Optimization and Tradespace Analysis of a Classic Machine—A Street Clock Movement Study
Abstract
1. Introduction
2. Optimization and Tradespace Exploration
3. Design Analysis of a Classic Machine
3.1. Classic Mechanical Movement
3.2. Mathematical Model
3.3. Performance Metrics—Quality Factor, Accuracy, and Bending Stress
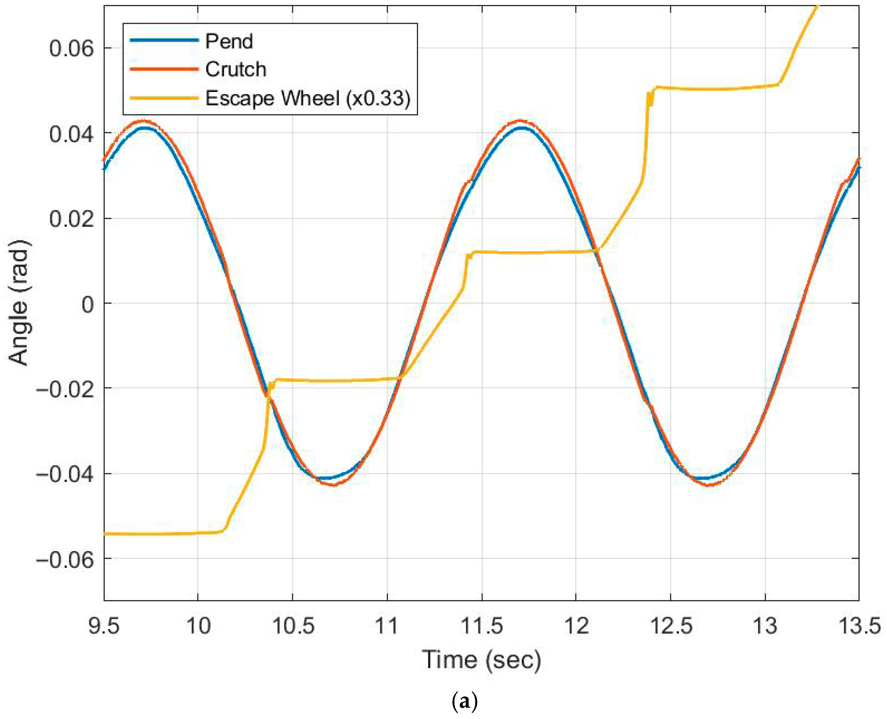
3.4. Experimental Testing and Model Validation
3.5. Multiple Objective Optimization Results
3.6. Tradespace Exploration Results
4. Machine Design Observations
5. Conclusions
- (i)
- Integration of dynamic modeling with multi-objective optimization for classical machine design. The incorporation of an analytical nonlinear model, experimental data for model validation, and optimization algorithm created a single digital engineering workflow to support the street clock movement’s redesign effort.
- (ii)
- Tradespace exploration offers decision-making insights for mechanical design often unavailable from single-solution optimization. The tradespace analysis identifies the Pareto Frontier plus demonstrated solutions within acceptable tolerances. This design space approach illustrated trade-offs between mass reduction, stress limits, efficiency, and time accuracy. Note that traditional design–build–test cycles cannot offer this capability.
- (iii)
- The digital design thread accelerates the design process and reduces iterative physical prototyping. The shift from prototype build to virtual model-driven decision-making can quicken the design cadence per Figure 2. The validated model, optimization, and tradespace tools significantly reduced iteration cost, demonstrating advantages of a model-driven, data-supported process over designs rooted in accumulated empirical knowledge and craftsmanship over centuries.
- (iv)
- Demonstratable, measurable performance improvements are possible for systems refined through centuries of empirical craftsmanship using digital engineering strategies. The core clock performance metrics—including period accuracy, quality factor, and maximum bending stress—can be satisfied while reducing total pendulum system mass by 1.4% and gear thickness by 50.3%.
