Abstract
Full-annular rubbing is a common rubbing form in rotor systems. It introduces an additional constraint on the rotor, which produces a significant increase in the resonance frequency. Although many studies have qualitatively discussed the influence of rubbing on rotor dynamics, the quantitative effect of this constraint still needs to be analyzed with advanced methods and validated by rigorous experiments. The present paper aims to establish a method for predicting the resonance frequency of a rotor undergoing full-annular rubbing. The dynamic feature of a rubbing rotor system is analyzed by complex nonlinear modal analysis, and the numerical results are evaluated against measurements obtained from a rubbing rotor test rig. A modified Jeffcott rotor model is first formulated to clarify the relationship between the modal characteristics and the steady-state response. Experiments are then carried out to investigate the influence of rubbing on rotor dynamics. The results show that the constraint effect caused by rubbing can be quantitatively captured by nonlinear modal analysis.
1. Introduction
High performance requirements for modern rotating machinery usually lead to reduced clearances between rotors and stators, which can give rise to rub impact during operation [1]. Once rubbing occurs, severe vibration may be induced and the rotor system becomes strongly nonlinear [2,3]. Therefore, investigating nonlinear vibration in rotor systems with rotor-to-stator rubbing is essential in evaluating the operating conditions and structural integrity of rotating machines [4,5]. In addition to simplified Jeffcott-type models that capture the dominant nonlinear features with a few degrees of freedom [6,7,8], more detailed finite element-based formulations and multi-degree-of-freedom rotor models have been developed to predict rub-induced vibration [9,10,11,12], forward and backward whirl responses [13,14], and complex transient patterns under various operating conditions [15,16,17,18,19].
Rub impact responses are commonly categorized into several representative forms. Partial rubbing refers to intermittent contact occurring only during part of a precession cycle [20,21] where the contact state switches on and off and the effective constraint is not persistent. In contrast, full-annular rubbing occurs when the rotor remains in continuous contact with the stator throughout a complete revolution [21]. This continuous contact introduces a distinctive, persistent constraint effect [22,23] which limits rotor displacement and induces the amplitude-dependent evolution of the effective stiffness, thereby producing systematic resonance frequency shifts and resonance range changes [24,25]. A third classical regime is dry whip (dry friction backward whirl), in which the rotor rolls inside the clearance and can exhibit markedly higher-frequency nonsynchronous motion driven by frictional energy exchange [26,27] These regimes are physically different in terms of contact continuity and energy transfer, and the present work focuses specifically on the constraint-dominated dynamics of full-annular continuous contact and its implications for stiffness evolution and resonance shifts.
Among these forms, full-annular rubbing is particularly important in practice because the contact constraint acts continuously and can dominate the effective dynamic stiffness seen by the rotor [21,26] Ma et al. developed a constraint mechanical model for full-annular rubbing and showed that the constraint effect enlarges the rotor resonance range [23]. Related studies on full-annular rubbing in mechanical seals and rotor–stop systems further indicate that the contact conditions, material properties, and support flexibility jointly govern the effective stiffness and damping experienced by the rotor [28]. These findings suggest that a modal viewpoint that explicitly links amplitude-dependent stiffness evolution to frequency shifts is especially suitable for full-annular rubbing, where the constraint is persistent rather than episodic.
In parallel, suitable nonlinear analysis methods are crucial in analyzing rubbing rotor systems. The concept of nonlinear normal modes (NNMs) was first introduced by Rosenberg [29] and subsequently extended in many works [30,31,32,33,34,35,36,37]. Considering dissipation in nonconservative systems, Laxalde and coworkers introduced complex nonlinear modes and applied the concept to turbomachinery components with friction interfaces [38,39]. Hong et al. applied complex nonlinear modes to a Jeffcott rubbing rotor to analyze its modal characteristics and provided a modal viewpoint for systems with rubbing-induced constraints [14]. These developments motivate the use of a nonlinear modal framework to connect amplitude-dependent modal quantities (e.g., backbone curves) with measurable resonance characteristics in systems where continuous contact acts as an effective constraint.
Despite these efforts, a concise, experimentally validated link between the amplitude-dependent modal characteristics under continuous full-annular contact and the corresponding resonance frequency evolution remains desirable, particularly when both forward and backward precession behaviors are considered within a unified amplitude-referenced interpretation. The objective of the present work is therefore to investigate the constraint effect of full-annular rubbing from the viewpoint of complex nonlinear modal analysis and to validate the resulting frequency evolution against dedicated experiments over a range of constraint levels. To address these issues, this paper makes the following contributions: (1) using established nonlinear modal analysis tools, we perform the amplitude-referenced characterization of rub impact rotor response characteristics, covering both forward and backward precession; (2) we conduct an experimental investigation and quantitative simulation–experiment benchmarking by comparing the measured resonance frequency evolution against backbone-based predictions under systematically varied constraint stiffness.
2. Modal Analysis for Rubbing Rotor System
In this section, a complex nonlinear modal analysis framework is formulated to provide a unified means of computing complex nonlinear modes.
2.1. Modeling
The Jeffcott rotor considered in this study, shown in Figure 1, consists of a massless shaft carrying a mid-span disk. The mass center of the rotor is offset from the geometric center of the disk by a small eccentricity e. The shaft has a given bending stiffness, and the rotor operates at a constant rotational speed. The stator is modeled as a rigid ring with negligible mass, elastically supported in the radial direction, while the support damping is neglected. A uniform radial clearance r0 is provided between the rotor and stator. When rotor–stator rubbing occurs, a normal contact force acts radially at the contact point and a friction force acts tangentially, proportional to the normal force through the friction coefficient.
Figure 1.
The modified Jeffcott rotor model.
