A Comparative Study of Efficient Modeling Approaches for Performing Controlled-Depth Abrasive Waterjet Pocket Milling
Abstract
1. Introduction
2. Materials and Methods
2.1. Scope of the Present Work
2.2. Modelling Methods
2.2.1. First Model
2.2.2. Second Model
2.2.3. Third Model
2.3. Experimental Details
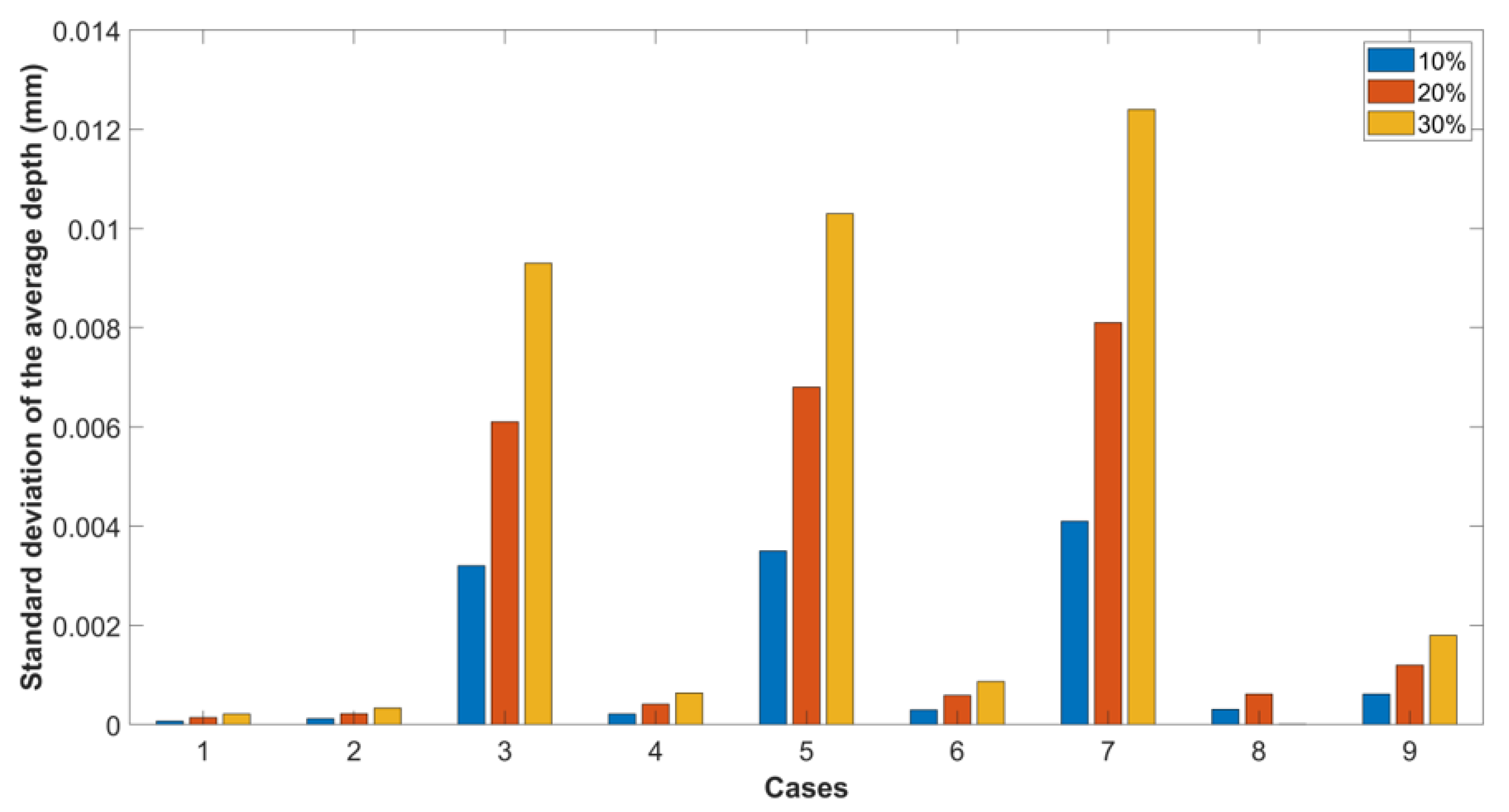
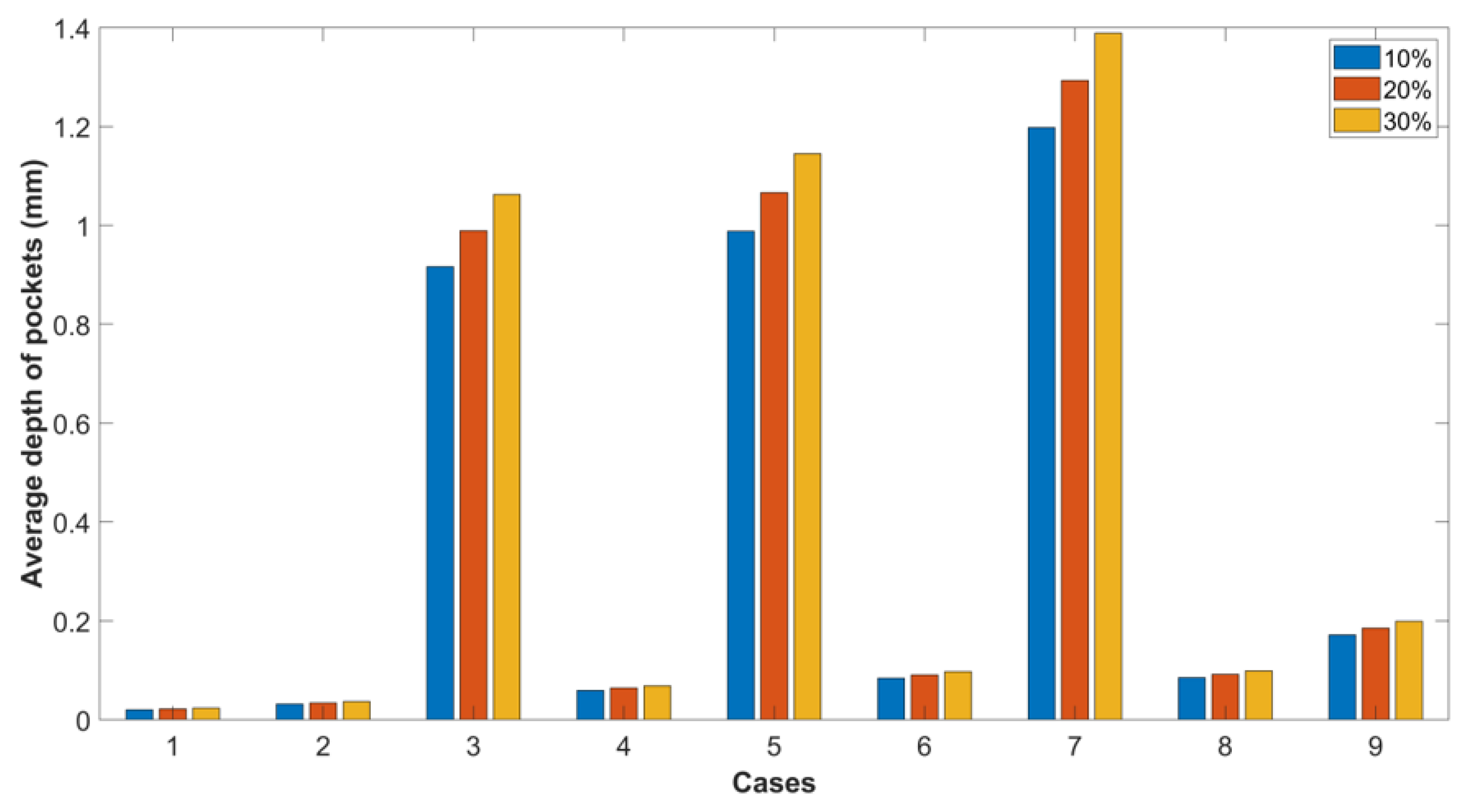
3. Results and Discussion
3.1. Results from the First Model
3.2. Results from the Second Model
3.3. Results from the Third Model
4. Conclusions
Author Contributions
Funding
Data Availability Statement
Conflicts of Interest
References
- Natarajan, Υ.; Murugesan, P.K.; Mohan, M.; Khan, S.A.L.A. Abrasive waterjet machining process: A state of art of review. J. Manuf. Process. 2020, 49, 271–322. [Google Scholar] [CrossRef]
- Thakur, P.M.; Raut, D.N.; Lade, P.R.; Kudalkar, S. Development of operations in waterjet technology: A review. Adv. Mater. Process. Technol. 2023. [Google Scholar] [CrossRef]
- Singh, P.N.; Srinivasu, D.S.; Ramesh Babu, N. Modelling of abrasive waterjet kerf in a double-layered structure. J. Manuf. Process. 2021, 69, 514–531. [Google Scholar] [CrossRef]
- Chen, J.; Yuan, Y.; Gao, H.; Zhou, T. Gaussian distribution-based modeling of cutting depth predictions of kerf profiles for ductile materials machined by abrasive waterjet. Mat. Des. 2023, 227, 111759. [Google Scholar] [CrossRef]
- Yuan, Y.; Chen, J.; Gao, H. Surface profile evolution model for titanium alloy machined using abrasive waterjet. Int. J. Mech. Sci. 2023, 240, 107911. [Google Scholar] [CrossRef]
- Alberdi, A.; Rivero, A.; Carrascal, A.; Lamikiz, A. Kerf profile modelling in Abrasive Waterjet milling. Mater. Sci. Forum 2012, 713, 91–96. [Google Scholar] [CrossRef]
- Srinivasu, D.S.; Axinte, D.A.; Shipway, P.H.; Folkes, J. Influence of kinematic operating parameters on kerf geometry in abrasive waterjet machining of silicon carbide ceramics. Int. J. Mach. Tool. Manuf. 2009, 49, 1077–1088. [Google Scholar] [CrossRef]
- Torrubia, P.L.; Billingham, J.; Axinte, D.A. Stochastic simplified modelling of abrasive waterjet footprints. Proc. R. Soc. A 2015, 472, 0836. [Google Scholar] [CrossRef]
