When SUV Matters: FDG PET/CT at Baseline Correlates with Survival in Soft Tissue and Ewing Sarcoma
Abstract
:1. Introduction
2. Materials and Methods
2.1. Patient Selection
2.2. PET/CT Scans
2.3. Image Analysis
2.4. Statistics
3. Results
3.1. Patient Cohort
3.2. PET Metrics for Different Subgroups
3.3. PET Metrics Predicting Survival
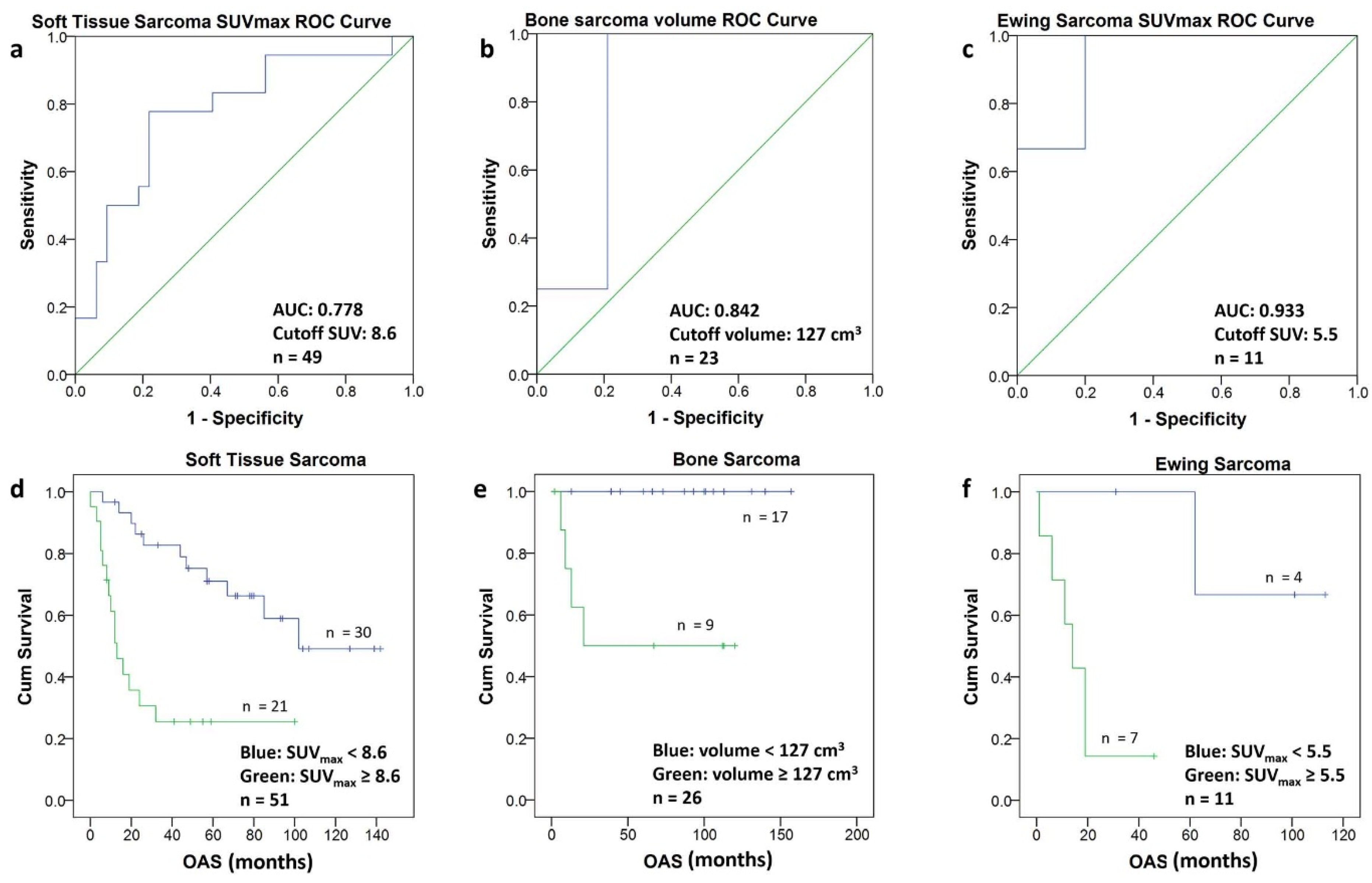
3.4. Optimal Cutoff for Survival
4. Discussion
4.1. Importance of Pathology and Selected Pathological Findings
4.2. Importance of Tumor Metrics
4.3. Comparison with Existing Literature
5. Conclusions
Author Contributions
Funding
Institutional Review Board Statement
Informed Consent Statement
Data Availability Statement
Acknowledgments
Conflicts of Interest
References
- Pisters, P.W.; Leung, D.H.; Woodruff, J.; Shi, W.; Brennan, M.F. Analysis of prognostic factors in 1,041 patients with localized soft tissue sarcomas of the extremities. J. Clin. Oncol. 1996, 14, 1679–1689. [Google Scholar] [CrossRef]
- Guillou, L.; Coindre, J.M.; Bonichon, F.; Nguyen, B.B.; Terrier, P.; Collin, F.; O Vilain, M.; Mandard, A.M.; Le Doussal, V.; Leroux, A.; et al. Comparative study of the National Cancer Institute and French Federation of Cancer Centers Sarcoma Group grading systems in a population of 410 adult patients with soft tissue sarcoma. J. Clin. Oncol. 1997, 15, 350–362. [Google Scholar] [CrossRef] [PubMed]
- Bieling, P.; Rehan, N.; Winkler, P.; Helmke, K.; Maas, R.; Fuchs, N.; Bielack, S.; Heise, U.; Jurgens, H.; Treuner, J.; et al. Tumor size and prognosis in aggressively treated osteosarcoma. J. Clin. Oncol. 1996, 14, 848–858. [Google Scholar] [CrossRef] [PubMed]
- Casali, P.G.; Bielack, S.; Abecassis, N.; Aro, H.; Bauer, S.; Biagini, R.; Bonvalot, S.; Boukovinas, I.; Bovee, J.V.M.G.; Brennan, B.; et al. Bone sarcomas: ESMO-PaedCan-EURACAN Clinical Practice Guidelines for diagnosis, treatment and follow-up. Ann. Oncol. 2018, 29, iv79–iv95. [Google Scholar] [CrossRef] [PubMed]
- Sostman, H.D.; Prescott, D.M.; Dewhirst, M.W.; Dodge, R.K.; E Thrall, D.; Page, R.L.; A Tucker, J.; Harrelson, J.M.; Reece, G.; A Leopold, K. MR imaging and spectroscopy for prognostic evaluation in soft-tissue sarcomas. Radiology 1994, 190, 269–275. [Google Scholar] [CrossRef]
