Iterative Integro-Differential Techniques Based on Green’s Function for Two-Point Boundary-Value Problems of Ordinary Differential Equations
Abstract
1. Introduction
2. Two-Point Nonlinear Boundary-Value Problems
2.1. Equation (1) with
2.2. Equation (1) with
2.3. Equation (1) with
2.4. Comparisons of Iterative Methods
2.5. Convergence of Iterative Methods
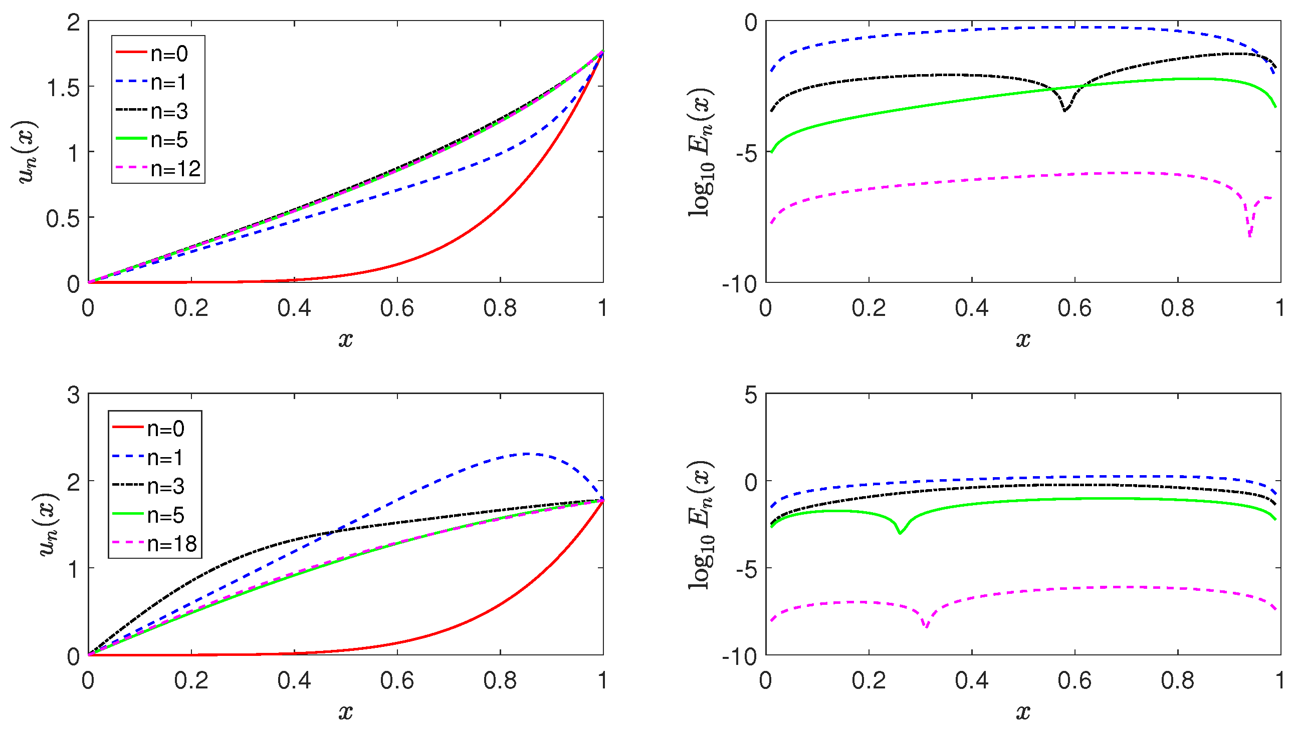
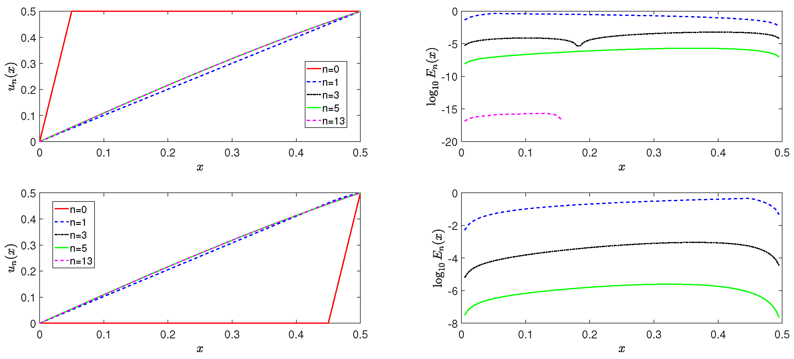
3. Sample Results
3.1. Example 1
3.2. Example 2
4. Conclusions
Funding
Data Availability Statement
Acknowledgments
Conflicts of Interest
Appendix A. Third-Order Boundary-Value Problems
References
- Stakgold, I.; Holst, M. Green’s Functions and Boundary Value Problems, 2nd ed.; John Wiley & Sons: New York, NY, USA, 2011. [Google Scholar]
- Picard, E. Sur l’application des méthodes d’approximations successives à l’etude de certaines equations differentielles ordinaires. J. Math. Pures Appl. 4e Série 1893, 9, 217–271. [Google Scholar]
- Shampine, L.F. Boundary value problems for ordinary differential equations. SIAM J. Numer. Anal. 1968, 5, 219–242. [Google Scholar] [CrossRef]
- Coles, W.J.; Sherman, T.L. Convergence of successive spproximations for nonlinear two–point boundary value problems. SIAM J. Appl. Math. 1967, 15, 426–433. [Google Scholar] [CrossRef]
- Bellman, R.E.; Kalaba, R.E. Quasilinearization and Non–Linear Boundary Value Problems; American Elsevier Publishing Company Inc.: New York, NY, USA, 1965. [Google Scholar]
- Keller, H.B. Numerical Methods for Two–Point Boundary–Value Problems; Dover Publications, Inc.: New York, NY, USA, 2003. [Google Scholar]
- Ascher, U.; Mattheij, R.M.M.; Russell, R.D. Numerical Solution of Boundary Value Problems for Ordinary Differential Equations; Prentice-Hall: Englewood Cliffs, NJ, USA, 1988. [Google Scholar]
- Russell, R.D.; Shampine, L.F. A collocation method for boundary value problems. Numer. Math. 1972, 19, 1–28. [Google Scholar] [CrossRef]
- Press, W.H.; Teukolsky, S.A.; Vetterling, W.T.; Flannery, B.P. Numerical Recipes: The Art of Scientific Computing, 3rd ed.; Cambridge University Press: New York, NY, USA, 2017. [Google Scholar]
- Khuri, S.A.; Sayfy, A. Generalizing the variational iteration method for BVPs: Proper setting of the correction functional. Appl. Math. Lett. 2017, 68, 68–75. [Google Scholar] [CrossRef]
- He, J.–H. Variational iteration method–a kind of non–linear analytical technique: Some examples. Int. J. Non–Linear Mech. 1999, 34, 699–708. [Google Scholar] [CrossRef]
- Ramos, J.I. On the variational iteration method and other iterative techniques for nonlinear differential equations. Appl. Math. Comput. 2008, 199, 39–69. [Google Scholar] [CrossRef]
- Anjum, N.; He, J.-H. A dual Lagrange multiplier approach for the dynamics of the mechanical systems. J. Appl. Comput. Mech. 2024, 10, 643–651. [Google Scholar] [CrossRef]
- Kantorovich, L.V.; Krylov, V.I. Approximate Methods of Higher Analysis; P. Noordhoff, Ltd.: Groningen, The Netherlands, 1958. [Google Scholar]