- Kong, L.; Wang, Y.; Lei, X.; Feng, C.; Wang, Z. Integral modeling of abrasive waterjet micro-machining process. Wear 2021, 482–483, 203987. [Google Scholar] [CrossRef]
- Kumar, D.T.N.; Devadula, S. A generic model for prediction of kerf cross-sectional profile in multipass abrasive waterjet milling at macroscopic scale by considering the jet flow dynamics. Int. J. Adv. Manuf. Technol. 2023, 127, 2815–2841. [Google Scholar]
- Ravi, R.R.; Kumar, T.N.D.; Srinivasu, D.S. Experimental investigation and modeling of the kerf profile in submerged milling by macro abrasive waterjet. J. Manuf. Sci. Eng. 2023, 145, 091004. [Google Scholar] [CrossRef]
- Tosello, G.; Bissacco, G.; Cao, J.; Axinte, D. Modeling and simulation of surface generation in manufacturing. CIRP Ann. 2023, 72, 753–779. [Google Scholar] [CrossRef]
- Billingham, J.; Miron, C.B.; Axinte, D.A.; Kong, M.C. Mathematical modelling of abrasive waterjet footprints for arbitrarily moving jets: Part II-Overlapped single and multiple straight paths. Int. J. Mach. Tool. Manuf. 2013, 68, 30–39. [Google Scholar] [CrossRef]
- Uhlmann, E.; Mannel, C. Modelling of the kerf formation through primary and secondary jet energy for the abrasive waterjet. In Proceedings of the 2019 WJTA Conference and Expo, New Orleans, LA, USA, 11–13 November 2019. [Google Scholar]
- Uhlmann, E.; Kruggel-Emden, H.; Mannel, C.; Barth, E.; Markauskas, D. Advances in Modeling of the Kerf Formation considering the Primary and Deflection Jets for the Abrasive Water Jets Technology. Procedia CIRP 2021, 102, 156–161. [Google Scholar] [CrossRef]
- Rabani, A.; Madariaga, J.; Bouvier, C.; Axinte, D. An approach for using iterative learning for controlling the jet penetration depth in abrasive waterjet milling. J. Manuf. Process. 2016, 22, 99–107. [Google Scholar] [CrossRef]
- Axinte, D.; Billingham, J.; Bilbao-Guillerna, A. New models for energy beam machining enable accurate generation of free forms. Sci. Adv. 2017, 3, e1701201. [Google Scholar] [CrossRef] [PubMed]
- Bilbao-Guillerna, A.; Axinte, D.; Billingham, J. The linear inverse problem in energy beam processing with an application to abrasive waterjet machining. Int. J. Mach. Tools Manuf. 2015, 99, 34–42. [Google Scholar] [CrossRef]