- Tsagozis, P.; Brosjö, O.; Skorpil, M. Preoperative radiotherapy of soft-tissue sarcomas: Surgical and radiologic parameters associated with local control and survival. Clin. Sarcoma Res. 2018, 8, 19. [Google Scholar] [CrossRef] [Green Version]
- Miller, S.L.; Hoffer, F.A.; Reddick, W.; Wu, S.; Glass, J.O.; Gronemeyer, S.A.; Haliloglu, M.; Nikanorov, A.Y.; Xiong, X.; Pappo, A.S. Tumor volume or dynamic contrast-enhanced MRI for prediction of clinical outcome of Ewing sarcoma family of tumors. Pediatr. Radiol. 2001, 31, 518–523. [Google Scholar] [CrossRef]
- Gabriel, M.; Rubello, D. 18F-FDG PET-CT in soft tissue sarcomas: Staging, restaging, and prognostic value? Nucl. Med. Commun. 2016, 37, 3–8. [Google Scholar] [CrossRef]
- Andersen, K.F.; Fuglo, H.M.; Rasmussen, S.H.; Petersen, M.M.; Loft, A. Semi-Quantitative Calculations of Primary Tumor Metabolic Activity Using F-18 FDG PET/CT as a Predictor of Survival in 92 Patients with High-Grade Bone or Soft Tissue Sarcoma. Medicine 2015, 94, e1142. [Google Scholar] [CrossRef]
- Hong, S.-P.; Lee, S.E.; Choi, Y.-L.; Seo, S.W.; Sung, K.-S.; Koo, H.H.; Choi, J.Y. Prognostic value of 18F-FDG PET/CT in patients with soft tissue sarcoma: Comparisons between metabolic parameters. Skelet. Radiol. 2014, 43, 641–648. [Google Scholar] [CrossRef]
- Chang, K.J.; Lim, I.; Park, J.Y.; Jo, A.R.; Kong, C.B.; Song, W.S.; Jo, W.H.; Lee, S.Y.; Koh, J.S.; Kim, B.I.; et al. The Role of (18)F-FDG PET/CT as a Prognostic Factor in Patients with Synovial Sarcoma. Nucl. Med. Mol. Imaging 2015, 49, 33–41. [Google Scholar] [CrossRef] [PubMed] [Green Version]
- Choi, E.-S.; Ha, S.-G.; Kim, H.-S.; Ha, J.H.; Paeng, J.C.; Han, I. Total lesion glycolysis by 18F-FDG PET/CT is a reliable predictor of prognosis in soft-tissue sarcoma. Eur. J. Nucl. Med. Mol. Imaging 2013, 40, 1836–1842. [Google Scholar] [CrossRef] [PubMed]
- Andersen, K.F.; Fuglo, H.M.; Rasmussen, S.H.; Petersen, M.M.; Loft, A. Volume-Based F-18 FDG PET/CT Imaging Markers Provide Supplemental Prognostic Information to Histologic Grading in Patients With High-Grade Bone or Soft Tissue Sarcoma. Medicine 2015, 94, e2319. [Google Scholar] [CrossRef] [PubMed]
