Sign in to use this feature.

Years

Between: -

Subjects

remove_circle_outline
remove_circle_outline
remove_circle_outline
remove_circle_outline
remove_circle_outline
remove_circle_outline
remove_circle_outline
remove_circle_outline
remove_circle_outline

Journals

remove_circle_outline
remove_circle_outline
remove_circle_outline
remove_circle_outline
remove_circle_outline
remove_circle_outline
remove_circle_outline
remove_circle_outline
remove_circle_outline
remove_circle_outline
remove_circle_outline
remove_circle_outline
remove_circle_outline
remove_circle_outline
remove_circle_outline
remove_circle_outline

Article Types

Countries / Regions

remove_circle_outline
remove_circle_outline
remove_circle_outline
remove_circle_outline

Search Results (1,762)

Search Parameters:
Keywords = ordinary differential equations

Order results
Result details
Results per page
Select all
Export citation of selected articles as:
10 pages, 706 KB  
Article
Neural ODE-Based Frequency Stability Assessment and Control of Energy Storage Systems
by Song Gao, Enren Liu, Zhuorui Wu, Jun Li and Meng Zhang
Appl. Sci. 2025, 15(22), 12048; https://doi.org/10.3390/app152212048 - 12 Nov 2025
Abstract
Frequency stability becomes more and more important with the increase in inverter-based resources in power systems. To enhance the frequency stability, this paper proposes a novel data-driven method for frequency stability assessment and control for energy storage systems (ESSs). Leveraging the neural ordinary [...] Read more.
Frequency stability becomes more and more important with the increase in inverter-based resources in power systems. To enhance the frequency stability, this paper proposes a novel data-driven method for frequency stability assessment and control for energy storage systems (ESSs). Leveraging the neural ordinary differential Equation (ODE) framework, the method learns a continuous-time model of the system frequency dynamics. A neural-network-based controller is then designed according to the learned neural ODE model to enhance frequency stability. The training process involves an alternating optimization algorithm that updates both the neural ODE model and the controller parameters via the adjoint sensitivity method. Simulation results demonstrate that the proposed method accurately predicts frequency trajectories. Moreover, the designed controller reduces frequency deviation by 53%. Full article
(This article belongs to the Section Computing and Artificial Intelligence)
Show Figures

Figure 1

21 pages, 2749 KB  
Article
Delayed Energy Demand–Supply Models with Gamma-Distributed Memory Kernels
by Carlo Bianca, Luca Guerrini and Stefania Ragni
AppliedMath 2025, 5(4), 162; https://doi.org/10.3390/appliedmath5040162 - 9 Nov 2025
Viewed by 124
Abstract
The stability of energy demand–supply systems is often affected by delayed feedback caused by regulatory inertia, communication lags, and heterogeneous agent responses. Conventional models typically assume discrete delays, which may oversimplify real dynamics and reduce controller effectiveness. This work addresses this limitation by [...] Read more.
The stability of energy demand–supply systems is often affected by delayed feedback caused by regulatory inertia, communication lags, and heterogeneous agent responses. Conventional models typically assume discrete delays, which may oversimplify real dynamics and reduce controller effectiveness. This work addresses this limitation by introducing a novel class of nonlinear energy models with distributed delay feedback governed by gamma-distributed memory kernels. Specifically, we consider both weak (exponential) and strong (Erlang-type) kernels to capture a spectrum of memory effects. Using the linear chain trick, we reformulate the resulting integro-differential model into a higher-dimensional system of ordinary differential equations. Analytical conditions for local asymptotic stability and Hopf bifurcation are derived, complemented by Lyapunov-based global stability criteria. The related numerical analysis confirms the theoretical findings and reveals a distinct stabilization regime. Compared to fixed-delay approaches, the proposed framework offers improved flexibility and robustness, with implications for delay-aware energy control and infrastructure design. Full article
(This article belongs to the Special Issue Mathematical Innovations in Thermal Dynamics and Optimization)
Show Figures