The governing equations of the rotor can be written as follows:
where the horizontal and vertical components of the rubbing force are defined.
where and are the horizontal and vertical displacements of the disk center, is the relative sliding speed at the contact point, and is the rotational velocity. is the disk radius, and is the whirl radius. is the rotor whirl angular velocity, is the Heaviside step function, and is the sign function.
The corresponding dimensional forms of the equations can be written as
with , , , , , , , , , , , , , .
A prime denotes differentiation with respect to the new dimensionless time variable.
2.2. Method
Based on the literature on complex nonlinear modes (CNMs), a modal analysis procedure applicable to the rotor system shown in Figure 1 is established. By removing the unbalance excitation term in Equation (5), the governing equation can be written as Equation (7):
According to the definition of nonlinear modes [14,40], the eigenvalues of Equation (7) are given by
where , , , denote modal damping and the modal frequency, respectively.
The disk displacement is expressed as
where is the Fourier expansion order (number of harmonics).
The nonlinear load vector is a function of the system displacement and velocity and can be expanded in the form of a Fourier series as
Substituting Equations (9) and (10) into Equation (7) and simplifying them yields the following algebraic equation:
where , , , , , , , , , , .
By assembling the balance equations of all harmonic orders, the following algebraic system is obtained:
where , , ; is the total number of harmonic coefficients.
In Equation (12), vector is usually an implicit function of vector . Thus, Equation (15) can be rewritten as
with
2.3. Solution Procedure
To solve the nonlinear algebraic equation system in Equation (13), two issues must be addressed. First, the Fourier coefficients of the nonlinear force and those of the displacement have no explicit relationship in the frequency domain; the nonlinear force can be expressed explicitly as a function of the displacement only in the time domain. Therefore, a mapping between the nonlinear force and the displacement in the frequency domain must be established. Second, unlike the conventional harmonic balance method, the system eigenvalues are also unknown here. As a result, the number of nonlinear algebraic equations is two fewer than the number of unknowns, and the nonlinear algebraic system is in fact underdetermined. The solutions to the above two issues are introduced first, followed by the numerical procedure for solving the nonlinear algebraic equations.
2.3.1. Time–Frequency Transformation Technique
In most cases, the decay term remains negligible over several consecutive periods; thus, it may be ignored within such a short time window. The displacement and nonlinear force can be simplified as
For Equation (16), a time–frequency transformation technique is used to establish the relationship between and , as shown in Equation (17). First, the time-domain displacement is reconstructed from the harmonic coefficients of the displacement using the inverse fast Fourier transform (IFFT). Then, the nonlinear force in the time domain is obtained from the explicit relationship between the nonlinear external force and the displacement. Finally, the harmonic coefficients of the nonlinear force are obtained by applying the fast Fourier transform (FFT) to the time history of the nonlinear force.
2.3.2. Modal Normalization
In addition, the eigenvalues and are also unknown. Therefore, the number of equations in Equation (16) is two fewer than the number of unknowns. To close the system, following a normalization strategy, the first-harmonic Fourier coefficient of the rotor disk displacement in the -direction, , is prescribed as . This leads to an augmented algebraic system, which, for convenience, is written as
where and .
Solving Equation (18) yields the stability criterion of the rotor:
If the real part of the eigenvalue is positive, i.e., the modal damping parameter is negative, the complex nonlinear mode becomes unstable and the rotor system loses stability.
Accordingly, solving the nonlinear modes of the nonlinear system is transformed into solving the above nonlinear algebraic equations. In this work, the Newton iteration method is adopted, with the iterative format given by
where is the Jacobian matrix of the vector function . The Jacobian matrix is computed as
where is a -order square matrix, is a -order matrix, is a -order matrix, and is a 4-order square matrix. The corresponding matrix expressions are given as follows:
where
Because the functional relationships between and , cannot be written explicitly, and are evaluated using finite difference approximations.
The Newton iteration is a locally convergent algorithm, and the choice of the initial guess is crucial. In this work, the linear mode of the corresponding linearized system is used as the initial guess.
2.3.3. Computation Procedure
The computation procedure for the nonlinear modes of the nonlinear system is as follows:
- (1)
- Select the normalization degree of freedom and prescribe the corresponding normalization value according to the analysis requirements;
- (2)
- Neglect the nonlinear force to obtain the corresponding linear system, and compute its eigenvalues and eigenvectors as the initial guess to solve the nonlinear algebraic equations;
- (3)
- Perform iterative solving based on Equation (16) until convergence. During iteration, the Fourier coefficients of the nonlinear force are obtained using the time–frequency transformation technique, and the Jacobian matrix is computed from the above derivations.
3. Dynamic Analysis
In this subsection, the dynamic response of the rubbing rotor is computed and the nonlinear modal characteristics are compared with the steady-state frequency–response curves. Figure 2 presents the overall workflow adopted in this study for nonlinear modal analysis and time-domain response computation. After initialization and the specification of the rotor model parameters, the mass, damping, gyroscopic, and stiffness matrices are assembled based on the finite element method to formulate the free vibration equation of the rotor system. The procedure then proceeds along two parallel tracks. On one hand, complex nonlinear modal analysis (CNMA) is performed on the free vibration equation to obtain the modal frequency (and its amplitude-dependent evolution). On the other hand, the rubbing force model and the unbalance excitation load are introduced to construct the dynamic equation of the rotor system, which is solved using the Newmark–β time integration scheme to yield observable responses such as vibration amplitudes and orbital trajectories. By combining modal-level frequency/stability information with time-domain response results, the proposed framework enables the unified analysis and interpretation of the response characteristics of rubbing rotors. Section 3.1 and Section 3.2 apply the proposed analysis method to investigate the rotor characteristics under forward and backward precession, respectively.
Figure 2.
Flowchart of the proposed complex nonlinear modal analysis (CNMA) framework for a rubbing rotor system.
3.1. Forward Precession Analysis
In this subsection, the rotor parameters are set as , , , , , . The rubbing event is triggered by a unbalance load.