- Bilbao-Guillerna, A.; Axinte, D.A.; Billingham, J.; Cadot, G.B.J. Waterjet and laser etching: The nonlinear inverse problem. R. Soc. Open Sci. 2017, 4, 161031. [Google Scholar] [CrossRef]
- Lari, M.R.S.; Papini, M. Inverse methods to gradient etch three-dimensional features with prescribed topographies using abrasive jet micromachining: Part I—Modeling. Precis. Eng. 2016, 45, 272–284. [Google Scholar] [CrossRef]
- Bui, V.H.; Gilles, P.; Sultan, T.; Cohen, G.; Rubio, W. A new cutting depth model with rapid calibration in abrasive waterjet machining of titanium alloy. Int. J. Adv. Manuf. Technol. 2017, 93, 1499–1512. [Google Scholar] [CrossRef]
- Alberdi, A.; Rivero, A.; Lopez de Lacalle, L.N. Experimental study of the slot overlapping and tool path variation effect in abrasive waterjet milling. J. Manuf. Sci. Eng. 2011, 133, 034502. [Google Scholar] [CrossRef]
- Ngygen, T.; Wang, J.; Li, W. Process models for controlled-depth abrasive waterjet milling of amorphous glasses. Int. J. Adv. Manuf. Technol. 2015, 77, 1177–1189. [Google Scholar]
- Tamannaee, N.; Spelt, J.K.; Papini, M. Abrasive slurry jet micro-machining of edges, planar areas and transitional slopes in a talc-filled co-polymer. Precis. Eng. 2016, 43, 52–62. [Google Scholar] [CrossRef]
- Kumar, N.P.; Srikanth, R.; Babu, N.R. Modeling and Analysis of Kerf Geometry in Pocket Milling with Abrasive Waterjets. In Proceedings of the 12th CIRP Conference on Modelling of Machining Operations, Donostia-San Sebastián, Spain, 7–8 May 2009; pp. 613–620. [Google Scholar]
- Srikanth, R.; Babu, N.R. Boundary condition for deformation wear mode material removal in abrasive waterjet milling: Theoretical and experimental analyses. Proc. IMechE Part B J. Eng. Manuf. 2019, 233, 55–68. [Google Scholar] [CrossRef]
- Sultan, T.; Gilles, P.; Cohen, G.; Cenac, F.; Rubio, W. Modeling incision profile in AWJM of Titanium alloys Ti6Al4V. Mech. Ind. 2016, 17, 403. [Google Scholar] [CrossRef]
- Alberdi, A.; Rivero, A.; Lopez de Lacalle, L.N.; Exteberria, I.; Suarez, A. Effect of process parameter on the kerf geometry in abrasive waterjet milling. Int. J. Adv. Manuf. Technol. 2010, 51, 467–480. [Google Scholar] [CrossRef]
- Bui, V.H.; Gilles, P.; Cohen, G.; Rubio, W. A modeling of elementary passes taking into account the firing angle in abrasive waterjet machining of titanium alloy. AIP Conf. Proc. 2018, 1960, 100005. [Google Scholar]
