Abstract
This paper proposes an event-triggered extension of duty-ratio-based model predictive direct speed control (DR-MPDSC) for permanent magnet synchronous motor (PMSM) drives in electric vehicle (EV) applications. The main contribution is the development of an event-triggered execution framework specifically tailored to DR-MPDSC, in which control updates are performed only when the speed tracking error violates a prescribed condition, rather than at every sampling instant. Unlike conventional MPDSC and time-triggered DR-MPDSC schemes, the proposed strategy achieves a significant reduction in control execution frequency while preserving fast dynamic response and closed-loop stability. An optimized duty-ratio formulation is employed to regulate the effective application duration of the selected voltage vector within each sampling interval, resulting in reduced electromagnetic torque ripple and improved stator current quality. An extended Kalman filter (EKF) is integrated to estimate rotor speed and load torque, enabling disturbance-aware predictive speed control without mechanical torque sensing. Furthermore, a unified field-weakening strategy is incorporated to ensure wide-speed-range operation under constant power constraints, which is essential for EV traction systems. Simulation and experimental results demonstrate that the proposed event-triggered DR-MPDSC achieves steady-state speed errors below 0.5%, limits electromagnetic torque ripple to approximately 2.5%, and reduces stator current total harmonic distortion (THD) to 3.84%, compared with 5.8% obtained using conventional MPDSC. Moreover, the event-triggered mechanism reduces control update executions by up to 87.73% without degrading transient performance or field-weakening capability. These results confirm the effectiveness and practical viability of the proposed control strategy for high-performance PMSM drives in EV applications.
1. Introduction
1.1. State of the Art
Permanent magnet synchronous motors (PMSMs) have become the dominant choice for electric vehicle (EV) propulsion systems owing to their high efficiency, high torque density, compact size, and excellent performance over a wide speed range [1,2,3]. These characteristics make PMSMs particularly attractive for EV traction applications, where rapid acceleration, smooth torque production, and high energy efficiency are essential. However, achieving accurate speed regulation, fast dynamic response, and low torque ripple across wide operating conditions remains a challenging task, especially under rapidly changing driving cycles, load disturbances, and parameter uncertainties [4,5,6,7]. Consequently, the development of advanced control strategies for PMSM drives continues to be an active and important research topic.
Field-oriented control (FOC) is the most widely adopted control strategy in industrial and automotive applications due to its decoupled torque and flux control structure and relative implementation simplicity. Although FOC provides good steady-state performance, its reliance on cascaded proportional–integral (PI) controllers and accurate parameter tuning limits its robustness and transient response under highly dynamic conditions [8,9,10]. Moreover, in high-speed operating regions where inverter voltage constraints become critical, FOC typically requires additional field-weakening control loops, increasing system complexity and tuning burden [11,12,13,14]. These limitations motivate the exploration of alternative control paradigms capable of achieving superior dynamic performance with reduced structural complexity.
To address the drawbacks of FOC, direct torque control (DTC) has been extensively investigated as an alternative high-performance control strategy for PMSM drives. By eliminating current regulators and directly selecting inverter switching states based on torque and flux errors, DTC offers fast dynamic response and a simple control structure. However, extensive studies have shown that classical DTC suffers from high electromagnetic torque ripples, flux oscillations, and variable switching frequency, which are particularly undesirable in EV applications due to increased acoustic noise, torque pulsations, and inverter losses [15,16,17]. Predictive and modified DTC schemes have been proposed to mitigate these issues; nevertheless, they often increase computational complexity or require additional tuning effort, limiting their practical applicability in wide-speed-range EV traction systems. These limitations have motivated the adoption of predictive control approaches that can explicitly handle constraints while optimizing multiple performance objectives.
1.2. Related Works on Event-Triggered Control for PMSM Drives
Model predictive control (MPC) has emerged as a powerful control framework for electric drives due to its ability to explicitly consider system constraints and optimize multiple control objectives within a unified cost function [18,19,20,21,22]. Model predictive direct speed control (MPDSC) enables direct regulation of motor speed without relying on outer-loop PI controllers and has demonstrated improved dynamic performance and reduced torque oscillations compared with conventional control methods [23,24,25,26,27].
Several recent works have focused on enhancing MPDSC performance through improved cost function design, predictive accuracy, and modulation techniques. Duty-ratio-based MPDSC (DR-MPDSC) schemes have been introduced to improve steady-state accuracy and smooth electromagnetic behavior by allocating optimized voltage vectors within each sampling period [28,29,30,31]. Recent studies have demonstrated robust flux-weakening control and fast friction compensation in PMSM drives. For example, feedback-based flux-weakening methods [32] ensure stable wide-speed operation in both interior and surface-mounted PMSMs, while direct-determination approaches for controller gains and nonlinear friction compensation [33] enable fast and reliable control without complex model identification. Although these approaches significantly enhance control performance, they typically require continuous execution of the predictive optimization at every sampling instant, which increases computational burden and limits scalability for real-time embedded platforms.
Accurate knowledge of mechanical states, especially rotor speed and load torque, plays a vital role in predictive speed control. While mechanical sensors can be employed, they increase cost and may introduce noise and reliability issues [34,35,36,37]. To address this, several estimation techniques have been proposed, among which the extended Kalman filter (EKF) stands out due to its ability to provide reliable state estimation in nonlinear systems. Existing studies have successfully applied EKF-based observers to PMSM drives; however, their integration with event-triggered predictive speed control and duty-ratio modulation remains largely unexplored [38,39]. Recent studies have further advanced mechanical parameter estimation for PMSM drives by addressing nonlinear friction, load torque, and moment of inertia. For example, parameter-tuning-free and algebraic methods [40], extended disturbance observers [41], and parallel-observer-based networks with model compensation [42] have demonstrated accurate online estimation of these states with high robustness. These works highlight the importance and feasibility of integrating advanced estimation techniques within predictive control frameworks, motivating the adoption of EKF-based observers in the proposed ET-DR-MPDSC for reliable real-time performance under varying operating conditions.
Event-triggered control has recently emerged as an effective paradigm for reducing unnecessary control updates in high-performance motor drive systems while preserving closed-loop stability and tracking accuracy. Several studies have explored event-triggered strategies for PMSM drives using different control frameworks. Event-triggered finite-control-set MPC combined with observer-based schemes has been reported to reduce computational effort while maintaining torque or motion control performance [43]. Dynamic event-triggered mechanisms have also been integrated with advanced nonlinear controllers, such as terminal sliding mode and neural-network-based disturbance estimation, to improve robustness against uncertainties and external disturbances [44]. Moreover, adaptive and prescribed-performance event-triggered control approaches have been developed to address stochastic disturbances, time-varying delays, and fault-tolerant operation in PMSMs [45,46,47]. More recently, dynamic-threshold-based event-triggered MPC schemes have been proposed to enhance control efficiency under varying operating conditions [48,49].
Despite these advances, most event-triggered strategies are still formulated within cascaded control architectures, typically targeting current, torque, or speed regulation.
Importantly, event-triggered formulations specifically tailored to model predictive direct speed control, particularly those incorporating duty-ratio optimization, remain very limited. Furthermore, their extension to wide-speed-range operation with integrated field-weakening functionality has not been systematically addressed.
1.3. Research Gap and Main Contributions
Based on the above review, several research gaps can be identified. First, most existing event-triggered control strategies for PMSM drives are developed within cascaded current–speed control architectures, while their application to direct speed control frameworks remains very limited, despite the latter’s inherent advantages in terms of fast dynamics and reduced structural complexity. Second, although duty-ratio-based MPDSC (DR-MPDSC) schemes have demonstrated improved steady-state accuracy and reduced electromagnetic ripple, their continuous-time-triggered execution leads to unnecessary computational effort, particularly under steady operating conditions. Third, the systematic integration of event-triggered execution with duty-ratio-based predictive speed control, together with wide-speed-range field-weakening operation required for EV traction systems, has not been explicitly addressed. Finally, many reported studies provide limited quantitative evidence regarding control-update reduction and embedded real-time feasibility.
To address these gaps, this paper proposes an event-triggered duty-ratio-based model predictive direct speed control (ET-DR-MPDSC) strategy for PMSM drives in electric vehicle applications. The main contributions of this work are summarized as follows:
- A direct speed-level event-triggered execution framework is formulated specifically for DR-MPDSC, enabling predictive optimization to be selectively activated only when speed performance degradation is detected. Unlike conventional time-triggered MPDSC and existing event-triggered MPC approaches, the proposed strategy directly targets the speed control layer, achieving substantial control update reduction without compromising dynamic response.
- A disturbance-aware predictive speed control structure is established by integrating EKF-based rotor speed and load torque estimation, allowing the proposed ET-DR-MPDSC to maintain robustness against load variations without relying on mechanical torque sensing.
- A unified field-weakening mechanism is embedded within the event-triggered predictive framework, ensuring seamless transition between base-speed and high-speed constant-power operation, which is essential for practical EV traction drives.
- An optimized duty-ratio formulation is incorporated within the predictive speed control loop to explicitly regulate voltage application duration, resulting in reduced electromagnetic torque ripple and improved current quality, while preserving low switching frequency and computational efficiency.
- Comprehensive simulation and experimental validation under realistic EV operating conditions is conducted, including quantitative analysis of speed tracking accuracy, torque ripple reduction, and control update execution rate, demonstrating the practical feasibility and embedded suitability of the proposed ET-DR-MPDSC strategy.
The paper is organized as follows. The system modeling and estimation framework are presented first, followed by the proposed event-triggered DR-MPDSC strategy. Simulation and experimental results are then discussed to validate the effectiveness of the proposed method. Finally, concluding remarks are provided.
2. Mathematical Model of PMSM and Inverter
2.1. Continuous-Time Model of PMSM
The control design is based on the standard d–q axis model of the PMSM, which is essential for precise prediction of the system’s electromagnetic and mechanical dynamics. The continuous-time model is established to describe the relationships between stator voltages, currents, flux linkages, and mechanical torque [50,51].
The voltage-state equations in the dynamic reference frame, derived using Clarke and Park transformations, as shown in Figure 1, are as follows:
Figure 1.
PMSM d-q axis equivalent circuits.