Figure 3 shows the frequency–response curves for different levels of unbalance excitation, obtained by numerical time integration. As the unbalance increases, the rotor vibration amplitude increases and the corresponding resonance frequency shifts to higher values. The frequency–amplitude (backbone) curve obtained from the nonlinear modal analysis is also plotted in Figure 3. When the rotor amplitude is smaller than the clearance, the natural frequency remains approximately constant. Once the rotor amplitude exceeds the clearance, the modal frequency increases as a result of the additional constraint introduced by rubbing. The backbone curve passes close to all resonance peaks, indicating that the constraint effect can be quantified in terms of the rotor amplitude. Continuous contact provides an additional radial constraint that effectively increases the restoring stiffness seen by the rotor, thereby shifting the resonance to higher frequencies. It should also be noted that the natural frequency is slightly lower than the corresponding resonance frequency. Table 1 summarizes the resonance peak frequency from forced-response simulations and the corresponding modal frequency from CNMA under different . The predicted modal frequency follows the same trend as the resonance peak and matches it closely, supporting the use of CNMA for resonance frequency prediction under varying constraint levels.
Figure 3.
Frequency–response curves under different unbalance levels and the corresponding backbone curve.
Table 1.
Comparison of resonance frequencies (forced response) and modal frequencies.
In this subsection, the rotor parameters are set as , , , , , . Figure 4 summarizes the frequency–response results for different values of the casing–stiffness ratio. It can be seen that, as this ratio increases, the rotor vibration amplitude grows and the resonance frequency shifts to higher values. The frequency–amplitude (backbone) curve obtained by nonlinear modal analysis passes close to all resonance peaks, and the associated natural frequencies remain slightly lower than the resonance frequencies due to damping. This table further shows the variation in the resonance peak frequency (from response analysis) and the corresponding modal frequency predicted by CNMA as the control parameter increases from 0 to 5. Both frequencies increase monotonically, indicating a pronounced stiffening effect associated with the increasing constraint level. The model parameters are summarized in Table 2.The CNMA results remain in close agreement with the forced-response peaks over the entire range, with only small deviations (generally within a few percent), confirming that CNMA provides a reliable estimate of the resonance location.
Figure 4.
Frequency–response curves for different stator (rubbing ring) stiffness ratios .
Table 2.
Comparison of resonance frequencies (forced response) and modal frequencies.
3.2. Backward Precession Analysis
This section reveals the response characteristics of backward whirl, its onset conditions, and its formation process and further elucidates the underlying frequency-related mechanisms.
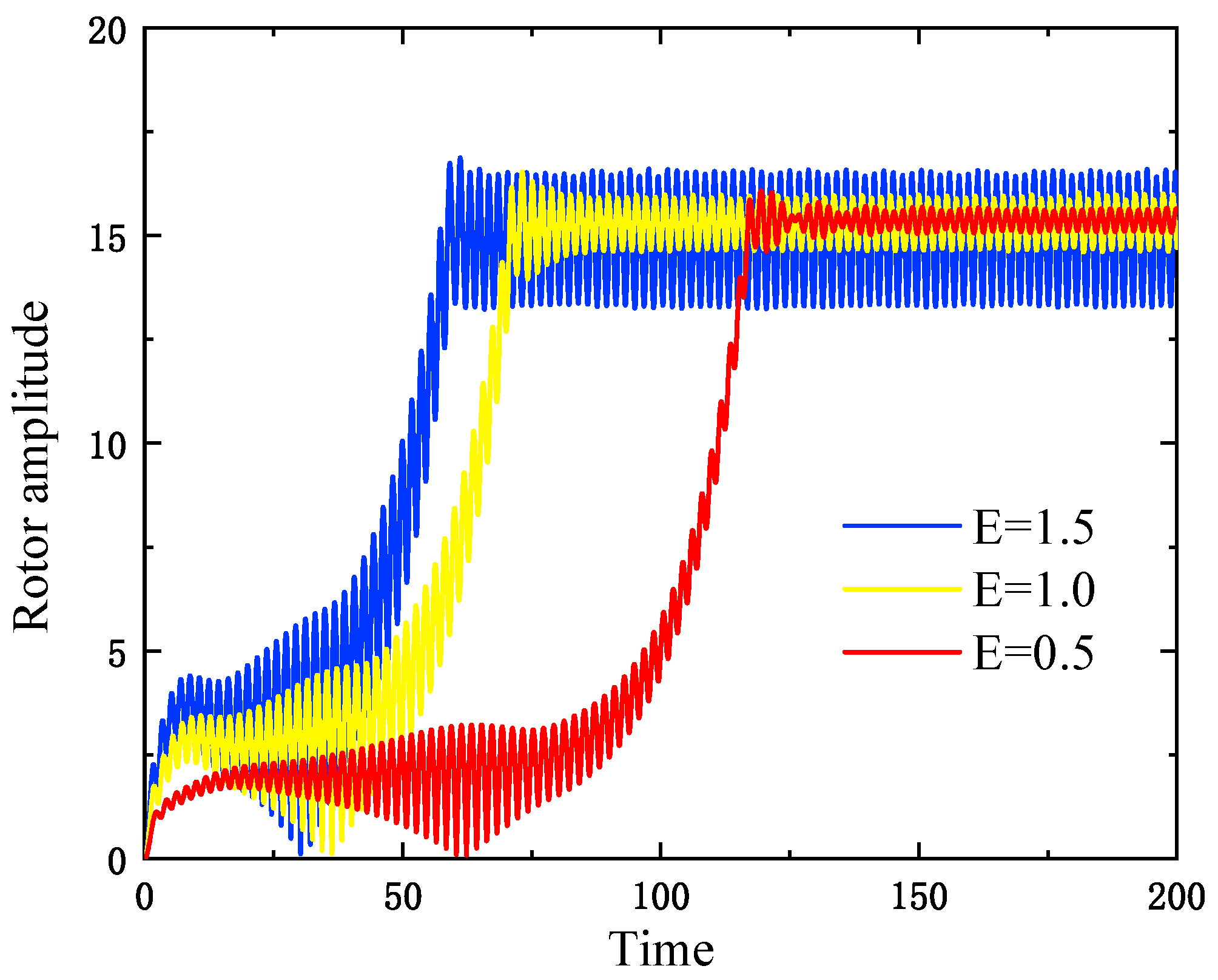
In this subsection, the rotor parameters are set as , , , , . The eccentricity is set to , and , respectively. The rubbing event is triggered by a unbalance load. Using the numerical integration method, time histories of the rotor vibration amplitude under unbalance excitation are obtained, as shown in Figure 5. Meanwhile, the steady-state orbits corresponding to different eccentricities are extracted, as shown in Figure 6.