Figure 1

27 pages, 884 KB  
Article
Global Well-Posedness and Stability of Nonlocal Damage-Structured Lineage Model with Feedback and Dedifferentiation
by Ye Liang, Louis Shuo Wang, Jiguang Yu and Zonghao Liu
Mathematics 2025, 13(22), 3583; https://doi.org/10.3390/math13223583 - 7 Nov 2025
Viewed by 165
Abstract
A nonlocal transport–reaction system is proposed to model the coupled dynamics of stem and differentiated cell populations, structured by a continuous damage variable. The framework incorporates bidirectional transitions via differentiation and dedifferentiation, with nonlocal birth operators encoding damage redistribution upon division and Hill-type [...] Read more.
A nonlocal transport–reaction system is proposed to model the coupled dynamics of stem and differentiated cell populations, structured by a continuous damage variable. The framework incorporates bidirectional transitions via differentiation and dedifferentiation, with nonlocal birth operators encoding damage redistribution upon division and Hill-type feedback regulation dependent on total populations. Global well-posedness of solutions in C([0,);L1([0,)×L1([0,))) is established by combining the contraction mapping principle for local existence with a priori L1 bounds for global existence, ensuring uniqueness and nonnegativity. Integration yields balance laws for total populations, reducing to a finite-dimensional autonomous ordinary differential equation (ODE) system under constant death rates. Linearization reveals a bifurcation threshold separating extinction, homeostasis, and unbounded growth. Under compensatory feedback, Dulac’s criterion precludes periodic orbits, and the Poincaré–Bendixson theorem confines bounded trajectories to equilibria or heteroclinics. Uniqueness implies global asymptotic stability. A scaling invariance for steady states under uniform feedback rescaling is identified. The analysis extends structured population theory to feedback-regulated compartments with nonlocal operators and reversible dedifferentiation, providing explicit stability criteria and linking an infinite-dimensional structured model to tractable low-dimensional reductions. Full article
(This article belongs to the Special Issue Advances in Mathematical Biology and Applications)
Show Figures

Figure 1

24 pages, 427 KB  
Article
A Note on Schrödinger Operator Relations and Power-Law Energies
by James M. Hill
Symmetry 2025, 17(11), 1887; https://doi.org/10.3390/sym17111887 - 6 Nov 2025
Viewed by 242
Abstract
Schrödinger’s operator relations combined with Einstein’s special relativistic energy-momentum equation produce the linear Klein–Gordon partial differential equation. Here, we extend both the operator relations and the energy-momentum relation to determine new families of nonlinear partial differential relations. The Planck–de Broglie duality principle arises [...] Read more.
Schrödinger’s operator relations combined with Einstein’s special relativistic energy-momentum equation produce the linear Klein–Gordon partial differential equation. Here, we extend both the operator relations and the energy-momentum relation to determine new families of nonlinear partial differential relations. The Planck–de Broglie duality principle arises from Planck’s energy expression e=hν, de Broglie’s equation for momentum p=h/λ, and Einstein’s special relativity energy, where h is the Planck constant, ν and λ are the frequency and wavelength, respectively, of an associated wave having a wave speed w=νλ. The author has extended these relations to a family that is characterised by a second fundamental constant h and underpinned by Lorentz invariant power-law particle energy-momentum expressions. In this note, we apply generalized Schrödinger operator relations and the power-law relations to generate a new family of nonlinear partial differential equations that are characterised by the constant κ=h/h such that κ=0 corresponds to the Klein–Gordon equation. The resulting partial differential equation is unusual in the sense that it admits a stretching symmetry giving rise to both similarity solutions and simple harmonic travelling waves. Three simple solutions of the partial differential equation are examined including a separable solution, a travelling wave solution, and a similarity solution. A special case of the similarity solution admits zeroth-order Bessel functions as solutions while generally, it reduces to solving a nonlinear first-order ordinary differential equation. Full article
(This article belongs to the Special Issue Symmetry and Asymmetry in Nonlinear Partial Differential Equations)
Show Figures

