Improvement of Barzilai and Borwein Gradient Method Based on Neutrosophic Logic System with Application in Image Restoration
Abstract
1. Introduction, Preliminaries, and Motivation
2. BB Method Enhanced by the Neutrosophic Logic System
| Algorithm 1 Backtracking line search. |
|
- (1)
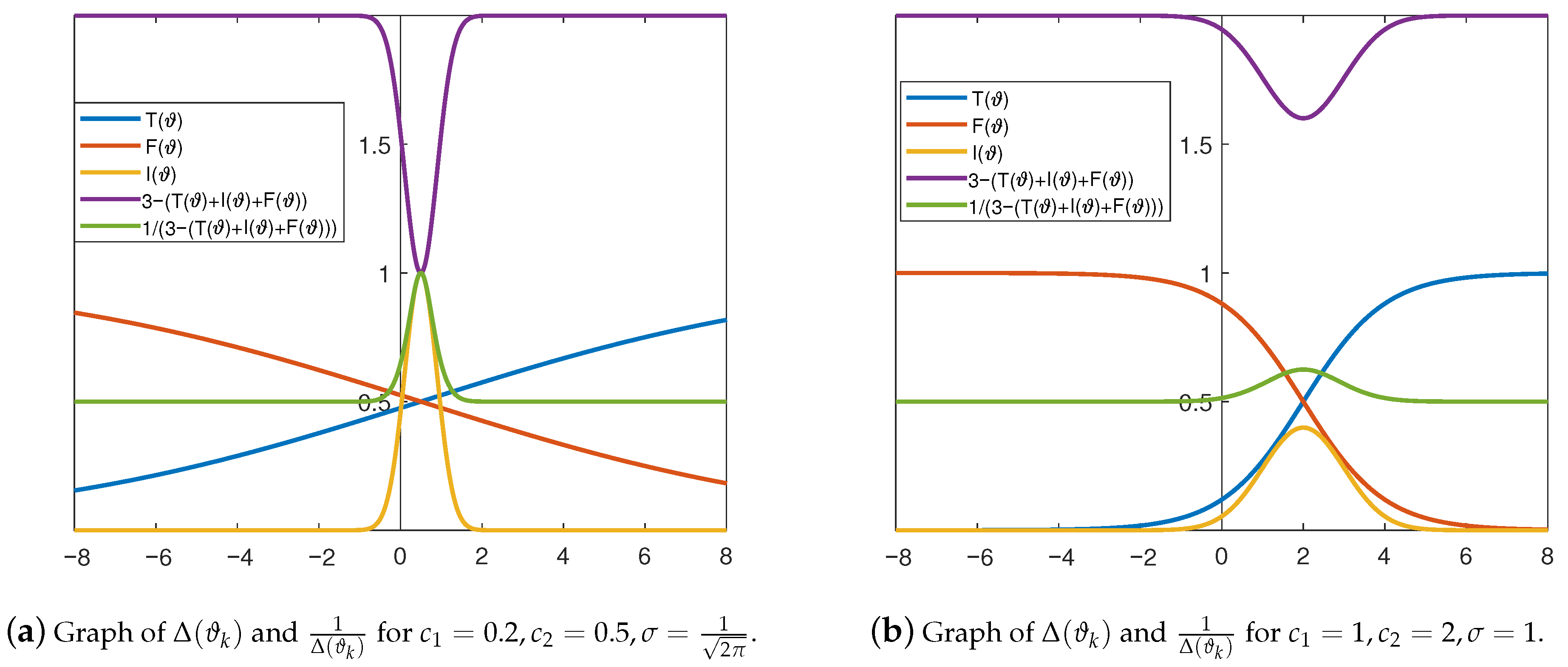
- Neutrosophication utilizes three MFs and transforms the inputwhere .The rationale for using three function values in (19) is to capture the overall trend of the optimization process, rather than just the immediate step. The parameter measures the relative change in function decrease. For instance, if is much smaller than , and is further smaller compared to , then will reflect strong consistent descent. Conversely, if the function decrease slows down or reverses, will indicate this deterioration. This three-point evaluation provides richer information than the two-point BB formulas, enabling the neutrosophic system to make more informed adaptive corrections.In Equation (19), we can see that the value of the parameter depends on three values of the objective function: , , and . This approach represents a significant difference in the phase of neutrosophication. In contrast, the determination of in references [30,31] relies on only two values of the objective function. Furthermore, the method used to calculate the parameter is also different.We will examine values of the gain parameter, estimated in terms of three MFs that represent the percentage of truth, indeterminacy, and falsity.The Gaussian function is widely used to model the level of indeterminacy in neutrosophic models, especially in fields such as image processing, optimization, classification, and decision-making. The usefulness of this function stems from its ability to smoothly and controllably describe localized phenomena that exhibit a maximum at a specific point and gradually decay with increasing distance from that point. The Gaussian function is ideal for representing regions where values change gradually and where there is overlap among the T, I, and F components, thereby enabling a more realistic handling of uncertainty than functions with abrupt transitions. In neutrosophic systems and related fields, the sigmoid function is commonly used to model membership transitions, soft thresholds, and probabilities, thereby enabling gradual, rather than abrupt, changes between states.The truth MF is modeled by the sigmoid functionThe parameter defines the slope at the crossover point . The falsity MF is the sigmoid functionThe indeterminacy MF is modeled by the Gaussian functionThe variable represents the standard deviation, while denotes the mean. The value represents the center of the Gaussian function, determining the point at which it attains its maximum value. Changing the value of shifts the curve horizontally without altering its shape. The parameter , on the other hand, controls how rapidly the function decays from its maximum. In other words, controls the “width of the curve”: a smaller produces a narrower and sharper curve with a higher peak, while a larger yields a wider and flatter curve with a lower peak.Based on these definitions, the neutrosophication of involves transforming a single real quantity into the ordered triple . The MFs for this transformation are defined in (20)–(22).The parameters , , and control the shape of the membership functions. Specifically, determines the slope of the sigmoid functions and at their crossover point . The parameter determines the intersection point of the and functions and also affects the peak location of . On the other hand, controls the width of the Gaussian indeterminacy