Figure 5.
The rotor amplitude changing with time.
Figure 6.
The rotor orbit with different eccentricities.
The time history of the response amplitude is shown in Figure 6. The response shows an impact-like feature at the onset; however, the amplitude grows progressively and eventually converges to a stable state at a much higher level. As indicated by Figure 5, this behavior is associated with backward whirl. The results indicate that backward whirl is characterized by high-amplitude vibration, which may pose a serious threat to rotor system safety in practical engineering applications.
Furthermore, complex nonlinear modal analysis is employed to reveal the response characteristics of backward whirl, its onset conditions, and its formation process. First, the variation in the backward whirl modal damping parameter () with the disk vibration amplitude is computed, as shown in Figure 7. The damping curve is divided into three segments: a constant segment, a decreasing segment, and an increasing segment. The response trajectories in Figure 5 are also superimposed in Figure 7, where the abscissa denotes the rotor amplitude, the left ordinate denotes time, and the right ordinate denotes the modal damping parameter ().
Figure 7.
The rotor amplitude response and modal damping parameters .
In the constant segment, the rotor amplitude is smaller than the clearance, so no rotor–stator contact occurs and the backward whirl modal damping parameter () remains unchanged as the amplitude increases. In the decreasing segment, once the rotor amplitude exceeds the clearance, rotor–stator rubbing takes place. The evolution of () can be explained by the relative sliding velocity at the rotor–stator contact point (). For the backward whirl mode, depends on the backward whirl frequency (), the rotor amplitude (), the spin speed (), and the disk radius (). As illustrated in Figure 8a, when the rotor whirl amplitude () is relatively small, the direction of () remains opposite to the whirl direction. Consequently, the friction force () is aligned with the whirl direction, and friction performs positive work on the backward whirl mode, injecting energy into the rotor. This is equivalent to a reduction in the effective dissipation capability; thus, the modal damping parameter () decreases. When the frictional energy input exceeds the inherent damping dissipation, () changes from positive to negative and passes through point A, referred to as the damping instability point, at which the rotor enters the instability region of the backward whirl mode. In the increasing segment, as shown in Figure 8b, with a further increase in amplitude, the direction of () reverses and it becomes consistently aligned with the whirl direction. Accordingly, the friction force becomes opposite to the whirl direction, and friction performs negative work on the backward whirl mode, removing energy from the system. This is equivalent to an increase in effective dissipation, so the modal damping parameter () increases. During the transition where () changes from negative back to positive, the curve passes through point B, referred to as the damping jump point. Once the rotor enters the instability region, the amplitude keeps increasing and eventually converges to a stable state at the damping jump point, where the rotor exhibits stable backward whirl motion and satisfies . The growth continues until the response reaches the damping jump point, where it converges to a stable state with a fluctuating pattern. Accordingly, two conditions for the occurrence of backward whirl in a suddenly unbalanced rotor can be identified:
Figure 8.
The direction of the friction force with different states.
- (1)
- The rotor possesses an instability region associated with the backward whirl mode;
- (2)
- The response amplitude reaches the damping instability point and enters this instability region.
To further clarify the relationship between the backward whirl response and the backward whirl mode, the response trajectories are plotted together with the amplitude-dependent backward whirl modal frequency in Figure 9a. The modal frequency results indicate that, once rubbing occurs, the stator provides additional stiffness to the rotor. Within a certain amplitude range, as the rotor amplitude increases, the additional constraint becomes stronger, and the modal frequency increases accordingly. As shown in Figure 9b, the modal frequency gradually approaches a steady value as the amplitude continues to grow.
Figure 9.
The rotor amplitude response and modal frequency (a) Results for different E. (b) Zoomed-in view of the marked region in (a) showing points P1–P6.
When the backward whirl motion reaches a stable state, the response amplitude becomes relatively steady and the corresponding modal frequency is thereby determined. The intersections between the upper/lower bounds of the response amplitude and the modal frequency curve are shown in Figure 9, yielding a modal frequency interval for each response case. Meanwhile, the spectral components of each response are computed, as shown in Figure 10. The modal frequency intervals and the corresponding spectral components are summarized in Table 3. The results show that the dominant frequency component associated with the backward whirl response falls within the predicted modal frequency interval, indicating that the rotor undergoes backward whirl at the backward whirl modal frequency.
Figure 10.
The frequency-domain components of the response curves with different eccentricities.
Table 3.
The intervals of the modal frequency and frequency component of backward whirl.
4. Experiments on Rotor System with Constraint Effect
To validate the nonlinear dynamic analysis, experimental data are required from tests conducted under conditions that are as controlled as is practicable, allowing the key parameters to be identified or calibrated for the model. Accordingly, a rubbing rotor test rig was built and used to generate the experimental results reported in the following sections.