The motor’s electromagnetic torque is expressed as
Mechanically, the torque produced by the machine is modeled by
In this paper, and represent the voltages on the direct (d) and quadrature (q) axes, respectively, while and refer to the corresponding currents. The symbol denotes the electrical angular speed, and indicates the mechanical angular speed. The stator winding resistance is given by , and and are the inductances along the d- and q-axes. The parameter specifies the number of pole pairs. represents the combined inertia of the motor and its load, is the viscous friction coefficient, and denotes the load torque.
The state-space model of the PMSM is compactly written as
where the state vector is: and the input vector given by . Thus, the continuous-time state-space representation of the motor takes the following form:
2.2. Discrete-Time Model of PMSM
For real-time control implementation, the continuous-time model is discretized using a forward Euler approximation, enabling future state predictions at each sampling interval. the estimated and predicted control variables can be expressed as follows:
where is the state vector at the current sampling instant, is the predicted state vector at the next sampling instant, and is the nonlinear state transition function, which represents the continuous-time dynamics of the PMSM. This function describes the time derivatives of the state variables as a deterministic function of the current state and control input.
2.3. Inverter Model
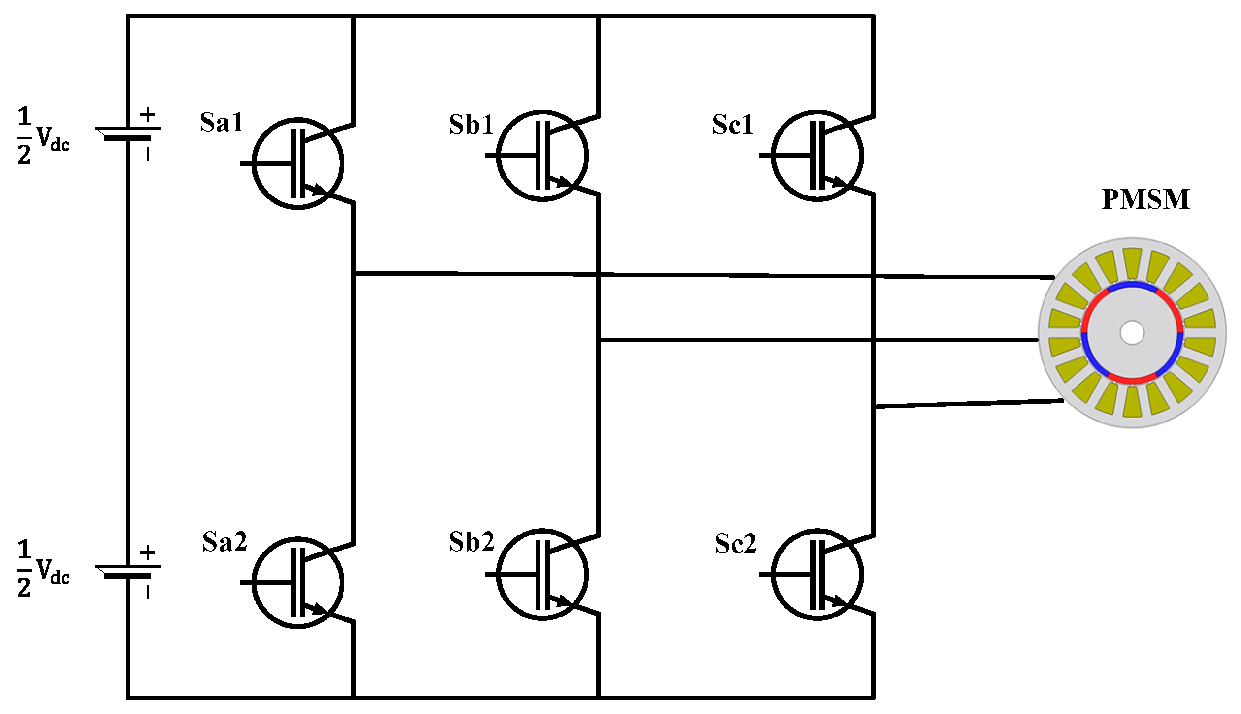
In a typical two-level, three-phase inverter as seen in Figure 2, the switching voltages in the d–q reference frame are represented by
Figure 2.
PMSM drive system with a 2L-inverter.
Here, is the DC-link voltage, while Sa, Sb, and Sc indicate the on/off states of the inverter’s three phases. The inverter can adopt any of eight switching combinations:
S = {(0,0,0),(0,0,1),(0,1,0),(0,1,1),(1,0,0),(1,0,1),(1,1,0),(1,1,1)}
In each triple, a value of 1 means the upper switch is conducting (on), while 0 means it is not conducting (off).
2.4. Predicted Controlled Variables
Using the discrete model, the future values of torque and speed are predicted for each possible voltage vector. The predicted outcomes are fed into the cost function to evaluate their effectiveness in meeting control objectives. To improve accuracy, the predicted control variables are corrected using both actual measurements and prior estimations. These refined values are captured by the following expressions:
Although the stator current components and are directly obtained from current measurements, the mechanical quantities are not treated in the same manner. In the proposed approach, the load torque is not measured and is therefore estimated online using EKF. This estimated torque is subsequently employed within the predictive model to enhance robustness against load disturbances and modeling inaccuracies.
Furthermore, even though a rotor position sensor (encoder) is available, the rotor speed is also estimated using the EKF rather than relying solely on numerical differentiation of the measured position. This strategy mitigates the amplification of measurement noise and reduces the impact of external disturbances, resulting in smoother and more reliable speed information for the predictive control process.
3. Implementation of EKF
EKF is employed in this work to estimate the key mechanical states of the PMSM, specifically the rotor speed and the load torque. These states are essential for the proposed MPDSC schemes, as the electromagnetic torque is determined directly by the interaction between the stator currents and the estimated mechanical load. Since load torque measurements are typically unavailable in practical systems, and numerical differentiation of rotor position introduces significant high-frequency noise, a stochastic observer is required to ensure smooth, noise-robust state estimation [52,53].
3.1. Mathematical Model
In this thesis, the EKF is formulated using a reduced-order mechanical model that captures the dominant dynamics of the speed-control loop while maintaining low computational burden. The state vector is defined as follows:
The electromagnetic torque for a PMSM is expressed as follows:
Considering the mechanical load, the dynamic equation of motion is given by
For a SPMSM, the stator inductances in the – reference frame are equal (). Substituting the torque expression into the mechanical equation yields
Discretizing this equation with sampling time leads to
This equation has information about speed and torque load. is the input variable; choose the state variable.
and using as the input variable, the system can be written in state-space form:
where
and the input is
The measured output is chosen as the mechanical rotor speed, giving the observation model:
where
3.2. EKF Algorithm
Using Equation (18), the next state can be predicted from the former state, as can the system output, namely the observed variable, by Equation (22). Then, the error between the predicted output and the measured output could be used to correct the predicted state with a weight. This feedback correction provides a precise estimation of the system state. This is the idea of EKF. The weight is called Kalman gain, which is obtained in a way that minimizes the mean of the squared error. So EKF has two steps: first, the prediction step; second, the innovation step.
Considering the noise, rewriting Equations (18) and (22) is performed as follows:
where and are zero-mean, white Gaussian noises with covariances and , respectively. In the prediction step, the state estimate and state covariance are predicted as follows:
3.3. Calculations of Kalman Gain
The Kalman gain K(k) is calculated by
In the innovation step, the predicted state estimate and covariance matrix are corrected as follows:
Through this recursive process, the EKF provides real-time estimates of the rotor speed and load torque . Prior to execution, the motor parameters in matrices and must be identified, suitable noise covariances and must be selected, and the mechanical speed measurement must be available to supply the observer with feedback. The flowchart of EKF is shown in Figure 3.
Figure 3.
Flowchart of the EKF.
4. Implementation of FWC
In high-speed electric drives, particularly in electric vehicle powertrains, the demanded operating speed often exceeds the rated base speed of the motor. Under such conditions, the back-electromotive force approaches the DC-bus voltage limit, preventing the inverter from supplying the required stator voltage. To maintain controllability in this region, FW strategy is introduced, in which the direct-axis current component is intentionally driven in the negative direction to reduce the effective air-gap flux [54,55]. This keeps the voltage demand within the inverter capability and enables stable operation beyond the rated speed.
In this work, the MPDSC scheme was extended with a FW mechanism to ensure voltage-limited stability during high-speed operation, especially when the rotor speed exceeded the rated value. This modification allows the controller to regulate speed effectively even when traditional control would lose voltage headroom.
The back EMF of the motor rises proportionally with speed; when the speed exceeds the base value, the applied voltage reaches its maximum limit, and field-weakening is employed by pushing a negative d-axis current . This negative current generates a counteracting magnetic flux, weakening the overall field in the air gap, reducing the back EMF, and allowing the motor to run at higher speeds within the available voltage limits while maintaining a relatively constant power output, as shown in Figure 4.
Figure 4.
Torque, power–speed curves of PMSMs.
The d-axis back EMF equations are as follows:
refers to the back EMF component in the d-axis, and is a motor constant or proportionality constant related to the machine’s construction, which scales the relationship between magnetic flux and rotational speed to the resulting back EMF voltage. The electromagnetic torque equation is given by
Confirming that when the available torque decreases. Further control refinement uses a speed function defined as follows:
which is used to modify the d-axis current reference:
The torque references are also adjusted as follows:
while respecting the voltage and current limits:
where
is the base speed;
is the maximum speed;
is the maximum stator voltage;
is the maximum stator current.
5. Proposed Event-Triggered DR-MPDSC Strategy
5.1. Control Objectives and Design Considerations
The primary objective of the proposed control strategy is to achieve accurate speed tracking for a PMSM drive operating under EV conditions, while reducing torque ripples, limiting switching activity, and ensuring stable operation over the full speed range, including the FW region. To meet these requirements, the DR-MPDSC scheme is adopted and further enhanced by an event-triggered mechanism applied exclusively to the speed control loop.
Unlike conventional time-triggered predictive controllers, which execute the optimization process at every sampling instant, the proposed approach updates the speed-related optimization only when a predefined triggering condition is satisfied. This design choice significantly reduces unnecessary computational effort while preserving fast dynamic response during transients. The current control variables are still updated at each sampling period, ensuring stable electrical behavior and accurate torque production.