- Bui, V.H.; Gilles, P.; Cohen, G.; Rubio, W. Develop model for controlled depth milling by abrasive water jet of Ti6Al4V at jet inclination angle. In Advances on Mechanics, Design Engineering and Manufacturing III; Springer: Cham, Switzerland, 2020; pp. 21–27. [Google Scholar]
- Bui, V.H.; Gilles, P.; Sultan, T.; Cohen, G.; Rubio, W. Adaptive speed control for waterjet milling in pocket corners. Int. J. Adv. Manuf. Technol. 2019, 103, 77–89. [Google Scholar] [CrossRef]
- Morisset, R.; Gilles, P.; Cohen, G.; Gregoire, M. Characterization of Abrasion and Erosion mechanisms during abrasive waterjet machining of hard metals. Key Eng. Mater. 2022, 926, 1575–1580. [Google Scholar] [CrossRef]
- Sourd, X.; Zitoune, R.; Crouzeix, L.; Salem, M.; Charlas, M. New model for the prediction of the machining depth during milling of 3D woven composite using abrasive waterjet process. J. Comp. Struct. 2019, 234, 111760. [Google Scholar] [CrossRef]
- Melentiev, R.; Fang, F. Tailoring of surface topography for tribological purposes by controlled solid particle impacts. Wear 2020, 444–445, 203164. [Google Scholar] [CrossRef]
- Klocke, F.; Schreiner, T.; Schuler, M.; Zeis, M. Material removal simulation for abrasive water jet milling. Procedia CIRP 2018, 68, 541–546. [Google Scholar] [CrossRef]
- Yuan, Y.; Chen, J.; Gao, H.; Wang, X. An investigation into the abrasive waterjet milling circular pocket on titanium alloy. Int. J. Adv. Manuf. Technol. 2020, 107, 4503–4515. [Google Scholar] [CrossRef]
- Deng, H.; Yao, P.; Hai, K.; Yu, S.; Huang, C.; Zhu, H.; Liu, D. High-efficiency abrasive waterjet milling of aspheric RB-SiC surface based on BP neural network depth control models. Int. J. Adv. Manuf. Technol. 2023, 126, 3133–3148. [Google Scholar] [CrossRef]
- Kowsari, K.; Nouraei, H.; Samareh, B.; Papini, M.; Spelt, J.K. CFD-aided prediction of the shape of abrasive slurry jet micro-machined channels in sintered ceramics. Ceram. Int. 2016, 42, 7030–7042. [Google Scholar] [CrossRef]
- Kumar, T.N.D.; Srinivasu, D.S. Investigation of CFD simulated abrasive waterjet flow dynamics with the material removal model for kerf geometry prediction in overlapped erosion on Ti-6Al-4V alloy. Simul. Model. Pract. Theory 2023, 127, 102788. [Google Scholar] [CrossRef]