4.1. Rubbing Rotor Test Rig
The rubbing rotor test rig developed for this study is an experimental setup that allows the effect of rubbing on the rotor to be systematically evaluated. The rig mainly consists of the rotor system itself and an additional constraint device.
The rotor system, shown in Figure 11, consists of a cantilever shaft supported by two bearings. A single overhung disk is mounted near the free end. The support close to the disk is an elastic bearing, whereas the other support is rigid. Flexible coupling connects the driving motor to the shaft.
Figure 11.
The overall view of the rotor system.
The constraint device, shown in Figure 12, comprises a bearing frame, pull rods, metal–rubber elements, a shaft bushing, a rubbing ring, and a pair of baffles. The shaft bushing is rigidly mounted near the disk to prevent direct contact between the rotor shaft and the rubbing ring. Rubbing is designed to occur at the bushing–ring interface once the disk motion exceeds the radial clearance. The metal–rubber elements are clamped between the baffles and linked to the bearing frame by the pull rods, providing an adjustable radial constraint stiffness. In the experiments, the clearance between the rubbing ring and the shaft bushing is set to 0.15 mm.
Figure 12.
The constraint device.
The metal–rubber elements adopted in this study are block-type components (Figure 13) and are uniformly distributed between the fixed ring and the rubbing ring. These elements act as compliant supports that govern the radial constraint stiffness of the device. By replacing the blocks with elements of different stiffness, the overall constraint level can be readily adjusted.
Figure 13.
The metal rubber.
As shown in Figure 14a, the measurement system comprises three eddy current probes. A keyphasor probe provides the rotational speed, while two orthogonal probes placed between the disk and the elastic support measure the horizontal and vertical displacements. The radial stiffness of the rubbing ring is obtained from the quasi-static test, as shown in Figure 14b. A universal testing machine applies a radial load via a loading shaft and pressure bar; the force and the corresponding radial displacement are recorded by a load cell and a micrometer gauge, respectively, and the stiffness is calculated as the force-to-displacement ratio. The procedure is repeated along four radial directions, and the average value is adopted in the subsequent analysis.
Figure 14.
Measurement setup: (a) sensor arrangement; (b) quasi-static stiffness test.
As an example, Figure 15 presents the force–displacement responses of the constraint device with a given metal–rubber block. The curves measured along the four radial directions are highly consistent, suggesting limited directional dependence of the constraint stiffness. Moreover, the relationship is approximately linear over the tested displacement range, indicating that the metal–rubber elements can be reasonably treated as isotropic and linear within the working regime considered.
Figure 15.
Force–displacement curves of the metal–rubber element.
4.2. Test Results
The design of the test rig is driven by the need to minimize external factors that could affect the quality of the rubbing response. When evaluating the nonlinear dynamic behavior induced by rubbing, it is essential that the underlying rotor system without the constraint device behaves linearly and that any additional nonlinearities remain negligible. Therefore, frequency sweeps of the test rig without rubbing are first performed, and the resulting frequency response function (FRF) is shown in Figure 16. The measurements focus on the first flexural mode, where large disk motions are expected. The results show that the first critical speed of the rotor system is about 4290 rpm, and the corresponding mode shape is characterized by shaft bending with the pitching motion of the cantilever disk. For increasing levels of unbalance (cases a–c), the amplitude increases, whereas the critical speed does not change appreciably. The results indicate that the underlying rotor system without the constraint device behaves linearly.
Figure 16.
Run-up vibration amplitude at measuring point #2 (unbalance a: 22.5 g·mm, unbalance b = 31.5 g·mm, unbalance c = 61.5 g·mm).
The smallest unbalance level (case a) is used in the subsequent rubbing experiments. When the constraint device is installed, a clear increase in the resonance frequency is observed compared with the results in Figure 17. The higher the constraint stiffness, the larger the frequency shift, which reflects the strong contribution of the additional constraint to the overall system stiffness.
Figure 17.
Run-up vibration amplitudes of the rotor for different constraint conditions.
The experimentally observed resonance frequency shifts may be influenced by several uncertainties. Sensor limitations (calibration, resolution, phase delay) affect the measured response and peak location, especially when the frequency–response curve is flat near resonance. The identified stiffness of the metal–rubber constraint also carries estimation errors (manufacturing tolerances, fixture compliance, repeatability), which directly propagate to the predicted shift. In addition, friction may vary with the temperature, surface condition, and running-in wear, and slight departures from ideal full-annular continuous contact (e.g., intermittent micro-separation) can introduce discrepancies. Overall, these factors mainly affect the quantitative error, while the constraint-induced frequency increase trend with the amplitude remains robust.
5. Dynamics Analysis for Test Rig
To quantitatively examine the constraint effect in the test rig, a corresponding finite element (FE) model is constructed, as shown in Figure 18. Key locations are represented by selected nodes: node 1 corresponds to the shaft bushing, node 2 to the disk center, node 3 to the measurement point, nodes 4 and 5 to the bearing supports, and nodes 1001 and 1002 to the fixed supports. The rubbing model described in Section 2.1 is implemented at the bushing–ring interface using experimentally determined values of the radial stiffness, clearance, and friction coefficient. As illustrated in Figure 18, the beam element nodes define the axial discretization of the shaft. The shaft is modeled using beam elements, the bearings using linear spring elements, and the disk using concentrated-mass elements. Accordingly, the generalized coordinate vector in the stationary reference frame, including translational and rotational degrees of freedom, is written as
where the indices refer to the node numbers defined in Figure 19.
Figure 18.
The overhung rotor model.
Figure 19.
The finite element model of the overhung rotor.