- Chen, L.; Wu, X.; Ma, X.; Guo, L.; Zhu, C.; Li, Q. Prognostic value of 18F-FDG PET-CT-based functional parameters in patients with soft tissue sarcoma: A meta-analysis. Medicine 2017, 96, e5913. [Google Scholar] [CrossRef] [PubMed]
- Costelloe, C.M.; Macapinlac, H.A.; Madewell, J.E.; Fitzgerald, N.E.; Mawlawi, O.R.; Rohren, E.M.; Raymond, A.K.; Lewis, V.O.; Anderson, P.M.; Bassett, R.L.; et al. 18F-FDG PET/CT as an indicator of progression-free and overall survival in osteosarcoma. J. Nucl. Med. 2009, 50, 340–347. [Google Scholar] [CrossRef] [Green Version]
- Byun, B.H.; Kong, C.-B.; Park, J.; Seo, Y.; Lim, I.; Choi, C.W.; Cho, W.H.; Jeon, D.-G.; Koh, J.-S.; Lee, S.-Y.; et al. Initial metabolic tumor volume measured by 18F-FDG PET/CT can predict the outcome of osteosarcoma of the extremities. J. Nucl. Med. 2013, 54, 1725–1732. [Google Scholar] [CrossRef] [Green Version]
- Jamet, B.; Carlier, T.; Campion, L.; Bompas, E.; Girault, S.; Borrely, F.; Ferrer, L.; Rousseau, M.; Venel, Y.; Kraeber-Bodéré, F.; et al. Initial FDG-PET/CT predicts survival in adults Ewing sarcoma family of tumors. Oncotarget 2017, 8, 77050–77060. [Google Scholar] [CrossRef] [Green Version]
- Hwang, J.P.; Lim, I.; Kong, C.-B.; Jeon, D.G.; Byun, B.H.; Kim, B.I.; Choi, C.W.; Lim, S.M. Prognostic Value of SUVmax Measured by Pretreatment Fluorine-18 Fluorodeoxyglucose Positron Emission Tomography/Computed Tomography in Patients with Ewing Sarcoma. PLoS ONE 2016, 11, e0153281. [Google Scholar] [CrossRef] [Green Version]
- Salem, U.; Amini, B.; Chuang, H.H.; Daw, N.C.; Wei, W.; Haygood, T.M.; Madewell, J.E.; Costelloe, C.M. 18F-FDG PET/CT as an Indicator of Survival in Ewing Sarcoma of Bone. J. Cancer 2017, 8, 2892–2898. [Google Scholar] [CrossRef] [Green Version]
- The ESMO/European Sarcoma Network Working Group. Soft tissue and visceral sarcomas: ESMO Clinical Practice Guidelines for diagnosis, treatment and follow-up. Ann. Oncol. 2014, 25 (Suppl. 3), iii113–iii123. [Google Scholar] [CrossRef]
- Bridge, J.A. WHO Classification of Tumours of Soft Tissue and Bone, 4th ed. World Health Organization Classification of Tumours. Available online: http://gbv.eblib.com/patron/FullRecord.aspx?p=4661026 (accessed on 6 May 2018).
