Abstract
Non-conventional processes are considerably important for the machining of hard-to-cut alloys in various demanding applications. Given that the surface quality and integrity, dimensional accuracy, and productivity are important considerations in industrial practice, the prediction of the outcome of the material removal process should be able to be conducted with sufficient accuracy, taking into consideration the computational cost and difficulty of implementation of the relevant models. In the case of AWJ, various types of approaches have been already proposed, both relying on analytical or empirical models and developed by solving partial differential equations. As the creation of a model for AWJ pocket milling is rather demanding, given the number of parameters involved, in the present work, it is intended to compare the use of three different types of efficient modeling approaches for the prediction of the dimensions of pockets milled by AWJ technology. The models are developed and evaluated based on experimental results of AWJ pocket milling of a titanium workpiece by an eco-friendly walnut shell abrasive. The results indicate that a semi-empirical approach performs better than a two-step hybrid analytical/semi-empirical method regarding the selected cases, but both methods show promising results regarding the realistic representation of the pocket shape, which can be further improved by a probabilistic approach.
1. Introduction
Manufacturing processes constitute a fundamental sector of the global economy nowadays due to the immense impact of various mechanical parts in machines, vehicles, and devices useful in everyday life. Despite the fact that in industrial practice, established methods are used in order to ensure high productivity and minimization of defects, the introduction of new materials or new designs necessitates the improvement of manufacturing methods in order to effectively incorporate advanced materials and novel designs. In order to achieve higher flexibility, apart from the conventional manufacturing processes, it is possible to employ non-conventional processes, e.g., based on a high energy beam in order to machine challenging materials with an affordable cost. Besides considerations such as surface quality, it is also important to maintain sufficient levels of productivity and appropriate dimensional accuracy of the produced features.
One of the most promising non-conventional machining processes is the abrasive waterjet (AWJ) process, which can achieve high productivity, avoid the costs of complex machining setup and need for coolants, and machine almost every type of material, such as metals, ceramics, polymers, and composites on the same machine tool []. Moreover, given that during AWJ machining the increase in temperature is almost negligible, thermal distortion and stresses are also eliminated, whereas the abrasive materials used are nontoxic and no harmful substances are produced during cutting []. In the last few decades, a considerable amount of work has been conducted on AWJ machining in order to optimize this process and determine the correlations of multiple factors with its outcome [,]. This research has aimed to optimize the AWJ machining process by identifying the most effective parameters and minimizing any negative impacts on the final product and allowing researchers and professionals to make appropriate decisions. Some of the factors that have been studied include water pressure, abrasive flow rate, standoff distance, nozzle type and orientation, workpiece material, and traverse speed [].
Despite the benefits of an experimental analysis of AWJ, deeper insights into fundamental aspects such as material removal mechanisms and surface generation are not possible to be gained without the development of appropriate models. For four decades, several authors have proposed different types of models for the prediction of the kerf dimensions, especially in the case of slot milling by AWJ. These models are based on analytical or semi-empirical formulas [,,], geometrical [,] or kinematics models, regression models, neural networks, energy-based approaches, and models based on etching rate calculation [], apart from FE or hybrid approaches [,,]. The main differences between the various types of developed models lie in their general predictive ability, their dependence on experimental data in order to derive constant parameters, their computational cost, their flexibility to predict variations from ideal outcome, and their applicability in demanding cases [].
As in the present work the aim is to evaluate the applicability of different models, not based on the solution of partial differential equations, for the prediction of pocket geometry during AWJ machining, it is considered necessary to discuss works on modeling of pocket milling. These models are more advanced than the models intended for the prediction of slot depth and width given that additional parameters such as stepover and the milling strategy have to be also considered in pocket milling. Some of these approaches stem from models for slot milling as a sequence of overlapped passes in the lateral direction, but some others are considerably different. One significant category of methods is based on the estimation of the erosion rate and simulation of the jet path. Billigham et al. [] created a mathematical model for AWJ pocket milling with considerable flexibility for complex jet paths and geometries based on the etching rate concept under different conditions. It was found that the simulated profiles of pocket geometry exhibited a high level of accuracy in comparison to the experimentally measured ones. Uhlmann and Mannel [] developed a model based on the etching rate in which they took into consideration both the primary material removal by the jet and also the material removal by the deflection of the jet. In a later study [], they used the model of primary and deflected jets along with a model for the workpiece, which is composed of solid elements, and applied it to the AWJ machining of different geometries. Rabani et al. [] integrated a model based on the etching rate in a control system based on an iterative technique in order to create specific geometries by AWJ milling.
A similar approach for the modeling of pocket formation is the formulation of the material removal process as an inverse problem, given that in controlled-depth AWJ machining, the way to achieve a specific depth is not straightforward []. Bilbao-Guillerna, Axinte, and Billingham [] formulated the linear inverse problem for energy beam processing in the case of AWJ and developed a linear model for the prediction of shallow etched surfaces. In another study, Bilbao-Guillerma et al. [] proposed an improved model for pocket milling by AWJM and laser ablation based on an inverse formulation, which could be valid for modeling both shallow and deep pockets, as well as non-straight passes. The model, formulated as an optimization problem, employed an etching rate function and a parametric beam path and the results showed a high level of accuracy for the prediction of the morphology of the etched surface. Lari and Papini [] also used a model based on the inverse formulation in order to achieve specific morphologies by AWJ micromachining. Their model was based on the concept of “erosive efficacy” and was applied both for slots and pockets in order to determine the optimum traverse feed rate in each case.
