Abstract
Graph data and multi-sensor information fusion have been integrated into the abnormal vibration type classification and the identification of the rolling mill for extracting spatial–temporal and robust features. However, most of the existing deep learning (DL) based methods exploit only single sensor information and Euclidean space data, which results in incomplete information contained in the features extracted by in-depth networks. To solve this issue, a multi-sensor information fusion with multi-scale adaptive graph convolutional networks (M2AGCNs) framework is proposed to model graph data and multi-sensor information fusion in a unified in-depth network and then to achieve abnormal vibration diagnosis. First, convolutional neural networks (CNNs) were adopted for the deeper features of multi-sensor signals. And then, the extracted features were fed into the proposed feature-driven adaptive graph generation network to build graphs to extract spatial–temporal correlation between multi-sensor data. After that, the multi-scale graph convolutional networks (MSGCNs) were employed to aggregate and enrich several different receptive information to further improve valuable features. Finally, the extracted multi-sensor features were integrated into a unified network to achieve the abnormal vibration type classification and identification of the rolling mill. Meanwhile, we performed horizontal, vertical, and coupled abnormal vibration experiments, and then three different types of studies were conducted to illustrate the superiority and usefulness of this method in the paper and the feasibility of rolling mill abnormal vibration diagnosis. It can be seen from the results that the proposed M2AGCNs can be able to achieve valuable feature extraction effectively from multi-sensor information and to obtain more excellent behavior of the abnormal vibration diagnosis of the rolling mill in comparison with the mainstream methods.
1. Introduction
The rolling mills often work in complex and changing conditions, so there will inevitably occur abnormal vibration during long-term operations [1,2]. The phenomenon of abnormal vibration can cause certain damage to the product and rolling mill components, which will cause damage to the rollers and lead to the rolling mill downtime for maintenance [3,4].
Early abnormal vibration diagnosis methods of the rolling mill mostly belonged to the model-based category, where a state observer or linear and nonlinear physical models are constructed, and then abnormal vibration diagnosis can be achieved by monitoring variations in the residuals. Zhang et al. proposed a multi-channel monitoring coefficients model to diagnose the abnormal vibration [5]. Du et al. designed a dynamic comprehensive model based on the strain gradient elasticity theory to predict vibration [6]. However, these methods are time-consuming and labor-intensive in the face of industrial big data. Recently, with the advancement in sensor technology and the improvement in data storage volume, data-driven machine learning methods have become a research spot due to their powerful nonlinear data extraction and fitting capabilities. Liu et al. introduced an ensemble learning model based on multi-source information to predict abnormal vibration [7]. Lu et al. discussed a data-driven method, such as a neural network-based method and support vector regression, to predict and analyze the vibration of the cold rolling mill [8]. Pan et al. combined modified nonlocal means and modified empirical wavelet transform for data-driven vibration identification [9]. Li et al. proposed an improved hidden semi-Markov model to monitor the health states of the rolling mill [10]. Currently, intelligent diagnosis techniques for rolling mills have made great progress in feature extraction thanks to the boom in deep learning (DL) theory and computational resources [11,12,13,14]. The emerging deep neural networks, such as convolutional neural networks (CNNs), auto-encoders (AEs), deep belief networks (DBNs), recurrent neural networks (RNNs), and long short-term memory (LSTM), can automatically extract features from the original signals. Zhang et al. designed an improved residual network to extract the raw cutting force and vibration signals to achieve the condition monitoring of the rolling mill [15]. Shah et al. suggested the stacked LSTM method to diagnose the health states of mechanical equipment [16]. Xu et al. designed the novel transfer learning framework online to better analyze the health states of the rolling mill [17]. Zhao et al. adopted the advanced signals processing methods and then combined them with multivariate composite multi-scale weighted permutation entropy function (MCMWPE) to locate and identify the health states of the rolling mill [18]. DL methods are designed for Euclidean data, which deal with a regular spatial structure and so cannot easily capture the spatial–temporal relationships between different data. The existence of non-Euclidean graph data cannot be exploited by traditional DL methods because of restrictions in computational criteria and network architecture, thereby greatly limiting the application of DL methods.
To solve the above limitation, graph neural networks (GNNs) have rapidly gained attention due to their wide applications and powerful performance. GNNs can perform DL representation learning by grasping information from input node and structure features as shown in Figure 1. Zhang et al. extracted singular values from original signals which are input to construct graphs to diagnose the health states of the roller bearings [19]. Yang et al. used the spatial–temporal correlation of the data to form graphs for achieving the fault diagnosis of the rotating machinery [20]. Liu et al. introduced and trained a SuperGraph method to extract valuable features of vibration signals to realize fault diagnosis [21].
Figure 1.
The framework of DL-based methods and GNN-based methods.
Multi-sensor information compared with single-sensor information can not only contain redundant and complementary information, but also can produce more robust and reliable state representations of a rolling mill. Multi-sensor information fusion methods can be divided into three types: data-level fusion, feature-level fusion, and decision-level fusion as shown in Figure 2. Herein, data-level fusion integrates raw data from multiple sources, feature-level fusion combines the extracted features to enhance representation, and decision-level fusion aggregates individual decisions to improve the accuracy and robustness of fault diagnosis. Among them, the feature-level fusion method can reduce the amount of data to be processed and then improve the real-time performance after extracting the original multi-sensor signals. Hence, this feature-level fusion method is considered more effective than the other two fusion methods. Liu et al. [22] designed a multi-sensor information fusion diagnosis framework for rolling bearings. The framework fuses the information of different frequency components in multi-sensors utilizing a weighted fusion rule based on fuzzy entropy and performs fault classification with multi-core attentional CNNs based on them. Huo et al. [23] fused thermal imaging with vibration signals for the fault diagnosis of rotating machinery under a strong noise background. Huang et al. [24] presented a residual gated dynamic sparse network to fuse multi-sensor information of gearboxes for identifying their health status.
Figure 2.
The framework of multi-sensor information fusion methods.
Although the DL-based abnormal vibration diagnosis methods combined with multi-sensor information fusion have made great progress in the rolling mill diagnosis field, there are still some limitations and research gaps [25,26,27]. Firstly, traditional operations are easily applied to Euclidean data, but they make it difficult to model graph data in non-Euclidean space. Meanwhile, traditional DL methods make it difficult to extract the spatial–temporal relationships before data. Secondly, the graph generation method for non-Euclidean data is too mechanical to fully capture features from input data. Thirdly, abnormal vibration diagnosis methods on the basis of a multi-sensor data fusion technique present complex and difficult challenges due to the non-stationary properties of fault vibration signals.