- Adsul, S.; Srinivasu, D.S. Modelling the cross-sectional profile of the kerf generated in overlapped pass erosion in abrasive waterjet milling of Al6061-T6 alloy. J. Manuf. Process. 2023, 102, 297–318. [Google Scholar] [CrossRef]
- Chen, J.; Yuan, Y.; Gao, H.; Zhou, T.; Wu, Z. Predictive modeling approach for the jet lag in multi-pass cutting of thick materials using abrasive waterjet. J. Manuf. Process. 2022, 83, 143–156. [Google Scholar] [CrossRef]
- Ozcan, Y.; Tunc, L.T.; Kopacka, J.; Cetin, B.; Sulitka, M. Modelling and simulation of controlled depth abrasive water jet machining (AWJM) for roughing passes of free-form surfaces. Int. J. Adv. Manuf. Technol. 2021, 114, 3581–3596. [Google Scholar] [CrossRef]
- Hashish, M. A model for abrasive-waterjet (AWJ) machining. Trans. ASME 1989, 111, 154–162. [Google Scholar] [CrossRef]
- Zohourkari, I.; Zohoor, M. An erosion-based modeling of abrasive waterjet turning. World Acad. Sci. Eng. Technol. 2010, 4, 297–301. [Google Scholar]
- Chen, J.; Yuan, Y.; Gao, H.; Zhou, T. Analytical modeling of effective depth of cut for ductile materials via abrasive waterjet machining. Int. J. Adv. Manuf. Technol. 2023, 124, 1813–1826. [Google Scholar] [CrossRef]
- Paul, S.; Hoogstrate, A.M.; van Luttervelt, C.A.; Kals, H.J.J. Analytical and experimental modeling of the abrasive water jet cutting of ductile materials. J. Mater. Process. Technol. 1998, 73, 189–199. [Google Scholar] [CrossRef]
- ElTobgy, M.S.; Ng, E.; Elbestawi, M.A. Finite element modeling of erosive wear. Int. J. Mach. Tools Manuf. 2005, 45, 1337–1346. [Google Scholar] [CrossRef]
- ElTobgy, M.; Ng, E.-G.; Elbestawi, M.A. Modelling of abrasive waterjet machining: A new approach. CIRP Annals 2005, 54, 285–288. [Google Scholar] [CrossRef]
- Torrubia, P.L.; Axinte, D.A.; Billingham, J. Stochastic modeling of abrasive waterjet footprints using finite element analysis. Int. J. Mach. Tools Manuf. 2015, 95, 39–51. [Google Scholar] [CrossRef]
- Xie, J.; Rittel, D. Three-dimensional stochastic modeling of metallic surface roughness resulting from pure waterjet peening. Int. J. Eng. Sci. 2017, 120, 241–253. [Google Scholar]