Another promising approach for the modeling of kerf morphology during AWJ machining of pockets is based on the concept of the superposition of elementary passes [], something that was suggested earlier by various authors [,,,,]. This model was based on previous research, which indicated that the kerf geometry can be approximated by a Gaussian shaped curve whose parameters can be experimentally determined [,]. The depth of the elementary pass is thought to be dependent on the jet pressure and feed rate, whereas the width is related to the standoff distance (SOD) and feed rate. Although this model seems simplified, as it does not directly account for the fundamental material removal mechanisms, it can achieve high accuracy and offer useful suggestions regarding the choice of stepover during pocket milling []. This model was later extended by including an additional term to take into account the jet impingement angle for three- and five-axis machining, which leads to differentiation of the kerf shape [,]. This model was also later successfully employed in challenging cases in order to determine the appropriate strategy for machining corners of the pockets [] or to identify abrasion and erosion mechanisms []. Finally, Sourd et al. [] compared the use of a Gaussian model of elementary passes and a power law model during both slot and pocket milling of composite materials by AWJ. It was shown that the former helped the procedure of identification of erosion regimes and an appropriate correction was applied in order to improve its limitations in some cases and achieve sufficient accuracy.
Other authors developed models on energy-based approaches, analytical models or soft computing methods. Melentiev and Fang [] proposed a simple analytical method developed with an energy-based approach and an iterative method in order to create the desired surface micro-topography for a specific tribological behavior. Klocke et al. [] implemented a model based on the Finnie and Bitter models of erosion, taking into account the basic mechanisms of material removal during AWJ milling and validated it on various geometries. Yuan et al. [] developed an empirical model in respect to several process parameters in order to predict the average depth of circular pockets machined by AWJ milling. Deng et al. [] used a neural network model in order to determine the optimum stepover and traverse speed values during pocket milling for the creation of an aspheric mirror. Kowsari et al. [] proposed a computational fluid dynamics (CFD)-based approach to predict the geometry of slots and pockets in order to take into account the contribution of fluid flow during the abrasive slurry jet machining of ceramics.
Finally, some more advanced models based on the combination of different modules were also proposed recently with a view to analyze the formation of pockets in a more comprehensive way than the previously developed models. Kumar and Srinivasu [] developed a detailed framework for the prediction of the kerf profile both in slot and pocket milling by integrating data from CFD simulations and incorporating various existing mechanisms during AWJ machining. Adsul and Srinivasu [] also created a model dedicated to predicting the profile of AWJ machined pockets, taking into account the stochastic nature of AWJ and particle erosion in order to be able to predict the uneven features that occur during freeform surface milling by AWJ. Chen et al. [] focused on modeling the effect of jet lag during the machining of freeform surfaces and developed an appropriate model based on dimensional analysis. Finally, Ozcan et al. [] presented a comprehensive model for controlled-depth AWJ milling, including an energy-based approach and a dynamic model for the evolution of surface geometry after milling passes, which was subsequently validated by experimental measurements.
Given that a considerable amount of works have already been conducted on slot and pocket milling, it was considered necessary to conduct a comparative study between different types of models, namely, a modified semi-empirical model of elementary passes, a two-step hybrid approach including an analytical model combined with the model of elementary passes, and a probabilistic model that takes into account the possible variability of process parameters, for the case of pocket milling of a titanium alloy by an eco-friendly abrasive such as walnut shell. This comparative study will allow the identification of the strengths and weaknesses of each method and serve as a first step for demonstrating the capabilities of low-cost models for the realistic simulation of AWJ pocket milling.
2. Materials and Methods
2.1. Scope of the Present Work
In the present work, it is intended to develop different types of low-computational-cost, efficient models for the prediction of pocket dimensions during AWJ milling. These models will be created based on experimental data and then compared in order to determine the advantages and disadvantages of each approach. As the importance of using predictive models was clearly demonstrated in the literature review, this work aims to evaluate approaches that can provide a realistic representation of the outcome of pocket milling process based on simple rules and exhibit a low computational cost, so that these models can be later used in decision-making or optimization procedures.
As in the relevant literature it was shown that there are already several types of models developed pertinent to different categories with different levels of accuracy, complexity, and computational cost, the present work focuses on the category of models using the concept of elementary passes and superposition of kerfs, as well as more detailed analytical and probabilistic approaches, in order to create a more comprehensive and realistic model for AWJ pocket milling. The fact that these models are able to capture not only depth and width of pockets as values but also the entire geometry of pockets without the use of detailed and costly computational models based on FEM or meshless methods is a considerable advantage that should be further improved. In the following subsection, the details of each of the three different proposed models will be presented in brief.
The final objective of this work is eventually to create a model with a low computational cost, high accuracy, and practical applicability and use the least possible amount of empirical constants. The development of advanced models is crucial towards the implementation of more successful optimization frameworks and the improvement of the capabilities of AWJ technology.
2.2. Modelling Methods
2.2.1. First Model
As was aforementioned, the first model is based on the concept of elementary passes and kerf superposition, emphasizing the geometric representation of the pocket []. In this model, a Gaussian shaped curve is assumed to represent the incision profile of the kerf produced by a single straight pass of the jet, and then the elementary passes that are overlapped in the lateral direction are summed, creating the final shape of the cross-section of the pocket [,]. Although various authors consider different number of parameters for this model, in the present work, the term before the exponential (termed A) and another term in the exponential expression (termed B) are only considered for the sake of simplicity. The respective equations for this model relating the elevation of the profile z in respect to the horizontal dimension x for an elementary pass and for the total cross-section are presented afterwards []:
where N represents the number of passes in the lateral direction and SO represents the stepover. This approach can capture the fundamental concept of pocket formation related to the overlap of passes by a certain stepover and can take into account several parameters of the process, such as jet pressure, traverse feed rate, abrasive mass flow rate, and standoff distance, indirectly by adopting semi-empirical formulas for the A and B parameters related to the depth and width of pockets, respectively.
In the present study, the modeling of the pocket geometry using this model is performed by an inverse approach. This inverse approach is based on the measured depth and width values in order to determine the parameters A and B. More specifically, an optimization approach based on a genetic algorithm is followed for the determination of the two parameters of the model, namely, A and B, based on data from the pocket milling experiments in order to achieve the average depth and width values from the experiments.