To address the above limitations, multi-scale adaptive graph convolutional networks on the basis of a multi-sensor data fusion technique have been proposed for the abnormal vibration diagnosis of the rolling mill. In M2AGCNs, the abnormal vibration labels of the rolling mill and multi-sensor original signals are associated and then modeled through the multi-scale graph convolutional networks (MSGCNs) and adaptive functional graph construction (AFGC) in a unified deep network framework. First, the multi-sensor features are extracted from the input multi-sensor signals using the feature extraction CNNs. After that, an adaptive graph construction layer is introduced to learn the data structure through the features extracted by a CNN and then the graphs are constructed by mining data features and correlations. Then, the MSGCNs can model structural information at different scales of the instance graphs of different sensors and then fuse these multi-scale features to the output. Finally, the feature-level fusion framework is applied to fuse redundant, valuable, and spatial–temporal features by modeling multi-source sensor signals to gain abnormal vibration type classification and the identification of the rolling mill.
The primary contributions of this academic paper can be identified as follows:
- (1)
- The AFGC is designed to build the graphs based on the features extracted by CNNs between multi-sensors, where feature vectors can be converted to an adjacency matrix adaptively.
- (2)
- The MSGCNs contain receptive fields of different scales to enrich the representation features of the original vibration signals under multiple sensors.
- (3)
- The multi-sensor information fusion framework is established for realizing the abnormal vibration diagnosis of the rolling mill, including the corresponding feature fusion functions and general framework output formula.
The rest of this paper can be structured as follows: Section 2 introduces the related works of GNNs. In Section 3, the proposed AFGC, MSGCNs, and the M2AGCNs are illustrated. Section 4 details the architecture and sensor locations of the laboratory equipment of the rolling mill and then shows the information-collecting device. Section 5 introduces the collection process and division method of the experimental datasets and then verifies the superiority and dominance of the proposed method by three case studies of the abnormal vibration of the rolling mill. Then, the discussions of the proposed method is presented in Section 6. Finally, Section 7 depicts the conclusions and forthcoming work under these experiments of this paper.
2. Graph Convolutional Networks (GCNs)
Specifically, the GCNs, as one of the most classical branches of graph neural networks (GNNs), has become gained significant success in the field of DL, which essentially extracts the spatial–temporal features based on graphs by the defined convolution operation, as seen in Figure 3. Hence, the undirected graph is a fundamental component of GCNs. It can be defined as , where V denotes the set of n-vertices, E is the set of edges, expresses the adjacency matrix, and represents the feature matrix of the nodes.
Figure 3.
The classical structure of the GCNs.
The normalized graph Laplacian matrix is introduced by the adjacency matrix, which serves mainly to study the mapping properties of the graph, which can be computed by
where and Λ refers to the matrix of eigenvectors and a diagonal matrix with eigenvalues corresponding to the normalized graph Laplacian L, respectively. D denotes a degree diagonal matrix.
Remarkably, Khan et al. [28] defined the graph convolution operation applied to the Fourier domain of the graph Laplacian to further calculate eigen-decomposition values, which can be expressed as
where θ is the learnable modal parameter.
Next, based on the previous theory, Defferrard et al. [29] proposed the ChebNet by using the K-localized convolution to reduce the computational volume of Equation (2), which can be written as
where denotes the Chebyshev polynomials written by in which and is the 1 and x, respectively. is the refined diagonal matrix, with the largest eigenvalue . represents the Chebyshev coefficient vector.
Finally, Kipf and Welling [30] proposed that K could be designed as one to alleviate the problem of the layer-wise convolution operation and then could be approximated as 2. Hence, Equation (3) can be simplified as
where and represent two free parameters.
Then, to further reduce the number of free parameters, the above equation can be expressed by applying as
Finally, the renormalization trick of is applied to solve the problems of exploding or vanishing gradients and numerical instabilities, and the graph convolutional of the feature maps can be defined as
where denotes the final output and represents the trainable model parameters. and denotes the and .
3. The Proposed Method
3.1. Adaptive Functional Graph Construction (AFGC)
Functional connectivity is innovatively constructed based on the dependencies or correlations of the features extracted by the CNNs. Time-frequency relationships [20] and feature distances [31] are the two dominant methods to determine the constructions of the graph. However, these methods can only generate graphs for specific-sensor data and lack self-learning and generalization capabilities. Second, their node relationships are represented inadequately due to the manual intervention. Hence, we propose a new feature-driven graph construction method for adaptive functional connectivity. The feature-driven method can adaptively construct the graphs for data with different sensors based on different fault features between the nodes as shown in Figure 4. The specific expression of the AFGC is explained as follows.
Figure 4.
The adaptive graph construction method.
Given the features extracted by the embedding layer, we then define an adaptive connection function to represent the adjacency matrix based on the nodes and . We implement the over the weight layer containing the learnable parameter . We form the new adaptive adjacency matrix as follows:
where denotes a sigmoid activation function to guarantee that is nonlinear and non-negative. The operation is adopted to normalize the to improve the parameter training speed.
We designed the new loss function to update the learnable weight vector w by minimizing it, which can be written as
where λ and β are the weight and sparsity parameters. The former term denotes the weight connections between the nodes of graph and the latter term means the regularization.
3.2. Multi-Scale Graph Convolutional Networks (MSGCNs)
The main idea of the MSGCNs is to contain the multi-scale receptive fields to aggregate and enrich several different information of the original features. The aggerate process of the MSGCNs is displayed in Figure 5, assuming that the node feature , where m is the number of nodes and n denotes the features.
Figure 5.
The framework of the MSGCNs.
The MSGCNs first execute multiple spectral convolution operations through different receptive sizes (e.g., r = 1, 2, …, l is applied in this paper), and then fuse and stack the features extracted by different receptive sizes to obtain more complementary and powerful feature representations. Therefore, the operation process of the MSGCNs can be defined as
where H denotes the fused multi-scale features, means the activation function named rectified linear unit (ReLU), is the concatenation algorithm, and l represents the number of the multiple receptive sizes. are the learnable parameters of the MSGCNs. denote the different spectral convolutional kernel sizes. represent the kth-order Chebyshev polynomials in the Laplacian spectral domain.