- Kitao, T.; Shiga, T.; Hirata, K.; Sekizawa, M.; Takei, T.; Yamashiro, K.; Tamaki, N. Volume-based parameters on FDG PET may predict the proliferative potential of soft-tissue sarcomas. Ann. Nucl. Med. 2019, 33, 22–31. [Google Scholar] [CrossRef] [PubMed]
- Sarculator. Available online: http://www.sarculator.com (accessed on 12 June 2019).
- Callegaro, D.; Miceli, R.; Bonvalot, S.; Ferguson, P.; Strauss, D.C.; Levy, A.; Griffin, A.; Hayes, A.; Stacchiotti, S.; Le Pechoux, C.; et al. Development and external validation of two nomograms to predict overall survival and occurrence of distant metastases in adults after surgical resection of localised soft-tissue sarcomas of the extremities: A retrospective analysis. Lancet Oncol. 2016, 17, 671–680. [Google Scholar] [CrossRef]
- Frustaci, S.; Gherlinzoni, F.; De Paoli, A.; Bonetti, M.; Azzarelli, A.; Comandone, A.; Olmi, P.; Buonadonna, A.; Pignatti, G.; Barbieri, E.; et al. Adjuvant chemotherapy for adult soft tissue sarcomas of the extremities and girdles: Results of the Italian randomized cooperative trial. J. Clin. Oncol. 2001, 19, 1238–1247. [Google Scholar] [CrossRef] [PubMed]
- Eilber, F.C.; Brennan, M.; Eilber, F.R.; Eckardt, J.J.; Grobmyer, S.R.; Riedel, E.; Forscher, C.; Maki, R.G.; Singer, S. Chemotherapy is associated with improved survival in adult patients with primary extremity synovial sarcoma. Ann. Surg. 2007, 246, 105–113. [Google Scholar] [CrossRef] [PubMed]
- Gronchi, A.; Frustaci, S.; Mercuri, M.; Martin, J.; Pousa, A.L.; Verderio, P.; Mariani, L.; Valagussa, P.; Miceli, R.; Stacchiotti, S.; et al. Short, full-dose adjuvant chemotherapy in high-risk adult soft tissue sarcomas: A randomized clinical trial from the Italian Sarcoma Group and the Spanish Sarcoma Group. J. Clin. Oncol. 2012, 30, 850–856. [Google Scholar] [CrossRef]
- Woll, P.J.; Reichardt, P.; Le Cesne, A.; Bonvalot, S.; Azzarelli, A.; Hoekstra, H.J.; Leahy, M.; Van Coevorden, F.; Verweij, J.; Hogendoorn, P.; et al. Adjuvant chemotherapy with doxorubicin, ifosfamide, and lenograstim for resected soft-tissue sarcoma (EORTC 62931): A multicentre randomised controlled trial. Lancet Oncol. 2012, 13, 1045–1054. [Google Scholar] [CrossRef]