function .This paper investigates two combinations for the parameters’ configurations:: , and : , , and .Graphs of under the configuration in (20)–(22) are plotted in Figure 1a for . Graphs of for the configuration in (20)–(22) are plotted in Figure 1b for . Figure 1a depicts gradual sigmoid transitions centered at with a narrow indeterminacy peak reaching around . Figure 1b exhibits steeper transitions at and a broader, flatter indeterminacy function with a peak around ).To minimize , employing (19) as a measure in the neutrosophic logic controller (NLC), we will take into account the dynamic neutrosophic set (DNS) defined as over the real numbers .
- (2)
- De-neutrosophication is defined as transformation resulting in a single-value . The following de-neutrosophication is adopted to acquire the parameter :
| Algorithm 2 FBB method. |
|
| Algorithm 3 FHBB method. |
|
3. Convergence Analysis
4. Numerical Experience
4.1. Image Restoration via FBB and FHBB Methods
4.1.1. Application to Image Denoising
4.1.2. Comparative Analysis
4.1.3. Comparative Analysis of and Step-Size Rules for FHBB and FBB Pixel Variants
4.1.4. Visual Comparison of Reconstruction Quality
5. Conclusions and Discussion of Further Research
Author Contributions
Funding
Institutional Review Board Statement
Informed Consent Statement
Data Availability Statement
Conflicts of Interest
References
- Nocedal, J.; Wright, J. Numerical Optimization; Springer: New York, NY, USA, 1999. [Google Scholar]
- Sun, W.; Yuan, Y.-X. Optimization Theory and Methods: Nonlinear Programming; Springer: Berlin/Heidelberg, Germany, 2006. [Google Scholar]
- Brezinski, C. A classification of quasi-Newton methods. Numer. Algorithms 2003, 33, 123–135. [Google Scholar] [CrossRef]
- Djordjević, S.S. Two modifications of the method of the multiplicative parameters in descent gradient methods. Appl. Math. Comput. 2012, 218, 8672–8683. [Google Scholar] [CrossRef]
- Ivanov, B.; Stanimirović, P.S.; Milovanović, G.V.; Djordjević, S.; Brajević, I. Accelerated multiple step-size methods for solving unconstrained optimization problems. Optim. Methods Softw. 2021, 36, 998–1029. [Google Scholar] [CrossRef]
- Petrović, M.J. An accelerated Double Step Size method in unconstrained optimization. Appl. Math. Comput. 2015, 250, 309–319. [Google Scholar]
- Stanimirović, P.S.; Miladinović, M.B. Accelerated gradient descent methods with line search. Numer. Algorithms 2010, 54, 503–520. [Google Scholar] [CrossRef]
- Stanimirović, P.S.; Milovanović, G.V.; Petrović, M.J. A transformation of accelerated double step size method for unconstrained optimization. Math. Probl. Eng. 2015, 2015, 283679. [Google Scholar] [CrossRef]
- Barzilai, J.; Borwein, J.M. Two-point step size gradient method. IMA J. Numer. Anal. 1988, 8, 141–148. [Google Scholar] [CrossRef]
- Raydan, M. On the Barzilai and Borwein choice of steplength for the gradient method. IMA J. Numer. Anal. 1993, 13, 321–326. [Google Scholar] [CrossRef]
- Dai, Y.H.; Liao, L.Z. R-linear convergence of the Barzilai and Borwein gradient method. IMA J. Numer. Anal. 2002, 22, 1–10. [Google Scholar] [CrossRef]
- Raydan, M. The Barzilai and Borwein gradient method for the large scale unconstrained minimization problem. SIAM J. Optim. 1997, 7, 26–33. [Google Scholar] [CrossRef]
- Dai, Y.H.; Yuan, J.Y.; Yuan, Y. Modified two-point step-size gradient methods for unconstrained optimization. Comput. Optim. Appl. 2002, 22, 103–109. [Google Scholar] [CrossRef]
- Dai, Y.H.; Yuan, Y.X. Alternate step gradient method. Optimization 2003, 52, 395–415. [Google Scholar] [CrossRef]
- Dai, Y.H.; Yuan, Y. Alternate minimization gradient method. IMA J. Numer. Anal. 2003, 23, 377–393. [Google Scholar] [CrossRef]