In Figure 1, a relevant schematic depicting the steps towards the implementation of the first model is presented. Although this model may seem simplified, it is by no means a simplistic model as it can be used in the forward sense, e.g., when the geometric characteristics of a single pass are known, in order to predict the effect of the same process parameters when pockets are created as a superposition of adjacent grooves. However, in the case of pockets machined by the use of the ecological walnut shell abrasive or other soft abrasives, it can be more important to use this model in the inverse mode too, e.g., to predict the expected kerf profile of a single elementary pass based on the pocket cross-section, given that the contribution of each single groove may seem negligible or may be difficult to determine, except for specialized measuring or imaging equipment.
Figure 1.
Schematic of the modified semi-empirical model of elementary passes.
Another advantage of this model is that it can provide a fair qualitative view of the expected pocket geometry, as the predicted cross-section can be easily visualized and expanded in a 3D model. Furthermore, this model does not involve complex analytical expressions that may require additional information, e.g., material properties of the abrasives and the workpiece, as well other experimentally determined quantities, and it clearly has less dependence on empirical constants [,], something that is a considerable problem for some models that require a lot of experiments in order to determine these constants.
For that reason, it can be easily included in optimization frameworks and yet provide more detail than simply predicting the average depth and width as values, given an estimation of the wall inclination or potential geometrical deviations, e.g., corrugation of the pocket bottom surface due to an inappropriate choice of stepover []. However, as it was pointed out in the relevant literature, this model has also some shortcomings, such as the inability to predict overcut or undercut, which commonly occur during pocket milling by AWJ [,], and it cannot predict the effects of stochastic elements during the process.
2.2.2. Second Model
The second model is based partially on the first one but is expanded by an analytical expression for the prediction of the depth and width of the elementary passes. Thus, the predictive model incorporates additional elements from the physics and kinematics of the AWJ milling process and becomes more advanced than a simple semi-empirical geometric approach.
The analytical expression that is employed is the one proposed by Hashish [], based on a thorough analysis of the kerf formation and subsequent validation in many different workpiece materials under various process conditions. Although this model was developed more than 30 years ago, it was employed several times during the next years [,,,,,], either as benchmark model or in a modified way, along with the much older erosion models, such as the ones of Finnie and Bitter, as it can be considered at least as a reference given its credibility and the ability to capture the variations of depth and width of the kerf based on several process parameters.
In its final form, the model mostly consists of the determination of special parameters, which are termed as “non-dimensional groups” in the original publication [], and a multi-step methodology has to be implemented in order to estimate the total depth of penetration. At first, the particle velocity has to be determined based on the Bernoulli principle. Then, six parameters Ν1–Ν6 are determined as follows []:
where ρp represents the abrasive particle density in kg/m3; u is the traverse feed rate in mm/min; dj is the jet diameter in mm; ma is the abrasive mass flow rate in g/s; v0 is the particle velocity in m/s; σ is the material flow stress of the workpiece material in Pa, estimated as E/14 where E is the Young modulus; ve is the threshold particle velocity in m/s; cf is the coefficient of wall drag, assumed as 0.003 []; and Rf is related to the roundness of the particle shape, which was estimated using images obtained from the abrasive particle and is assumed equal to 0.2. The next step consists of the determination of the angle at as follows []:
where a1 = (π/14)0.4. Then, the angle a0 is also determined from the following equation []:
where γ is a constant calculated with respect to the particle diameter and density []. If at is larger than a0, such as the cases in the present study, then hd equals the total depth of penetration dt and is determined by dt = dj*Nd, where dj is the jet diameter equal to 1.0 mm, and Nd is calculated as follows []:
where C1 is a constant.
Although this model has already been employed in the relevant literature, however, to the best of the authors’ knowledge, this model has not been yet incorporated in a model for pocket milling cross-section prediction, because most of the authors focus on slot milling. In the present work, it is extended to the case of pocket milling. More specifically, for the second model, the determination of model parameters is also conducted based on the experimental results and an inverse method by means of a genetic algorithm. Contrary to the approach followed for the first model, the determination of factor A is performed based on the single elementary pass kerf characteristics, and then the inverse approach is applied in order to determine the factor B based on experimental results. Factor A is determined based on the values of the threshold velocity ve. Given that under different process conditions the threshold velocity varies, it is determined as function of process parameters, namely, P, h, and ma. Special attention will be paid for the cases where 250 < P < 350, as the highly non-linear trend of pocket depth with P in this range renders the determination of any regression model infeasible. In these cases, a corrective term will be applied. In Figure 2, a relevant schematic for the implementation of the second model is presented.
Figure 2.
Schematic of the analytical model-based elementary passes approach.
This model is supposed to be more useful than the first model, given that it depends less on empirical terms, thus facilitating a further understanding of the physics of the process, as it incorporates the effect of material removal mechanisms and its extension to the prediction of pockets. It is anticipated that this model will prove rather helpful in the specific scientific field due to its low cost and ability to be integrated in various optimization frameworks. In fact, given that this model involves multiple parameters, it provides various important results apart from the pockets dimensions, such as the correlation of pocket dimensions with various process parameters, not by means of empirical correlations but analytical ones.
