic review of the literature. BMC Pulm. Med. 2013, 13, 10. [Google Scholar] [CrossRef]
- Hnin, K.; Mukherjee, S.; Antic, N.A.; Catcheside, P.; Chai-Coetzer, C.L.; McEvoy, D.; Vakulin, A. The impact of ethnicity on the prevalence and severity of obstructive sleep apnea. Sleep Med. Rev. 2018, 41, 78–86. [Google Scholar] [CrossRef]
- Xu, J.; Chen, J.; Li, Y.; Zhang, D.; Li, X. Association of angiotensin-converting enzyme gene insertion/deletion polymorphism and obstructive sleep apnoea in a Chinese population: A meta-analysis. J. Renin-Angiotensin-Aldosterone Syst. JRAAS 2020, 21, 1470320320934716. [Google Scholar] [CrossRef]
- Zhong, A.; Xiong, X.; Shi, M.; Xu, H. Roles of interleukin (IL)-6 gene polymorphisms, serum IL-6 levels, and treatment in obstructive sleep apnea: A meta-analysis. Sleep Breath. 2016, 20, 719–731. [Google Scholar] [CrossRef]
- Lv, D.; Tan, L.; Wu, Y.; Cao, C.; Deng, Z. Leptin and leptin receptor gene polymorphisms in obstructive sleep apnea: A HuGE review and meta-analysis. Sleep Breath. 2015, 19, 1073–1078. [Google Scholar] [CrossRef]
- Veatch, O.J.; Bauer, C.R.; Keenan, B.T.; Josyula, N.S.; Mazzotti, D.R.; Bagai, K.; Malow, B.A.; Robishaw, J.D.; Pack, A.I.; Pendergrass, S.A. Characterization of genetic and phenotypic heterogeneity of obstructive sleep apnea using electronic health records. BMC Med. Genom. 2020, 13, 105. [Google Scholar] [CrossRef]
- Imani, M.M.; Sadeghi, M.; Gholamipour, M.A.; Brühl, A.B.; Sadeghi-Bahmani, D.; Brand, S. Evaluation of Blood Intercellular Adhesion Molecule-1 (ICAM-1) Level in Obstructive Sleep Apnea: A Systematic Review and Meta-Analysis. Medicina 2022, 58, 1499. [Google Scholar] [CrossRef] [PubMed]
- Imani, M.M.; Sadeghi, M.; Mohammadi, M.; Brühl, A.B.; Sadeghi-Bahmani, D.; Brand, S. Association of Blood MCP-1 Levels with Risk of Obstructive Sleep Apnea: A Systematic Review and Meta-Analysis. Medicina 2022, 58, 1266. [Google Scholar] [CrossRef] [PubMed]
- Najafi, A.; Mohammadi, I.; Sadeghi, M.; Brühl, A.B.; Sadeghi-Bahmani, D.; Brand, S. Evaluation of Plasma/Serum Adiponectin (an Anti-Inflammatory Factor) Levels in Adult Patients with Obstructive Sleep Apnea Syndrome: A Systematic Review and Meta-Analysis. Life 2022, 12, 738. [Google Scholar] [CrossRef] [PubMed]
- Imani, M.M.; Sadeghi, M.; Farokhzadeh, F.; Khazaie, H.; Brand, S.; Dürsteler, K.M.; Brühl, A.; Sadeghi-Bahmani, D. Evaluation of Blood Levels of C-Reactive Protein Marker in Obstructive Sleep Apnea: A Systematic Review, Meta-Analysis and Meta-Regression. Life 2021, 11, 362. [Google Scholar] [CrossRef]
- Imani, M.M.; Sadeghi, M.; Khazaie, H.; Sanjabi, A.; Brand, S.; Brühl, A.; Sadeghi Bahmani, D. Associations Between Morning Salivary and Blood Cortisol Concentrations in Individuals With Obstructive Sleep Apnea Syndrome: A Meta-Analysis. Front. Endocrinol. 2020, 11, 568823. [Google Scholar] [CrossRef]
- Imani, M.M.; Sadeghi, M.; Khazaie, H.; Emami, M.; Sadeghi Bahmani, D.; Brand, S. Evaluation of Serum and Plasma Interleukin-6 Levels in Obstructive Sleep Apnea Syndrome: A Meta-Analysis and Meta-Regression. Front. Immunol. 2020, 11, 1343. [Google Scholar] [CrossRef]
- Imani, M.M.; Sadeghi, M.; Khazaie, H.; Emami, M.; Sadeghi Bahmani, D.; Brand, S. Serum and Plasma Tumor Necrosis Factor Alpha Levels in Individuals with Obstructive Sleep Apnea Syndrome: A Meta-Analysis and Meta-Regression. Life 2020, 10, 87. [Google Scholar] [CrossRef]