- Steiger, S.; Arvanitakis, M.; Sick, B.; Weder, W.; Hillinger, S.; Burger, I.A. Analysis of Prognostic Values of Various PET Metrics in Preoperative 18F-FDG PET for Early-Stage Bronchial Carcinoma for Progression-Free and Overall Survival: Significantly Increased Glycolysis Is a Predictive Factor. J. Nucl. Med. 2017, 58, 1925–1930. [Google Scholar] [CrossRef] [Green Version]
- Schuetze, S.M.; Rubin, B.P.; Vernon, C.; Hawkins, D.S.; Bruckner, J.D.; Conrad, E.U.; Eary, J.F. Use of positron emission tomography in localized extremity soft tissue sarcoma treated with neoadjuvant chemotherapy. Cancer 2005, 103, 339–348. [Google Scholar] [CrossRef]
- Skamene, S.R.; Rakheja, R.; Dalhstrom, K.R.; Roberge, D.; Nahal, A.; Charest, M.; Turcotte, R.; Hickeson, M.; Freeman, C. Metabolic activity measured on PET/CT correlates with clinical outcomes in patients with limb and girdle sarcomas. J. Surg. Oncol. 2014, 109, 410–414. [Google Scholar] [CrossRef]
- Casey, D.L.; Wexler, L.H.; Fox, J.J.; Dharmarajan, K.V.; Schoder, H.; Price, A.N.; Wolden, S.L. Predicting outcome in patients with rhabdomyosarcoma: Role of (18)ffluorodeoxyglucose positron emission tomography. Int. J. Radiat. Oncol. Biol. Phys. 2014, 90, 1136–1142. [Google Scholar] [CrossRef]
- Ha, S.C.; Oh, J.S.; Roh, J.-L.; Moon, H.; Kim, J.S.; Cho, K.-J.; Choi, S.-H.; Nam, S.Y.; Kim, S.Y. Pretreatment tumor SUVmax predicts disease-specific and overall survival in patients with head and neck soft tissue sarcoma. Eur. J. Nucl Med. Mol. Imaging 2016, 44, 33–40. [Google Scholar] [CrossRef] [PubMed]
- Hawkins, D.S.; Schuetze, S.M.; Butrynski, J.E.; Rajendran, J.G.; Vernon, C.B.; Conrad, E.U.; Eary, J.F. 18FFluorodeoxyglucose positron emission tomography predicts outcome for Ewing sarcoma family of tumors. J. Clin. Oncol. 2005, 23, 8828–8834. [Google Scholar] [CrossRef]
- Raciborska, A.; Bilska, K.; Drabko, K.; Michalak, E.; Chaber, R.; Pogorzala, M.; Polczynska, K.; Sobol, G.; Wieczorek, M.; Muszynskaroslan, K.; et al. Response to chemotherapy estimates by FDG PET is an important prognostic factor in patients with Ewing sarcoma. Clin. Transl. Oncol. 2016, 18, 189–195. [Google Scholar] [CrossRef] [PubMed]
- Sheikhbahaei, S.; Marcus, C.; Hafezi-Nejad, N.; Taghipour, M.; Subramaniam, R.M. Value of FDG PET/CT in Patient Management and Outcome of Skeletal and Soft Tissue Sarcomas. PET Clin. 2015, 10, 375–393. [Google Scholar] [CrossRef] [PubMed]