The overall structure of the proposed event-triggered DR-MPDSC is illustrated in Figure 5, showing the interaction between the EKF, event-triggered speed controller, duty-ratio optimizer, inverter, and PMSM drive.
Figure 5.
Block diagram of the proposed event-triggered DR-MPDSC for PMSM drives.
The main control objectives can be summarized as follows:
- Accurate tracking of the speed reference under rapid changes.
- Reduction of electromagnetic torque ripples through duty-ratio optimization.
- Limitation of inverter switching frequency.
- Maintenance of constant power operation in the FW region.
- Robust operation under load disturbances using EKF-based estimation.
5.2. Event-Triggered Speed Control Mechanism
In the proposed strategy, the event-triggered mechanism is applied solely to the speed control layer, while the inner predictive evaluation of voltage vectors remains time-driven. The triggering condition is defined based on the deviation between the reference speed and the estimated rotor speed obtained from the EKF.
Let the speed tracking error be defined as follows:
An event is triggered when the magnitude of the speed error exceeds a predefined threshold (). When this condition is satisfied, the DR-MPDSC optimization process is executed to update the optimal voltage vector and the corresponding duty ratio. If the condition is not met, the previously computed control action is retained, and no new optimization is performed. This mechanism avoids redundant recalculations during steady-state operation, where speed deviations are minimal.
The trigger state is defined as follows:
Mathematically, the applied control input can be expressed as follows:
The selection of the triggering threshold plays a critical role in balancing computational efficiency and dynamic performance in the ET-DR-MPDSC framework. A smaller threshold results in more frequent triggering events, which improves speed tracking accuracy and reduces steady-state error but increases the computational load and may lead to higher communication or processing demands. Conversely, a larger threshold decreases the number of control updates, reducing computational effort, and extending the effective lifetime of hardware components, but it may cause slower system response, larger transient deviations, and potentially higher torque ripple. Therefore, the threshold is carefully selected to achieve an optimal trade-off between update-rate reduction, tracking performance, and overall system stability, ensuring robust operation under realistic EV driving conditions.
5.3. Duty-Ratio-Based MPDSC Formulation
Once an event is triggered, the DR-MPDSC algorithm evaluates all feasible inverter voltage vectors using the discrete-time PMSM model. For each candidate voltage vector, the predicted stator currents and electromagnetic torque are computed, while the estimated speed provided by the EKF is used for prediction consistency.
Unlike classical finite-control-set MPC, the selected optimal voltage vector is not applied over the entire sampling period. Instead, it is applied for a calculated duty ratio , while a zero-voltage vector is applied for the remaining interval . This approach enables finer control over torque dynamics and significantly reduces torque ripples.
The duty ratio is determined such that the predicted current follows its reference smoothly, especially during transient and FW operation, while respecting voltage and current constraints.
According to duty ratio optimization, the inverter voltage components in the d-q frame are computed as follows:
These voltages are then used to predict the next stator currents:
For minimum torque and current ripples, the duty ratio is obtained by minimizing the following cost function:
The cost function can be reformulated to highlight the effect of the duty ratio:
By setting and solving the resulting equation, the optimal duty ratio is obtained as follows:
This method ensures accurate and efficient voltage vector application, improving control precision and minimizing energy losses under various load conditions.
5.4. Design of the Main Cost Function
The performance of the proposed event-triggered DR-MPDSC strategy is strongly dependent on the formulation of the cost function, which guides the selection of the optimal voltage vector and its associated duty ratio. In this work, the cost function is designed to primarily regulate the rotor speed while indirectly improving torque smoothness through duty-ratio modulation.
For each candidate voltage vector, the predicted rotor speed is evaluated using the discrete-time PMSM model and the estimated load torque provided by the EKF. The speed-related cost function is defined as follows:
The components of this cost function serve distinct roles. The first term penalizes deviations between the predicted rotor speed and the target reference speed . The second term imposes strict current limitations through hard constraints:
The optimal voltage vector is selected by minimizing the above cost function. Once the optimal voltage vector is identified, an optimized duty ratio is computed to ensure smooth electromagnetic torque behavior within the sampling period. By applying the selected voltage vector for a fraction of the sampling interval and a zero-voltage vector for the remaining duration, the proposed strategy achieves reduced torque ripples without increasing computational complexity.
This formulation allows the controller to prioritize speed accuracy while benefiting from the inherent torque-smoothing capability of duty-ratio modulation, making it particularly suitable for EV traction applications.
The step-by-step execution of the proposed control algorithm is summarized in the flowchart shown in Figure 6, highlighting the event-triggering condition, predictive evaluation, duty-ratio computation, and inverter switching process.
Figure 6.
Flowchart of the proposed event-triggered DR-MPDSC algorithm.
6. Implementation of Benchmark Control Strategies
6.1. Implementation of FOC
FOC is adopted in this thesis as a benchmark control strategy for performance comparison with the proposed MPDSC methods. This section presents the FOC algorithm in a systematic manner by describing its operating stages and mathematical formulation, without addressing its advantages or limitations.
6.1.1. Control Structure and Operating Stages
The FOC strategy regulates the PMSM by decoupling the electromagnetic torque and flux components through appropriate coordinate transformations. The control algorithm is implemented through the following sequential stages:
- Acquisition of measured signals;
- Reference frame transformations;
- Generation of reference currents;
- Voltage reference computation;
- Voltage synthesis through the inverter;
- Cost function design.
Each stage is mathematically described in the following subsections.
6.1.2. Measured Variables
At each sampling instant, the following physical quantities are measured and utilized by the FOC algorithm:
Three-phase stator currents: , and ;
Electrical rotor position: .
These measured variables constitute the fundamental input signals for the FOC control loop.
6.1.3. Reference Frame Transformations
The measured three-phase stator currents are transformed from the stationary reference frame to the rotating reference frame using Clarke and Park transformations. The Clarke transformation is expressed as follows:
Subsequently, the Park transformation is applied using the electrical rotor position :
These transformations project the stator currents onto a rotating reference frame aligned with the rotor magnetic field.
6.1.4. Reference Current Generation
The speed control objective is achieved by generating a reference electromagnetic torque based on the speed tracking error, defined as follows:
The electromagnetic torque of the PMSM is given by
For a surface-mounted PMSM, the direct-axis current reference is set to zero to achieve maximum torque per ampere operation:
Accordingly, the quadrature-axis reference current is calculated as follows:
6.1.5. Voltage Reference Calculation
Based on the PMSM voltage equations in the frame, the reference voltages are computed as follows:
These voltages represent the control outputs of the FOC algorithm and are used for inverter modulation.
6.1.6. Inverter Voltage Synthesis
The computed voltage references are transformed back to the stationary reference frame using the inverse Park transformation:
The resulting voltage components are applied to the voltage source inverter through a suitable modulation technique to generate the corresponding switching signals.
6.1.7. Cost Function Design
To enable a fair and consistent comparison with the proposed predictive control strategies, the FOC scheme is also expressed in an optimization-based form using a quadratic cost function. The objective function is defined as follows:
This cost function reflects the fundamental objective of FOC, which is the accurate tracking of the reference currents derived from the speed and torque commands. The weighting factors and are positive scalar coefficients that regulate the relative importance of the d-axis and q-axis current-tracking errors in the optimization process.
6.2. Implementation of MPDTC
MPTC is employed in this thesis as a benchmark finite control set predictive strategy for comparison with the proposed MPDSC and DR-MPDSC methods. Unlike the FOC scheme, MPTC directly regulates the electromagnetic torque and stator flux of the PMSM by exploiting a discrete-time motor model and a finite set of inverter voltage vectors. At each sampling instant, the controller evaluates the impact of all admissible voltage vectors on the future behavior of torque and flux and selects the optimal vector by minimizing a predefined cost function.
6.2.1. Prediction of Electromagnetic Torque
The electromagnetic torque at the next sampling instant is predicted using the discrete-time PMSM model in the synchronous reference frame:
where and are the predicted stator current components.
6.2.2. Prediction of Stator Flux Components
The predicted stator flux components in the synchronous reference frame are expressed as follows:
The stator flux magnitude is obtained as follows:
6.2.3. Cost Function Formulation
The optimal inverter voltage vector is selected by minimizing a scalar cost function that penalizes deviations of the predicted electromagnetic torque and stator flux magnitude from their reference values. The MPTC cost function is defined as follows:
where and denote the reference electromagnetic torque and reference stator flux magnitude, respectively, while and are weighting factors that balance the torque and flux control objectives.
6.2.4. Voltage Vector Selection
At each sampling instant, the cost function is evaluated for all feasible inverter voltage vectors generated by the inverter. The voltage vector that minimizes the cost function is selected and applied to the PMSM during the subsequent sampling interval.
7. Simulation Results and Discussion
7.1. Simulation Setup
The proposed event-triggered DR-MPDSC strategy was evaluated using MATLAB/Simulink R2020a simulations of a PMSM drive supplied by a two-level voltage source inverter. The PMSM was modeled in the synchronous reference frame using the discrete-time formulation presented in Section 2, with the motor parameters listed in Table 1. The control algorithm was executed with a sampling period suitable for real-time implementation.
Table 1.
Specifications of PMSM.
Stator currents were directly measured, while the rotor speed and load torque were estimated using the EKF described in Section 3 to improve robustness against disturbances and measurement noise. Field weakening control was activated beyond the rated speed to satisfy voltage and power constraints. The inverter operation was restricted to a finite set of admissible voltage vectors.
To assess the effectiveness of the proposed approach, the simulation results were systematically compared with FOC, MPDTC, and a conventional MPDSC under identical operating conditions, including speed variations, load torque disturbances, and parameter changes representative of EV applications.
7.2. Event-Triggered Control Performance
As illustrated in Figure 7, the triggering threshold was set to , enabling effective suppression of redundant control updates during steady-state operation while preserving rapid dynamic response. Figure 7a compares the speed responses of the proposed ET-DR-MPDSC and the conventional MPDSC under successive reference speed changes from 0 to 1500 rpm, then to 2800 rpm, and finally down to 2000 rpm. The proposed strategy consistently exhibits improved transient behavior and smoother steady-state speed regulation.