Author Contributions
Funding
Data Availability Statement
Conflicts of Interest
Nomenclature
| Effective pendulum bob and rod aerodynamic surface area ( | |
| Tooth width (m) | |
| Viscous damping coefficient of escape wheel () | |
| Damping coefficient of pendulum () | |
| Bi | ith best objective function spatial location |
| BG | Objective function graph to identify best point |
| CG | Center of gravity |
| Drag coefficient | |
| Distance from pivot to end cap (m) | |
| Euclidean distance | |
| Energy loss during one swing period (J) | |
| Energy stored in the system during one swing period (J) | |
| f0 | Frequency of pendulum (Hz) |
| f() | Objective function |
| Different elements in objective function | |
| Location on ith function graph | |
| Air drag force acting on pendulum (N) | |
| g | Gravity () |
| Equality constraints for optimization | |
| Pendulum bob cylinder height (m) | |
| Inequality constraints for optimization | |
| i | ith element in the design vector |
| j | jth element in the equality constraints |
| Escape wheel moment of inertia (N m2) | |
| Pendulum moment of inertia (N m2) | |
| k | kth element in the inequality constraints |
| ki | ith scaling factor |
| L | Length of pendulum rod (m) |
| Effective pendulum length (m) | |
| Pendulum bob mass (kg) | |
| End cap with fasteners mass (kg) | |
| Cylinder mass (kg) | |
| Discontinuity in pendulum rod geometry mass (kg) | |
| Gear mass (kg) | |
| Hour hand mass (kg) | |
| Minute hand mass (kg) | |
| Pendulum rod mass (kg) | |
| Total pendulum rod and bob mass (kg) | |
| N | Number of gear teeth |
| Number of jth gear’s teeth on ith arbor | |
| Diametral pitch () | |
| Distance from pallet to pivot (m) | |
| Quality factor | |
| Desired quality factor for optimization | |
| Radius of Arbor A–Gear 1 | |
| Radius of winding drum (m) | |
| Pendulum bob’s hollow cylinder outer radius (m) | |
| Pendulum bob’s hollow cylinder inner radius (m) | |
| Radius of end cap (m) | |
| Radius of escape wheel (m) | |
| Hour hand radial distance to CG (m) | |
| Minute hand radial distance to CG (m) | |
| Pitch radius (m) | |
| Pendulum rod radius (m) | |
| Gear train ratio | |
| R’ | Train ratio for partial gear sets |
| t | Time (s) |
| T | Period (s) |
| Hollow cylinder thickness (m) | |
| Desired period for optimization (s) | |
| Applied torque on escape wheel (N m) | |
| Impulsive torque (N m) | |
| Load torque due to hands (N m) | |
| Pinion shaft torque (N m) | |
| Torque of winding drum (N m) for hanging weight | |
| v | Volume (m3) |
| External hanging weight (N) | |
| Tooth tangential force (N) | |
| Design vector | |
| Factory configured design vector | |
| Design variable set with optimized values | |
| Best design variables per Euclidean distances | |
| xi | ith design variable |
| Upper limit for design variable | |
| Initial guess for design variables | |
| Lower limit for design variable | |
| Design variable set with initial values | |
| Optimization step size | |
| Lewis Form Factor | |
| Percent solid material on gear wheel | |
| τ | Time constant (s) |
| Angular position of escapement wheel (rad) | |
| Angular position of pendulum (rad) | |
| Escape wheel angular speed (rad) | |
| Entry angular limit for impulse (rad) | |
| Exit angular limit for impulse (rad) | |
| Angle between escape wheel and impulse face contact point (rad) | |
| Bending stress (N) | |
| Maximum bending stress (N) | |
| Density of air () | |
| Density of pendulum cylinder () | |
| Density of gear () | |
| Density of clock hands () | |
| Density of pendulum rod () | |
| Gear scaling factor for spokes | |
| ∆t | Integration time step (s) |
| ∆x | Difference in design vector solutions |