- Benz, M.R.; Czernin, J.; Tap, W.D.; Eckardt, J.J.; Seeger, L.L.; Allen-Auerbach, M.S.; Dry, S.M.; Phelps, M.E.; Weber, W.A.; Eilber, F.C. FDG-PET/CT Imaging Predicts Histopathologic Treatment Responses after Neoadjuvant Therapy in Adult Primary Bone Sarcomas. Sarcoma 2010, 2010, 143540. [Google Scholar] [CrossRef] [PubMed]
- Herrmann, K.; Benz, M.R.; Czernin, J.; Allen-Auerbach, M.S.; Tap, W.D.; Dry, S.M.; Schuster, T.; Eckardt, J.J.; Phelps, M.E.; Weber, W.A.; et al. 18F-FDG-PET/CT Imaging as an early survival predictor in patients with primary high-grade soft tissue sarcomas undergoing neoadjuvant therapy. Clin. Cancer Res. 2012, 18, 2024–2031. [Google Scholar] [CrossRef] [Green Version]







| Subgroups | Bone Sarcoma (n = 26) | Soft Tissue Sarcoma (n = 51) | Ewing Sarcoma Family Tumor (n = 11) | All (n = 88) |
|---|---|---|---|---|
| Male/Female (n) | 12/14 | 30/21 | 7/4 | 49/39 |
| Age at initial PET-scan in years (median and interquartile range) | 27 (16–39) | 57 (36–73) | 31 (19–38) | 40 (25–59) |
| OAS in months (median and interquartile range) | 70 (21–112) | 44 (12–78) | 19 (11–62) | 46.5 (13–90) |
| Initial Tumor Stage (TNM) | ||||
| TX | 2 | 12 | 1 | 15 |
| T1 | 16 | 12 | 3 | 31 |
| T2 | 7 | 26 | 7 | 40 |
| T3 | 1 | 0 | 0 | 1 |
| T4 | 0 | 1 | 0 | 1 |
| NX | 2 | 10 | 1 | 13 |
| N0 | 24 | 39 | 8 | 71 |
| N1 | 0 | 2 | 2 | 4 |
| MX | 3 | 9 | 1 | 13 |
| M0 | 21 | 32 | 5 | 58 |
| M1 | 2 | 10 | 5 | 17 |
| Grading (as reported) | ||||
| GX | 9 | 23 | 9 | 41 |
| G1 | 1 | 8 | 0 | 9 |
| G2 | 3 | 4 | 0 | 7 |
| G3 | 13 | 16 | 2 | 31 |
| Histology Subgroups | |||
|---|---|---|---|
| Bone Sarcoma | Soft Tissue Sarcoma | Ewing Sarcoma Family Tumor | |
| Osteosarcoma (n = 17) | |||
| n = 6 | - | - |
| n = 3 | - | - |
| n = 1 | - | - |
| n = 2 | - | - |
| n = 1 | - | - |
| n = 4 | - | - |
| Leiomyosarcoma (n = 14) | |||
| n = 11 | - | |
| n = 3 | - | |
| Ewing sarcoma family tumor (n = 11) | - | - | n = 11 |
| Liposarcoma (n = 11) | |||
| - | n = 5 | - |
| - | n = 3 | - |
| Pleomorphic | - | n = 1 | - |
| - | n = 1 | - |
| - | n = 1 | - |
| Angiosarcoma (n = 8) | |||
| n = 7 | - | |
| n = 1 | - | |
| Chondrosarcoma (n = 6) | |||
| n = 2 | - | - |
| - | n = 2 | - |
| n = 1 | - | - |
| n = 1 | - | - |
| Rhabdomyosarcoma (n = 5) | |||
| - | n = 3 | - |
| - | n = 1 | - |
| - | n = 1 | - |
| Undifferentiated pleomorphic sarcoma (n = 4) | n = 4 | ||
| Synovial sarcoma (n = 3) | - | n = 3 | - |