3.3. Multi-Sensor Information Fusion Framework
Compared with single-sensor data, the advantage of multi-sensor data is that they often comprise more valuable, robust, and complementary data about the abnormal vibration of the rolling mill. Meanwhile, multi-sensor data can also improve the accuracy of the diagnosis models to improve the reliability and confidence of the model decision and enhance the generalization and adaptability. Hence, performing discriminative feature extraction is a very essential step in the multimodal data field. We adopted adaptive graph construction for multi-source sensors, and then used different MSGCNs for different graphs to extract multi-scale features, respectively. Finally, the proposed M2AGCNs fused the features extracted from different MSGCNs at the feature level to implement multi-sensor feature fusion by the original signals. Most importantly, compared to the other fault diagnosis methods, the proposed MSAGCNs can not only extract multi-scale and multi-level features of data in non-Euclidean space, but also realize the multi-spatial information fusion from multi-source sensors. The multi-sensor information processing frame can be shown in Figure 6.
Figure 6.
The multi-sensor information fusion framework.
The proposed MSGCNs are used to process the multi-sensor data and then extract reliable, overall, and powerful features to fusion and then obtain the desired classification and identification of the abnormal vibration results of the rolling mill based on the resulting features. First, the forward learning process of the proposed M2AGCNs is composed of the individual features extracted by the different MSGCNs in the early stage, which can be defined as
where x denotes the original single signals, and θ represents the learnable model parameters.
Then, the feature-level fusion (FF) layer is employed to process the original signals for further fusing the different features extracted from the different MSGCNs, which can be expressed as follows:
where θ means the FF layer parameter.
Then, to extract and learn deeper and abstract features further, the output of the FF layer is fed into the fully connected (FC) layer as the input, which can be expressed as
where θ means the FC layer learning parameter.
Next, the final feature vectors are obtained and input into the classification layer, and the outcome of the proposed M2AGCNs through the Soft-max function is described as
where means the output of the whole framework, and K denotes the number of categories of abnormal vibration types.
The essence of the forward propagation is to fuse the different features obtained from multi-sensor signals and then to output the abnormal vibration diagnosis results of the rolling mill. Finally, the parameters of the proposed M2AGCNs can be updated iteratively by the following defined loss function, thus it can be written as
where z means the true abnormal vibration type and m is the sample number.
The M2AGCN method for detecting the abnormal vibration types of the rolling mill is shown in this section. Figure 7 demonstrates the entire process from data acquisition to final vibration recognition and then complies with the following steps provided in this paper.
Figure 7.
The overall framework of this paper. Herein, the yellow block shows the rolling mill experimental platform. The green block represents the locations of multi-sensor and data acquisition and processing systems. The blue block indicates the overall framework of the proposed method. The pink block describes the visualization results.
Step 1: First, we locate multiple sensors I~VI on the rolling mill stand and three case studies are then conceived in order to produce different abnormal vibration types.
Step 2: Second, we use the data acquisition system to collect multi-sensor signals of the abnormal vibration of different locations based on the rolling mill.
Step 3: After that, the whole parameters of the proposed M2AGCN method are trained and updated in order to learn robust and valuable multiple features through the multiple signals.
Step 4: Next, through three abnormal vibration case studies, we evaluate the suggested M2AGCNs compared with the state-of-the-art (SOTA) methods based on different types of abnormal vibration of the rolling mill and then show the effectiveness and advancement of this method in this paper.
4. Rolling Mill Laboratory Equipment and Information Collecting Device
The abnormal vibration signals were collected by multiple accelerometers from a rolling mill laboratory equipment, which includes two backup rollers of 120 mm and two work rollers of 60 mm, respectively, as shown in Figure 8. The rolling mill experimental platform contains three key components: (i) an experimental bench, which comprises four main parts—a rolling mill, a planetary gearbox, a reduction gearbox, and a driving motor; (ii) a multi-sensor information-collecting device as exhibited in Figure 8b; and (iii) a computer console as seen in Figure 8c.
Figure 8.
Rolling mill vibration experimental platform. (a) rolling mill experimental platform (b) multi sensor information data acquisition system (c) control platform.
To fully acquire multiple complementary and redundant vibration signals from six sensors, we designed the arrangements of the sensors in detail. The elaborate sketch of the rolling mill and the specific placements of multi-source sensors are displayed in Figure 9.
Figure 9.
The sketch of the rolling mill and the detailed locations of sensors.
Various sensors are mounted in the Y-direction at different locations on the rolling mill stand to acquire various vibration signals. It can be seen that Sensor I is located at the lateral shaft end seat of the upper backup roller; Sensor II is situated at the side-end of the upper work roll to further collect original signals; Sensor III is located outside the bearing of the lower work roller. Sensor IV is located on the outer side of the rolling mill stand of the lower backup roll. Sensors V and VI are located on the outer side of the upper and lower part of the rolling mill frame, respectively.
Figure 10 displays a diagram of the actual installation of several sensors, the collection process of the multi-sensor data, and the treatment procedure. In addition, the signal waveforms of the sensor data are simultaneously visualized on the on-site computer, while the information is recorded in digital storage.
Figure 10.
The information collection process.
5. Case Study
5.1. Experimental Designs and Data Processing
The various abnormal vibration experiments of the rolling mill were performed in December 2023 and then the collection process lasted for two months. The sampling frequency of all the sensors was set as 10,240 Hz. Then, the multi-sensor signals collection process could be divided into three parts: (1) horizontal abnormal vibration, (2) vertical abnormal vibration, and (3) coupling abnormal vibration. We added two shakers on the base in the radial and axial ends of the stand of the rolling mill laboratory equipment to excite the stand vibration. In other words, they are employed to model the horizontal abnormal vibration, vertical abnormal vibration, and coupling abnormal vibration produced by the rolling process in a real environmental condition, as shown in Figure 11. Meanwhile, the process of collecting multi-sensor signals for the three different case studies is the same. The speed of the rollers used to collect the multi-sensor signals was set at 600 rpm, as this speed was chosen to simulate the operating conditions typical of the rolling mill. The multi-sensor signals collected for these case studies lasted ten seconds, a duration chosen to capture sufficient data for fault analysis while accounting for the operational constraints of the rolling mill.
Figure 11.
The two shakers.
The multi-sensor signals collected from three case studies are normalized using the Z-score normalization technique. Next, the original vibration signals are divided and segmented using a sliding window length of 1024 to form subsamples without overlap. The proposed method and SOTA methods are written in Python 3.8, and then three case studies are carried out on a Windows 11 operating system, an Intel I7-11800H CPU (Intel, Santa Clara, CA, USA), a GeForce RTX 1060 GPU (NVIDIA, Santa Clara, CA, USA), and a Pytorch machine learning framework.