Appendix A. Inline Function Escapement Impulse Logic


References
- Gerschütz, B.; Sauer, C.; Kormann, A.; Nicklas, S.J.; Goetz, S.; Roppel, M.; Tremmel, S.; Paetzold-Byhain, K.; Wartzack, S. Digital Engineering Methods in Practical Use During Mechatronic Design Processes. Designs 2023, 7, 93. [Google Scholar] [CrossRef]
- Rowell, F.; Schweisinger, T.; Wagner, J. Exploration of Collaborative Design Spaces: Student Engineering Interactions and Workflow in Product Development. In ASEE Southeast Regional Conference, Starkville, MS, USA, 9–11 March 2025; Mississippi State University: Starkville, MS, USA, 2025. [Google Scholar] [CrossRef]
- Yilmax, N.; Bae, H.D. Integration of Digital Tools for Engineering Design, Analysis and Optimization. In American Society for Engineering Education, Montreal, QC, Canada, 7 November 2020; ASEE Conferences: Washington, DC, USA, 2020. [Google Scholar]
- Xu, X.; Lu, Y.; Vogel-Heuser, B.; Wang, L. Industry 4.0 and Industry 5.0—Inception, Conception and Perception. J. Manuf. Syst. 2021, 61, 530–535. [Google Scholar] [CrossRef]
- Manvi, P.; Griffith, K.; Suber, D.; Turner, C.; Castanier, M.P.; Wagner, J. Validation of Product Requirements—Specifications Using Field Data and Next Generation Vehicle Design Strategy Using a Calibrated Digital Twin. In SAE WCX Conference; 2025-01-8344; SAE International: Detroit, MI, USA, 2025. [Google Scholar]
- Afifi, N.; Wittig, C.; Paehler, L.; Lindenmann, A.; Wolter, K.; Leitenberger, F.; Dogru, M.; Grauberger, P.; Düser, T.; Albers, A.; et al. Data-Driven Methods and AI in Engineering Design: A Systematic Literature Review Focusing on Challenges and Opportunities. arXiv 2025, arXiv:2511.20730. [Google Scholar] [CrossRef]
- Singh, V.; Willcox, K.E. Engineering Design with Digital Thread. AIAA J. 2018, 56, 4515–4528. [Google Scholar] [CrossRef]
- Singh, V.; Willcox, K.E. Decision-Making Under Uncertainty for a Digital Thread-Enabled Design Process. J. Mech. Des. 2021, 143, 081704. [Google Scholar] [CrossRef]
- Pasquariello, A.; Bouhali, I.; Leherbauer, D.; Abdeljabbar, N.; Mhenni, F.; Patalano, S. Model-Based Systems Engineering for Digital Twin System Development Applied to an Aircraft Seat Test Bench. IEEE Access 2025, 13, 71911–71930. [Google Scholar] [CrossRef]
- Martins, J.R.R.A.; Lambe, A.B. Multidisciplinary Design Optimization: A Survey of Architectures. AIAA J. 2013, 51, 2049–2075. [Google Scholar] [CrossRef]
- Rao, S.S. Engineering Optimization: Theory and Practice; John Wiley & Sons: Hoboken, NJ, USA, 1996. [Google Scholar]
- Venter, G. Review of Optimization Techniques. In Encyclopedia of Aerospace Engineering, Systems Engineering, Optimization Techniques and Applications; John Wiley & Sons: Hoboken, NJ, USA, 2010. [Google Scholar] [CrossRef]
- Sioshansi, R.; Conejo, A.J. Optimization in Engineering—Models and Algorithms; Springer: New York, NY, USA, 2017. [Google Scholar]
- Safavi, E. Collaborative Multidisciplinary Design Optimization. Linkoping Studies in Science and Technology. Licentiate Thesis, Linkoping University, Linkoping, Sweden, 2013. [Google Scholar]
- Chattopadhyay, D.; Ross, A.M.; Rhodes, D.H. A Practical Method for Tradespace Exploration of Systems of Systems. In Proceedings of the AIAA Space Conference, Pasadena, CA, USA, 14–17 September 2009. [Google Scholar]
- Harris, J.C.; Fenwick, S.V. The Application of Pareto Methods to Multi-Disciplinary Design Optimization. Aeronaut. J. 2001, 105, 329–334. [Google Scholar] [CrossRef]
- Ross, A.; Hastings, D.E. The Tradespace Exploration Paradigm. In INCOSE International Symposium; Wiley on behalf of the International Council on Systems Engineering (INCOSE): Rochester, NY, USA, 2005; Volume 15. [Google Scholar] [CrossRef]