Figure 7.
Event-triggered speed control performance of the proposed ET-DR-MPDSC: (a) reference speed tracking compared with conventional MPDSC and (b) trigger state evolution.
The influence of the event-triggered extension on the electromechanical variables is further demonstrated in Figure 8, Figure 9, Figure 10 and Figure 11, where each figure is organized as (a) proposed ET-DR-MPDSC and (b) conventional MPDSC. Figure 8 shows that the proposed controller produces a smoother electromagnetic torque with visibly reduced ripple compared to the conventional MPDSC, owing to the reduced update frequency during steady-state operation.
Figure 8.
Electromagnetic torque response: (a) proposed ET-DR-MPDSC and (b) conventional MPDSC.
Figure 9.
Quadrature-axis current response: (a) proposed ET-DR-MPDSC and (b) conventional MPDSC.
Figure 10.
Direct-axis current response: (a) proposed ET-DR-MPDSC and (b) conventional MPDSC.
Figure 11.
Line voltage response: (a) proposed ET-DR-MPDSC and (b) conventional MPDSC.
The corresponding current responses are presented in Figure 9 and Figure 10. The q-axis current in Figure 9a exhibits lower oscillations, contributing directly to torque ripple mitigation, while the d-axis current in Figure 10a remains well regulated around zero with minimal fluctuations. In contrast, the conventional MPDSC results in Figure 9b and Figure 10b show higher current ripples due to continuous-time-triggered control actions.
Additionally, the inverter line voltage waveforms in Figure 11 highlight the reduced switching activity achieved by the proposed ET-DR-MPDSC. The proposed approach yields a more stable voltage profile compared with the conventional MPDSC, reflecting the effectiveness of the event-triggered mechanism in limiting unnecessary switching events.
Overall, the results presented in Figure 7, Figure 8, Figure 9, Figure 10 and Figure 11 confirm that the event-triggered extension of the duty-ratio-based MPDSC enhances drive smoothness and efficiency by reducing torque, current, and voltage ripples, while maintaining fast dynamic speed tracking. These improvements validate the proposed ET-DR-MPDSC as an effective and computationally efficient control strategy for PMSM-based electric vehicle applications.
7.3. Dynamic Response Under Speed Reference Change
The dynamic behavior under step changes in the speed reference is illustrated in Figure 12 and Figure 13. The proposed ET-DR-MPDSC demonstrates rapid convergence to the reference with negligible overshoot and a settling time below 8 ms, significantly outperforming both MPDTC and FOC. The estimated torque closely follows the electromagnetic torque during transients, with visibly attenuated ripple content, confirming the effectiveness of the EKF-based estimation. In contrast, MPDTC exhibits pronounced torque oscillations during acceleration, while FOC shows slower dynamic response due to its cascaded control structure. The stator currents under the proposed method remain well-shaped and bounded, indicating improved transient current regulation.
Figure 12.
Speed response under step speed variation. (a) ET-DR-MPDSC, (b) MPDTC, and (c) FOC.
Figure 13.
Electromagnetic torque and estimated torque response under step speed variation. (a) ET-DR-MPDSC, (b) MPDTC, and (c) FOC.
7.4. Response to Load Torque Disturbance
Figure 14 and Figure 15 evaluate robustness against sudden load torque application. When a step load is applied, the ET-DR-MPDSC maintains speed deviation within ±0.2%, recovering nominal speed in less than 10 ms. The estimated load torque accurately tracks the disturbance, enabling anticipative compensation. MPDTC experiences larger speed dips and sustained torque ripple, while FOC shows delayed recovery due to PI regulator dynamics. These results confirm the superior disturbance rejection capability of the proposed scheme.
Figure 14.
Speed response under step load torque disturbance (a) ET-DR-MPDSC (b) MPDTC (c) FOC.
Figure 15.
Electromagnetic torque and estimated torque response under step load torque disturbance. (a) ET-DR-MPDSC, (b) MPDTC, and (c) FOC.
7.5. THD Analysis
Figure 16 presents the stator current waveforms together with their corresponding frequency spectra for the three control strategies. The harmonic analysis was conducted at a fundamental electrical frequency of 66.667 Hz, which corresponds to a mechanical speed of 1000 rpm with 8 pole pairs. Under these operating conditions, the proposed ET-DR-MPDSC achieves a stator current THD of 3.84%, demonstrating a significant reduction compared to MPDTC, which exhibits a THD of 10.81% due to its discrete voltage selection and pronounced torque ripple. Although FOC yields the lowest THD value of 2.87%, it relies on cascaded PI controllers and continuous modulation, which limits its dynamic performance under fast transients. The results confirm that the proposed strategy provides a favorable compromise between harmonic performance and predictive control advantages, achieving low distortion while maintaining fast dynamic response suitable for EV applications.
Figure 16.
Stator current waveforms and corresponding frequency spectra: (a) ET-DR-MPDSC, (b) MPDTC, and (c) FOC.
7.6. Voltage Vector Selection Patterns
Figure 17 illustrates the applied voltage vector patterns for the proposed ET-DR-MPDSC and the conventional MPDSC under identical operating conditions. In the conventional MPDSC, the inverter applies a single optimal active voltage vector during each sampling interval, leading to frequent switching transitions and irregular vector sequences. This behavior increases switching activity and results in less structured voltage utilization, particularly during transient operating regions.
Figure 17.
Comparison of inverter voltage vector patterns for (a) proposed ET-DR-MPDSC and (b) conventional MPDSC.
In contrast, the proposed ET-DR-MPDSC exhibits a more organized voltage vector pattern. By combining duty-ratio allocation with event-triggered execution, the controller applies the optimal active voltage vector only when required, while the remaining portion of the sampling interval is assigned to the zero-voltage vector. This strategy significantly reduces unnecessary vector transitions and produces a more regular and sparse switching pattern. As a result, the proposed approach achieves smoother electromagnetic behavior and improved voltage utilization without compromising dynamic speed tracking.
7.7. Duty Ratio Response During Speed Transition
The evolution of the optimized duty ratio is shown in Figure 18. During steady-state operations, the duty ratio converges to stable values, while under transients it adapts smoothly without abrupt changes. This confirms that the proposed duty-ratio computation effectively reduces torque ripple while preserving fast dynamic response. Such behavior is not achievable in conventional MPDSC with single-vector application.
Figure 18.
Duty ratio response of the proposed ET-DR-MPDSC scheme (a) during the complete speed transition; (b) enlarged view of the duty ratio waveform.
7.8. Duty Ratio-Based Voltage Vector Modulation in the DR-MPDSC
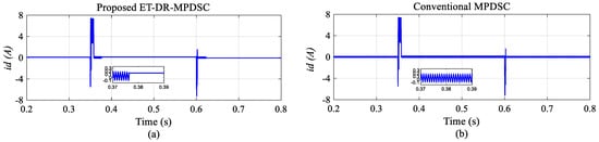
To clarify the internal switching behavior of the proposed ET-DR-MPDSC, this section presents an illustrative example of how the controller distributes the switching period between the active voltage vector and the zero vector. Unlike standard finite-control-set MPC, which applies a single voltage vector for the entire switching interval, the DR-MPDSC introduces a continuous-like modulation mechanism by splitting each period between an active voltage vector chosen by the cost function minimization, and the zero vector, which corresponds to zero voltage and is commonly used to stabilize current trajectories and reduce switching stress.
During each switching cycle, the controller applies the active vector for a duration equal to , where is the optimized duty ratio computed at every sampling instant. The remaining time, , is always allocated to the zero vector. This dual-vector structure allows the controller to regulate the stator voltage magnitude precisely while preventing abrupt changes in phase voltages, thus significantly reducing current distortion and torque ripple. Figure 18 presents three consecutive switching cycles beginning at 0.4 s with a switching period of .
In the first cycle, the active vector is applied for of the interval, followed by the zero vector for the remaining portion. In the second cycle, the controller selects as the active vector and applies it for , after which the remaining time is allocated to . The third cycle follows the same structure, applying for and the zero vector for the rest of the interval.
This behavior demonstrates that the ET-DR-MPDSC does not apply a single discrete vector per sampling step; rather, it realizes a hybrid active–zero modulation pattern, which enhances the motor’s steady-state performance and reduces torque ripple compared with non-modulated predictive control. Figure 19b shows the corresponding duty-ratio sequence, confirming the proportion of each interval allocated to the active vector.
Figure 19.
Switching behavior of the proposed DR-MPDSC over three consecutive cycles: (a) voltage vector pattern for three switching cycles; (b) duty ratio for three switching cycles.
7.9. Comparative Analysis of FW and Non-FW Performance
The field-weakening capability of the proposed ET-DR-MPDSC scheme is demonstrated through the measured responses presented in Figure 20, Figure 21, Figure 22 and Figure 23. As illustrated in Figure 20a, when FWC is enabled, the proposed MPDSC successfully extends the operating speed beyond the rated value of 3000 rpm. In contrast, without FWC, the motor speed remains constrained at the rated limit due to inverter voltage limitations, confirming the necessity of flux regulation at high-speed operation.
Figure 20.
Comparative results for ET-RD-MPDSC with and without FWC: (a) speed and (b) torque.
Figure 21.
Comparative results for ET-RD-MPDSC with and without FWC: (a) direct current and (b) output power.
Figure 22.
Stator current of ET-RD-MPDSC: (a) with FWC and (b) without FWC.
Figure 23.
Line voltage of ET-RD-MPDSC: (a) with FWC and (b) without FWC.
The electromagnetic torque response in Figure 20b further confirms the correct transition to constant-power operation. As the motor speed exceeds the rated value under field-weakening conditions, the developed torque decreases progressively to maintain the rated output power of 200 W. Specifically, the torque is reduced from the rated value of 0.637 Nm to approximately 0.5456 Nm at 3500 rpm and further to about 0.477 Nm at 4000 rpm. Without field weakening, the torque does not decrease accordingly, which inherently prevents further speed increase beyond the rated limit while respecting voltage constraints.