The parameter values used for the rotor model in Figure 18 are listed in Table 4. To keep the model tractable while retaining the dominant constraint mechanism, several assumptions are adopted. (i) The metal–rubber constraint element is represented by an equivalent linear stiffness (and, where applicable, an equivalent viscous damping) identified within the operating displacement range of the test rig. This linearization is intended for the moderate-amplitude regime used in the experiments; outside this range, amplitude-dependent stiffness/damping and the hysteresis of metal–rubber elements may alter the effective constraint level and thus the predicted resonance shift. (ii) System damping is modeled in a simplified form, which captures the overall energy dissipation but does not explicitly represent frequency-dependent losses or local interface dissipation mechanisms. (iii) Friction-related parameters are treated as effective constants. In practice, friction may vary with the temperature, surface condition, and sliding speed, and the contact state may intermittently transition to partial contact episodes; such deviations can change the stability boundary and the detailed spectral content. Consequently, the proposed resonance frequency prediction based on complex nonlinear modes/backbone curves is expected to be most reliable for continuous contact-dominated responses and within the experimentally validated constraint range. Extending the approach to strongly transient, partial contact, or thermally affected rubbing scenarios will require additional model enrichment and dedicated validation.
Table 4.
Model parameters for the overhung rotor test rig.
The equations of motion of the rotor model in Figure 18 can be written as
A schematic of the discretized substructure and the assembly of system matrices and nonlinear rub impact terms is shown in Figure 20.
Figure 20.
Schematic of the discretized substructure and assembly of system matrices and nonlinear rub impact terms.
Here, is the element mass matrix. is the element inertia matrix. is the element gyro matrix. is the element stiffness matrix.
where is the density. is the length of the beam element. is the elastic modulus. is the outer diameter. is the inner diameter. is the Poisson ratio.
denotes the unbalance force vector, given by
where denotes the mass of the asymmetric disk, and represents its eccentricity.
The damping matrix is formulated using Rayleigh damping, expressed as , where α and β are the mass and stiffness proportionality factors, respectively.
Here, , .
Moreover, , , respectively, denote the first and second critical speeds (rad/s). , are the damping ratios.
The associated free vibration system is then expressed as
Using the nonlinear modal analysis procedure, the corresponding algebraic system in the frequency domain is obtained as
The size of the nonlinear algebraic system is relatively large because of the many degrees of freedom, which may lead to low computational efficiency and convergence difficulties. To alleviate this issue, a reduction procedure is applied. The rotor system has 20 degrees of freedom in total, of which 2 are nonlinear and 18 are linear. The nonlinear algebraic equations are therefore partitioned into nonlinear and linear components as follows:
where the vectors and matrices are partitioned consistently with this separation, and the total number of retained harmonics is specified. The equations can then be expanded as
where the reduced matrices and vectors correspond to the nonlinear subset of degrees of freedom. It follows that the original nonlinear algebraic system with 20 degrees of freedom can be reduced to a nonlinear subsystem involving only 2 nonlinear degrees of freedom. This reduced system is solved first, after which the remaining linear degrees of freedom are recovered. Detailed derivation can be found in ref. [40].
From a physical standpoint, full-annular rubbing introduces a constraint that can be viewed as additional radial stiffness acting in parallel with the shaft bending stiffness. When the disk response remains within the clearance, the constraint is inactive and the effective stiffness is dominated by the shaft, so the natural frequency stays close to its linear value. Once the response exceeds the clearance, contact persists over an entire revolution and the constraint becomes continuously engaged, increasing the effective stiffness and shifting the backbone curve to higher frequencies. In the present formulation, this stiffening effect is represented at the modal level through amplitude-dependent complex eigenvalues. Although the analysis is performed on a Jeffcott-type rotor, the underlying mechanism and modeling strategy are applicable to more realistic multi-degree-of-freedom and finite element rotor models with distributed contacts and flexible rubbing rings.
The first flexural mode, which is associated with relatively large disk motion, is selected for detailed analysis. In the nonlinear modal analysis, the mode normalization condition is imposed on node 3 in the x-direction, and the natural frequency is computed as a function of the displacement amplitude at this node (Figure 21). The resulting frequency–amplitude (backbone) curve shows close correspondence with the resonance locations obtained from the frequency–response calculations. The modal natural frequency remains slightly lower than the resonance frequency. Overall, the results indicate that the proposed approach can capture the influence of the stator constraint on the rotor’s dynamic characteristics in a quantitative manner.
Figure 21.
Backbone curve: natural frequency versus displacement amplitude at node 3.The black, red, and blue curves correspond to three stiffness values: 1.2 × 106, 4.54 × 105, and 2.79 × 105 N/m, respectively; the dashed line indicates the clearance.
The comparison between the experimentally measured resonance peaks and the backbone curves obtained from the complex nonlinear modal analysis reveals several key features of the constraint effect. First, the resonance frequency increases monotonically with the constraint stiffness, which is consistent with interpreting full-annular rubbing as an effective stiffening mechanism. Second, over the investigated amplitude range, the predicted backbone curve follows the measured resonance locations with reasonable accuracy, despite modeling simplifications such as linear support damping and idealized contact conditions. This implies that the proposed modal framework captures the primary trend of the constraint-induced frequency shift, whereas unmodeled factors (e.g., local wear, slight misalignment, and higher-mode coupling) may mainly affect the detailed peak shape and local discrepancies.
From a broader perspective, these results suggest that complex nonlinear modes can serve not only as a theoretical tool for characterizing autonomous nonlinear vibrations but also as a practical means of estimating resonance shifts in rotating machinery with rubbing. In particular, the backbone curve associated with a given mode may be viewed as a design and diagnostic chart linking the expected resonance frequency to the vibration amplitude and the constraint level. This offers a complementary viewpoint to time-domain simulations and empirical correction approaches commonly adopted in rotor–stator contact analysis.
6. Conclusions
This study examined the constraint-induced resonance shift in a rubbing rotor and evaluated whether a complex nonlinear modal framework can provide a consistent interpretation of this phenomenon. The main conclusions are as follows.