Figure 1

24 pages, 2517 KB  
Article
Temporal Symmetry and Bifurcation in Mussel–Fish Farm Dynamics with Distributed Delays
by Carlo Bianca, Luca Guerrini and Stefania Ragni
Symmetry 2025, 17(11), 1883; https://doi.org/10.3390/sym17111883 - 5 Nov 2025
Viewed by 119
Abstract
We develop and analyze a distributed-delay model for nutrient–fish–mussel dynamics in multitrophic aquaculture systems. Extending the classical discrete-delay framework, we incorporate gamma-distributed kernels to capture the time-distributed nature of nutrient assimilation, yielding a more realistic and analytically tractable representation. These kernels introduce a [...] Read more.
We develop and analyze a distributed-delay model for nutrient–fish–mussel dynamics in multitrophic aquaculture systems. Extending the classical discrete-delay framework, we incorporate gamma-distributed kernels to capture the time-distributed nature of nutrient assimilation, yielding a more realistic and analytically tractable representation. These kernels introduce a form of temporal symmetry in the system’s memory, where past nutrient levels influence present dynamics in a balanced and structured way. Using the linear chain trick, we reformulate the integro-differential equations into ordinary differential systems for both weak and strong memory scenarios. We derive conditions for local stability and Hopf bifurcation, and establish global stability using Lyapunov-based methods. Numerical simulations confirm that increased delay can destabilize the system, leading to oscillations, while stronger memory mitigates this effect and enhances resilience. Bifurcation diagrams, time series, and phase portraits illustrate how memory strength governs the system’s dynamic response. This work highlights how symmetry in memory structures contributes to system robustness, offering theoretical insights and practical implications for the design and management of ecologically stable aquaculture systems. Full article
(This article belongs to the Section Mathematics)
Show Figures

Figure 1

11 pages, 327 KB  
Article
Stabilization Method for nth-Order ODE by Distributed Control Function
by Irina Volinsky
Symmetry 2025, 17(11), 1861; https://doi.org/10.3390/sym17111861 - 4 Nov 2025
Viewed by 106
Abstract
The stabilization of solutions by distributed feedback control functions for second- and third-order ordinary differential equations (ODEs) has been presented in earlier studies. The present paper extends these results to the stabilization of n-th order ODEs using a distributed control function expressed [...] Read more.
The stabilization of solutions by distributed feedback control functions for second- and third-order ordinary differential equations (ODEs) has been presented in earlier studies. The present paper extends these results to the stabilization of n-th order ODEs using a distributed control function expressed in integral form with first-order derivatives. The problem of stabilizing n-th order ODE solutions by distributed control functions is significantly more complex and nontrivial. This work introduces a method for selecting the parameter set within the distributed control function. Furthermore, the connection between palindromic polynomials, log-concavity, and stability with respect to initial conditions (Lyapunov stability) in n-th order ODEs with distributed feedback control functions is established. We use the symmetry property of palindromic polynomials. Full article
(This article belongs to the Section Mathematics)
Show Figures