2.2.3. Third Model
The third model is an extension of the previous models in order to take into account the variability of process parameters during the AWJ milling process of pockets. As was aforementioned, one of the drawbacks of the model of summation of elementary passes is that the predicted geometry is generally flat, apart from cases when improper values of stepover are used, creating a corrugated bottom []. In reality, intense process conditions may also lead to high deviations on the form of produced pockets, and, in some cases, the high values of roughness and increased waviness of the pocket surface lead to a considerably more complex morphology of the pocket cross-section. Apart from anticipated variations, such as the distribution of abrasive particle diameters, these variations may occur due to variabilities in the operation of the high pressure pump and fluctuations in the water supply or leaks, problems with the abrasive supply system such as clogging, variations in the jet diameter due to nozzle wear or other malfunctions of the supply system, inertia effects due to rapid changes in acceleration of the cutting head, cutting vibrations, and heterogeneity of the workpiece material, among others. Thus, it would be considerably interesting to modify the models in order to be able to capture the effect of the anticipated variability of the process conditions and attempt to correlate them with the outcome of the pocket milling process. In the relevant literature, the use of stochastic models is rather rare [,] or focuses specifically on the variability of abrasive diameters and impact positions [,], neglecting the potential variability of other process parameters, and are also mainly related to slot milling.
Thus, the third model is based on the second one but it is differentiated in order to try to quantify at least some of the reasons that lead to the creation of irregularities in the geometry of pockets as a result of uncertain variations from the nominal process parameters. Thus, in this model, the depth of elementary passes A is varied by a specific percentage in order to observe the effect of the variability in the depth of the pocket cross-section. More specifically, the implementation of the third model is different from the other two models. In order to investigate the effect of variability, three different percentages are tested for the variation of factor A, namely, 10, 20, and 30%, so that the result is different from the ideal one but also realistic, as it is not possible for the process parameter to lead to a very large deviation of depth during the machining of the pocket. Then, for the cross-section, the elementary passes derived from the second model are summed using a modified version of Equation (2), as the depth of elementary passes will vary along the cross-section:
where Ai represents the term related to the depth of each elementary pass, which can vary across the cross section, creating a more realistic shape. Finally, the average depth and its deviation is calculated based on the profile of the cross-section. In order to obtain a reliable estimation of these values, a Monte Carlo simulation approach is adopted by creating models with different values for 1500 times in order to conduct a more robust comparison between the cases with perturbation of nominal values of A by 10, 20, and 30%.
2.3. Experimental Details
In order to validate the models, as was aforementioned, the results from an experimental work conducted by the authors will be utilized. The experiments are relevant to the machining of pockets on a commercially pure titanium (grade 2) workpiece. A Taguchi L9 orthogonal array was used for the design of experiments for three factors, namely, jet pressure (denoted as P), standoff distance (denoted as h) and abrasive mass flow rate (denoted as ma) at three levels each, as can be seen in Table 1. During the experiments, the stepover was set at 0.6 mm, the traverse rate was set at 100 mm/min, the jet impingement angle at 90°, the cutting length at 30 mm and the nominal width of pockets was 9.6 mm, as shown in Figure 3. For the experiments, a model HWE-1520 H.G. RIDDER Automatisierungs GmbH machine (H.G. RIDDER H., Hamm, Germany) was employed and the abrasive material was an eco-friendly agricultural waste-based abrasive, namely, walnut shell. The composition of the abrasive is 55–70% cellulose, 19–22% lignin, and 22–27% hemicellulose, and, based on the manufacturer’s data (HERUBIN, Dobra, Poland), its density is estimated around 1.28 g/cm3 and its hardness is around 2.5–3 Mohs. The average depth of the pockets (denoted as d) was estimated by a Mitutoyo CMM Crysta Plus M443 (Mitutoyo, Kawasaki, Japan) Coordinate Measuring Machine (CMM), whereas the pocket width (denoted as w) was estimated from high-resolution images of the workpiece surface by means of ImageJ software (version 15.3t).
Table 1.
Experimental parameters and results.
Figure 3.
Schematic of the pocket (top view) with the fundamental dimensions.
3. Results and Discussion
3.1. Results from the First Model
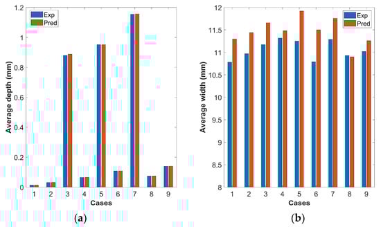
After the simulations were carried out based on the respective formulas describing the implementation of the first model, i.e., the creation of the pocket cross-section by the elementary passes, the values of the A and B factors in every case were determined. More specifically, these values were determined by the inverse approach based on the minimization of error between the experimental and predicted values for the average depth and width of pockets. More specifically, in each case, it was checked whether the produced curve has similar average depth and width to the real pocket cross-section. The range of the values of factor A was selected as [0, d], where d is the average pocket depth. Based on the concept of elementary passes, the pocket cross-section average depth is generated as a superposition of elementary passes. Normally, the depth of the elementary pass should be lower than the depth of the pockets. Moreover, B was varied in the range [0, 1] based on preliminary tests. Thus, after the optimization procedure in each case, the optimum values of A and B are used. By using the optimum A and B values for the elementary passes model in each case, the results presented in Figure 4 were obtained. Moreover, in Figure 5, the percentage deviations between experimental and predicted values are also depicted.
Figure 4.
Comparison between predicted and experimental values for (a) the average depth and (b) average width of the pockets in the case of the first model.
Figure 5.
Percentage deviations between predicted and experimental values for (a) the average depth and (b) average width of the pockets in the case of the first model.
As can be seen from Figure 4, the inverse approach was successful in predicting accurate values for the average pocket depth, with negligible differences in most cases. Moreover, the width values seem to be slightly overestimated in each case. However, with respect to the percentage deviation values depicted in Figure 5, it can be seen that the deviations of the predicted results are rather negligible in the case of the average depth, whereas they are much lower than the usual acceptable limit for predictions (10%), further proving the capabilities of this approach. The results regarding the error clearly indicate that it is feasible to model the pocket cross-section by this approach. It should be noted that although the relatively higher error of the width prediction can be considered as a minor disadvantage of this model, the fact that there was no available information about the depth and kerf width values of the elementary passes, and given that the model is not requiring any additional information about the kinematics or material removal mechanisms of this process, its accuracy is acceptable, e.g., in the case of optimization or even an intelligent control system.