5.2. Case Study 1: Horizontal Abnormal Vibration
In this case study, four abnormal vibration types (i.e., 1, 10, 30, and 50 Hz) are stimulated by the axial shaker. At the same time, two load pressures (i.e., 0 and 1) are designed and then each workload can be regarded as a working state. Therefore, for vibration types combined with load pressures, there are eight types of rolling mill abnormal vibration conditions in total. Next, there are 500 samples for each rolling mill’s abnormal vibration type and then 2000 samples in total for each working condition. In addition, 80% of the samples were randomly selected in each rolling mill abnormal vibration condition as the training dataset and the remaining 20% were used as the testing set. Consequently, for each rolling mill’s abnormal vibration condition, a total of 400 samples were used for training the methods and 100 samples for testing to evaluate the methods. Specifically, the detailed description of the number of training and testing samples of the single sensor can be described in Table 1.
Table 1.
Rolling mill health state datasets under the horizontal abnormal vibration.
The time domain diagrams of the multi-sensor signals under the horizontal abnormal vibration frequency of 30 Hz and 0 load can be partly shown in Figure 12.
Figure 12.
The multi-sensor signals under the horizontal abnormal vibration.
To further sufficiently illustrate the superiority of the proposed method M2AGCNs for abnormal vibration diagnosis tasks, six SOTA methods are introduced and implemented. It is noteworthy that the network learning rate of our proposed method is designed as 0.001, and the training epochs are determined at 300. Meanwhile, the MSGCNs consist of two multi-scale graph convolutional layers, with the filters set to (256, 1200) and (1200, 300), respectively. The batch size is 64 and the momentum is 0.999. Each method was run 10 times to ensure the reliability and stability of the results. The brief descriptions of these mainstream methods can be summarized below:
- (1)
- SAE-DBNs [32]: Two-layer SAEs are employed to extract shallow features and then the fused features are input to the DBNs to produce results.
- (2)
- MPCNNs [33]: The multi-channel parallel convolutional neural network combined with the attention mechanism based on the number of sensors can be constructed to perform the rolling bearing fault diagnosis. The number of neurons in the two convolutional layers is set to 64 and 32, respectively. The batch size and maximum epochs are configured as 64 and 50, respectively.
- (3)
- 1DLSTMs [34]: The one-dimension convolutional LSTMs are proposed to capture the spatial–temporal features of multi-sensor signals to diagnose the bearings. This 1DLSTM is composed of three one-dimensional convolutional layers, one fully connected layer, one output layer, and three LSTM layers. Herein, the kernel stride of the three convolutional layers is set to (16, 1, 1), and the number of nodes in the three LSTM layers is configured as (256, 128, 64). Specifically, the batch size is set to 128, and the dropout rate is 0.5.
- (4)
- Mix-VAEs [35]: The mixture of Gaussians and variational autoencoders (VAEs) are combined to capture multi-source features to achieve fault diagnosis. The Mix-VAEs architecture consists of four one-dimensional convolutional layers, four pooling layers, and one fully connected layer. The rectified linear unit (ReLU) is used as the activation function. The learning rate and momentum are set to 0.1 and 0.8, respectively. Additionally, the trade-off parameters for reconstruction loss and weight loss are set to 1 and 0.01, respectively.
- (5)
- MSICNNs [36]: The improved one-dimension CNNs and two-dimension CNNs are adopted to extract multi-source heterogeneous information (acoustic signals and vibration signals) to achieve the health state diagnosis of the rolling mill. The learning rate is set to 0.001, and the training process is conducted for 300 epochs. MSICNNs consist of six convolutional layers, four pooling layers, one dropout layer, and one output layer.
- (6)
- MSIDBNs [37]: The improved DBNs are proposed to sufficiently exploit the useful information from individual sensors, and then the MSIDBNs are employed to extract and fuse multi-sensor signals for health states classification of rolling mill. The network learning rate of MSIDBNs is set to 0.001, with a total of 300 training epochs. MSIDBNs consist of three improved RBMs, with network parameters set to 512, 256, and 128, respectively.
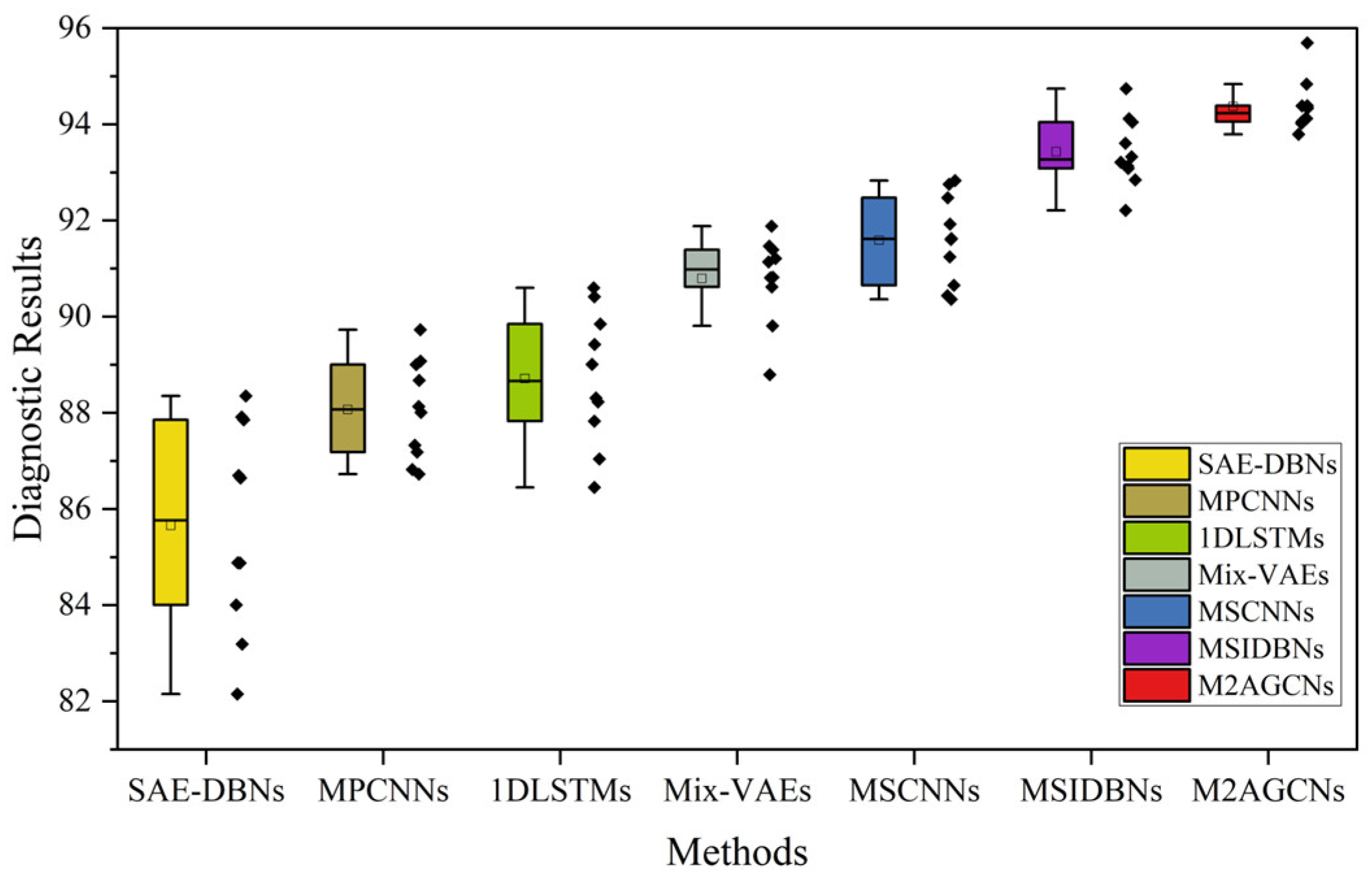
The diagnosis result and their corresponding bar chart of all the methods are demonstrated in Table 2 and Figure 13. From the horizontal abnormal vibration diagnosis results, it can be observed that the SAE-DBN method reveals the poorest diagnosis performance, with only 85.374% diagnosis accuracy. And then, the diagnosis performance of the MPCNN method only improves on the former method by 2.518% to 87.892%. This indirectly confirms the phenomenon that traditional DL methods do not achieve satisfactory diagnosis results by simply stacking. Compared with the former methods, the 1DLSTM and Mix-VAE methods achieved diagnosis performance of 89.433% and 90.628%, respectively. Though these two methods combined with other mathematics techniques can boost the recognition performance of the methods to some extent, the performance can not guarantee the safety requirements. Next, the MSCNNs and MSIDBNs can improve the underlying structure of the methods and thus improve the valuable feature extraction of multi-sensor signals and their diagnosis results are 91.439% and 93.542%, respectively. However, they cannot extract the spatial–temporal features and correlations of multi-sensor signals, and thus fail to further improve the model performance. Finally, the proposed M2AGCNs achieved optimal performance; the proposed M2AGCNs can exhibit a comparatively constant property with an average diagnosis accuracy of 94.254%. This substantiates the superiority of the proposed method in the horizontal abnormal vibration diagnosis tasks.