(1) Intrinsic linkage between amplitude-dependent modal properties and forced-response resonance. Once the vibration amplitude exceeds the clearance, full-annular rubbing introduces an additional constraint that increases the effective stiffness of the system. The complex nonlinear modal analysis yields an amplitude-dependent backbone (modal) frequency, and its variation with the amplitude/constraint level is consistent with the resonance peak identified from forced-response simulations. This establishes a direct connection between the modal characteristics referenced to the vibration amplitude and the corresponding response characteristics, providing a compact modal interpretation of the resonance shift.
(2) Partial experimental validation. Experiments conducted on a rubbing rotor rig equipped with an adjustable metal–rubber constraint device show a clear and monotonic increase in the first-mode resonance frequency with increasing constraint stiffness. Within the tested parameter range, the observed trend supports the stiffening mechanism implied by the amplitude-dependent modal description.
Limitations and future work. The current experimental dataset is limited in terms of operating conditions and measured quantities, which prevents more comprehensive validation of the proposed interpretation. Future work will expand the experimental campaign and, in particular, perform dedicated tests related to backward whirl (reverse precession) to further assess the applicability of the complex nonlinear modal framework under more diverse contact dynamics.
Author Contributions
Conceptualization, D.L.; Methodology, D.L, J.H.; Software, D.L.; Validation, J.H.; Investigation, D.L.; Data curation, J.H.; Writing—original draft, D.L.; Writing—review and editing, D.L.; Visualization, D.L.; Supervision, D.L., J.H.; Funding acquisition, D.L. All authors have read and agreed to the published version of the manuscript.
Funding
This research was supported by the Strategic Priority Research Program of the Chinese Academy of Sciences (Grant No. XDC0140000).
Data Availability Statement
The original contributions presented in this study are included in the article. Further inquiries can be directed to the corresponding author.
Acknowledgments
Generative AI (DeepSeek-V3.2) tools were used for language polishing and improving readability; all technical content, analysis, and conclusions were verified by the authors.
Conflicts of Interest
The authors declare no conflicts of interest.
References
- Sinha, S.K. Non-linear dynamic response of a rotating radial Timoshenko beam with periodic pulse loading at the free-end. Int. J. Non-Linear Mech. 2005, 40, 113–149. [Google Scholar] [CrossRef]
- Dai, X.; Zhang, X.; Jin, X. The partial and full rubbing of a flywheel rotor-bearing-stop system. Int. J. Mech. Sci. 2001, 43, 505–519. [Google Scholar] [CrossRef]
- Muszynska, A. Rotordynamics; Taylor & Francis: New York, NY, USA, 2005. [Google Scholar]
- Chu, F.; Lu, W. Experimental observation of nonlinear vibrations in a rub-impact rotor system. J. Sound Vib. 2005, 283, 621–643. [Google Scholar] [CrossRef]
- Chu, F.; Lu, W. Stiffening effect of the rotor during the rotor-to-stator rub in a rotating machine. J. Sound Vib. 2007, 308, 758–766. [Google Scholar] [CrossRef]
- Chen, Y.; Jiang, J. Determination of nonlinear normal modes of a planar nonlinear system with a constraint condition. J. Sound Vib. 2013, 332, 5151–5161. [Google Scholar] [CrossRef]
- Jiang, J.; Ulbrich, H. The physical reason and the analytical condition for the onset of dry whip in rotor-to-stator contact systems. J. Vib. Acoust. 2005, 127, 179–180. [Google Scholar] [CrossRef]
- Jiang, J. The analytical solution and the existence condition of dry friction backward whirl in rotor-to-stator contact systems. J. Vib. Acoust. 2007, 129, 260–264. [Google Scholar] [CrossRef]
- Ma, H.; Yin, F.; Wu, Z.; Tai, X.; Wen, B. Nonlinear vibration response analysis of a rotor-blade system with blade-tip rubbing. Nonlinear Dyn. 2016, 84, 1225–1258. [Google Scholar] [CrossRef]
- Ma, H.; Shi, C.; Han, Q.; Wen, B. Fixed-point rubbing fault characteristic analysis of a rotor system based on contact theory. Mech. Syst. Signal Process. 2013, 38, 137–153. [Google Scholar] [CrossRef]
- Bently, D.E.; Goldman, P.; Yu, J.J. Full annular rub in mechanical seals, Part II: Analytical study. Int. J. Rotating Mach. 2002, 8, 329–336. [Google Scholar] [CrossRef]
- Ma, H.; Yin, F.; Tai, X.; Wang, D.; Wen, B. Vibration response analysis caused by rubbing between rotating blade and arc-part. J. Mech. Sci. Technol. 2016, 30, 1983–1995. [Google Scholar] [CrossRef]
- Liu, D.; Hong, J. Failure analysis of backward whirl motion in an aero-engine rotor. Eng. Fail. Anal. 2021, 128, 105620. [Google Scholar] [CrossRef]
- Hong, J.; Yu, P.; Zhang, D.; Ma, Y. Nonlinear dynamic analysis using the complex nonlinear modes for a rotor system with an additional constraint due to rub-impact. Mech. Syst. Signal Process. 2019, 116, 443–461. [Google Scholar] [CrossRef]
- Behzad, M.; Alvandi, M.; Mba, D.; Jamali, J. A finite element-based algorithm for rubbing induced vibration prediction in rotors. J. Sound Vib. 2013, 332, 5523–5542. [Google Scholar] [CrossRef]