In Figure 6, the pocket cross-section shape predicted by the first model is depicted in every case. Due to the variations of pocket depth, the graphs were arranged with respect to jet pressure values. It can be seen that this model predicts that the form of the produced pockets will not be considerably rugged (taking into consideration that the scale in Figure 6 is adjusted in order to be able to observe even the most shallow pockets), especially when lower jet pressure values are used, whereas it is expected that the pocket bottom will exhibit a certain degree of waviness when the highest jet pressure or standoff distance is used. This observation matches the actual observations from the experiment, where it was also qualitatively noticed that in cases with less intensity, there was no obvious form deviation such as a repeated pattern due to improper stepover values, apart from the anticipated roughness of the pocket and particle impact sites, which lie in a lower order of magnitude of length and cannot be captured by the model of the elementary passes. On the other hand, rugged pocket surface was obvious in cases with a higher pressure of standoff distance, e.g., cases 3, 5, and 7–9.

Figure 6.
Predicted pocket cross-section geometries by the first model in different cases: (a) P = 150 MPa, (b) P = 250 MPa, and (c) P = 350 MPa.
Finally, in order to demonstrate the capabilities of this method to produce realistic pocket shapes, in Figure 7 and Figure 8, indicative 3D views of the predicted pockets and parts of the real grooves obtained from multiple 3D images by focus variation microscopy are displayed. From these 3D figures, it can be seen that in cases where low or moderate jet pressure values are used, the morphology of the pockets is flat or almost flat, whereas in the case where a higher pressure value is employed, the bottom surface of the pocket is rugged, with larger scale deviations apart from the anticipated high surface roughness, something that was also predicted from the model.

Figure 7.
Three-dimensional images of the predicted pocket shape for (a) case 1, (b) case 2, and (c) case 3. The color scale depicts the depth of the pockets.

Figure 8.
Three-dimensional images of the real pocket shape for (a) case 1, (b) case 2, and (c) case 3.
3.2. Results from the Second Model
The next step in this study is to use the second model for the prediction of pocket dimensions and cross-section geometry. As was aforementioned and clearly depicted in the flowchart of Figure 2, the steps of the implementation of this model are different from the ones used in the first model, as was explained in the previous section, and the complexity of calculations required is higher, as multiple parameters of the abrasive waterjet milling are taken into account. At first, the threshold velocity, which is an indicator of the intensity of the abrasive waterjet required for the penetration of the workpiece material, is determined with respect to process conditions in order to obtain meaningful results regarding the factor A. Given that the results obtained under the highest jet pressure values deviate to an excessive degree from the other results and thus no model was able to capture the correlation between them and threshold velocity for the entire range of pressure values, a correction term was adopted in order to improve the accuracy of the model for 250 MPa < P < 350 MPa. Then, given that the estimation of the elementary pass depth A was successfully obtained, the inverse approach was adopted in order to determine the factor B. The errors of the prediction results occurring under the optimal A and B values are displayed in Figure 9.
Figure 9.
Deviations between predicted and experimental values for (a) the average depth and (b) average width of the produced pockets in the case of the second model.
As in the case of the first model, it can be seen that this model also manages to successfully predict the average depth of the produced pockets with the prediction error varying from almost 0 to 12%, which is slightly over the recommended accuracy limits. However, as can be seen in Figure 9, this model leads to relatively higher deviations regarding the pocket width prediction, with the error varying from 11 to 21%. Nevertheless, given that this model involves two different steps, e.g., predicting the dimension of the elementary pass using Equations (3)–(11) and then predicting the width factor by the inverse approach, it is anticipated that even in the case of a high degree of correlation, the accumulation of numerical errors from the different models will have a definite impact on the accuracy of the results. Moreover, given that the width is not easily correlated with process parameters, even in cases of single passes, it is not a very serious disadvantage of this approach. However, in a future work, the addition of correction terms will be investigated based on additional experimental data in order to obtain more generalized values for the model coefficients, as well as a direct comparison with data from elementary passes, which will improve the performance of the model.
3.3. Results from the Third Model
Given that the second model was proven sufficiently accurate in terms of the average pocket depth, this model was now employed in a forward sense, e.g., for the prediction of pocket dimensions based on the values of A and B factors determined in the previous subsection. As was aforementioned, this model will involve a probabilistic approach for the values of factor A in order to observe whether the variations of the elementary passes during the creation of the pockets due to various aforementioned reasons can significantly impact the cross-section shape and the variation of its depth. Three different scenarios were considered, e.g., ±10%, 20%, and 30%, and the results regarding the average and standard deviation values are discussed.
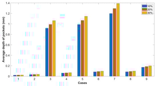
In Figure 10, the results of the probabilistic simulation under various A factor values is displayed for each of the nine experimental cases. As can be seen, the average depth value is clearly affected, as its values exhibit an increasing trend with respect to the percentage of perturbation of A, indicating that although both reduced and increased values of A were selected, the occurrence of higher depths in case of some malfunction has greater impact than the occurrence of lower depths. At the same time, the values of the standard deviation of the depth, depicted in Figure 11, increase with respect to the perturbation percentage, as it was anticipated varying from a few μm in cases with a low average depth up to more than 10 μm in cases with a higher average depth, such as the ones related to a high jet pressure. This finding can explain to some extent the variation of the real pocket surfaces from the nominal geometry, as it can be partially attributed to the usual deviation of process parameters during the process. In Figure 12, some indicative histograms of average depth are depicted, highlighting the aforementioned findings. Moreover, in Figure 13, an indicative graph of the cross-section profile, predicted using the probabilistic model, is depicted. As can be seen in this Figure, the pocket bottom is not rugged, such as in some cases from the simulations with the first model, but looks like a rough surface with height deviations around an average value.
Figure 10.