- Dai, Y.H.; Hager, W.W.; Schittkowski, K.; Zhang, H. The cyclic Barzilai–Borwein method for unconstrained optimization. IMA J. Numer. Anal. 2006, 26, 604–627. [Google Scholar] [CrossRef]
- Raydan, M.; Svaiter, B.F. Relaxed steepest descent and Cauchy-Barzilai-Borwein method. Comput. Optim. Appl. 2002, 21, 155–167. [Google Scholar] [CrossRef]
- Liu, P.; Yuan, Z.; Zhuo, Y.; Shao, H. Two efficient spectral hybrid CG methods based on memoryless BFGS direction and Dai–Liao conjugacy condition. Optim. Methods Softw. 2024, 39, 1445–1463. [Google Scholar] [CrossRef]
- Shao, F.; Shao, H.; Wu, B.; Wang, H.; Liu, P.; Liu, M. A conjugate gradient algorithmic framework for unconstrained optimization with applications: Convergence and rate analyses. Appl. Numer. Math. 2026, 220, 13–28. [Google Scholar] [CrossRef]
- Li, L.; Xie, P.; Zhang, L. A novel numerical method tailored for unconstrained optimization problems. arXiv 2025, arXiv:2504.02832. [Google Scholar]
- Lima-Junior, F.R. Advances in Fuzzy Logic and Artificial Neural Networks. Mathematics 2024, 12, 3949. [Google Scholar] [CrossRef]
- Christianto, V.; Smarandache, F. A Review of Seven Applications of Neutrosophic Logic: In Cultural Psychology, Economics Theorizing, Conflict Resolution, Philosophy of Science, etc. Multidiscip. Sci. J. 2019, 2, 128–137. [Google Scholar] [CrossRef]
- Zadeh, L.A. Fuzzy sets. Inf. Control 1965, 8, 338–353. [Google Scholar] [CrossRef]
- Atanassov, K.T. Intuitionistic fuzzy sets. Fuzzy Sets Syst. 1986, 20, 87–96. [Google Scholar] [CrossRef]
- Smarandache, F. A Unifying Field in Logics, Neutrosophy: Neutrosophic Probability, Set and Logic; American Research Press: Rehoboth, NM, USA, 1999. [Google Scholar]
- Smarandache, F. Neutrosophic Logic—A Generalization of the Intuitionistic Fuzzy Logic. 25 January 2016. Available online: https://ssrn.com/abstract=2721587 (accessed on 23 October 2025). [CrossRef]
- Wang, H.; Smarandache, F.; Zhang, Y.Q.; Sunderraman, R. Single valued neutrosophic sets. Multispace Multistruct. 2010, 4, 410–413. [Google Scholar]
- Shi, Z.-J. Convergence of qusi–Newton method with new inexact line search. J. Math. Anal. Appl. 2006, 315, 120–131. [Google Scholar] [CrossRef][Green Version]
- Sun, Q.Y.; Liu, X.H. Global convergence results of a new three–term memory gradient method. J. Oper. Res. Soc. Jpn. 2004, 47, 63–72. [Google Scholar]
- Stanimirović, P.S.; Ivanov, B.; Stanujkić, D.; Katsikis, V.N.; Mourtas, S.D.; Kazakovtsev, L.A.; Edalatpanah, S.A. Improvement of unconstrained optimization methods based on symmetry involved in neutrosophy. Symmetry 2023, 15, 250. [Google Scholar] [CrossRef]
- Stanimirović, P.S.; Ivanov, B.; Stanujkić, D.; Kazakovtsev, L.A.; Krutikov, V.N.; Karabašević, D. Fuzzy adaptive parameter in the Dai–Liao optimization method based on neutrosophy. Symmetry 2023, 15, 1217. [Google Scholar] [CrossRef]
- Andrei, N. An acceleration of gradient descent algorithm with backtracking for unconstrained optimization. Numer. Algorithms 2006, 42, 63–73. [Google Scholar] [CrossRef]
- Gao, J.; Ou, Y. A hybrid BB–type method for solving large scale unconstrained optimization. J. Appl. Math. Comput. 2023, 69, 2105–2133. [Google Scholar] [CrossRef]
- Brown, A.A.; Bartholomew-Biggs, M.C. Some effective methods for unconstrained optimization based on the solution of systems of ordinary differential equations. J. Optim. Theory. Appl. 1989, 62, 211–224. [Google Scholar] [CrossRef]
- Andrei, N. Relaxed Gradient Descent and a New Gradient Descent Methods for Unconstrained Optimization. Available online: https://camo.ici.ro/neculai/newgrad.pdf (accessed on 1 October 2025).