| Undifferentiated high-grade pleomorphic sarcoma of bone | n = 2 | - | - |
| Myxofibrosarcoma (n = 2) | - | n = 2 | - |
| Intimal sarcoma | - | n = 1 | - |
| Sclerosing Epithelioid Fibrosarcoma | - | n = 1 | - |
| Low-grade fibromyxoid sarcoma (Evans Tumor) | - | n = 1 | - |
| Malignant peripheral nerve sheath tumor | - | n = 1 | - |
| Follicular dendritic cell sarcoma | - | n = 1 | - |
| Total (n = 88) | n = 26 | n = 51 | n = 11 |
| BS (n = 26) | STS (n = 51) | ESFT (n = 11) | |
|---|---|---|---|
| SUVavg | 3.2 | 3.6 | 3.3 |
| Mean (range) | (2.4/0.5) | (2.4/0.3) | (1.8/0.5) |
| SUVmin | 0.6 | 1.1 | 0.7 |
| Mean (range) | (0.3/0.1) | (1.1/0.2) | (0.4/0.1) |
| SUVmax | 9.6 | 8.7 | 8.1 |
| Mean (range) | (7.7/1.5) | (6.2/0.9) | (4.8/1.4) |
| TLG | 465.7 | 808.0 | 2727.7 |
| Mean (range) | (558.0/109.4) | (1147.0/202.6) | (5268.7/1588) |
| Volume [cm3] | 145.1 (181.2/36.2) | 359.1 (476.0/66.7) | 354.4 (430.5/136.1) |
| HUavg | 189.8 (93.8/18.8) | 34.0 (41.3/5.8) | 89.7 (109.3/34.6) |
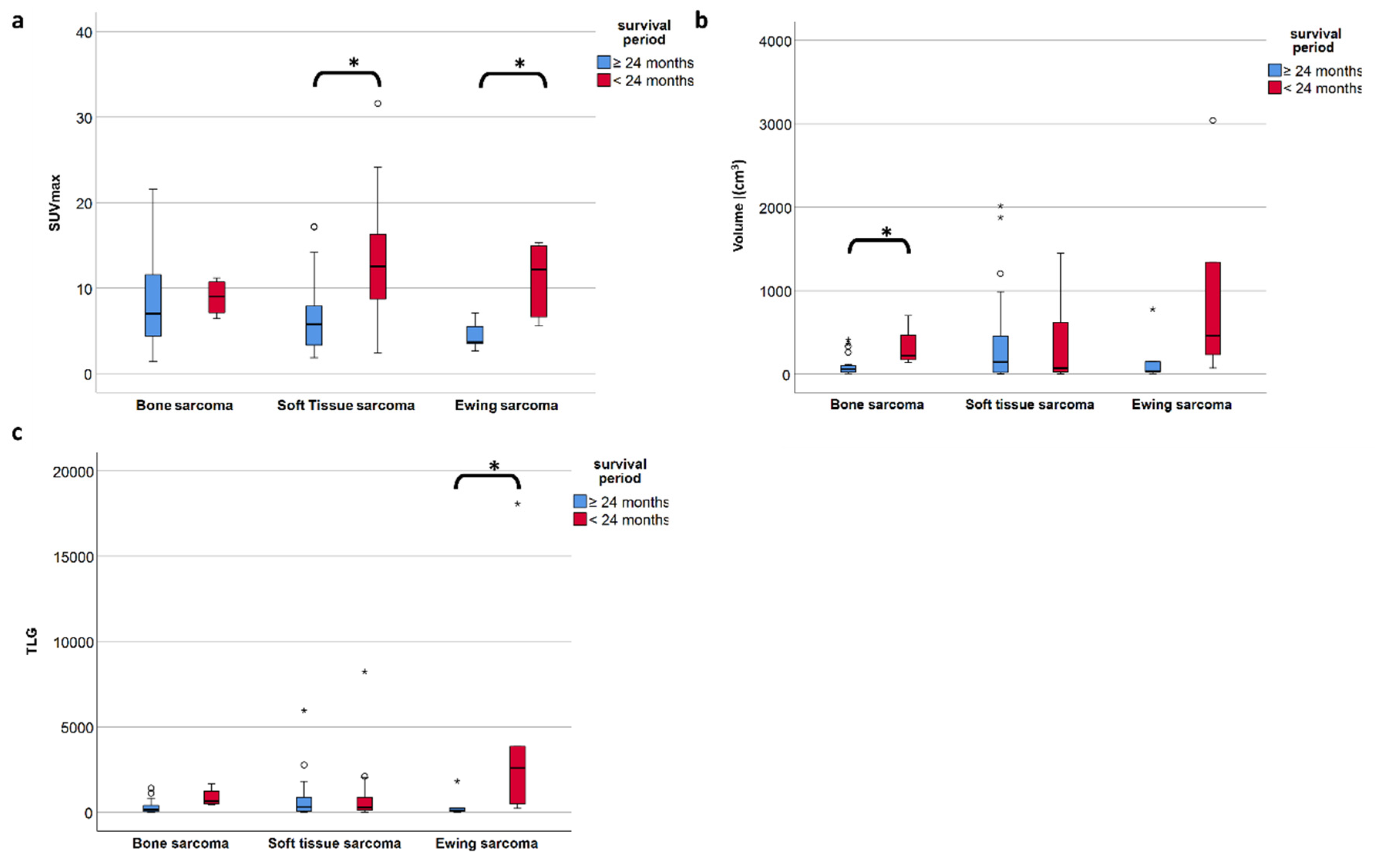
| SUVmax | TLG | Volume [cm3] | |
|---|---|---|---|
| Soft tissue sarcoma | |||
| short survival (n = 18) | 12.5 (8.8–16.0) | 291 (124–871) | 61 (26–398) |
| long survival (n = 31) | 5.5 (3.3–7.2) | 329 (75–879) | 142 (28–405) |
| p-value * | 0.001 | 0.642 | 0.613 |
| Ewing sarcoma | |||
| short survival (n = 6) | 12.1 (7.6–14.7) | 2594 (827–3719) | 457 (262–1146) |
| long survival (n = 5) | 3.7 (3.5–5.5) | 85 (46–245) | 29 (27–149) |
| p-value | 0.017 | 0.030 | 0.15 |
| Bone sarcoma | |||
| short survival (n = 4) | 7.8 (7.1–9.0) | 656 (487–1022) | 217 (186–349) |
| long survival (n = 19) | 7.0 (4.4–11.6) | 165 (42–403) | 60 (22–104) |
| p-value | 0.557 | 0.054 | 0.035 |
| Author | Histology | No of Pat. | PET metric Corr. with Survival | PET metric Not Corr. with Survival | Cut off | AUC |
|---|---|---|---|---|---|---|
| Hong 2014 [10] | STS (but including ES (8)) | 55 | SUVmax(+avg) | MTV + TLG | - | - |
| Andersen * 2015 [9] | STS (55) | 55 | SUVmax T/B TLG MTV40% | 17.7 7.2 265.6 g 25.0 mL | 0.797 0.787 0.780 0.694 | |
| Andersen * 2015 [13] | BS (37 including 6 ES) | 37 | TLG MTV40% | SUVmax T/B | 11.6 8.0 149.4 g 32.6 mL | 0.630 0.593 0.773 0.727 |
| Schuetze 2005 [30] | STS | 47 | SUVmax correlating with DFS und MFS but not OAS | (SUVmax (OS)) | Predefined > 6 | - |
| Skamene 2014 [31] | STS, BS and ES | 81, 23 and 16 | SUVmax | 10.3 | - | |