Predicted average depth of the pockets for all experimental cases at three different perturbation percentages.
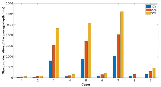
Figure 11.
Standard deviation of the average depth of the pockets for all experimental cases at three different perturbation percentages.
Figure 12.
Histograms of the average depth for case 3 for different perturbation percentages: (a) 10%, (b) 20%, and (c) 30%.
Figure 13.
Indicative image of the pocket cross-section for case 3 for a perturbation percentage of 30%.
The probabilistic model showed that it is possible to obtain a more realistic representation of the pocket shape by taking into account some of the parameters thatcontribute to the non-deterministic elements of the real pocket surface. These promising results can be further improved in the future by integrating additional elements, e.g., related to variability in particle characteristics, in order to obtain an even more realistic profile.
4. Conclusions
In this work, a numerical study regarding the comparison of three different methods for the prediction of pocket cross-section during AWJ milling was conducted. The models were based on the concept of the summation of elementary passes. More specifically, a semi-empirical, a two-step hybrid analytical/semi-empirical, and a probabilistic approach were employed in order to determine their strengths and weaknesses. After the findings were analyzed, several interesting conclusions were able to be drawn.
The simple model, mostly involving an inverse approach using an optimization algorithm for the determination of the two factors of the elementary passes method, showed highly accurate results regarding the prediction of average depth of pockets and acceptable results regarding the average width. More specifically, the error for the average depth was mostly below 2%, whereas the error for the average width was below 7%. Given its very low computational cost, it can be suggested for use in optimization frameworks regarding AWJ milling.
The second model based on a two-step hybrid approach including an analytical equation and the concept of elementary passes produced acceptable results regarding the average pocket depth, with the error being mostly lower than 10% or close to 10%, but the prediction of pocket width was less accurate, with the error varying between 10 and 20%. Thus, this model, which includes an additional step, requires a larger amount of data for its improvement, as well as more detailed results regarding elementary passes.
Finally, the probabilistic approach regarding the prediction of the average depth of pockets based on the second model demonstrated that a moderate effect is expected when the depth of the elementary pass varies up to 30% from the nominal value due to some problem of the machine tool during the process. Thus, a part of the observed non-uniformity of the pocket bottom surface can be attributed to various fluctuations of the process parameters. As this method can predict non-flat pocket surface profiles, it can be further enhanced in order to achieve a more realistic predictive model for AWJ milling.
Author Contributions
Conceptualization, N.E.K. and P.K.-O.; methodology, N.E.K. and P.K.-O.; software, N.E.K.; validation, N.E.K.; formal analysis, N.E.K.; investigation, N.E.K.; resources, P.K.-O.; data curation, N.E.K.; writing—original draft preparation, N.E.K. and P.K.-O.; writing—review and editing, N.E.K.; visualization, N.E.K.; supervision, N.E.K. and P.K.-O.; project administration, N.E.K. and P.K.-O.; funding acquisition, N.E.K. All authors have read and agreed to the published version of the manuscript.
Funding
This research was supported by Polish National Agency for Academic Exchange (NAWA, Agreement No. BPN/ULM/2022/1/00129/U/00001).
Data Availability Statement
Data are contained within the article.
Conflicts of Interest
The authors declare no conflicts of interest. The funders had no role in the design of the study; in the collection, analyses, or interpretation of data; in the writing of the manuscript; or in the decision to publish the results.
References
- Natarajan, Υ.; Murugesan, P.K.; Mohan, M.; Khan, S.A.L.A. Abrasive waterjet machining process: A state of art of review. J. Manuf. Process. 2020, 49, 271–322. [Google Scholar] [CrossRef]
- Thakur, P.M.; Raut, D.N.; Lade, P.R.; Kudalkar, S. Development of operations in waterjet technology: A review. Adv. Mater. Process. Technol. 2023. [Google Scholar] [CrossRef]
- Singh, P.N.; Srinivasu, D.S.; Ramesh Babu, N. Modelling of abrasive waterjet kerf in a double-layered structure. J. Manuf. Process. 2021, 69, 514–531. [Google Scholar] [CrossRef]
- Chen, J.; Yuan, Y.; Gao, H.; Zhou, T. Gaussian distribution-based modeling of cutting depth predictions of kerf profiles for ductile materials machined by abrasive waterjet. Mat. Des. 2023, 227, 111759. [Google Scholar] [CrossRef]
- Yuan, Y.; Chen, J.; Gao, H. Surface profile evolution model for titanium alloy machined using abrasive waterjet. Int. J. Mech. Sci. 2023, 240, 107911. [Google Scholar] [CrossRef]
- Alberdi, A.; Rivero, A.; Carrascal, A.; Lamikiz, A. Kerf profile modelling in Abrasive Waterjet milling. Mater. Sci. Forum 2012, 713, 91–96. [Google Scholar] [CrossRef]