- Vlajic, N.; Champneys, A.R.; Balachandran, B. Nonlinear dynamics of a Jeffcott rotor with torsional deformations and rotor-stator contact. Int. J. Non-Linear Mech. 2017, 92, 102–110. [Google Scholar] [CrossRef]
- Li, B.; Ma, H.; Yu, X.; Zeng, J.; Guo, X.; Wen, B. Nonlinear vibration and dynamic stability analysis of rotor-blade system with nonlinear supports. Arch. Appl. Mech. 2019, 89, 1375–1402. [Google Scholar] [CrossRef]
- Chen, G. Vibration modelling and verifications for whole aero-engine. J. Sound Vib. 2015, 349, 163–176. [Google Scholar] [CrossRef]
- Mokhtar, M.A.; Darpe, A.K.; Gupta, K. Investigations on bending-torsional vibrations of rotor during rotor-stator rub using Lagrange multiplier method. J. Sound Vib. 2017, 401, 94–113. [Google Scholar] [CrossRef]
- Abuzaid, M.A.; Eleshaky, M.E.; Zedan, M.G. Effect of partial rotor-to-stator rub on shaft vibration. J. Mech. Sci. Technol. 2009, 23, 170–182. [Google Scholar] [CrossRef]
- Childs, D.W. Rub-induced parametric excitation in rotors. J. Mech. Des. 1979, 101, 640–644. [Google Scholar] [CrossRef]
- Ma, H.; Zhao, Q.; Zhao, X.; Han, Q.; Wen, B. Dynamic characteristics analysis of a rotor-stator system under different rubbing forms. Appl. Math. Model. 2015, 39, 2392–2408. [Google Scholar] [CrossRef]
- Ma, Y.; Cao, C.; Zhang, D.; Liang, Z.; Hong, J. Constraint mechanical model and investigation for rub-impact in aero-engine system. In Proceedings of ASME Turbo Expo 2015: Turbine Technical Conference and Exposition; ASME: New York, NY, USA, 2015. [Google Scholar]
- Tai, X.; Ma, H.; Liu, F.; Liu, Y.; Wen, B. Stability and steady-state response analysis of a single rub-impact rotor system. Arch. Appl. Mech. 2015, 85, 133–148. [Google Scholar] [CrossRef]
- Chu, F.; Lu, W. Determination of the rubbing location in a multi-disk rotor system by means of dynamic stiffness identification. J. Sound Vib. 2001, 248, 235–246. [Google Scholar] [CrossRef]
- Black, H.F. Interaction of a whirling rotor with a vibrating stator across a clearance annulus. J. Mech. Eng. Sci. 1968, 10, 1–12. [Google Scholar] [CrossRef]
- Childs, D.W.; Kumar, D. Dry-friction whip and whirl predictions for a rotor-stator model with rubbing contact at two locations. J. Eng. Gas Turbines Power 2012, 134, 072502. [Google Scholar] [CrossRef]
- Rand, R. A direct method for nonlinear normal modes. Int. J. Non-Linear Mech. 1974, 9, 363–368. [Google Scholar] [CrossRef]
- Rosenberg, R.M. Normal Modes of Nonlinear Dual-Modes Systems; Technical Report; Institute of Engineering Research, University of California: Berkeley, CA, USA, 1959. [Google Scholar]
- Vakakis, A.F.; Manevitch, L.I.; Gendelman, O.; Bergman, L. Dynamics of linear discrete systems connected to local, essentially non-linear attachments. J. Sound Vib. 2003, 264, 559–577. [Google Scholar] [CrossRef]
- Greenberg, H.J.; Yang, T.L. Modal subspaces and normal mode vibrations. Int. J. Non-Linear Mech. 1971, 6, 311–326. [Google Scholar] [CrossRef]
- Chong, Y.H.; Imregun, M. Development and application of a nonlinear modal analysis technique for MDOF systems. J. Vib. Control 2001, 7, 167–179. [Google Scholar] [CrossRef]
- Szemplinska-Stupnicka, W. “Non-linear normal modes” and the generalized Ritz method in the problems of vibrations of non-linear elastic continuous systems. Int. J. Non-Linear Mech. 1983, 18, 149–165. [Google Scholar] [CrossRef]
- Nayfeh, A.H. On direct methods for constructing nonlinear normal modes of continuous systems. J. Vib. Control 1995, 1, 389–430. [Google Scholar] [CrossRef]
- Slatter, J.C. A numerical method for determining nonlinear normal modes. Nonlinear Dyn. 1996, 10, 19–30. [Google Scholar] [CrossRef]
- Jezéquel, L.; Lamarque, C.H. Analysis of non-linear dynamical systems by the normal form theory. J. Sound Vib. 1991, 149, 429–459. [Google Scholar] [CrossRef]
- Shaw, S.W.; Pierre, C. Normal modes for non-linear vibratory systems. J. Sound Vib. 1993, 164, 85–124. [Google Scholar] [CrossRef]
- Laxalde, D.; Salles, L.C.; Blanc, L.; Thouverez, F. Non-linear modal analysis for bladed disks with friction contact interfaces. In Proceedings of ASME Turbo Expo 2008; Paper GT2008-50860; ASME: New York, NY, USA, 2008. [Google Scholar]
- Laxalde, D.; Thouverez, F. Complex non-linear modal analysis for mechanical systems: Application to turbomachinery bladings with friction interfaces. J. Sound Vib. 2009, 322, 1009–1025. [Google Scholar] [CrossRef]
- Liu, D.; Zhou, L.; Zhang, D.; Wang, H. A strategy of vibration control for rotors with dry friction dampers. J. Vib. Control 2023, 29, 2907–2920. [Google Scholar] [CrossRef]
Disclaimer/Publisher’s Note: The statements, opinions and data contained in all publications are solely those of the individual author(s) and contributor(s) and not of MDPI and/or the editor(s). MDPI and/or the editor(s) disclaim responsibility for any injury to people or property resulting from any ideas, methods, instructions or products referred to in the content. |
© 2026 by the authors. Licensee MDPI, Basel, Switzerland. This article is an open access article distributed under the terms and conditions of the Creative Commons Attribution (CC BY) license.




