- Rezaei, F.; Abbasi, H.; Sadeghi, M.; Imani, M.M. The effect of obstructive sleep apnea syndrome on serum S100B and NSE levels: A systematic review and meta-analysis of observational studies. BMC Pulm. Med. 2020, 20, 31. [Google Scholar] [CrossRef]
- Kojima, M.; Hosoda, H.; Kangawa, K. Purification and distribution of ghrelin: The natural endogenous ligand for the growth hormone secretagogue receptor. Horm. Res. Paediatr. 2001, 56, 93–97. [Google Scholar] [CrossRef]
- Date, Y.; Kojima, M.; Hosoda, H.; Sawaguchi, A.; Mondal, M.S.; Suganuma, T.; Matsukura, S.; Kangawa, K.; Nakazato, M. Ghrelin, a novel growth hormone-releasing acylated peptide, is synthesized in a distinct endocrine cell type in the gastrointestinal tracts of rats and humans. Endocrinology 2000, 141, 4255–4261. [Google Scholar] [CrossRef]
- Kojima, M.; Kangawa, K. Structure and function of ghrelin. Orphan G Protein-Coupled Recept. Nov. Neuropept. 2008, 46, 89–115. [Google Scholar]
- Agosti, E.; De Feudis, M.; Angelino, E.; Belli, R.; Teixeira, M.A.; Zaggia, I.; Tamiso, E.; Raiteri, T.; Scircoli, A.; Ronzoni, F.L. Both ghrelin deletion and unacylated ghrelin overexpression preserve muscles in aging mice. Aging 2020, 12, 13939. [Google Scholar] [CrossRef]
- Wiedmer, P.; Nogueiras, R.; Broglio, F.; D’alessio, D.; Tschöp, M.H. Ghrelin, obesity and diabetes. Nat. Clin. Pract. Endocrinol. Metab. 2007, 3, 705–712. [Google Scholar] [CrossRef]
- Van Der Lely, A.J.; Tschop, M.; Heiman, M.L.; Ghigo, E. Biological, physiological, pathophysiological, and pharmacological aspects of ghrelin. Endocr. Rev. 2004, 25, 426–457. [Google Scholar] [CrossRef] [PubMed]
- Shechter, A. Obstructive sleep apnea and energy balance regulation: A systematic review. Sleep Med. Rev. 2017, 34, 59–69. [Google Scholar] [CrossRef] [PubMed]
- Major, G.C.; Series, F.; Tremblay, A. Does the energy expenditure status in obstructive sleep apnea favour a positive energy balance? Clin. Investig. Med. 2007, 30, E262–E268. [Google Scholar] [CrossRef] [PubMed]
- Öztürk, Ö.; Cebeci, D.; Şahin, U.; Tülüceoğlu, E.E.; Calapoğlu, N.Ş.; Gonca, T.; Calapoğlu, M. Circulating levels of ghrelin, galanin, and orexin-A orexigenic neuropeptides in obstructive sleep apnea syndrome. Sleep Breath. 2022, 26, 1209–1218. [Google Scholar] [CrossRef] [PubMed]
- Zhang, D.M.; Pang, X.L.; Huang, R.; Gong, F.Y.; Zhong, X.; Xiao, Y. Adiponectin, omentin, ghrelin, and visfatin levels in obese patients with severe obstructive sleep apnea. BioMed Res. Int. 2018, 2018, 3410135. [Google Scholar] [CrossRef] [PubMed]
- Sun, M.-L.; Niu, X.; Xiao, X.-Y.; Chen, X. The differences in plasma/serum ghrelin levels between obstructive sleep apnea-hypopnea patients and controls: A protocol for systematic review and meta-analysis. Medicine 2021, 100, e24368. [Google Scholar] [CrossRef]
- Marzullo, P.; Verti, B.; Savia, G.; Walker, G.E.; Guzzaloni, G.; Tagliaferri, M.; Di Blasio, A.; Liuzzi, A. The relationship between active ghrelin levels and human obesity involves alterations in resting energy expenditure. J. Clin. Endocrinol. Metab. 2004, 89, 936–939. [Google Scholar] [CrossRef]
- Yuan, M.-J.; Li, W.; Zhong, P. Research progress of ghrelin on cardiovascular disease. Biosci. Rep. 2021, 41, BSR20203387. [Google Scholar] [CrossRef] [PubMed]
- Pulkkinen, L.; Ukkola, O.; Kolehmainen, M.; Uusitupa, M. Ghrelin in diabetes and metabolic syndrome. Int. J. Pept. 2010, 2010, 248948. [Google Scholar] [CrossRef] [PubMed]
- Mao, Y.; Tokudome, T.; Kishimoto, I. Ghrelin and blood pressure regulation. Curr. Hypertens. Rep. 2016, 18, 1–6. [Google Scholar] [CrossRef] [PubMed]