- Srinivasu, D.S.; Axinte, D.A.; Shipway, P.H.; Folkes, J. Influence of kinematic operating parameters on kerf geometry in abrasive waterjet machining of silicon carbide ceramics. Int. J. Mach. Tool. Manuf. 2009, 49, 1077–1088. [Google Scholar] [CrossRef]
- Torrubia, P.L.; Billingham, J.; Axinte, D.A. Stochastic simplified modelling of abrasive waterjet footprints. Proc. R. Soc. A 2015, 472, 0836. [Google Scholar] [CrossRef]
- Kong, L.; Wang, Y.; Lei, X.; Feng, C.; Wang, Z. Integral modeling of abrasive waterjet micro-machining process. Wear 2021, 482–483, 203987. [Google Scholar] [CrossRef]
- Kumar, D.T.N.; Devadula, S. A generic model for prediction of kerf cross-sectional profile in multipass abrasive waterjet milling at macroscopic scale by considering the jet flow dynamics. Int. J. Adv. Manuf. Technol. 2023, 127, 2815–2841. [Google Scholar]
- Ravi, R.R.; Kumar, T.N.D.; Srinivasu, D.S. Experimental investigation and modeling of the kerf profile in submerged milling by macro abrasive waterjet. J. Manuf. Sci. Eng. 2023, 145, 091004. [Google Scholar] [CrossRef]
- Tosello, G.; Bissacco, G.; Cao, J.; Axinte, D. Modeling and simulation of surface generation in manufacturing. CIRP Ann. 2023, 72, 753–779. [Google Scholar] [CrossRef]
- Billingham, J.; Miron, C.B.; Axinte, D.A.; Kong, M.C. Mathematical modelling of abrasive waterjet footprints for arbitrarily moving jets: Part II-Overlapped single and multiple straight paths. Int. J. Mach. Tool. Manuf. 2013, 68, 30–39. [Google Scholar] [CrossRef]
- Uhlmann, E.; Mannel, C. Modelling of the kerf formation through primary and secondary jet energy for the abrasive waterjet. In Proceedings of the 2019 WJTA Conference and Expo, New Orleans, LA, USA, 11–13 November 2019. [Google Scholar]
- Uhlmann, E.; Kruggel-Emden, H.; Mannel, C.; Barth, E.; Markauskas, D. Advances in Modeling of the Kerf Formation considering the Primary and Deflection Jets for the Abrasive Water Jets Technology. Procedia CIRP 2021, 102, 156–161. [Google Scholar] [CrossRef]
- Rabani, A.; Madariaga, J.; Bouvier, C.; Axinte, D. An approach for using iterative learning for controlling the jet penetration depth in abrasive waterjet milling. J. Manuf. Process. 2016, 22, 99–107. [Google Scholar] [CrossRef]
- Axinte, D.; Billingham, J.; Bilbao-Guillerna, A. New models for energy beam machining enable accurate generation of free forms. Sci. Adv. 2017, 3, e1701201. [Google Scholar] [CrossRef] [PubMed]
- Bilbao-Guillerna, A.; Axinte, D.; Billingham, J. The linear inverse problem in energy beam processing with an application to abrasive waterjet machining. Int. J. Mach. Tools Manuf. 2015, 99, 34–42. [Google Scholar] [CrossRef]
- Bilbao-Guillerna, A.; Axinte, D.A.; Billingham, J.; Cadot, G.B.J. Waterjet and laser etching: The nonlinear inverse problem. R. Soc. Open Sci. 2017, 4, 161031. [Google Scholar] [CrossRef]
- Lari, M.R.S.; Papini, M. Inverse methods to gradient etch three-dimensional features with prescribed topographies using abrasive jet micromachining: Part I—Modeling. Precis. Eng. 2016, 45, 272–284. [Google Scholar] [CrossRef]
- Bui, V.H.; Gilles, P.; Sultan, T.; Cohen, G.; Rubio, W. A new cutting depth model with rapid calibration in abrasive waterjet machining of titanium alloy. Int. J. Adv. Manuf. Technol. 2017, 93, 1499–1512. [Google Scholar] [CrossRef]
- Alberdi, A.; Rivero, A.; Lopez de Lacalle, L.N. Experimental study of the slot overlapping and tool path variation effect in abrasive waterjet milling. J. Manuf. Sci. Eng. 2011, 133, 034502. [Google Scholar] [CrossRef]
- Ngygen, T.; Wang, J.; Li, W. Process models for controlled-depth abrasive waterjet milling of amorphous glasses. Int. J. Adv. Manuf. Technol. 2015, 77, 1177–1189. [Google Scholar]
- Tamannaee, N.; Spelt, J.K.; Papini, M. Abrasive slurry jet micro-machining of edges, planar areas and transitional slopes in a talc-filled co-polymer. Precis. Eng. 2016, 43, 52–62. [Google Scholar] [CrossRef]
- Kumar, N.P.; Srikanth, R.; Babu, N.R. Modeling and Analysis of Kerf Geometry in Pocket Milling with Abrasive Waterjets. In Proceedings of the 12th CIRP Conference on Modelling of Machining Operations, Donostia-San Sebastián, Spain, 7–8 May 2009; pp. 613–620. [Google Scholar]
- Srikanth, R.; Babu, N.R. Boundary condition for deformation wear mode material removal in abrasive waterjet milling: Theoretical and experimental analyses. Proc. IMechE Part B J. Eng. Manuf. 2019, 233, 55–68. [Google Scholar] [CrossRef]
- Sultan, T.; Gilles, P.; Cohen, G.; Cenac, F.; Rubio, W. Modeling incision profile in AWJM of Titanium alloys Ti6Al4V. Mech. Ind. 2016, 17, 403. [Google Scholar] [CrossRef]
- Alberdi, A.; Rivero, A.; Lopez de Lacalle, L.N.; Exteberria, I.; Suarez, A. Effect of process parameter on the kerf geometry in abrasive waterjet milling. Int. J. Adv. Manuf. Technol. 2010, 51, 467–480. [Google Scholar] [CrossRef]
- Bui, V.H.; Gilles, P.; Cohen, G.; Rubio, W. A modeling of elementary passes taking into account the firing angle in abrasive waterjet machining of titanium alloy. AIP Conf. Proc. 2018, 1960, 100005. [Google Scholar]