Table 2.
The detailed diagnosis results under the horizontal abnormal vibration.
Figure 13.
The avg-acc (%) box plot under the horizontal abnormal vibration.
To further research the classification accuracy of horizontal abnormal vibration diagnosis, the confusion matrix of the diagnosis results for different methods can be shown in Figure 14. In contrast, the proposed M2AGCNs maintain a high classification level, achieving a recognition accuracy of over 90% on each abnormal vibration.
Figure 14.
The confusion matrix of the diagnosis results for the horizontal abnormal vibration of the rolling mill.
To present the identification of each health state more visually, the features extracted by each method at the 8 available labeled samples per class were visualized by the t-distributed stochastic neighbor embedding (t-SNE) technique, as depicted in Figure 15. The different colors and symbols represent different health states. As can be observed, among the features extracted by the proposed M2AGCNs, those originating from different health states tend to diverge more from each other and have less confusion among them. Hence, the proposed M2AGCNs can, thus, learn more discriminative features and accumulate diagnosis knowledge so as to achieve good generalization.
Figure 15.
The visualization results of different methods under the horizontal abnormal vibration.
5.3. Case Study 2: Vertical Abnormal Vibration
In this case study, four different types of vertical abnormal vibration can be tested in the rolling mill. Meanwhile, two different roll load pressures (i.e., 0 and 1) are designed, so each roll load is viewed as the working condition. Hence, each working condition includes four vertical abnormal vibration types (i.e., 1, 10, 30, and 50 Hz). The Z-score normalization technique standardizes the gathered vibration signals of each data file. Subsequently, the same divide technique in Case Study 1 is adopted to intercept the subsamples. Thus, 500 samples are yielded for each health state and then 2000 samples are available for each working condition in total. In addition, 80% of the samples in each working condition are randomly selected as the training set, and the remaining samples are used as the testing set. More specifically, a detailed description of the number of training and testing samples for a single sensor can be described in Table 3.
Table 3.
Rolling mill health state datasets under the vertical abnormal vibration.
The time domain diagrams of the multi-sensor signals under the vertical abnormal vibration frequency of 30 Hz and 0 load can be partly shown in Figure 16.
Figure 16.
The multi-sensor signals under the vertical abnormal vibration.
The diagnosis results of the proposed M2AGCNs and other comparative methods on the vertical abnormal vibration diagnosis task are demonstrated in Figure 17 and Table 4. Since multiple sensors were placed on the axial end stand of the rolling mill, it is more difficult for vertical abnormal vibration diagnosis for the multiple sensors to collect valuable information. As observed, the proposed M2AGCNs still provide more efficient and stable diagnosis performance than the other SOTA methods for the more complex vertical abnormal vibration tasks. The average diagnosis accuracy of the proposed M2AGCNs on the vertical abnormal vibration task was improved by 9.002% and 6.833% over the SAE-DBN method and the MPCNN method, respectively. In contrast to the 1DLSTM and Mix-VAE methods combined with math techniques, the proposed M2AGCNs also achieved a more robust diagnosis performance of abnormal vibration, which rose by 5.394% and 4.292%, respectively. Finally, for the advanced MSCNN and MSIDBN methods, the proposed method can also achieve 91.734% diagnosis accuracy. Most importantly, the proposed method can achieve a high diagnosis performance, which mainly extracts the correlations between multi-sensor data and the multi-scale features.
Figure 17.
The avg-acc (%) box plot under the vertical abnormal vibration.
Table 4.
The detailed diagnosis results under the vertical abnormal vibration.
Afterward, the t-SNE technique was employed to visualize the features extracted when vertical abnormal vibration occurs. The results of the feature visualization are depicted in Figure 18. To reflect the effectiveness of the M2AGCN method and to further visualize the feature extraction capability on the basis of the multi-sensor original signals. It can be observed that the features extracted by these methods except the proposed M2AGCNs cannot distinguish and visualize by t-SNE between the categories of the vertical abnormal vibration diagnosis task. Then, following the extraction of features by the proposed M2AGCNs can be achieved to diagnose the abnormal vibration types.