- Sutton, M.; Daniels, J.; Masoudi, N.; Gorsich, D.; Turner, C. Approaches for Exploration, Analysis, and Visualization of Tradespace for Engineering Decision-Making. In Proceedings of the International Design Society, Engineering Design Practice, Washington, DC, USA, 20–23 May 2024; Volume 4, pp. 3023–3032. [Google Scholar] [CrossRef]
- Denny, M. The Pendulum Clock: A Venerable Dynamical System. Eur. J. Phys. 2002, 23, 449–458. [Google Scholar] [CrossRef]
- Bartky, I.R. Selling the True Time. In Nineteenth Century Timekeeping in America; Stanford University Press: Stanford, CA, USA, 2000. [Google Scholar]
- Wagner, J.; Huey, C.; Knaub, K.; Volk, E.; Jagarwal, A. Modeling and Analysis of a Weight Driven Mechanical Tower Clock. In American Controls Conference, Baltimore, MD, USA, 30 June–2 July 2010; WeA18.3; IEEE: New York, NY, USA, 2010. [Google Scholar]
- Bernstein, D. Feedback Control: An Invisible Thread in the History of Technology. IEEE Control Syst. Mag. 2002, 22, 53–68. [Google Scholar] [CrossRef]
- Kesteven, M. On the Mathematical Theory of Clock Escapements. Am. J. Phys. 1978, 46, 125–129. [Google Scholar] [CrossRef]
- Baker, G.; Blackburn, J. The Pendulum—A Case Study in Physics; Oxford University Press: Oxford, UK, 2005. [Google Scholar]
- Nawrodt, R.; Zimmer, A.; Koettig, T.; Schwarz, C.; Heinert, D.; Hudl, M.; Neubert, R.; Thurk, M.; Nietzsche, S.; Vodel, W.; et al. High Mechanical Q-factor Measurements on Silicon Bulk Samples. J. Phys. Conf. Ser. 2008, 122, 012008. [Google Scholar] [CrossRef]
- El-Halwagi, M. Overview of Optimization. Process Syst. Eng. 2006, 7, 285–314. [Google Scholar]
- Daniels, J.; Turner, C.; Wagner, J.; Masoudi, N.; Agyemang, M.; Hartman, G.; Rizzo, D.; Gorsich, D.; Skowronska, A.; Agusti, R. Designing the Design Space: Evaluating Best Practices in Tradespace Exploration, Analysis and Decision-Making. SAE Int. J. Adv. Curr. Pract. Mobil. 2002, 4, 1344–1359. [Google Scholar] [CrossRef]
- Rawlings, A.L. Science of Clocks & Watches; British Horological Institute: Newark-on-Trent, UK, 1993. [Google Scholar]
- Schwartz, C.; Gran, R. Describing Function Analysis Using Matlab and Simulink. IEEE Control Syst. Mag. 2001, 21, 19–26. [Google Scholar][Green Version]
- Sharma, K.; Singh, A.P. Optimization of Gear and Bending Stress Analysis. J. Emerg. Technol. Innov. Res. JETIR 2022, 9, 585–590. [Google Scholar]
- Gallager, K.; Sambridge, M. Genetic Algorithms: A Powerful Tool for Large-Scale Nonlinear Optimization Problems. Comput. Geosci. 1994, 20, 1229–1236. [Google Scholar] [CrossRef]
- Pandey, H.; Chaudhary, A.; Mehrotra, D. A Comparative Review of Approaches to Prevent Premature Convergence in GA. Appl. Soft Comput. 2014, 24, 1047–1077. [Google Scholar] [CrossRef]
- Ross, A.M.; Fitzgerald, M.E.; Rhodes, D.H. Interactive Evaluative Model Trading for Resilient Systems Decisions. In Proceedings of the 14th Conference on Systems Engineering Research, Huntsville, AL, USA, 22–24 March 2016; pp. 22–24. [Google Scholar]
- Nargundkar, A.; Kulkarni, A.J. A Comprehensive Review of Goal Programming Problems and Constraint Handling Approaches. In Handbook of Formal Optimization; Springer: Singapore, 2023. [Google Scholar]
- Salado, A. Defining Better Test Strategies with Tradespace Exploration Techniques and Pareto Fronts: Application in an Industrial Project. Syst. Eng. 2015, 18, 639–658. [Google Scholar] [CrossRef]
- Salado, A. Tradespace Exploration for Better Verification Strategies; Acquisition Research Program Sponsored Report; Naval Postgraduate School: Monterey, CA, USA, 2018; Available online: https://hdl.handle.net/10945/61892 (accessed on 10 January 2025).