- Bui, V.H.; Gilles, P.; Cohen, G.; Rubio, W. Develop model for controlled depth milling by abrasive water jet of Ti6Al4V at jet inclination angle. In Advances on Mechanics, Design Engineering and Manufacturing III; Springer: Cham, Switzerland, 2020; pp. 21–27. [Google Scholar]
- Bui, V.H.; Gilles, P.; Sultan, T.; Cohen, G.; Rubio, W. Adaptive speed control for waterjet milling in pocket corners. Int. J. Adv. Manuf. Technol. 2019, 103, 77–89. [Google Scholar] [CrossRef]
- Morisset, R.; Gilles, P.; Cohen, G.; Gregoire, M. Characterization of Abrasion and Erosion mechanisms during abrasive waterjet machining of hard metals. Key Eng. Mater. 2022, 926, 1575–1580. [Google Scholar] [CrossRef]
- Sourd, X.; Zitoune, R.; Crouzeix, L.; Salem, M.; Charlas, M. New model for the prediction of the machining depth during milling of 3D woven composite using abrasive waterjet process. J. Comp. Struct. 2019, 234, 111760. [Google Scholar] [CrossRef]
- Melentiev, R.; Fang, F. Tailoring of surface topography for tribological purposes by controlled solid particle impacts. Wear 2020, 444–445, 203164. [Google Scholar] [CrossRef]
- Klocke, F.; Schreiner, T.; Schuler, M.; Zeis, M. Material removal simulation for abrasive water jet milling. Procedia CIRP 2018, 68, 541–546. [Google Scholar] [CrossRef]
- Yuan, Y.; Chen, J.; Gao, H.; Wang, X. An investigation into the abrasive waterjet milling circular pocket on titanium alloy. Int. J. Adv. Manuf. Technol. 2020, 107, 4503–4515. [Google Scholar] [CrossRef]
- Deng, H.; Yao, P.; Hai, K.; Yu, S.; Huang, C.; Zhu, H.; Liu, D. High-efficiency abrasive waterjet milling of aspheric RB-SiC surface based on BP neural network depth control models. Int. J. Adv. Manuf. Technol. 2023, 126, 3133–3148. [Google Scholar] [CrossRef]
- Kowsari, K.; Nouraei, H.; Samareh, B.; Papini, M.; Spelt, J.K. CFD-aided prediction of the shape of abrasive slurry jet micro-machined channels in sintered ceramics. Ceram. Int. 2016, 42, 7030–7042. [Google Scholar] [CrossRef]
- Kumar, T.N.D.; Srinivasu, D.S. Investigation of CFD simulated abrasive waterjet flow dynamics with the material removal model for kerf geometry prediction in overlapped erosion on Ti-6Al-4V alloy. Simul. Model. Pract. Theory 2023, 127, 102788. [Google Scholar] [CrossRef]
- Adsul, S.; Srinivasu, D.S. Modelling the cross-sectional profile of the kerf generated in overlapped pass erosion in abrasive waterjet milling of Al6061-T6 alloy. J. Manuf. Process. 2023, 102, 297–318. [Google Scholar] [CrossRef]
- Chen, J.; Yuan, Y.; Gao, H.; Zhou, T.; Wu, Z. Predictive modeling approach for the jet lag in multi-pass cutting of thick materials using abrasive waterjet. J. Manuf. Process. 2022, 83, 143–156. [Google Scholar] [CrossRef]
- Ozcan, Y.; Tunc, L.T.; Kopacka, J.; Cetin, B.; Sulitka, M. Modelling and simulation of controlled depth abrasive water jet machining (AWJM) for roughing passes of free-form surfaces. Int. J. Adv. Manuf. Technol. 2021, 114, 3581–3596. [Google Scholar] [CrossRef]
- Hashish, M. A model for abrasive-waterjet (AWJ) machining. Trans. ASME 1989, 111, 154–162. [Google Scholar] [CrossRef]
- Zohourkari, I.; Zohoor, M. An erosion-based modeling of abrasive waterjet turning. World Acad. Sci. Eng. Technol. 2010, 4, 297–301. [Google Scholar]
- Chen, J.; Yuan, Y.; Gao, H.; Zhou, T. Analytical modeling of effective depth of cut for ductile materials via abrasive waterjet machining. Int. J. Adv. Manuf. Technol. 2023, 124, 1813–1826. [Google Scholar] [CrossRef]
- Paul, S.; Hoogstrate, A.M.; van Luttervelt, C.A.; Kals, H.J.J. Analytical and experimental modeling of the abrasive water jet cutting of ductile materials. J. Mater. Process. Technol. 1998, 73, 189–199. [Google Scholar] [CrossRef]
- ElTobgy, M.S.; Ng, E.; Elbestawi, M.A. Finite element modeling of erosive wear. Int. J. Mach. Tools Manuf. 2005, 45, 1337–1346. [Google Scholar] [CrossRef]
- ElTobgy, M.; Ng, E.-G.; Elbestawi, M.A. Modelling of abrasive waterjet machining: A new approach. CIRP Annals 2005, 54, 285–288. [Google Scholar] [CrossRef]
- Torrubia, P.L.; Axinte, D.A.; Billingham, J. Stochastic modeling of abrasive waterjet footprints using finite element analysis. Int. J. Mach. Tools Manuf. 2015, 95, 39–51. [Google Scholar] [CrossRef]
- Xie, J.; Rittel, D. Three-dimensional stochastic modeling of metallic surface roughness resulting from pure waterjet peening. Int. J. Eng. Sci. 2017, 120, 241–253. [Google Scholar]
- Feng, L.; Zhang, Q.; Du, M.; Fan, C.; Zhang, K. Modeling method and experimental study on the random distribution of abrasive particles in the jet cutting process. Int. J. Adv. Manuf. Technol. 2022, 121, 3173–3191. [Google Scholar] [CrossRef]
Disclaimer/Publisher’s Note: The statements, opinions and data contained in all publications are solely those of the individual author(s) and contributor(s) and not of MDPI and/or the editor(s). MDPI and/or the editor(s) disclaim responsibility for any injury to people or property resulting from any ideas, methods, instructions or products referred to in the content. |
© 2024 by the authors. Licensee MDPI, Basel, Switzerland. This article is an open access article distributed under the terms and conditions of the Creative Commons Attribution (CC BY) license (https://creativecommons.org/licenses/by/4.0/).