- Ortega, J.M.; Rheinboldt, W.C. Iterative Solution of Nonlinear Equation in Several Variables; Academic Press: New York, NY, USA; London, UK, 1970. [Google Scholar]
- Rockafellar, R.T. Convex Analysis; Princeton University Press: Princeton, NJ, USA, 1970. [Google Scholar]
- Shi, Z.-J. Convergence of line search methods for unconstrained optimization. App. Math. Comput. 2004, 157, 393–405. [Google Scholar] [CrossRef]
- Crisci, S.; Porta, F.; Ruggiero, V.; Zanni, L. Spectral properties of Barzilai–Borwein rules in solving singly linearly constrained optimization problems subject to lower and upper bounds. SIAM J. Optim. 2020, 30, 1300–1326. [Google Scholar] [CrossRef]
- Andrei, N. An unconstrained optimization test functions collection. Adv. Model. Optim. 2008, 10, 147–161. [Google Scholar]
- Bongartz, I.; Conn, A.R.; Gould, N.; Toint, P.L. CUTE: Constrained and unconstrained testing environments. ACM Trans. Math. Softw. 1995, 21, 123–160. [Google Scholar] [CrossRef]
- Dolan, E.D.; Moré, J.J. Benchmarking optimization software with performance profiles. Math. Program. 2002, 91, 201–213. [Google Scholar] [CrossRef]
- Rudin, L.I.; Osher, S.; Fatemi, E. Nonlinear total variation based noise removal algorithms. Phys. D 1992, 60, 259–268. [Google Scholar] [CrossRef]




| Test Function | No. of Iterations | ||||||
|---|---|---|---|---|---|---|---|
| FBB1 | FBB2 | HBB1 | HBB2 | FHBB1 | FHBB2 | FMSM | |
| Extended Penalty | 460 | 463 | 459 | 448 | 431 | 438 | 373 |
| Perturbed Quadratic | 57,888 | 10,846 | 7776 | 13,943 | 7523 | 14,474 | 58,008 |
| Raydan 2 | 65 | 65 | 69 | 69 | 60 | 60 | 87 |
| Diagonal 2 | 32,020 | 5607 | 4684 | 8575 | 4312 | 9283 | 20,764 |
| Hager | 789 | 663 | 710 | 671 | 677 | 704 | 743 |
| Extended Tridiagonal 1 | 9015 | 426 | 232 | 457 | 152 | 158 | 4233 |
| Extended TET | 111 | 80 | 100 | 161 | 110 | 107 | 237 |
| Diagonal 5 | 40 | 40 | 60 | 60 | 51 | 51 | 105 |
| Extended Himmelblau | 257 | 238 | 138 | 136 | 241 | 257 | 376 |
| Perturbed quadratic diagonal | 40,954 | 6127 | 5520 | 15,521 | 6659 | 17,943 | 40,791 |
| Extended quadratic penalty QP2 | 141 | 78 | 704 | 753 | 998 | 1759 | 2077 |
| Extended quadratic exponential EP1 | 40 | 40 | 34 | 34 | 33 | 33 | 92 |
| Extended Tridiagonal 2 | 427 | 394 | 384 | 400 | 373 | 363 | 441 |
| ENGVAL1 (CUTE) | 303 | 300 | 319 | 325 | 289 | 299 | 302 |
| QUARTC (CUTE) | 192 | 192 | 166 | 166 | 10 | 10 | 216 |
| Diagonal 6 | 120 | 120 | 69 | 69 | 91 | 91 | 87 |
| Generalized Quartic | 203 | 191 | 116 | 115 | 171 | 169 | 148 |
| Diagonal 7 | 60 | 60 | 60 | 60 | 50 | 50 | 114 |
| Diagonal 8 | 60 | 60 | 50 | 50 | 50 | 50 | 81 |
| Extended BD1(Block Diagonal) | 320 | 267 | 150 | 167 | 277 | 282 | 206 |