Figure 1

27 pages, 1584 KB  
Article
Physics-Informed Dynamics Modeling: Accurate Long-Term Prediction of Underwater Vehicles with Hamiltonian Neural ODEs
by Xiang Jin, Zeyu Lyu, Jiayi Liu and Yu Lu
J. Mar. Sci. Eng. 2025, 13(11), 2091; https://doi.org/10.3390/jmse13112091 - 3 Nov 2025
Viewed by 468
Abstract
Accurately predicting the long-term behavior of complex dynamical systems is a central challenge for safety-critical applications like autonomous navigation. Mechanistic models are often brittle, relying on difficult-to-measure parameters, while standard deep learning models are black boxes that fail to generalize, producing physically inconsistent [...] Read more.
Accurately predicting the long-term behavior of complex dynamical systems is a central challenge for safety-critical applications like autonomous navigation. Mechanistic models are often brittle, relying on difficult-to-measure parameters, while standard deep learning models are black boxes that fail to generalize, producing physically inconsistent predictions. Here, we introduce a physics-informed framework that learns the continuous-time dynamics of an Autonomous Underwater Vehicle (AUV) by discovering its underlying energy landscape. We embed the structure of Port-Hamiltonian mechanics into a neural ordinary differential equation (NODE) architecture, learning not to imitate trajectories but rather to identify the system’s Hamiltonian and its constituent physical matrices from observational data. Geometric consistency is enforced by representing rotational dynamics on the SE(3) manifold, preventing numerical error accumulation. Experimental validation reveals a stark performance divide. While a state-of-the-art black-box model matches our accuracy in simple, interpolative maneuvers, its predictions fail catastrophically under complex controls. Quantitatively, our physics-informed model maintained a mean 10 s position error of a mere 3.3 cm, whereas the black-box model’s error diverged to 5.4 m—an over 160-fold performance gap. This work establishes that the key to robust, generalizable models lies not in bigger data or deeper networks but in the principled integration of physical laws, providing a clear path to overcoming the brittleness of black-box models in critical engineering simulations. Full article
(This article belongs to the Section Ocean Engineering)
Show Figures

Figure 1

13 pages, 914 KB  
Article
Variational Analysis and Integration of the (2 + 1) Fourth-Order Time-Dependent Biharmonic Equation via Energy and Momentum Conservation
by Yasir Masood, A. H. Kara, F. D. Zaman and Ali Raza
Symmetry 2025, 17(11), 1845; https://doi.org/10.3390/sym17111845 - 3 Nov 2025
Viewed by 204
Abstract
We consider the fourth-order PDE uxxxx+2uxxyy+uyyyyutt=h(u). The Lie and Noether symmetry generators are constructed, and we [...] Read more.
We consider the fourth-order PDE uxxxx+2uxxyy+uyyyyutt=h(u). The Lie and Noether symmetry generators are constructed, and we reduce the PDE to simpler ODEs. Furthermore, we use some well-known methods to compute the conserved vectors associated with the PDE. An analysis of reduced ordinary differential equations (ODEs), invariant solutions, and their physical interpretations is presented. Full article
Show Figures