Figure 18.
The visualized results of the different methods under the vertical abnormal vibration of the rolling mill.
To further reflect the vertical abnormal vibration type classification and identification results, we used the confusion matrix under multi-sensor information of the M2AGCN method, which can be demonstrated in Figure 19. It can be concluded that type 6 of the vertical abnormal vibration has the highest diagnosis performance and type 7 of the abnormal vibration has the lowest diagnosis performance. Meanwhile, all the types of abnormal vibration have satisfactory diagnosis results.
Figure 19.
The confusion matrix of the proposed method under the vertical abnormal vibration.
To further investigate the sensitivity and robustness of the proposed method, receiver operating characteristic (ROC) curves are presented. It is worth noting that the ROC curves are generated from the predicted probability of the model for the sample category and the true label of the sample. The ROC curves of these methods can be shown in Figure 20. It is very clear from the ROC curves that the proposed method achieves a higher area under curve (AUC) with an AUC of about 0.9. This suggests that the proposed M2AGCNs can effectively recognize various health states. Moreover, the micro-average index of 94.79% and the macro-average index of 94.61% further illustrate the stability and sensitivity of the proposed M2AGCNs in industrial diagnosis.
Figure 20.
The ROC of the proposed method under the vertical abnormal vibration of the rolling mill.
5.4. Case Study 3: Coupling Abnormal Vibration
In this case study, four different types of coupling abnormal vibration can be stimulated in the rolling mill. The coupling abnormal vibration is mainly simulated by the excitation of two shakers on the base in the radial and axial ends of the stand of the rolling mill experimental platform at the same time. Meanwhile, two different roll load pressures (i.e., 0 and 1) are designed, so each roll load is viewed as the working condition. Hence, each working condition includes four coupling abnormal vibration types (i.e., 1, 10, 30, and 50 Hz). The Z-score normalization technique standardizes the gathered vibration signals of each data file. Subsequently, the raw vibration signal is segmented with the same divide technique to intercept the subsamples. Thus, 500 samples are yielded for each health state and then 2000 samples are available for each working condition in total. More specifically, a detailed description of the number of training and testing samples for a single sensor can be described in Table 5. The task of diagnosing the coupling abnormal vibration of the rolling mill is the most difficult because of the complexity and variability of coupling abnormal vibration situations and the fact that they are easily confused with other forms of vibration.
Table 5.
Rolling mill health state datasets under the coupling abnormal vibration.
The time domain diagrams of the multi-sensor signals under the coupling abnormal vibration frequency of 30 Hz and 0 load can be partly shown in Figure 21.
Figure 21.
The multi-sensor signals under the coupling abnormal vibration of the rolling mill.
The diagnosis results and graph under the coupling abnormal vibration can be represented in Table 6 and Figure 22. Facing the hardest abnormal vibration diagnosis, it can be noted that the proposed M2AGCNs increased by 8.94% over the lowest-performance SAE-DBN method and by 1.346% over the highest-performance MSIDBN method. In summary, the coupling abnormal vibration diagnosis task, compared with the other vibration diagnosis tasks, can contain the combination of vertical and horizontal vibrations, and the proposed M2AGCNs are able to perform the extraction of promising features from multi-sensor signals and achieve the maximum classification results.
Table 6.
The detailed diagnosis results under the coupling abnormal vibration.
Figure 22.
The avg-acc (%) box plot under the coupling abnormal vibration of the rolling mill.
The features extracted by the proposed M2AGCNs per health status were visualized by the t-SNE technique, and the results are displayed in Figure 23. From the visualization results, the features extracted by the proposed M2AGCNs have clearer class boundaries, except for a slight confusion between four health states, which can be well distinguished. This also confirms the superiority of the designed M2AGCNs from the side.
Figure 23.
The visualized results of the proposed method under the coupling abnormal vibration.
The confusion matrix for the coupling abnormal vibration diagnosis results of the proposed M2AGCNs is depicted in Figure 24. The confusion matrix illustrates the specific identification situation for each health status, from which one can observe that the proposed M2AGCNs achieved a higher diagnostic accuracy overall than the other methods, with the identification accuracy for each abnormal vibration type reaching more than 80%. The confusion matrix results also indirectly demonstrate that the proposed M2AGCNs can adequately extract and exploit the vibration information embedded in the multi-sensor signals and accomplish the abnormal vibration diagnosis task stably and accurately.
Figure 24.
The confusion matrix of the proposed method under the coupling abnormal vibration.
6. Discussions
6.1. Influence of Rolling Speed
The rolling rpm plays a significant role in the abnormal vibration generation during the production process of the rolling mill, which identifies the absence and presence of the abnormal vibration: horizontal abnormal vibration, vertical abnormal vibration, and coupling abnormal vibration. Compared to the other two types of abnormal vibration, horizontal abnormal vibration is more prevalent and commonly observed in real plant environments. Hence, we should investigate the influence of the rolling rpm on different locations of horizontal abnormal vibration to propose future plans for subsequent vibration studies, as shown in Figure 25.
Figure 25.
Time series vibration data collected by different sensors.
As can be seen in Figure 25, the amplitude of the abnormal vibration of Sensor I~VI increases with the increase in the rolling speed. In particular, Sensor III is much more susceptible to abnormal vibration magnitudes than many other sensors. As the lower working rolls of the mill are exposed under the combined influence of the rolling pressure from the mechanical system, the interactive stress amongst the roll system and the friction between the roll seams. Hence, as the rolling speed of the rolling mill increases, the amplitude of the abnormal vibration becomes greater and more sensitive. As a result, Sensor III contains the most meaningful information about abnormal vibrations compared to the other sensors. When the number of sensors is limited, we should focus on Sensor III. The use of multiple sensors enables comprehensive system monitoring, as each captures different aspects of vibration behavior. This is crucial in complex environments, where a single sensor might miss subtle or transient fault features. By integrating data from multiple sensors, the model can leverage a wider range of features, enhancing generalization and reducing the risk of undetected faults. When sensors are abundant, their installation becomes flexible, providing varied perspectives on the system’s vibration and facilitating the detection of different fault types.
6.2. Ablation Experiment
To further demonstrate the superiority of the proposed M2AGCNs, the ablation experiment is performed. The low-version methods come from the proposed method: (1) Method 1: The M2AGCNs with the normal graph construction and (2) Method 2: The M2AGCNs without the MSGCNs. The experiments on abnormal vibration diagnosis are performed to compare three methods, the results are shown in Table 7.