| Extended Cliff | 736 | 299 | 505 | 1426 | 445 | 2215 | 17,963 |
| NONDIA (CUTE) | 222,837 | 2663 | 584 | 284 | 823 | 1445 | 378,685 |
| DQDRTIC (CUTE) | 1860 | 838 | 461 | 567 | 871 | 1579 | 687 |
| Extended Freudenstein and Roth | 5486 | 319 | 322 | 925 | 365 | 653 | 19,612 |
| Extended White and Holst | 12,512 | 660 | 760 | 876 | 913 | 2874 | 8552 |
| Extended Beale | 1567 | 457 | 310 | 435 | 522 | 1037 | 905 |
| EDENSCH (CUTE) | 252 | 256 | 291 | 300 | 240 | 244 | 313 |
| Test Function | No. of Funct. Evaluation | ||||||
|---|---|---|---|---|---|---|---|
| FBB1 | FBB2 | HBB1 | HBB2 | FHBB1 | FHBB2 | FMSM | |
| Extended Penalty | 2064 | 2259 | 1716 | 1522 | 1479 | 1914 | 2320 |
| Perturbed Quadratic | 324,714 | 24,657 | 16,465 | 49,688 | 15,940 | 51,578 | 334,615 |
| Raydan 2 | 160 | 160 | 168 | 168 | 150 | 150 | 231 |
| Diagonal 2 | 175,307 | 13,455 | 11,655 | 31,228 | 10,840 | 33,441 | 119,819 |
| Hager | 3131 | 1775 | 2262 | 2181 | 1853 | 2425 | 3129 |
| Extended Tridiagonal 1 | 81,588 | 1862 | 541 | 1634 | 354 | 366 | 38,232 |
| Extended TET | 422 | 310 | 260 | 422 | 284 | 274 | 662 |
| Diagonal 5 | 110 | 110 | 150 | 150 | 132 | 132 | 299 |
| Extended Himmelblau | 704 | 695 | 356 | 352 | 562 | 594 | 1119 |
| Perturbed quadratic diagonal | 417,437 | 18,056 | 12,586 | 64,416 | 15,286 | 74,392 | 407,013 |
| Extended quadratic penalty QP2 | 3436 | 2274 | 2646 | 3307 | 3437 | 7059 | 14,051 |
| Extended quadratic exponential EP1 | 404 | 404 | 178 | 178 | 176 | 176 | 579 |
| Extended Tridiagonal 2 | 2155 | 1689 | 1756 | 1841 | 1566 | 1515 | 2070 |
| ENGVAL1 (CUTE) | 2153 | 2316 | 1500 | 1469 | 1211 | 1412 | 2942 |
| QUARTC (CUTE) | 454 | 454 | 382 | 382 | 70 | 70 | 492 |
| Diagonal 6 | 270 | 270 | 168 | 168 | 212 | 212 | 334 |
| Generalized Quartic | 558 | 519 | 312 | 310 | 402 | 398 | 466 |
| Diagonal 7 | 160 | 160 | 160 | 160 | 140 | 140 | 570 |
| Diagonal 8 | 190 | 190 | 150 | 150 | 150 | 150 | 272 |
| Extended BD1 (Block Diagonal) | 760 | 664 | 390 | 424 | 584 | 614 | 700 |
| Extended Cliff | 9796 | 4090 | 2598 | 9319 | 2091 | 14,190 | 146,314 |
| NONDIA (CUTE) | 2,736,952 | 11,099 | 3124 | 1666 | 3724 | 8259 | 4,555,897 |
| DQDRTIC (CUTE) | 10,192 | 2689 | 1126 | 1772 | 2022 | 5322 | 3130 |
| Extended Freudenstein and Roth | 39,918 | 2307 | 1337 | 3619 | 1506 | 3810 | 77,132 |
| Extended White and Holst | 109,712 | 3148 | 2160 | 3736 | 2434 | 12,667 | 64,083 |
| Extended Beale | 8441 | 2024 | 790 | 1370 | 1374 | 3374 | 4433 |
| EDENSCH (CUTE) | 888 | 880 | 920 | 966 | 771 | 716 | 1207 |
| Test Function | CPU Time (s) | ||||||
|---|---|---|---|---|---|---|---|
| FBB1 | FBB2 | HBB1 | HBB2 | FHBB1 | FHBB2 | FMSM | |