This behavior is directly associated with the direct-axis current response shown in Figure 21a. When FWC is activated, the current shifts toward negative values once the rated speed is exceeded, enabling effective flux weakening and limiting the back electromotive force. Conversely, without FWC, the current remains close to zero, indicating constant-flux operation. As a result, the output power profile depicted in Figure 21b remains approximately constant at its rated value during high-speed operation, validating proper constant-power region performance.
Additional insight into the high-speed operating behavior is provided in Figure 22, which presents the stator current waveforms. With FWC enabled (Figure 22a), the stator current magnitude remains within acceptable limits despite the extended speed range, whereas higher current stress is observed without FWC (Figure 22b). Furthermore, the inverter line voltage responses shown in Figure 23 demonstrate that the voltage is effectively regulated within the inverter constraints.
Overall, the results in Figure 20, Figure 21, Figure 22 and Figure 23 clearly verify that the proposed ET-DR-MPDSC with integrated field-weakening control ensures stable high-speed operation, effective voltage utilization, and proper constant-power behavior, which are essential requirements for PMSM-based electric vehicle traction systems.
7.10. Effect of Parameter Variations on Proposed ET-DR-MPDSC
To examine the robustness of the proposed ET-DR-MPDSC scheme under realistic operating conditions, a sensitivity analysis was conducted. In this test, the electrical parameters of the (PMSM), specifically the stator resistance and the d–q axis inductances (, ) were varied intentionally from their nominal values. Such deviations represent common phenomena in practical operation, such as temperature rise (which also slightly increases the PM flux linkage), magnetic saturation, or inaccuracies in the identified motor model. The control strategy and load conditions remained identical across all tests. Three parameter sets were used: nominal values, representing the rated PMSM condition, increased parameters, stator resistance increased by 20% and inductances increased by 15%, to simulate effects of thermal increase or magnetic saturation, decreased parameters, stator resistance decreased by 20% and inductances decreased by 15%, representing underestimated model parameters.
The results shown in Figure 24 and Figure 25 demonstrate stable dynamic behavior in all cases: when the parameters were increased, the torque response exhibited only a slight delay, and torque ripple rose by less than 2%. When parameters were reduced, speed regulation remained accurate, with negligible overshoot and no sign of instability. These results clearly indicate that the predictive structure in ET-DR-MPDSC provides superior robustness to parameter deviations. Thus, ET-DR-MPDSC is much more suitable for practical PMSM drive applications, where motor parameters may drift due to temperature, saturation, or modeling errors, without requiring online parameter re-identification or returning controller gains.
Figure 24.
Speed response of ET-DR-MPDSC under (a) ±20% variation of stator resistance and (b) ±15% variation of inductance.
Figure 25.
Electromagnetic torque response of ET-DR-MPDSC under (a) ±20% variation of stator resistance and (b) ±15% variation of inductance.
7.11. Dynamic Performance Evaluation of ET-DR-MPDSC Under IM240 Drive Cycle Conditions
7.11.1. IM240 Drive Cycle Description and Relevance to EV Applications
The dynamic performance of the proposed ET-DR-MPDSC is evaluated using the standardized IM240 drive cycle, which represents typical urban driving conditions for electric vehicles. The cycle spans approximately 240 s and is characterized by frequent acceleration and deceleration events, stop-and-go operation, and moderate speed variations. Owing to its rich transient content and practical speed range, the IM240 drive cycle provides a realistic benchmark for the assessing tracking accuracy, disturbance rejection, and computational efficiency of PMSM-based traction control strategies.
7.11.2. Speed Scaling and Dynamic Adaptation of the IM240 Drive Cycle to the Low-Power PMSM
The IM240 drive cycle is defined in vehicle speed (km/h), whereas the PMSM control system operates in motor speed (rpm). Therefore, a speed scaling and unit conversion procedure is applied to ensure consistency between the vehicle-level reference and the motor-rated characteristics.
The vehicle speed is first converted into linear speed as follows:
Assuming a wheel radius , the wheel angular speed is obtained by
Introducing a fixed gear ratio , the motor speed reference is given by
For , the resulting conversion gain is approximately
Accordingly, the rated motor speed of 3000 rpm corresponds to a vehicle speed of about 85 km/h. This mapping enables a realistic application of the IM240 drive cycle to the PMSM drive while preserving consistency between vehicle dynamics and motor operating limits.
To verify that the IM240 drive cycle does not impose excessive mechanical stress on the low-power PMSM, the longitudinal vehicle acceleration is evaluated from the reference speed profile as follows:
Assuming a micro-EV or test-bench equivalent mass of , a maximum acceleration of , a wheel radius of , and a gear ratio of , the peak motor torque demand becomes
The corresponding mechanical power is evaluated as follows:
This adaptation demonstrates that the IM240 drive cycle can be safely and realistically applied to the considered low-power PMSM, providing a representative yet moderated excitation that enables comprehensive evaluation of dynamic performance without violating torque, power, or current constraints.
The main characteristics of the IM240 drive cycle and the considered electric vehicle–PMSM system are summarized in Table 2. The drive cycle includes both positive and negative acceleration phases representative of urban stop-and-go operation, while the selected vehicle and motor parameters ensure that the required torque and power remain within the rated limits of the 200 W traction drive.
Table 2.
IM240 drive cycle and electric vehicle specifications.
7.11.3. Event-Triggered Control Performance Under IM240 Excitation
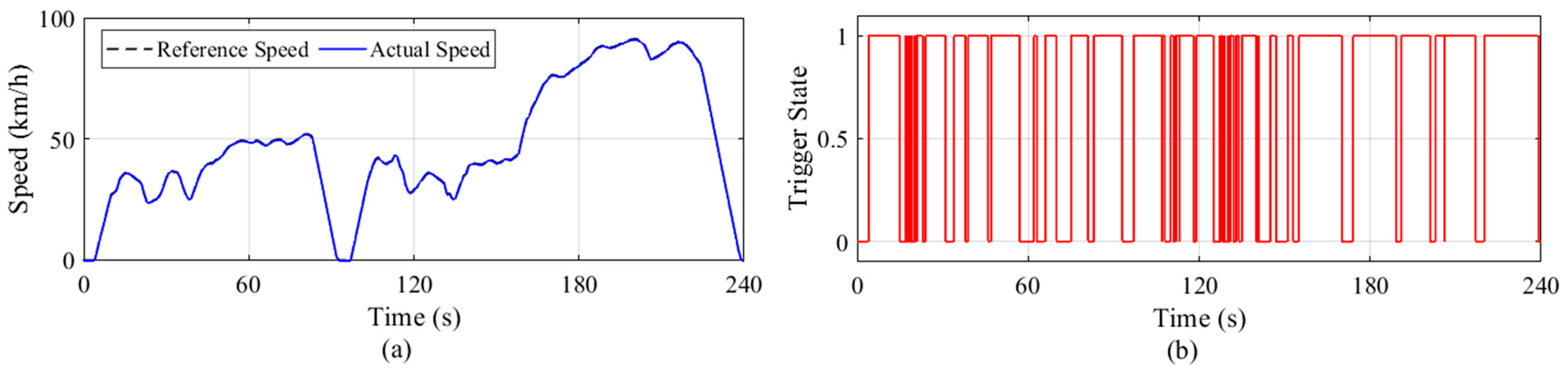
The reference and actual vehicle speeds under the IM240 drive cycle, together with the corresponding trigger state, are shown in Figure 26. Figure 26a illustrates the reference and measured speeds expressed in km/h, while Figure 26b depicts the binary trigger signal generated according to the absolute speed tracking error. The trigger is activated whenever the error magnitude exceeds the predefined threshold of 0.1 km/h; otherwise, the control input is held constant. All recorded signals are stored using a decimation factor of 1000 to reduce data size without affecting the dynamic content.
Figure 26.
IM240 drive cycle: (a) speed response of the proposed ET-DR-MPDSC and (b) event-trigger state ().
As a result of the event-triggered mechanism, the proposed ET-DR-MPDSC achieves a control update reduction of 28.84% compared with the conventional time-triggered MPDSC, while maintaining accurate speed tracking throughout the entire drive cycle. The corresponding electromagnetic torque response is shown in Figure 27, where Figure 27a represents the proposed ET-DR-MPDSC, and Figure 27b corresponds to the conventional MPDSC. The proposed strategy yields a smoother torque profile with reduced ripple, particularly during rapid speed transitions. It should be noted that the plotted torque corresponds to the estimated electromagnetic torque, confirming the robustness of the employed torque estimation approach.
Figure 27.
Torque during IM240 cycle: (a) proposed ET-DR-MPDSC and (b) conventional MPDSC.
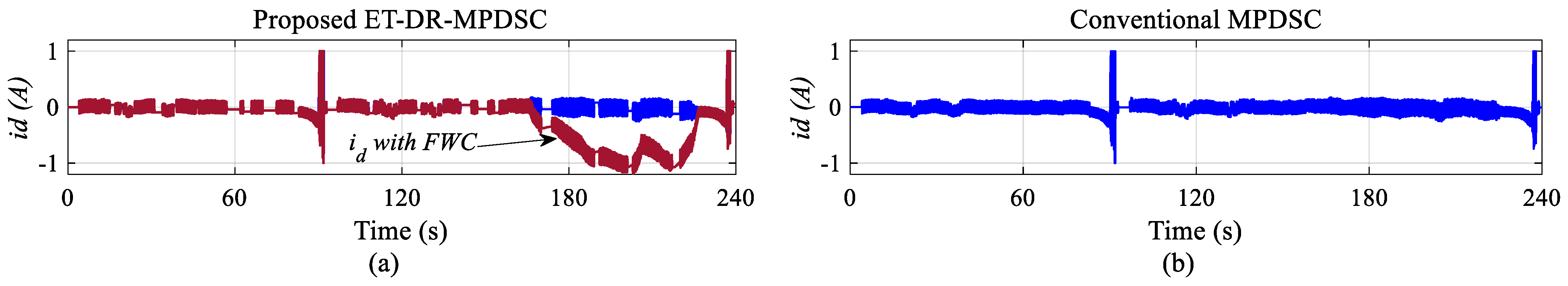
The stator current components are illustrated in Figure 28 for the direct-axis current and in Figure 29 for the quadrature-axis current . In both figures, subfigure (a) corresponds to the proposed ET-DR-MPDSC, while subfigure (b) represents the conventional MPDSC. The results indicate that the event-triggered execution suppresses unnecessary current updates during low-dynamic intervals while preserving fast response to transient events, resulting in smoother current waveforms.