Table 7.
Experimental results of ablation experiment.
It can be shown that the two essential components (the AFGC and MSGCNs) play a critical role in the proposed method, resulting in a 1.489% and 2.271% gain in accuracy, respectively. As a result, the proposed method outperforms the best.
7. Conclusions
In this study, a multi-source information fusion framework for the proposed M2AGCNs is introduced to achieve the abnormal vibration diagnosis of rolling mills. First, the CNNs are applied to extract multiple features from the multi-sensor signals. Then, the AFGC is adapted to construct the graphs. After that, these MSGCNs mine complementary and enriched features embedded in the multi-sensor graphs through a multi-scale receptive field. Finally, a fusion layer is integrated into the network to trade off and fuse the multi-source features and identify and diagnose the various abnormal vibration types of the rolling mill. Finally, the cases of three types of abnormal vibration are introduced to show the effectiveness of the M2AGCN method in this paper and that the proposed method on the basis of the multi-sensor information fusion can achieve the maximum abnormal vibration type diagnosis accuracy in comparison to the mainstream methods. In addition, detailed experiments on abnormal vibration based on the rolling mill and the specific locations of the sensors are analyzed.
In future work, to further enable real-time applications, we plan to explore model pruning and quantization techniques to reduce computational overhead while maintaining high diagnostic accuracy. Additionally, to validate its practicality, we will evaluate the proposed method in a real-time rolling mill scenario.
Author Contributions
Software, S.Z.; Data curation, C.G.; Writing—original draft, R.P.; Writing—review & editing, R.P.; Project administration, R.P.; Funding acquisition, R.P. All authors have read and agreed to the published version of the manuscript.
Funding
The studies were funded by the Science and Technology Research Project of Jiangxi Provincial Department of Education, grant numbers GJJ2402809 and GJJ2402814; the Initial Scientific Research Foundation for Talented Scholars of Nanchang Institute of Science and Technology, grant number NGRCZX-23-09; the Project of Nanchang Institute of Science and Technology, grant number NGKJ-23-01; and the Nonlinear Dynamics and Application Research Center, grant number NGYJZX-2021-04.
Data Availability Statement
Data are contained within the article.
Conflicts of Interest
The authors declare no conflict of interest.
References
- Yu, Y.; He, Y.; Karimi, H.R.; Gelman, L.; Cetin, A.E. A two-stage importance-aware subgraph convolutional network based on multi-source sensors for cross-domain fault diagnosis. Neural Netw. 2024, 179, 106518. [Google Scholar] [CrossRef] [PubMed]
- Han, D.; Zhang, Y.; Yu, Y.; Tian, J.; Shi, P. Multi-source heterogeneous information fusion fault diagnosis method based on deep neural networks under limited datasets. Appl. Soft Comput. 2024, 154, 111371. [Google Scholar] [CrossRef]
- Rother, A.; Jelali, M.; Söffker, D. A brief review and a first application of time-frequency-based analysis methods for monitoring of strip rolling mills. J. Process. Control. 2015, 35, 65–79. [Google Scholar] [CrossRef]
- Yu, Y.; Lan, L.; Ding, F.; Wang, L. Mechanical properties of hot-rolled and cold-formed steels after exposure to elevated tem-perature: A review. Const Build Mater. 2019, 213, 360–376. [Google Scholar] [CrossRef]
- Zhang, X.; Gao, Y.; Guo, Z.; Zhang, W.; Yin, J.; Zhao, W. Physical model-based tool wear and breakage monitoring in milling process. Mech. Syst. Signal Process. 2022, 184, 109641. [Google Scholar] [CrossRef]
- Du, Y.; Song, Q.; Liu, Z. Prediction of micro milling force and surface roughness considering size-dependent vibration of micro-end mill. Int. J. Adv. Manuf. Tech. 2022, 119, 5807–5820. [Google Scholar] [CrossRef]
- Liu, Z.; Chai, T.; Tang, J.; Yu, W. Heterogeneous selective ensemble learning model for mill load parameters forecasting by using multiscale mechanical frequency spectrum. Soft Comput. 2022, 26, 13467–13484. [Google Scholar] [CrossRef]
- Lu, X.; Sun, J.; Song, Z.; Li, G.; Wang, Z.; Hu, Y.; Wang, Q.; Zhang, D. Prediction and analysis of cold rolling mill vibration based on a data-driven method. Appl. Soft Comput. 2020, 96, 106706. [Google Scholar] [CrossRef]
- Pan, J.; Chen, J.; Zi, Y.; Yuan, J.; Chen, B.; He, Z. Data-driven mono-component feature identification via modified nonlocal means and MEWT for mechanical drivetrain fault diagnosis. Mech. Syst. Signal Process. 2016, 80, 533–552. [Google Scholar] [CrossRef]
- Li, K.; Qiu, C.; Zhou, X.; Chen, M.; Lin, Y.; Jia, X.; Li, B. Modeling and tagging of time sequence signals in the milling process based on an improved hidden semi-Markov model. Expert Syst. Appl. 2022, 205, 117758. [Google Scholar] [CrossRef]
- Lei, Y.; Yang, B.; Jiang, X.; Jia, F.; Li, N.; Nandi, A.K. Applications of machine learning to machine fault diagnosis: A review and roadmap. Mech. Syst. Signal. Pract. 2020, 138, 106587. [Google Scholar] [CrossRef]
- Tian, J.; Han, D.; Li, M.; Shi, P. A multi-source information transfer learning method with subdomain adaptation for cross-domain fault diagnosis. Knowl.-Based Syst. 2022, 243, 108466. [Google Scholar] [CrossRef]
- Yu, J.; Liu, G. Knowledge extraction and insertion to deep belief network for gearbox fault diagnosis. Knowl.-Based Syst. 2020, 197, 105883. [Google Scholar] [CrossRef]
- Lu, K.-D.; Zeng, G.-Q.; Luo, X.; Weng, J.; Luo, W.; Wu, Y. Evolutionary Deep Belief Network for Cyber-Attack Detection in Industrial Automation and Control System. IEEE Trans. Ind. Inform. 2021, 17, 7618–7627. [Google Scholar] [CrossRef]