| Extended Penalty | 1.156 | 1.391 | 1.563 | 0.984 | 0.938 | 1.641 | 1.297 |
| Perturbed Quadratic | 181.328 | 18.359 | 11.000 | 27.938 | 11.359 | 29.703 | 184.438 |
| Raydan 2 | 0.266 | 0.141 | 0.313 | 0.250 | 0.109 | 0.141 | 0.250 |
| Diagonal 2 | 238.391 | 17.906 | 14.359 | 35.594 | 12.672 | 35.031 | 140.297 |
| Hager | 8.453 | 4.906 | 4.938 | 4.719 | 4.094 | 5.688 | 6.813 |
| Extended Tridiagonal 1 | 240.219 | 5.250 | 2.766 | 4.469 | 1.172 | 2.000 | 81.359 |
| Extended TET | 0.766 | 0.406 | 0.438 | 0.734 | 0.406 | 0.516 | 1.000 |
| Diagonal 5 | 0.391 | 0.328 | 0.500 | 0.500 | 0.313 | 0.438 | 1.047 |
| Extended Himmelblau | 0.438 | 0.328 | 0.203 | 0.281 | 0.156 | 0.359 | 0.563 |
| Perturbed quadratic diagonal | 182.313 | 10.750 | 8.563 | 31.922 | 9.859 | 37.109 | 181.406 |
| Extended quadratic penalty QP2 | 2.281 | 1.234 | 2.438 | 2.313 | 2.734 | 5.250 | 9.000 |
| Extended quadratic exponential EP1 | 0.422 | 0.219 | 0.188 | 0.281 | 0.172 | 0.344 | 0.578 |
| Extended Tridiagonal 2 | 1.234 | 0.766 | 0.969 | 1.031 | 1.016 | 0.922 | 1.219 |
| ENGVAL1 (CUTE) | 1.125 | 1.031 | 1.031 | 0.969 | 0.734 | 0.953 | 1.516 |
| QUARTC (CUTE) | 3.078 | 2.688 | 1.875 | 2.063 | 0.125 | 0.266 | 2.391 |
| Diagonal 6 | 0.438 | 0.219 | 0.281 | 0.250 | 0.266 | 0.344 | 0.313 |
| Generalized Quartic | 0.469 | 0.406 | 0.219 | 0.266 | 0.203 | 0.344 | 0.359 |
| Diagonal 7 | 0.297 | 0.203 | 0.359 | 0.281 | 0.188 | 0.266 | 0.734 |
| Diagonal 8 | 0.438 | 0.234 | 0.281 | 0.250 | 0.203 | 0.281 | 0.500 |
| Extended BD1 (Block Diagonal) | 0.813 | 0.750 | 0.438 | 0.531 | 0.594 | 0.656 | 0.609 |
| Extended Cliff | 4.469 | 1.594 | 2.063 | 4.859 | 1.328 | 4.906 | 77.969 |
| NONDIA (CUTE) | 664.313 | 5.297 | 1.734 | 0.828 | 1.813 | 3.156 | 1723.219 |
| DQDRTIC (CUTE) | 3.859 | 1.094 | 0.875 | 1.125 | 1.047 | 2.172 | 1.578 |
| Extended Freudenstein and Roth | 9.031 | 0.672 | 0.813 | 1.453 | 0.688 | 1.234 | 23.578 |
| Extended White and Holst | 209.938 | 8.359 | 5.906 | 8.719 | 6.391 | 26.531 | 188.328 |
| Extended Beale | 25.438 | 6.875 | 3.250 | 4.859 | 4.594 | 10.094 | 14.141 |
| EDENSCH (CUTE) | 4.359 | 3.781 | 3.891 | 3.938 | 3.094 | 3.594 | 5.094 |
| Image | Max | FBB Pixel | FBB Global | FHBB | |||||||||||
|---|---|---|---|---|---|---|---|---|---|---|---|---|---|---|---|
| Iter | PSNR | SSIM | Iter | Time | PSNR | SSIM | Iter | Time | PSNR | SSIM | Iter | Time | |||
| 0.01 | 33.57 | 0.843 | 6.7 | 1.22 | 33.64 | 0.845 | 6.3 | 0.88 | 33.66 | 0.845 | 10.7 | 1.31 | |||
| pepper | 100 | 0.03 | 0.03 | 33.91 | 0.852 | 9.3 | 2.08 | 33.85 | 0.85 | 8.3 | 1.46 | 33.67 | 0.847 | 16.7 | 2.33 |
| 0.05 | 33.31 | 0.839 | 9.7 | 2.13 | 33.12 | 0.834 | 9.3 | 1.6 | 32.7 | 0.816 | 20.3 | 2.9 | |||