Figure 28.
Direct-axis current during IM240 cycle: (a) proposed ET-DR-MPDSC and (b) conventional MPDSC.
Figure 29.
Quadrature-axis current during IM240 cycle: (a) proposed ET-DR-MPDSC and (b) conventional MPDSC.
The inverter line voltage response under the IM240 drive cycle is shown in Figure 30. Compared with the conventional MPDSC, the proposed ET-DR-MPDSC exhibits a more regulated voltage profile with fewer abrupt variations, indicating improved DC-link voltage utilization and reduced switching activity. In addition, the duty ratio and output power evolution are illustrated in Figure 31, where Figure 31a shows smooth duty-ratio adaptation in response to varying speed and torque demands, and Figure 31b confirms stable power behavior throughout the drive cycle.
Figure 30.
Inverter voltage during IM240 cycle: (a) proposed ET-DR-MPDSC and (b) conventional MPDSC.
Figure 31.
Duty-ratio and power during IM240 cycle: (a) duty ratio and (b) output power.
7.11.4. Field-Weakening Operation During High-Speed IM240 Intervals
When the vehicle speed exceeds the base-speed threshold defined by the motor rated speed, the FWC strategy is activated to ensure safe and efficient high-speed operation. The corresponding responses shown in Figure 28a illustrate that, once the motor enters the field-weakening region, the direct-axis current shifts toward negative values to reduce the effective air-gap flux and limit the back electromotive force.
Simultaneously, the electromagnetic torque decreases in a controlled manner, indicating a clear transition from constant-torque to constant-power operation, while the output power is maintained within its rated limit. This behavior confirms that the proposed control scheme successfully enforces voltage constraints and preserves system stability during high-speed operation.
7.12. Quantitative Performance Comparison Between Conventional MPDSC and the Proposed ET-DR-MPDSC
To clearly demonstrate the quantitative advantages of the proposed ET-DR-MPDSC over conventional MPDSC, Table 3 summarizes the key performance improvements observed in both simulation and experimental evaluations.
Table 3.
Quantitative performance comparison between conventional MPDSC and the proposed ET-DR-MPDSC.
The results confirm that the proposed strategy achieves measurable improvements in control efficiency, torque smoothness, and high-speed operation, validating its novelty beyond a simple combination of existing control techniques.
8. Experimental Results and Discussion
8.1. Experimental Setup
To validate the practical feasibility and real-time performance of the proposed ET-DR-MPDSC, an experimental PMSM drive system was implemented and tested under laboratory conditions. The experimental platform consists of a surface-mounted PMSM fed by a two-level voltage source inverter and controlled using a real-time digital control system. The control algorithms were implemented on a dSPACE DS1202 platform, operating with a fixed sampling period of 10 μs to match the conditions assumed in the simulation studies.
Stator phase currents were directly measured using Hall-effect current sensors and fed back to the controller. Although an incremental encoder was available for reference measurements, the rotor speed and load torque were primarily estimated using the proposed EKF to reflect realistic EV operating conditions, where mechanical disturbances and measurement noise are inevitable. The inverter switching commands were generated in real time based on the selected voltage vectors and duty ratios, and pulse-width modulation was executed within each sampling interval.
The complete experimental setup included the PMSM, an IGBT-based inverter, a DC power supply, a mechanical load, sensing circuitry, and the real-time control interface. All relevant motor parameters, inverter ratings, and experimental conditions are summarized in Table 4, which provides the nominal electrical and mechanical specifications used throughout the experimental evaluation. The complete setup used to validate the proposed scheme is shown in Figure 32 [28]. It should be noted that the PMSM used for experimental validation differs from the low-power motor considered in the simulations. While the simulations employed a 200 W motor with a 51 V DC bus to evaluate the controller under constrained conditions, the experimental tests were conducted on a higher-power motor with a 310 V DC bus. This choice was made to ensure that the proposed ET-DR-MPDSC could be tested under more realistic torque and power requirements, representative of practical electric vehicle applications, while maintaining the same control framework and methodology.
Table 4.
Specifications of the drive system.
Figure 32.
Hardware components of the experimental setup [28].
To evaluate the practical effectiveness of the proposed ET-DR-MPDSC, an experimental investigation was conducted under identical operating conditions and compared against the conventional time-triggered MPDSC. All results correspond to a step speed change from 100 rpm to 500 rpm, which represents a typical low-speed operating scenario in EV traction systems and highlights steady-state and transient behavior.
Two experimental studies were carried out. In the first study, the proposed ET-DR-MPDSC with a fixed triggering threshold was compared directly with the conventional MPDSC. In the second study, the influence of the triggering threshold on control performance and computational efficiency was examined by testing three different threshold values.
8.2. Comparison Between Proposed ET-DR-MPDSC () and Conventional MPDSC
Figure 33, Figure 34, Figure 35, Figure 36, Figure 37 and Figure 38 illustrate the experimental comparison between the proposed ET-DR-MPDSC and the conventional MPDSC under a speed step from 100 rpm to 500 rpm, using an event-triggering threshold of 3 rpm.
Figure 33.
Experimental speed response during a transition from 100 rpm to 500 rpm: (a) proposed ET-DR-MPDSC with and (b) conventional MPDSC.
Figure 34.
Event-triggering behavior of the proposed ET-DR-MPDSC during speed transition: (a) trigger state and (b) trigger density.
Figure 35.
Experimental torque response during a transition from 100 rpm to 500 rpm: (a) proposed ET-DR-MPDSC with and (b) conventional MPDSC.
Figure 36.
d-axis current response during a transition from 100 rpm to 500 rpm: (a) proposed ET-DR-MPDSC with and (b) conventional MPDSC.
Figure 37.
q-axis current response during a transition from 100 rpm to 500 rpm: (a) proposed ET-DR-MPDSC with and (b) conventional MPDSC.
Figure 38.
Experimental stator current waveforms and corresponding frequency spectra under ET-DR-MPDSC (a) stator current and (b) frequency spectra.
The speed response obtained with the proposed ET-DR-MPDSC exhibits a noticeably smoother steady-state behavior compared to the conventional controller. The experimental results indicate that the peak-to-peak speed ripple is reduced by approximately 35–40%, while maintaining a comparable transient rise time. This improvement is mainly attributed to the event-triggered mechanism, which prevents unnecessary control updates once the tracking error falls below the defined threshold and retains the previously optimal control action.
A similar enhancement is observed in the electromagnetic torque response. The conventional MPDSC produces visible torque oscillations during steady-state operation, whereas the proposed controller significantly attenuates these oscillations. Quantitatively, the electromagnetic torque ripple is reduced by approximately 30–35%, resulting in a smoother mechanical output and reduced stress on the drivetrain. The estimated torque closely follows the electromagnetic torque in both cases; however, its fluctuation amplitude is notably lower under the proposed strategy, confirming the stabilizing effect of event-triggered execution.
The current responses further validate the superiority of the proposed method. The component shows reduced oscillatory behavior during steady state, while the current remains more stable and closer to its reference value. This improved current regulation leads to lower electrical ripple and contributes to the observed reduction in torque pulsations.
Figure 34a,b present the event-trigger state and trigger density, respectively. During transient intervals following the speed change, the trigger state becomes active, allowing frequent controller updates. Once steady-state operation is reached, the trigger state remains inactive for extended periods, effectively holding the last optimal control input. As a result, the total number of control updates is reduced by 87.73% compared to the conventional time-triggered MPDSC, without compromising tracking accuracy or stability.
The update reduction represents the percentage decrease in control algorithm executions achieved by the event-triggered mechanism compared to the conventional time-triggered implementation. It is defined as the ratio between the number of triggered control updates and the total number of sampling instants over the same time interval.
where
is the total number of control updates executed by the event-triggered DR-MPDSC during the simulation or experimental interval, and is the total number of control updates executed by the conventional time-triggered MPDSC, where the control law is evaluated at every sampling instant. In this simulation, the total number of control updates for the conventional time-triggered MPDSC is determined by the simulation period and the sampling time , yielding
The ET-DR-MPDSC, on the other hand, triggers only updates. The update reduction is then computed as follows:
This demonstrates that the ET-DR-MPDSC achieves an 87.73% reduction in control executions compared to the conventional time-triggered implementation, without compromising speed tracking accuracy or system stability.
As shown in Figure 38, the experimental THD of the ET-DR-MPDSC method was found to be 4.05%, which is in close agreement with the simulation result of 3.84%. The slight increase (approximately 5.5%) in the experimental THD is attributed mainly to inverter nonlinearities, sensor noise, and parameter variations that are not fully modeled in the simulation environment. Nevertheless, the obtained value remains well below the conventional MPDSC and MPDTC methods, confirming the excellent harmonic performance of the proposed predictive control approach.
8.3. Effect of Event-Triggering Threshold on Control Performance
To further analyze the role of the triggering threshold, the proposed ET-DR-MPDSC was experimentally tested using threshold values of 5 rpm and 10 rpm. Figure 39, Figure 40, Figure 41, Figure 42, Figure 43 and Figure 44 compare the system responses for both thresholds. Increasing the threshold value results in fewer controller updates, as the speed error remains below the triggering condition for longer durations. Consequently, the system preserves the previously applied optimal control action, leading to even smoother speed and torque waveforms. This effect is clearly reflected in the reduced torque ripple and nearly ripple-free steady-state speed observed at a 10 rpm threshold.
Figure 39.
Speed response of the proposed ET-DR-MPDSC during speed transition: (a) and (b) .
Figure 40.
Event-trigger state behavior of the proposed ET-DR-MPDSC during speed transition: (a) and (b) .
Figure 41.
Trigger density behavior of the proposed ET-DR-MPDSC during speed transition: (a) and (b) .
Figure 42.
Torque response of the proposed ET-DR-MPDSC during speed transition: (a) and (b) .