Graphical abstract

17 pages, 355 KB  
Article
First Integrals and Invariants of Systems of Ordinary Differential Equations
by Mateja Grašič, Abdul Salam Jarrah and Valery G. Romanovski
Mathematics 2025, 13(21), 3485; https://doi.org/10.3390/math13213485 - 1 Nov 2025
Viewed by 172
Abstract
We investigate the interplay between monomial first integrals, polynomial invariants of certain group action, and the Poincaré–Dulac normal forms for autonomous systems of ordinary differential equations with a diagonal matrix of the linear part. Using tools from computational algebra, we develop an algorithmic [...] Read more.
We investigate the interplay between monomial first integrals, polynomial invariants of certain group action, and the Poincaré–Dulac normal forms for autonomous systems of ordinary differential equations with a diagonal matrix of the linear part. Using tools from computational algebra, we develop an algorithmic approach for identifying generators of the algebras of monomial and polynomial first integrals, which works in the general case where the matrix of the linear part includes algebraic complex eigenvalues. Our method also provides a practical tool for exploring the algebraic structure of polynomial invariants and their relation to the Poincaré-Dulac normal forms of the underlying vector fields. Full article
(This article belongs to the Section C1: Difference and Differential Equations)
25 pages, 1079 KB  
Article
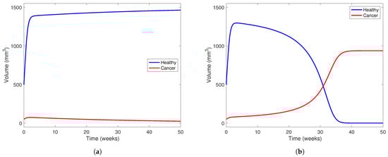
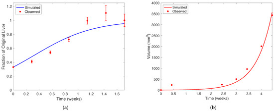
Modeling Competitive Dynamics Between Healthy and Cancerous Liver Cells with Yes-Associated Protein (YAP) Hyperactivation
by Emma Slack, Darsh Gandhi, Souvik Roy, Hristo V. Kojouharov and Benito Chen-Charpentier
Mathematics 2025, 13(21), 3479; https://doi.org/10.3390/math13213479 - 31 Oct 2025
Viewed by 193
Abstract
Current treatments for hepatocellular carcinoma (HCC) include partial hepatectomy (PH), where two-thirds of the liver is removed. However, when some cancer remains after PH, competition for resources and survival occurs between healthy and cancerous cells. Recent studies suggest that hyperactivation of yes-associated protein [...] Read more.
Current treatments for hepatocellular carcinoma (HCC) include partial hepatectomy (PH), where two-thirds of the liver is removed. However, when some cancer remains after PH, competition for resources and survival occurs between healthy and cancerous cells. Recent studies suggest that hyperactivation of yes-associated protein (YAP) could be a non-invasive treatment option for HCC. In this study, we propose two simple ordinary differential equation models of resource competition in HCC livers after PH, one capturing the natural dynamics of resource competition between healthy and cancer cells and the other incorporating YAP hyperactivation therapy. We perform full qualitative and quantitative analyses of these models and validate them on experimental data. Our numerical simulations reveal that treatment schedules must be prescribed based on a patient’s tumor aggression. We also found that a high dose of treatment is necessary to completely clear a tumor in all patients, leading us to suggest prescribing YAP hyperactivation therapy in lower doses with other treatments for HCC for the best patient outcomes. Full article
(This article belongs to the Special Issue Applied Mathematical Modeling in Oncology)
Show Figures

Figure 1

24 pages, 1716 KB  
Article
Piecewise-Analytical Approximation Methods for Initial-Value Problems of Nonlinear, Ordinary Differential Equations: Part 2
by Juan I. Ramos
Mathematics 2025, 13(21), 3470; https://doi.org/10.3390/math13213470 - 31 Oct 2025
Viewed by 179
Abstract
A variety of methods that provide approximate piecewise- analytical solutions to initial-value problems governed by scalar, nonlinear, first-order, ordinary differential equations is presented. The methods are based on fixing the independent variable in the right-hand side of these equations and approximating the resulting [...] Read more.
A variety of methods that provide approximate piecewise- analytical solutions to initial-value problems governed by scalar, nonlinear, first-order, ordinary differential equations is presented. The methods are based on fixing the independent variable in the right-hand side of these equations and approximating the resulting term by either its first- or second-order Taylor series expansion. It is shown that the second-order Taylor series approximation results in Riccati equations with constant coefficients, whereas the first-order one results in first-order, linear, ordinary differential equations. Both approximations are shown to result in explicit finite difference equations that are unconditionally linearly stable, and their local truncation errors are determined. It is shown that, for three of the nonlinear, first-order, ordinary differential equations studied in this paper that are characterized by growing or decaying solutions, as well as by solutions that first grow and then decrease, a second-order Taylor series expansion of the right-hand side of the differential equation evaluated at each interval’s midpoint results in the most accurate method; however, the accuracy of this method degrades substantially for problems that exhibit either blowup in finite time or quadratic approximations characterized by a negative radicand. It is also shown that methods based on either first- or second-order Taylor series expansion of the right-hand side of the differential equation evaluated at either the left or the right points of each interval have similar accuracy, except for one of the examples that exhibits blowup in finite time. It is also shown that both the linear and the quadratic approximation methods that use the midpoint for the independent variable in each interval exhibits the same trends as and have errors comparable to the second-order trapezoidal technique. Full article
(This article belongs to the Section C1: Difference and Differential Equations)
Show Figures