| 0.03 | 31.80 | 0.789 | 32.0 | 7.02 | 31.80 | 0.789 | 30.0 | 5.23 | 31.93 | 0.795 | 22.0 | 3.03 | |||
| pepper | 100 | 0.05 | 0.05 | 32.01 | 0.801 | 45.3 | 9.72 | 31.96 | 0.8 | 41.7 | 6.59 | 31.95 | 0.798 | 36.7 | 4.33 |
| 0.07 | 31.76 | 0.797 | 42.7 | 8.72 | 31.65 | 0.795 | 38.3 | 5.62 | 31.38 | 0.786 | 56.3 | 6.54 | |||
| 0.06 | 28.23 | 0.779 | 47 | 9.92 | 28.22 | 0.777 | 44.3 | 7.08 | 28.22 | 0.779 | 28 | 3.26 | |||
| barbara | 100 | 0.08 | 0.08 | 27.99 | 0.784 | 55.3 | 9.42 | 27.97 | 0.784 | 61.3 | 9.58 | 27.89 | 0.781 | 59.3 | 8.69 |
| 0.10 | 27.71 | 0.778 | 64.0 | 13.62 | 27.66 | 0.777 | 65.0 | 9.50 | 27.55 | 0.774 | 87.7 | 10.87 | |||
| 0.08 | 27.33 | 0.741 | 52.0 | 10.91 | 27.33 | 0.741 | 54.3 | 8.27 | 27.33 | 0.743 | 42.0 | 4.71 | |||
| barbara | 100 | 0.10 | 0.10 | 27.27 | 0.751 | 58.7 | 10.16 | 27.27 | 0.750 | 47 | 6.21 | 27.18 | 0.751 | 74.7 | 7.82 |
| 0.12 | 27.13 | 0.752 | 68.3 | 12.14 | 27.12 | 0.752 | 59.3 | 7.98 | 26.95 | 0.748 | 89.3 | 9.39 | |||
| 0.08 | 23.26 | 0.677 | 38 | 7.31 | 23.24 | 0.677 | 40.7 | 5.60 | 23.22 | 0.675 | 20.7 | 2.42 | |||
| baboon | 100 | 0.12 | 0.10 | 22.96 | 0.652 | 55.3 | 9.46 | 22.96 | 0.654 | 54.0 | 8.21 | 22.89 | 0.648 | 27.0 | 4.48 |
| 0.12 | 22.66 | 0.626 | 59.0 | 12.57 | 22.63 | 0.625 | 62.0 | 9.61 | 22.51 | 0.614 | 52.7 | 6.87 | |||
| 0.14 | 22.39 | 0.600 | 64.3 | 13.74 | 22.35 | 0.599 | 63.0 | 8.95 | 22.17 | 0.581 | 86.3 | 9.32 | |||
| 0.08 | 22.25 | 0.624 | 26.7 | 5.39 | 22.24 | 0.624 | 26 | 4.10 | 22.29 | 0.627 | 19.3 | 2.65 | |||
| baboon | 100 | 0.15 | 0.10 | 22.85 | 0.622 | 46.0 | 8.07 | 22.36 | 0.623 | 47.7 | 6.52 | 22.36 | 0.621 | 22.3 | 2.68 |
| 0.12 | 22.26 | 0.607 | 59.0 | 10.24 | 22.25 | 0.608 | 62.3 | 8.33 | 22.21 | 0.603 | 29.3 | 3.24 | |||
| Parameters | Pixel | Global | Hybrid | |||||||||
|---|---|---|---|---|---|---|---|---|---|---|---|---|
| Image | Iter | PSNR | SSIM | Time | PSNR | SSIM | Time | PSNR | SSIM | Time | ||
| 10 | 34.90 | 0.909 | 3.3 | 34.75 | 0.905 | 2.32 | 34.71 | 0.905 | 1.94 | |||
| 20 | 34.87 | 0.91 | 6.90 | 34.74 | 0.905 | 4.65 | 34.69 | 0.905 | 4.28 | |||
| boats | 30 | 0.03 | 0.03 | 34.83 | 0.909 | 10.98 | 34.70 | 0.905 | 8.58 | 34.67 | 0.904 | 6.63 |
| 50 | 34.72 | 0.906 | 19.05 | 34.63 | 0.904 | 11.42 | 34.63 | 0.904 | 10.16 | |||
| 10 | 28.63 | 0.883 | 1.76 | 28.53 | 0.881 | 1.38 | 28.42 | 0.875 | 1.13 | |||
| 20 | 0.03 | 0.03 | 28.55 | 0.879 | 4.33 | 28.48 | 0.878 | 3.42 | 28.39 | 0.873 | 2.68 | |
| baboon | 30 | 28.51 | 0.877 | 6.82 | 28.45 | 0.876 | 5.57 | 28.38 | 0.872 | 4.67 | ||
| 50 | 28.44 | 0.874 | 10.8 | 28.4 | 0.872 | 7.02 | 28.36 | 0.871 | 5.86 | |||
| 10 | 26.07 | 0.81 | 2.71 | 25.99 | 0.807 | 2.48 | 25.82 | 0.796 | 1.54 | |||