Figure 43.
d−axis current response of the proposed ET-DR-MPDSC during speed transition: (a) and (b) .
Figure 44.
q−axis current response of the proposed ET-DR-MPDSC during speed transition: (a) and (b) .
However, a slight trade-off is observed in the transient phase, where higher thresholds marginally slow the response due to delayed control updates. Despite this, the dynamic performance remains acceptable for EV applications, while the computational efficiency is significantly enhanced.
To quantitatively assess the influence of the event-triggering threshold on system performance, Table 5 summarizes the experimental results obtained under different threshold values. The comparison highlights the trade-off between ripple suppression and control update reduction, demonstrating how higher thresholds improve signal smoothness and computational efficiency.
Table 5.
Quantitative comparison for the proposed ET-DR-MPDSC under different event-triggering thresholds.
9. Conclusions
This paper presented an event-triggered extension of DR-MPDSC for PMSM drives in EV applications. The proposed approach preserves the core structure of DR-MPDSC and augments it with an ET execution mechanism and EKF-based state estimation to reduce unnecessary control updates while maintaining high dynamic performance.
The simulation results verified that the ET-DR-MPDSC retains the fast transient characteristics of conventional DR-MPDSC, achieving a settling time below 8 ms and limiting speed deviations to ±0.2% under load torque disturbances. Owing to the optimized duty-ratio formulation, smoother electromagnetic behavior was obtained, with stator current THD reduced to 3.84% and steady-state speed ripple decreased by approximately 40–50% compared with time-triggered MPDSC schemes. Experimental validation conducted on a real-time PMSM drive using a dSPACE DS1202 platform further confirmed the practicality of the proposed ET extension. Depending on the selected ET threshold, the controller achieved 45–60% speed ripple reduction, 40–55% torque ripple reduction, and up to 87.73% reduction in control update executions, without degrading system stability or transient response. Overall, the results demonstrate that the proposed ET-DR-MPDSC represents an efficient extension of DR-MPDSC, offering an improved trade-off between dynamic performance, ripple suppression, and computational efficiency. These features make the proposed strategy well suited for real-time PMSM drive systems in EV traction applications.
Future research will focus on adaptive ET threshold tuning under varying operating conditions, integration with multilevel inverter (MLI) topologies, and robust ET-DR-MPDSC design considering parameter uncertainties and inverter nonidealities. Additionally, extending the proposed framework to full-scale EV drive cycles and evaluating long-term computational savings on low-cost embedded platforms will be investigated.
Author Contributions
All authors were involved in the conceptualization of this study, the development of the methodology, and its overall implementation. T.Y. and A.A.A. were responsible for the design and realization of the ET-DR-MPDSC algorithm, carried out simulation studies and experimental verification, and prepared the initial draft of the manuscript. A.A.A. contributed to the formulation of the control framework and performed a critical technical review of the work. Z.M.S.E., A.A.A. and S.A.A. supervised the experimental procedures and provided thorough revisions of the manuscript’s scientific content. All authors have read and agreed to the published version of the manuscript.
Funding
The authors extend their appreciation to the Deanship of Research and Graduate Studies at King Khalid University for funding this work through the Small Research Project under the grant number RGP1/8/46.
Data Availability Statement
All required data are included in the text and are available upon request from the corresponding author.
Conflicts of Interest
The authors declare no conflicts of interest.
References
- Kulkarni, S.; Thosar, A. Performance Analysis of Permanent Magnet Synchronous Machine due to Winding Failures. Int. J. Electr. Electron. Res. 2021, 9, 76–83. [Google Scholar] [CrossRef]
- Trabelsi, M.; Semail, E. Virtual current vector-based method for inverter open-switch and open-phase fault diagnosis in multiphase permanent magnet synchronous motor drives. IET Electr. Power Appl. 2022, 16, 1476–1491. [Google Scholar] [CrossRef]
- Belkhadir, A.; Pusca, R.; Belkhayat, D.; Romary, R.; Zidani, Y. Analytical Modeling, Analysis and Diagnosis of External Rotor PMSM with Stator Winding Unbalance Fault. Energies 2023, 16, 3198. [Google Scholar] [CrossRef]
- Wei, H.; Wei, H.; Zhang, Y. Matlab Simulation Research on Permanent Magnet Synchronous Motor Vector Control. EPH—Int. J. Sci. Eng. 2021, 7. [Google Scholar] [CrossRef]
- Gade, C.R.; Wahab, R.S. Conceptual Framework for Modelling of an Electric Tractor and Its Performance Analysis Using a Permanent Magnet Synchronous Motor. Sustainability 2023, 15, 4391. [Google Scholar] [CrossRef]
- Kumar, A.N.; Dheepanchakkravarthy, A. Design and Analysis of Interior Buried Permanent Magnet Synchronous Motor for Electric Vehicle Applications. Adv. Electr. Comput. Eng. 2023, 23, 3–14. [Google Scholar] [CrossRef]
- Abdelsalam, A.A.; Cui, S. A fuzzy logic global power management strategy for hybrid electric vehicles based on a permanent magnet electric variable transmission. Energies 2012, 5, 1175–1198. [Google Scholar] [CrossRef]
- Abd El Maguid Ahmed, W.; Adel, M.M.; Taha, M.; Saleh, A.A. PSO technique applied to sensorless field-oriented control PMSM drive with discretized RL-fractional integral. Alex. Eng. J. 2021, 60, 4029–4040. [Google Scholar] [CrossRef]
- Ramesh, P.; Umavathi, M.; Bharatiraja, C.; Ramanathan, G.; Athikkal, S. Development of a PMSM motor field-oriented control algorithm for electrical vehicles. Mater. Today Proc. 2022, 65, 176–187. [Google Scholar] [CrossRef]
- Wu, Z.; Lin, F.; Liang, Q.; Zhang, S.; Liang, J. Low order speed harmonic suppression in FOC-PMSM based on the closed-loop transfer mechanism of injected voltage. JVC/J. Vib. Control. 2024, 30, 4525–4536. [Google Scholar] [CrossRef]
- Tripathi, H.; Marahatta, K.; Gupta, B.K.; Yadav, N.K.; Shrestha, S. Modelling and Simulation of Field-Oriented Control of Permanent Magnet Synchronous Motor. J. Eng. Sci. 2023, 2, 88–92. [Google Scholar] [CrossRef]
- Nustes, J.C.; Pau, D.P.; Gruosso, G. Modelling the Field Oriented Control applied to a 3-phase Permanent Magnet Synchronous Motor. Softw. Impacts 2023, 15, 100479. [Google Scholar] [CrossRef]
- Nustes, J.C.; Pau, D.P.; Gruosso, G. Field oriented control dataset of a 3-phase permanent magnet synchronous motor. Data Brief 2023, 47, 109002. [Google Scholar] [CrossRef] [PubMed]
- Khames, M.A.; Ahmed, A.A.; Omara, A.M.; Rashad, E.E.M. Dynamic behavior assessment of permanent magnet synchronous motors under finite set model predictive controllers and field-oriented control. In 2021 22nd International Middle East Power Systems Conference (MEPCON); IEEE: New York, NY, USA, 2021; pp. 455–462. [Google Scholar]
- Tejavathu, R.; Bukkana, T.; Tangirala, I.; Poondla, D.K. DTC-SPWM based Realization of SVM with Reduced carrier for Three-level NPC fed Five Phase Permanent Magnet Synchronous Motor Drive. In 2023 IEEE IAS Global Conference on Emerging Technologies, GlobConET 2023; IEEE: New York, NY, USA, 2023. [Google Scholar] [CrossRef]
- Ramesh, T.; Bukkana, T.; Mohan, M. Model Predictive Current Control based Three-Level Inverter fed Five Phase Permanent Magnet Synchronous Motor Drive. In 5th International Conference on Energy, Power, and Environment: Towards Flexible Green Energy Technologies, ICEPE 2023; IEEE: New York, NY, USA, 2023. [Google Scholar] [CrossRef]
- Zhang, W.; Liu, C.; Lian, C.; Liu, J.; Mai, Z. Optimization of SVPWM Algorithm used in PMSM DTC. In 2023 3rd International Conference on Electrical Engineering and Mechatronics Technology, ICEEMT 2023; IEEE: New York, NY, USA, 2023. [Google Scholar] [CrossRef]
- He, H.; Gui, H.; Shao, H.; Gao, J. Model Predictive Direct Torque Control Based on Active Disturbance Rejection Controller for PMSM. In 2022 International Conference on Mechanical and Electronics Engineering, ICMEE 2022; IEEE: New York, NY, USA, 2022. [Google Scholar] [CrossRef]
- Tian, Y.; Zhang, Y.; Xiao, X.; Yildirim, T. Weighting factors design in model predictive direct torque control based on cascaded neural network. Asian J. Control 2024, 26, 1323–1338. [Google Scholar] [CrossRef]
- Hou, L.; Guo, Y.; Ba, X.; Lei, G.; Zhu, J. Efficiency Improvement of Permanent Magnet Synchronous Motors Using Model Predictive Control Considering Core Loss. Energies 2024, 17, 773. [Google Scholar] [CrossRef]