Figure 1

30 pages, 3665 KB  
Article
Reliability-Oriented Modeling of Bellows Compensators: A Comparative PDE-Based Study Using Finite Difference and Finite Element Methods
by Yerzhan Y. Sarybayev, Doszhan Y. Balgayev, Denis Y. Tkachenko, Nikita V. Martyushev, Boris V. Malozyomov, Baurzhan S. Beisenov and Svetlana N. Sorokova
Mathematics 2025, 13(21), 3452; https://doi.org/10.3390/math13213452 - 29 Oct 2025
Viewed by 268
Abstract
Bellows compensators are critical components in pipeline systems, designed to absorb thermal expansions, vibrations, and pressure reflections. Ensuring their operational reliability requires accurate prediction of the stress–strain state (SSS) and stability under internal pressure. This study presents a comprehensive mathematical model for analyzing [...] Read more.
Bellows compensators are critical components in pipeline systems, designed to absorb thermal expansions, vibrations, and pressure reflections. Ensuring their operational reliability requires accurate prediction of the stress–strain state (SSS) and stability under internal pressure. This study presents a comprehensive mathematical model for analyzing corrugated bellows compensators, formulated as a boundary value problem for a system of partial differential equations (PDEs) within the Kirchhoff–Love shell theory framework. Two numerical approaches are developed and compared: a finite difference method (FDM) applied to a reduced axisymmetric formulation to ordinary differential equations (ODEs) and a finite element method (FEM) for the full variational formulation. The FDM scheme utilizes a second-order implicit symmetric approximation, ensuring stability and efficiency for axisymmetric geometries. The FEM model, implemented in Ansys 2020 R2, provides high fidelity for complex geometries and boundary conditions. Convergence analysis confirms second-order spatial accuracy for both methods. Numerical experiments determine critical pressures based on the von Mises yield criterion and linearized buckling analysis, revealing the influence of geometric parameters (wall thickness, number of convolutions) on failure mechanisms. The results demonstrate that local buckling can occur at lower pressures than that of global buckling for thin-walled bellows with multiple convolutions, which is critical for structural reliability assessment. The proposed combined approach (FDM for rapid preliminary design and FEM for final verification) offers a robust and efficient methodology for bellows design, enhancing reliability and reducing development time. The work highlights the importance of integrating rigorous PDE-based modeling with modern numerical techniques for solving complex engineering problems with a focus on structural integrity and long-term performance. Full article
Show Figures

Figure 1

19 pages, 4417 KB  
Article
Insights into Inclined MHD Hybrid Nanofluid Flow over a Stretching Cylinder with Nonlinear Radiation and Heat Flux: A Symmetric Numerical Simulation
by Sandeep, Md Aquib, Pardeep Kumar and Partap Singh Malik
Symmetry 2025, 17(11), 1809; https://doi.org/10.3390/sym17111809 - 27 Oct 2025
Viewed by 320
Abstract
The flow of a two-dimensional incompressible hybrid nanofluid over a stretching cylinder containing microorganisms with parallel effect of inclined magnetohydrodynamic was examined in the current study in relation to chemical reactions, heat source effect, nonlinear heat radiation, and multiple convective boundaries. The main [...] Read more.
The flow of a two-dimensional incompressible hybrid nanofluid over a stretching cylinder containing microorganisms with parallel effect of inclined magnetohydrodynamic was examined in the current study in relation to chemical reactions, heat source effect, nonlinear heat radiation, and multiple convective boundaries. The main objective of this research is the optimization of heat transfer with inclined MHD and variation in different physical parameters. The governing partial differential equations are transformed into a set of ordinary differential equations by applying the appropriate similarity transformations. The Runge–Kutta method is recognized for using shooting as a technique. Surface plots, graphs, and tables have been used to illustrate how various parameters affect the local Nusselt number, mass transfer, and heat transmission. It is demonstrated that when the chemical reaction parameter rises, the concentration and motile concentration profiles drop. The least responsive is the rate of heat transfer to changes in the inclined magnetic field and most associated with changes in the Biot number and radiation parameter shown in contour plot. The streamline graph illustrates the way fluid flow is affected simultaneously by the magnetic parameter M and an angled magnetic field. Local Nusselt number and local skin friction are improved by the curvature parameter and mixed convection parameter. The contours highlight the intricate interactions between restricted magnetic field, significant radiation, and substantial convective condition factors by displaying the best heat transfer. The three-dimensional surface, scattered graph, pie chart, and residual plotting demonstrate the statistical analysis of the heat transfer. The results support their use in sophisticated energy, healthcare, and industrial systems and enhance our theoretical knowledge of hybrid nanofluid dynamics. Full article
(This article belongs to the Special Issue Symmetrical Mathematical Computation in Fluid Dynamics, 2nd Edition)
Show Figures