- Feng, L.; Zhang, Q.; Du, M.; Fan, C.; Zhang, K. Modeling method and experimental study on the random distribution of abrasive particles in the jet cutting process. Int. J. Adv. Manuf. Technol. 2022, 121, 3173–3191. [Google Scholar] [CrossRef]
















| Case | h (mm) | ma (g/s) | P (MPa) | d (mm) | w (mm) |
|---|---|---|---|---|---|
| 1 | 3 | 2 | 150 | 0.014 | 10.78 |
| 2 | 3 | 4 | 250 | 0.031 | 10.97 |
| 3 | 3 | 6 | 350 | 0.88 | 11.17 |
| 4 | 7 | 2 | 250 | 0.065 | 11.32 |
| 5 | 7 | 4 | 350 | 0.951 | 11.25 |
| 6 | 7 | 6 | 150 | 0.108 | 10.79 |
| 7 | 11 | 2 | 350 | 1.154 | 11.29 |
| 8 | 11 | 4 | 150 | 0.074 | 10.93 |
| 9 | 11 | 6 | 250 | 0.139 | 11.02 |
Disclaimer/Publisher’s Note: The statements, opinions and data contained in all publications are solely those of the individual author(s) and contributor(s) and not of MDPI and/or the editor(s). MDPI and/or the editor(s) disclaim responsibility for any injury to people or property resulting from any ideas, methods, instructions or products referred to in the content. |
© 2024 by the authors. Licensee MDPI, Basel, Switzerland. This article is an open access article distributed under the terms and conditions of the Creative Commons Attribution (CC BY) license (https://creativecommons.org/licenses/by/4.0/).
Share and Cite
Karkalos, N.E.; Karmiris-Obratański, P. A Comparative Study of Efficient Modeling Approaches for Performing Controlled-Depth Abrasive Waterjet Pocket Milling. Machines 2024, 12, 168. https://doi.org/10.3390/machines12030168
Karkalos NE, Karmiris-Obratański P. A Comparative Study of Efficient Modeling Approaches for Performing Controlled-Depth Abrasive Waterjet Pocket Milling. Machines. 2024; 12(3):168. https://doi.org/10.3390/machines12030168
Chicago/Turabian StyleKarkalos, Nikolaos E., and Panagiotis Karmiris-Obratański. 2024. "A Comparative Study of Efficient Modeling Approaches for Performing Controlled-Depth Abrasive Waterjet Pocket Milling" Machines 12, no. 3: 168. https://doi.org/10.3390/machines12030168
APA StyleKarkalos, N. E., & Karmiris-Obratański, P. (2024). A Comparative Study of Efficient Modeling Approaches for Performing Controlled-Depth Abrasive Waterjet Pocket Milling. Machines, 12(3), 168. https://doi.org/10.3390/machines12030168