- Hamilton, G.S.; Naughton, M.T. Impact of obstructive sleep apnoea on diabetes and cardiovascular disease. Med. J. Aust. 2013, 199, S27–S30. [Google Scholar] [CrossRef]
- Gonzaga, C.; Bertolami, A.; Bertolami, M.; Amodeo, C.; Calhoun, D. Obstructive sleep apnea, hypertension and cardiovascular diseases. J. Hum. Hypertens. 2015, 29, 705–712. [Google Scholar] [CrossRef]
- Butt, M.; Dwivedi, G.; Khair, O.; Lip, G.Y. Obstructive sleep apnea and cardiovascular disease. Int. J. Cardiol. 2010, 139, 7–16. [Google Scholar] [CrossRef]
- Mcardle, N.; Devereux, G.; Heidarnejad, H.; Engleman, H.M.; Mackay, T.W.; Douglas, N.J. Long-term use of CPAP therapy for sleep apnea/hypopnea syndrome. Am. J. Respir. Crit. Care Med. 1999, 159, 1108–1114. [Google Scholar] [CrossRef]
- Tachikawa, R.; Ikeda, K.; Minami, T.; Matsumoto, T.; Hamada, S.; Murase, K.; Tanizawa, K.; Inouchi, M.; Oga, T.; Akamizu, T. Changes in energy metabolism after continuous positive airway pressure for obstructive sleep apnea. Am. J. Respir. Crit. Care Med. 2016, 194, 729–738. [Google Scholar] [CrossRef]
- De Santis, S.; Cambi, J.; Tatti, P.; Bellussi, L.; Passali, D. Changes in ghrelin, leptin and pro-inflammatory cytokines after therapy in Obstructive Sleep Apnea Syndrome (OSAS) patients. Otolaryngol. Pol. 2015, 69, 1–8. [Google Scholar] [CrossRef]
- Garbuio, S.; Salles, L.V.; D’Almeida, V.; Tufik, S.; Bittencourt, L.R.A. Study of metabolic changes in patients with obstructive sleep apnea syndrome before and after use of continuous positive airway pressure. Sleep Sci. 2009, 2, 76–81. [Google Scholar]
- Takahashi, K.; Chin, K.; Akamizu, T.; Morita, S.; Sumi, K.; Oga, T.; Matsumoto, H.; Niimi, A.; Tsuboi, T.; Fukuhara, S.; et al. Acylated ghrelin level in patients with OSA before and after nasal CPAP treatment. Respirology 2008, 13, 810–816. [Google Scholar] [CrossRef]
- Moher, D.; Shamseer, L.; Clarke, M.; Ghersi, D.; Liberati, A.; Petticrew, M.; Shekelle, P.; Stewart, L.A. Preferred reporting items for systematic review and meta-analysis protocols (PRISMA-P) 2015 statement. Syst. Rev. 2015, 4, 1–9. [Google Scholar] [CrossRef]
- Morgan, R.L.; Thayer, K.A.; Bero, L.; Bruce, N.; Falck-Ytter, Y.; Ghersi, D.; Guyatt, G.; Hooijmans, C.; Langendam, M.; Mandrioli, D. GRADE: Assessing the quality of evidence in environmental and occupational health. Environ. Int. 2016, 92, 611–616. [Google Scholar] [CrossRef]
- Morgan, R.L.; Thayer, K.A.; Santesso, N.; Holloway, A.C.; Blain, R.; Eftim, S.E.; Goldstone, A.E.; Ross, P.; Guyatt, G.; Schünemann, H.J. Evaluation of the risk of bias in non-randomized studies of interventions (ROBINS-I) and the ‘target experiment’concept in studies of exposures: Rationale and preliminary instrument development. Environ. Int. 2018, 120, 382–387. [Google Scholar] [CrossRef] [PubMed]
- Institute, J. The Joanna Briggs Institute Critical Appraisal Tools For use in JBI Systematic Reviews Checklist for Analytical Clinical Trial Studies. 2017. Available online: https://jbi.global/critical-appraisal-tools (accessed on 17 October 2022).
- National Institutes of Health. Quality assessment tool for before-after (pre-post) studies with no control group. In Systematic Evidence Reviews and Clinical Practice Guidelines; National Institutes of Health: Washington, DC, USA, 2014. Available online: https://www.nhlbi.nih.gov/health-topics/study-quality-assessment-tools (accessed on 17 October 2022).