- Zhang, P.; Gao, D.; Lu, Y.; Ma, Z.; Wang, X.; Song, X. Cutting tool wear monitoring based on a smart toolholder with embedded force and vibration sensors and an improved residual network. Measurement 2022, 199, 111520. [Google Scholar] [CrossRef]
- Shah, M.; Vakharia, V.; Chaudhari, R.; Vora, J.; Pimenov, D.Y.; Giasin, K. Tool wear prediction in face milling of stainless steel using singular generative adversarial network and LSTM deep learning models. Int. J. Adv. Manuf. Technol. 2022, 121, 723–736. [Google Scholar] [CrossRef]
- Xu, G.; Liu, M.; Jiang, Z.; Shen, W.; Huang, C. Online Fault Diagnosis Method Based on Transfer Convolutional Neural Networks. IEEE Trans. Instrum. Meas. 2020, 69, 509–520. [Google Scholar] [CrossRef]
- Zhao, C.; Sun, J.; Lin, S.; Peng, Y. Rolling mill bearings fault diagnosis based on improved multivariate variational mode de-composition and multivariate composite multiscale weighted permutation entropy. Measurement 2022, 195, 111190. [Google Scholar] [CrossRef]
- Zhang, D.; Stewart, E.; Entezami, M.; Roberts, C.; Yu, D. Intelligent acoustic-based fault diagnosis of roller bearings using a deep graph convolutional network. Measurement 2020, 156, 107585. [Google Scholar] [CrossRef]
- Yang, C.; Zhou, K.; Liu, J. SuperGraph: Spatial-Temporal Graph-Based Feature Extraction for Rotating Machinery Diagnosis. IEEE Trans. Ind. Electron. 2022, 69, 4167–4176. [Google Scholar] [CrossRef]
- Liu, J.; Zhou, K.; Yang, C.; Lu, G. Imbalanced fault diagnosis of rotating machinery using autoencoder-based SuperGraph feature learning. Front. Mech. Eng. 2021, 16, 829–839. [Google Scholar] [CrossRef]
- Liu, C.; Tong, J.; Zheng, J.; Pan, H.; Bao, J. Rolling bearing fault diagnosis method based on multi-sensor two-stage fusion. Meas. Sci. Technol. 2022, 33, 125105. [Google Scholar] [CrossRef]
- Huo, Z.; Martinez-Garcia, M.; Zhang, Y.; Shu, L. A Multisensor Information Fusion Method for High-Reliability Fault Diagnosis of Rotating Machinery. IEEE Trans. Instrum. Meas. 2022, 71, 1–12. [Google Scholar] [CrossRef]
- Huang, H.; Tang, B.; Luo, J.; Pu, H.; Zhang, K. Residual Gated Dynamic Sparse Network for Gearbox Fault Diagnosis Using Multisensor Data. IEEE Trans. Ind. Inform. 2022, 18, 2264–2273. [Google Scholar] [CrossRef]
- Cai, B.; Liu, Y.; Fan, Q.; Zhang, Y.; Liu, Z.; Yu, S.; Ji, R. Multi-source information fusion based fault diagnosis of ground-source heat pump using Bayesian network. Appl. Energy 2014, 114, 1–9. [Google Scholar] [CrossRef]
- Chen, F.; Yuan, Z.; Huang, Y. Multi-source data fusion for aspect-level sentiment classification. Knowl.-Based Syst. 2020, 187, 104831. [Google Scholar] [CrossRef]
- Rezaeianjouybari, B.; Shang, Y. A novel deep multi-source domain adaptation framework for bearing fault diagnosis based on feature-level and task-specific distribution alignment. Measurement 2021, 178, 109359. [Google Scholar] [CrossRef]
- Khan, M.R.; Blumenstock, J.E. Multi-GCN: Graph Convolutional Networks for Multi-View Networks, with Applications to Global Poverty. Proc. AAAI Conf. Artif. Intell. 2019, 33, 606–613. [Google Scholar] [CrossRef]
- Kipf, T.; Fetaya, E.; Wang, C.; Welling, M.; Zemel, R. Neural relational inference for interacting systems. In Proceedings of the 35th International Conference on Machine Learning, Stockholm, Sweden, 10–15 July 2018; pp. 2688–2697. [Google Scholar]
- Kipf, T.; Welling, M. Variational graph auto-encoders. arXiv 2016, arXiv:1611.07308. [Google Scholar]
- Li, T.; Zhao, Z.; Sun, C.; Yan, R.; Chen, X. Domain Adversarial Graph Convolutional Network for Fault Diagnosis Under Variable Working Conditions. IEEE Trans. Instrum. Meas. 2021, 70, 3515010. [Google Scholar] [CrossRef]
- Li, J.; Li, X.; He, D.; Qu, Y. A Novel Method for Early Gear Pitting Fault Diagnosis Using Stacked SAE and GBRBM. Sensors 2019, 19, 758. [Google Scholar] [CrossRef] [PubMed]
- Xia, P.; Huang, Y.; Li, P.; Liu, C.; Shi, L. Fault knowledge transfer assisted ensemble method for remaining useful life prediction. IEEE Trans. Ind. Inform. 2021, 18, 1758–1769. [Google Scholar] [CrossRef]
- Hao, S.; Ge, F.-X.; Li, Y.; Jiang, J. Multisensor bearing fault diagnosis based on one-dimensional convolutional long short-term memory networks. Measurement 2020, 159, 107802. [Google Scholar] [CrossRef]
- Wang, C.; Xin, C.; Xu, Z.; Qin, M.; He, M. Mix-VAEs: A Novel Multisensor Information Fusion Model for Intelligent Fault Diagnosis. Neurocomputing 2022, 492, 234–244. [Google Scholar] [CrossRef]
- Shi, P.; Yu, Y.; Gao, H.; Hua, C. A novel multi-source sensing data fusion driven method for detecting rolling mill health states under imbalanced and limited datasets. Mech. Syst. Signal Process. 2022, 171, 108903. [Google Scholar] [CrossRef]
- Yu, Y.; Shi, P.; Tian, J.; Xu, X.; Hua, C. Rolling mill health states diagnosing method based on multi-sensor information fusion and improved DBNs under limited datasets. ISA Trans. 2023, 134, 529–547. [Google Scholar] [CrossRef]
Disclaimer/Publisher’s Note: The statements, opinions and data contained in all publications are solely those of the individual author(s) and contributor(s) and not of MDPI and/or the editor(s). MDPI and/or the editor(s) disclaim responsibility for any injury to people or property resulting from any ideas, methods, instructions or products referred to in the content. |
© 2025 by the authors. Licensee MDPI, Basel, Switzerland. This article is an open access article distributed under the terms and conditions of the Creative Commons Attribution (CC BY) license (https://creativecommons.org/licenses/by/4.0/).

