| Chang 2015 [11] | STS (Synovial sarcoma) | 20 | SUVmax MTV2.5abs TLG | 6.1 166.2 mL 691.7 g | - - - | |
| Casey 2014 [32] | STS (Rhabdomyosarcoma) | 107 | SUVmax | (predefined 6.0)/9.5 | - | |
| Choi 2013 [12] | STS | 76 | TLG SUVmax MTV40% | 250 g 6.0 40 cm3 | 0.833 0.771 0.667 | |
| Ha 2016 [33] | STS (head and neck) | 36 | SUVmax SUVpeak MTV TLG | Tu Vol | 7.0 5.0 20 mL 150.0 g 15.0 mL | 0.779 0.753 0.716 0.739 0.682 |
| Hwang 2016 [31] | ES | 34 | SUVmax | 5.8 | - | |
| Salem 2015 [19] | ES | 28 | SUVmax | 11.6 | - | |
| Jamet 2017 [17] | ES | 32 | SUVmax SUVpeak | MTV TLG | 17.0 12.5 - - | - - - - |
| Costelloe 2009 [15] | BS (Osteosarcoma) | 31 | SUVmax (only PFS not OS) TLG | (SUVmax (OS)) | - - | - - |
Publisher’s Note: MDPI stays neutral with regard to jurisdictional claims in published maps and institutional affiliations. |
© 2021 by the authors. Licensee MDPI, Basel, Switzerland. This article is an open access article distributed under the terms and conditions of the Creative Commons Attribution (CC BY) license (https://creativecommons.org/licenses/by/4.0/).
Share and Cite
Hack, R.I.; Becker, A.S.; Bode-Lesniewska, B.; Exner, G.U.; Müller, D.A.; Ferraro, D.A.; Warnock, G.I.; Burger, I.A.; Britschgi, C. When SUV Matters: FDG PET/CT at Baseline Correlates with Survival in Soft Tissue and Ewing Sarcoma. Life 2021, 11, 869. https://doi.org/10.3390/life11090869
Hack RI, Becker AS, Bode-Lesniewska B, Exner GU, Müller DA, Ferraro DA, Warnock GI, Burger IA, Britschgi C. When SUV Matters: FDG PET/CT at Baseline Correlates with Survival in Soft Tissue and Ewing Sarcoma. Life. 2021; 11(9):869. https://doi.org/10.3390/life11090869
Chicago/Turabian StyleHack, Ruben I., Anton S. Becker, Beata Bode-Lesniewska, G. Ulrich Exner, Daniel A. Müller, Daniela A. Ferraro, Geoffrey I. Warnock, Irene A. Burger, and Christian Britschgi. 2021. "When SUV Matters: FDG PET/CT at Baseline Correlates with Survival in Soft Tissue and Ewing Sarcoma" Life 11, no. 9: 869. https://doi.org/10.3390/life11090869
APA StyleHack, R. I., Becker, A. S., Bode-Lesniewska, B., Exner, G. U., Müller, D. A., Ferraro, D. A., Warnock, G. I., Burger, I. A., & Britschgi, C. (2021). When SUV Matters: FDG PET/CT at Baseline Correlates with Survival in Soft Tissue and Ewing Sarcoma. Life, 11(9), 869. https://doi.org/10.3390/life11090869