Figure 1

19 pages, 562 KB  
Article
New Jacobi Galerkin Operational Matrices of Derivatives: A Highly Accurate Method for Solving Two-Point Fractional-Order Nonlinear Boundary Value Problems with Robin Boundary Conditions
by Hany Mostafa Ahmed
Fractal Fract. 2025, 9(11), 686; https://doi.org/10.3390/fractalfract9110686 - 24 Oct 2025
Viewed by 332
Abstract
A novel numerical scheme is developed in this work to approximate solutions (APPSs) for nonlinear fractional differential equations (FDEs) governed by Robin boundary conditions (RBCs). The methodology is founded on a spectral collocation method (SCM) that uses a set of basis functions derived [...] Read more.
A novel numerical scheme is developed in this work to approximate solutions (APPSs) for nonlinear fractional differential equations (FDEs) governed by Robin boundary conditions (RBCs). The methodology is founded on a spectral collocation method (SCM) that uses a set of basis functions derived from generalized shifted Jacobi (GSJ) polynomials. These basis functions are uniquely formulated to satisfy the homogeneous form of RBCs (HRBCs). Key to this approach is the establishment of operational matrices (OMs) for ordinary derivatives (Ods) and fractional derivatives (Fds) of the constructed polynomials. The application of this framework effectively reduces the given FDE and its RBC to a system of nonlinear algebraic equations that are solvable by standard numerical routines. We provide theoretical assurances of the algorithm’s efficacy by establishing its convergence and conducting an error analysis. Finally, the efficacy of the proposed algorithm is demonstrated through three problems, with our APPSs compared against exact solutions (ExaSs) and existing results by other methods. The results confirm the high accuracy and efficiency of the scheme. Full article
(This article belongs to the Section Numerical and Computational Methods)
Show Figures

Figure 1

15 pages, 340 KB  
Article
Nonlinear Almost Relational Contractions via a Triplet of Test Functions and Applications to Second-Order Ordinary Differential Equations
by Doaa Filali and Faizan Ahmad Khan
Symmetry 2025, 17(11), 1798; https://doi.org/10.3390/sym17111798 - 24 Oct 2025
Viewed by 283
Abstract
After the introduction of the relation-theoretic contraction principle, the branch of metric fixed-point theory has attracted much attention in this direction, and various fixed-point results have been proven in the framework of relational metric space via different approaches. The aim of this article [...] Read more.
After the introduction of the relation-theoretic contraction principle, the branch of metric fixed-point theory has attracted much attention in this direction, and various fixed-point results have been proven in the framework of relational metric space via different approaches. The aim of this article is to establish some fixed-point outcomes in the framework of relational metric space verifying a generalized nonlinear contraction utilizing three test functions Φ, Ψ and Θ satisfying the appropriate characteristics. The findings obtained herein expand, sharpen, improve, modify and unify a few well-known findings. To demonstrate the utility of our outcomes, several examples are furnished. We utilized our outcomes to investigate a unique solution of second-order ordinary differential equations prescribed with specific boundary conditions. Full article
Back to TopTop