- Der Simonian, R.; Laird, N. Meta-analysis in clinical trials revisited. Contemp. Clin. Trials 2015, 45, 139–145. [Google Scholar] [CrossRef] [PubMed]
- Mantel, N.; Haenszel, W. Statistical aspects of the analysis of data from retrospective studies of disease. J. Natl. Cancer Inst. 1959, 22, 719–748. [Google Scholar]
- Begg, C.B.; Mazumdar, M. Operating characteristics of a rank correlation test for publication bias. Biometrics 1994, 50, 1088–1101. [Google Scholar] [CrossRef]
- Egger, M.; Smith, G.D.; Schneider, M.; Minder, C. Bias in meta-analysis detected by a simple, graphical test. BMJ 1997, 315, 629–634. [Google Scholar] [CrossRef] [PubMed]
- Imberger, G.; Thorlund, K.; Gluud, C.; Wetterslev, J. False-positive findings in Cochrane meta-analyses with and without application of trial sequential analysis: An empirical review. BMJ Open 2016, 6, e011890. [Google Scholar] [CrossRef]
- Wetterslev, J.; Jakobsen, J.C.; Gluud, C. Trial sequential analysis in systematic reviews with meta-analysis. BMC Med. Res. Methodol. 2017, 17, 39. [Google Scholar] [CrossRef]
- Bİçer, Ü.; Kutlu, R.; Yosunkaya, S.; Kilinç, İ. Evaluation of Plasma Ghrelin, Omentin–1 Levels and Insulin Resistance in Patients With Obstructive Sleep Apnea Syndrome. Konuralp Med. J. 2021, 13, 114–121. [Google Scholar] [CrossRef]
- Ciftci, T.U.; Kokturk, O.; Bukan, N.; Bilgihan, A. Leptin and ghrelin levels in patients with obstructive sleep apnea syndrome. Respiration 2005, 72, 395–401. [Google Scholar] [CrossRef] [PubMed]
- Gharraf, H.S.; AlHadidy, A.; AlNehr, I. Study of leptin and ghrelin serum levels in patients with obstructive sleep apnea. Egypt. J. Chest Dis. Tuberc. 2019, 68, 567. [Google Scholar]
- Liu, W.; Yue, H.; Zhang, J.; Pu, J.; Yu, Q. Effects of plasma ghrelin, obestatin, and ghrelin/obestatin ratio on blood pressure circadian rhythms in patients with obstructive sleep apnea syndrome. Chin. Med. J. 2014, 127, 850–855. [Google Scholar] [PubMed]
- Papaioannou, I.; Patterson, M.; Twigg, G.L.; Vazir, A.; Ghatei, M.; Morrell, M.J.; Polkey, M.I. Lack of association between impaired glucose tolerance and appetite regulating hormones in patients with obstructive sleep apnea. J. Clin. Sleep Med. 2011, 7, 486–492. [Google Scholar] [CrossRef]
- Sánchez-de-la-Torre, M.; Mediano, O.; Barceló, A.; Piérola, J.; de la Peña, M.; Esquinas, C.; Miro, A.; Durán-Cantolla, J.; Agustí, A.G.; Capote, F. The influence of obesity and obstructive sleep apnea on metabolic hormones. Sleep Breath. 2012, 16, 649–656. [Google Scholar] [CrossRef]
- Ursavas, A.; Ilcol, Y.O.; Nalci, N.; Karadag, M.; Ege, E. Ghrelin, leptin, adiponectin, and resistin levels in sleep apnea syndrome: Role of obesity. Ann. Thorac. Med. 2010, 5, 161. [Google Scholar] [CrossRef]
- Yang, D.; Liu, Z.; Luo, Q. Plasma ghrelin and pro-inflammatory markers in patients with obstructive sleep apnea and stable coronary heart disease. Med. Sci. Monit. Int. Med. J. Exp. Clin. Res. 2013, 19, 251. [Google Scholar]
- Yang, D.; Liu, Z.-H.; Zhao, Q.; Luo, Q. Effects of nasal continuous positive airway pressure treatment on insulin resistance and ghrelin levels in non-diabetic apnoeic patients with coronary heart disease. Chin. Med. J. 2013, 126, 3316–3320. [Google Scholar]
- Tschop, M.; Weyer, C.; Tataranni, P.A.; Devanarayan, V.; Ravussin, E.; Heiman, M.L. Circulating ghrelin levels are decreased in human obesity. Diabetes 2001, 50, 707–709. [Google Scholar] [CrossRef] [PubMed]
Disclaimer/Publisher’s Note: The statements, opinions and data contained in all publications are solely those of the individual author(s) and contributor(s) and not of MDPI and/or the editor(s). MDPI and/or the editor(s) disclaim responsibility for any injury to people or property resulting from any ideas, methods, instructions or products referred to in the content. |
© 2023 by the authors. Licensee MDPI, Basel, Switzerland. This article is an open access article distributed under the terms and conditions of the Creative Commons Attribution (CC BY) license (https://creativecommons.org/licenses/by/4.0/).