- Ahmed, A.A.; Koh, B.K.; Lee, Y.I. A Comparison of Finite Control Set and Continuous Control Set Model Predictive Control Schemes for Speed Control of Induction Motors. IEEE Trans. Industr. Inform. 2018, 14, 1334–1346. [Google Scholar] [CrossRef]
- Ahmed, A.A. Experimental implementation of model predictive control for permanent magnet synchronous motor. Int. J. Electr. Comput. Energetic Electron. Commun. Eng. 2015, 9, 644–647. [Google Scholar]
- Gao, S.; Wei, Y.; Qi, H.; Zhang, D.; Wei, Y. Model Prediction Hybrid Parallel Direct Speed Control of Permanent Magnet Synchronous Machines for Electric Vehicles. Control. Eng. Appl. Inform. 2022, 24, 31–39. [Google Scholar]
- Wang, H.; Zhang, S.; Liu, W.; Geng, Q.; Zhou, Z. Finite control-set model predictive direct speed control of a PMSM drive based on the Taylor series model. IET Electr. Power Appl. 2021, 15, 1452–1465. [Google Scholar] [CrossRef]
- Pancurak, L.; Jure, T.; Kyslan, K. Finite Control Set Model Predictive Direct Speed Control of PMSM. In 2023 International Conference on Electrical Drives and Power Electronics, EDPE 2023—Proceedings; IEEE: New York, NY, USA, 2023. [Google Scholar] [CrossRef]
- Gao, M.; Liu, H. Direct speed predictive control of permanent magnet synchronous motor. In 2023 3rd International Conference on Intelligent Power and Systems, ICIPS 2023; IEEE: New York, NY, USA, 2023. [Google Scholar] [CrossRef]
- Yahia, T.; Ahmed, A.A.; Elzawawi, A.; Ahmed, M.M. Model Predictive Direct Speed Control of PMSM with Load Torque Compensation. In 2021 24th International Conference on Electrical Machines and Systems (ICEMS); IEEE: New York, NY, USA, 2021; pp. 1335–1341. [Google Scholar]
- Yahia, T.; Ahmed, A.A.; Ahmed, M.M.; El Zawawi, A.; Elbarbary, Z.M.S.; Arafath, M.S.; Ali, M.M. Enhanced Model Predictive Speed Control of PMSMs Based on Duty Ratio Optimization with Integrated Load Torque Disturbance Compensation. Machines 2025, 13, 891. [Google Scholar] [CrossRef]
- Sadhukhan, T.; Roy, P.; Ray, S. Direct Torque Control of PMSM following Advanced Duty Ratio Modulation with MTPA Scheme. In Proceedings of 2023 IEEE 3rd Applied Signal Processing Conference, ASPCON 2023; IEEE: New York, NY, USA, 2023. [Google Scholar] [CrossRef]
- Du, N.; Ge, L. A Novel Duty Ratio Interval Subdivision Based MPTC Method for PMSM. In 2023 26th International Conference on Electrical Machines and Systems, ICEMS 2023; IEEE: New York, NY, USA, 2023. [Google Scholar] [CrossRef]
- Zhang, X.; Zhang, C. A Simple Model Predictive Control for Open Winding PMSM Based on Duty Ratio Control. In 2023 IEEE 6th International Electrical and Energy Conference, CIEEC 2023; IEEE: New York, NY, USA, 2023. [Google Scholar] [CrossRef]
- Lu, K.; Zhu, Z.Q. Comparative Stability Analysis of PMSMs under Feedback FluxWeakening Control. IEEE Trans. Ind. Appl. 2025, 62, 1093–1102. [Google Scholar] [CrossRef]
- Yang, C.; Liu, W.; Song, B.; Xie, X.; Niu, S.; Chau, K.T. Signal-Injection-Based Efficient Direct-Determination of Controller Gains and Nonlinear Friction Compensation Values in SPMSM Drives. IEEE Trans. Power Electron. 2026, 41, 1627–1633. [Google Scholar] [CrossRef]
- Dai, C.; Guo, T.; Yang, J.; Li, S. A Disturbance Observer-Based Current-Constrained Controller for Speed Regulation of PMSM Systems Subject to Unmatched Disturbances. IEEE Trans. Ind. Electron. 2021, 68, 767–775. [Google Scholar] [CrossRef]
- Li, H.; Li, S.; Yan, Y. Disturbance observer based MPC for PMSM with multiple disturbances. In 2023 IEEE International Conference on Predictive Control of Electrical Drives and Power Electronics, PRECEDE 2023; IEEE: New York, NY, USA, 2023. [Google Scholar] [CrossRef]
- Schwarz, U.; Aubele, F.; Koch, S.; Staiger, J.; Steinhart, H. Sensorless Control Technique of PMSM based on MRAS Observer with Smooth Transition. In 12th International Conference on Power Electronics, Machines and Drives (PEMD 2023); IET: London, UK, 2023. [Google Scholar] [CrossRef]
- Kashif, M.; Singh, B. BEMF-MRAS Based Sensorless PMSM for Solar Irrigation Pump with Ancillary Load Services. In PESGRE 2022—IEEE International Conference on “Power Electronics, Smart Grid, and Renewable Energy; IEEE: New York, NY, USA, 2022. [Google Scholar] [CrossRef]
- Vesely, L.; Zamecnik, D. Extending mathematical model of permanent magnet synchronous motors in alpha-beta coordinate system for EKF. In 12th IEEE International Symposium on Computational Intelligence and Informatics, CINTI 2011—Proceedings; IEEE: New York, NY, USA, 2011. [Google Scholar] [CrossRef]
- Shan, D.; Wang, D.; He, D.; Zhang, P. Position Sensorless Vector Control System for Lawnmower Permanent Magnet Synchronous Motor Based on Extended Kalman Filter. Energies 2024, 17, 1230. [Google Scholar] [CrossRef]
- Yang, C.; Liu, W.; Niu, S.; Lyu, J.; Chau, K.T. Parameter-Tuning-Free Two-Step Identification of Mechanical Parameters for PMSM Drives. IEEE Trans. Ind. Electron. 2025, 72, 12378–12392. [Google Scholar] [CrossRef]
- Tang, S.; Cao, Y.; Shi, T.; Yan, Y.; Xia, C. Online Estimation of Load Torque and Moment of Inertia Incorporating Extended Disturbance Observer With Trigger. IEEE Trans. Power Electron. 2025, 40, 5731–5742. [Google Scholar] [CrossRef]
- Yang, C.; Song, B.; Xie, Y.; Zheng, S.; Tang, X. Adaptive Identification of Nonlinear Friction and Load Torque for PMSM Drives via a Parallel-Observer-Based Network With Model Compensation. IEEE Trans. Power Electron. 2023, 38, 5875–5897. [Google Scholar] [CrossRef]
- Shen, W.; Shao, L.; Liu, D.; Wang, J.; Ge, C. Event-Triggered FCS-MPC With Sliding Mode Observer for Permanent Magnet Synchronous Motor Servo Motion Systems. IEEE Trans. Autom. Sci. Eng. 2025, 22, 2257–2268. [Google Scholar] [CrossRef]
- Song, J.; Wang, Y.K.; Zheng, W.X.; Niu, Y. Adaptive Terminal Sliding Mode Speed Regulation for PMSM Under Neural-Network-Based Disturbance Estimation: A Dynamic-Event-Triggered Approach. IEEE Trans. Ind. Electron. 2023, 70, 8446–8456. [Google Scholar] [CrossRef]
- Tuo, Y.; Song, Y. Adaptive event-triggered finite-time prescribed performance control of PMSM stochastic system considering time-varying delays. JVC/J. Vib. Control. 2025, 31, 3046–3063. [Google Scholar] [CrossRef]
- Zhao, K.; Chen, X.; Liu, J.; Yu, J. Discrete-Time Adaptive Fuzzy Event-Triggered Control for PMSMs With Voltage Faults via Command Filter Approximator. IEEE Trans. Power Electron. 2024, 39, 7343–7350. [Google Scholar] [CrossRef]
- Song, J.; Wang, Y.K.; Niu, Y.; Lam, H.K.; He, S.; Liu, H. Periodic Event-Triggered Terminal Sliding Mode Speed Control for Networked PMSM System: A GA-Optimized Extended State Observer Approach. IEEE/ASME Trans. Mechatron. 2022, 27, 4153–4164. [Google Scholar] [CrossRef]
- Luo, J.; Luo, Y.; Yang, K.; Hossen, M.S.; Yu, J. Dynamic Threshold Adjustment-Based Event-Triggered Model Predictive Control for PMSM Motor. IEEE Trans. Power Electron. 2025, 40, 16206–16218. [Google Scholar] [CrossRef]
- Dai, B.; Sun, J.; Yang, J.; Li, S. Dynamic Event-Triggered Disturbance Rejection Control for Speed Regulation of Networked PMSM. IEEE Trans. Industr. Inform. 2024, 20, 6436–6445. [Google Scholar] [CrossRef]
- Zhou, B.; Tang, G.; Luo, Y. Dynamic Modeling and Analysis of Demagnetizing Rotor of Permanent Magnet Synchronous Motor. Shock Vib. 2021, 2021, 6622851. [Google Scholar] [CrossRef]
- Bifeng, Z.; Guoning, T.; Yiping, L. Dynamics modeling and analysis of the permanent-magnet synchronous motors bearing-rotor-magnetic field under rotor demagnetize. Adv. Mech. Eng. 2021, 13, 16878140211025413. [Google Scholar] [CrossRef]
- Chen, Z.; Liu, Y. Sensorless control of marine permanent magnet synchronous propulsion motor based on adaptive extended Kalman filter. Front. Energy Res. 2022, 10, 1037595. [Google Scholar] [CrossRef]
- Yang, G.; Jiang, X.; Lv, S. Model Predictive Direct Torque Control of Permanent Magnet Synchronous Motor (PMSM) with Online Parameter Estimation Based on Extended Kalman Filter. Int. J. Commun. Netw. Syst. Sci. 2022, 15, 79–93. [Google Scholar] [CrossRef]
- Dong, Q.; Wang, B.; Xia, L.; Yu, Y.; Tian, M.; Xu, D. Optimized Field-Weakening Operation of PMSM Modulated Model Predictive Control Using Predictive Current Error Margin. IEEE Trans. Energy Convers. 2024, 39, 613–624. [Google Scholar] [CrossRef]
- Mynar, Z.; Vesely, L.; Vaclavek, P. PMSM Model Predictive Control with Field-Weakening Implementation. IEEE Trans. Ind. Electron. 2016, 63, 5156–5166. [Google Scholar] [CrossRef]
Disclaimer/Publisher’s Note: The statements, opinions and data contained in all publications are solely those of the individual author(s) and contributor(s) and not of MDPI and/or the editor(s). MDPI and/or the editor(s) disclaim responsibility for any injury to people or property resulting from any ideas, methods, instructions or products referred to in the content. |
© 2026 by the authors. Licensee MDPI, Basel, Switzerland. This article is an open access article distributed under the terms and conditions of the Creative Commons Attribution (CC BY) license.











