- Finlayson, B.A. The Method of Weighted Residuals and Variational Principles: With Applications in Fluid Mechanics, Heat and Mass Transfer; Academic Press: New York, NY, USA, 1972. [Google Scholar]
- Rudin, W. Principles of Mathematical Analysis; McGraw–Hill Publishing Company: New York, NY, USA, 1976. [Google Scholar]
- Southwell, R.V. Relaxation Methods in Engineering Science; Oxford University Press: Oxford, UK, 1940. [Google Scholar]
- Young, D.W. Iterative Solution of Large Linear Systems; Academic Press: New York, NY, USA, 1971. [Google Scholar]
- Ortega, J.M.; Rheinboldt, W.C. Iterative Solution of Nonlinear Equations in Several Variables; Classics in Applied Mathematics; Society for Industrial and Applied Mathematics (SIAM): Philadelphia, PA, USA, 2000; Volume 30. [Google Scholar]
- Ferziger, J.H.; Perić, M.; Street, R.L. Computational Methods for Fluid Dynamics, 4th ed.; Springer: New York, NY, USA, 2001. [Google Scholar]
- Coddington, E.A.; Levinson, N. Theory of Ordinary Differential Equations; McGraw–Hill Book Company: New York, NY, USA, 1955. [Google Scholar]
- Atkinson, K.A. An Introduction to Numerical Analysis, 2nd ed.; John Wiley & Sons, Inc.: New York, NY, USA, 1989. [Google Scholar]
- Abramowitz, M.; Stegun, I.A. Handbook of Mathematical Functions with Formulas, Graphs, and Mathematical Tables; Applied Mathematics Serie; Dover Publications, Inc.: New York, NY, USA, 1972; Volume 55. [Google Scholar]
- Mathews, J.H.; Fink, K.K. Numerical Methods Using MATLAB, 4th ed.; Pearson: Upper Saddle River, NJ, USA, 2004. [Google Scholar]


Disclaimer/Publisher’s Note: The statements, opinions and data contained in all publications are solely those of the individual author(s) and contributor(s) and not of MDPI and/or the editor(s). MDPI and/or the editor(s) disclaim responsibility for any injury to people or property resulting from any ideas, methods, instructions or products referred to in the content. |
© 2026 by the author. Licensee MDPI, Basel, Switzerland. This article is an open access article distributed under the terms and conditions of the Creative Commons Attribution (CC BY) license.
Share and Cite
Ramos, J.I. Iterative Integro-Differential Techniques Based on Green’s Function for Two-Point Boundary-Value Problems of Ordinary Differential Equations. Axioms 2026, 15, 65. https://doi.org/10.3390/axioms15010065
Ramos JI. Iterative Integro-Differential Techniques Based on Green’s Function for Two-Point Boundary-Value Problems of Ordinary Differential Equations. Axioms. 2026; 15(1):65. https://doi.org/10.3390/axioms15010065
Chicago/Turabian StyleRamos, Juan I. 2026. "Iterative Integro-Differential Techniques Based on Green’s Function for Two-Point Boundary-Value Problems of Ordinary Differential Equations" Axioms 15, no. 1: 65. https://doi.org/10.3390/axioms15010065
APA StyleRamos, J. I. (2026). Iterative Integro-Differential Techniques Based on Green’s Function for Two-Point Boundary-Value Problems of Ordinary Differential Equations. Axioms, 15(1), 65. https://doi.org/10.3390/axioms15010065