- Ross, A. Managing Unarticulated Value: Changeability in Multi-Attribute Tradespace Exploration. Ph.D. Thesis, Massachusetts Institute of Technology, Engineering Systems Division, Cambridge, MA, USA, 2006. [Google Scholar]
- Mistree, F.; Smith, W.; Bras, B. A Decision-based Approach to Concurrent Engineering. In Handbook of Concurrent Optimization; Chapman and Hall: New York, NY, USA, 1993; pp. 127–158. [Google Scholar]
- Petroski, H. To Engineer Is Human: The Role of Failure in Successful Design; Vintage Books: New York, NY, USA, 1992. [Google Scholar]
- Womack, J.P.; Jones, D.T.; Roos, D. The Machine That Changed the World: The Story of Lean Production; Harper Perennial: New York, NY, USA, 1990. [Google Scholar]
- Shelley, F. Early American Tower Clocks; NAWCC: Columbia, PA, USA, 2015. [Google Scholar]











| Symbol | Value | Units | Symbol | Value | Units |
|---|---|---|---|---|---|
| 2933 | 93 | mm | |||
| 8.4 | mm | 31.86 | mm | ||
| 0.00318 | 36.70 | mm | |||
| 8.0 | mm | 31.90 | mm | ||
| 0.8 | - | 36.70 | mm | ||
| 0.857 | m | 34.95 | mm | ||
| 1.20 | m | 254 | mm | ||
| 9.81 | 381 | mm | |||
| 0.3238 | m | 90.0 | mm | ||
| 0.01 | N | 4.30 | mm | ||
| 1 | 4.80 | mm | |||
| 0.1 | - | 2.0 | sec | ||
| 100 | 0 | N m | |||
| 1 × 10−7 | W | 66.7; 155.7 † | N | ||
| 1.2 | m | 1.3 | |||
| 1.00 | m | 1.14 | |||
| 3.22; 12.7 † | kg | 1.0 | |||
| 0.304 | kg | 40 | |||
| 0.289 | kg | 34.8 | |||
| 2.63 | kg | 30 | |||
| 0.250 | kg | 0.40 | |||
| 0.383 | kg | 0.32 | |||
| 0.52 | kg | 0.30 | |||
| 0.78 | kg | 10.0 | |||
| 0.797 | kg | 8.0 | |||
| 4.40 | kg | 6.0 | |||
| 128 | teeth | Y | 0.34 | - | |
| 16 | teeth | 0.20 | - | ||
| 112 | teeth | 1.225 | |||
| 14 | teeth | 7850 | |||
| 90 | teeth | 8400 | |||
| 12 | teeth | 510 | |||
| 30 | teeth | 7850 | |||
| 711.11 | 75 | MPa | |||
| 41 | mm | 0.26 | rads | ||
| 4000 | - | 0.0145 | rads | ||
| R* | 1/480 | - | −0.0087 | rads | |
| R’ | 1/60 | - | 0.04 (2.3 deg) | rads |
Disclaimer/Publisher’s Note: The statements, opinions and data contained in all publications are solely those of the individual author(s) and contributor(s) and not of MDPI and/or the editor(s). MDPI and/or the editor(s) disclaim responsibility for any injury to people or property resulting from any ideas, methods, instructions or products referred to in the content. |
© 2026 by the authors. Licensee MDPI, Basel, Switzerland. This article is an open access article distributed under the terms and conditions of the Creative Commons Attribution (CC BY) license.
Share and Cite
Manvi, P.; Xu, Y.; Moline, D.; Turner, C.; Wagner, J. Optimization and Tradespace Analysis of a Classic Machine—A Street Clock Movement Study. Machines 2026, 14, 136. https://doi.org/10.3390/machines14020136
Manvi P, Xu Y, Moline D, Turner C, Wagner J. Optimization and Tradespace Analysis of a Classic Machine—A Street Clock Movement Study. Machines. 2026; 14(2):136. https://doi.org/10.3390/machines14020136
Chicago/Turabian StyleManvi, Pranav, Yifan Xu, David Moline, Cameron Turner, and John Wagner. 2026. "Optimization and Tradespace Analysis of a Classic Machine—A Street Clock Movement Study" Machines 14, no. 2: 136. https://doi.org/10.3390/machines14020136
APA StyleManvi, P., Xu, Y., Moline, D., Turner, C., & Wagner, J. (2026). Optimization and Tradespace Analysis of a Classic Machine—A Street Clock Movement Study. Machines, 14(2), 136. https://doi.org/10.3390/machines14020136