| 20 | 25.98 | 0.803 | 5.46 | 25.93 | 0.802 | 3.62 | 25.77 | 0.791 | 2.95 | |||
| baboon | 30 | 0.05 | 0.05 | 25.93 | 0.8 | 7.56 | 25.89 | 0.799 | 4.38 | 25.76 | 0.79 | 3.49 |
| 50 | 25.86 | 0.795 | 12.18 | 25.83 | 0.794 | 8.61 | 25.73 | 0.788 | 7.14 | |||
| 10 | 29.81 | 0.841 | 1.81 | 29.78 | 0.843 | 1.46 | 29.61 | 0.84 | 1.2 | |||
| 20 | 29.75 | 0.843 | 3.74 | 29.72 | 0.844 | 2.88 | 29.57 | 0.84 | 2.48 | |||
| barbara | 30 | 0.05 | 0.05 | 29.72 | 0.844 | 6.56 | 29.7 | 0.844 | 5.06 | 29.56 | 0.84 | 3.94 |
| 50 | 29.65 | 0.843 | 10.2 | 29.64 | 0.843 | 8.14 | 29.54 | 0.839 | 6.41 | |||
| 10 | 29.7 | 0.715 | 1.77 | 29.64 | 0.714 | 1.58 | 29.88 | 0.729 | 1.51 | |||
| 20 | 29.87 | 0.727 | 4.08 | 29.78 | 0.723 | 2.95 | 29.98 | 0.736 | 2.55 | |||
| pepper | 30 | 0.08 | 0.06 | 29.94 | 0.731 | 5.84 | 29.85 | 0.728 | 4.59 | 30 | 0.737 | 3.85 |
| 50 | 30.03 | 0.738 | 8.87 | 29.95 | 0.734 | 6.93 | 30.04 | 0.74 | 6.49 | |||
| 10 | 28.13 | 0.759 | 1.84 | 28.14 | 0.761 | 1.4 | 28.2 | 0.772 | 1.12 | |||
| 20 | 28.19 | 0.77 | 3.4 | 28.18 | 0.769 | 2.87 | 28.22 | 0.778 | 2.42 | |||
| barbara | 30 | 0.08 | 0.06 | 28.21 | 0.774 | 5.51 | 28.2 | 0.773 | 5.26 | 28.22 | 0.78 | 5.8 |
| 50 | 28.23 | 0.78 | 10.59 | 28.22 | 0.779 | 7.62 | 28.23 | 0.782 | 6.19 | |||
| 10 | 28.39 | 0.699 | 3.57 | 28.27 | 0.698 | 2.55 | 28.48 | 0.719 | 2.06 | |||
| 20 | 28.57 | 0.718 | 6.54 | 28.41 | 0.712 | 4.84 | 28.58 | 0.731 | 4.1 | |||
| boats | 30 | 0.1 | 0.08 | 28.63 | 0.725 | 10.82 | 28.46 | 0.719 | 6.99 | 28.6 | 0.734 | 5.57 |
| 50 | 28.69 | 0.734 | 14.69 | 28.54 | 0.729 | 11.49 | 28.63 | 0.739 | 9.12 | |||
| 10 | 27.81 | 0.748 | 2.12 | 27.77 | 0.750 | 1.66 | 27.95 | 0.767 | 1.38 | |||
| 20 | 27.93 | 0.765 | 3.27 | 27.86 | 0.762 | 2.50 | 27.99 | 0.776 | 2.27 | |||
| yacht | 30 | 0.1 | 0.08 | 27.97 | 0.770 | 4.89 | 27.89 | 0.767 | 3.76 | 28.0 | 0.778 | 3.25 |
| 50 | 28.01 | 0.777 | 10.13 | 27.94 | 0.775 | 7.77 | 28.02 | 0.782 | 6.29 | |||
| 10 | 27.16 | 0.599 | 2.22 | 27.09 | 0.598 | 1.72 | 27.47 | 0.624 | 1.43 | |||
| 20 | 27.42 | 0.619 | 4.28 | 27.29 | 0.613 | 3.3 | 27.62 | 0.636 | 2.71 | |||
| pepper | 30 | 0.12 | 0.08 | 27.51 | 0.625 | 5.28 | 27.38 | 0.619 | 4.1 | 27.65 | 0.639 | 3.26 |
| 50 | 27.63 | 0.635 | 8.52 | 27.51 | 0.629 | 6.53 | 27.71 | 0.644 | 5.38 | |||
| 10 | 26.85 | 0.616 | 3.61 | 26.73 | 0.613 | 2.41 | 27.07 | 0.64 | 2.3 | |||
| 20 | 27.06 | 0.635 | 6.39 | 26.88 | 0.626 | 5.77 | 27.18 | 0.651 | 3.99 | |||
| boats | 30 | 0.12 | 0.08 | 27.12 | 0.641 | 8.77 | 26.95 | 0.632 | 6.71 | 27.2 | 0.654 | 5.31 |
| 50 | 27.21 | 0.65 | 14.39 | 27.06 | 0.642 | 12.29 | 27.25 | 0.659 | 8.84 | |||
| 10 | 24.93 | 0.485 | 2.1 | 24.9 | 0.486 | 1.49 | 25.26 | 0.51 | 1.32 | |||
| 20 | 25.14 | 0.501 | 3.43 | 25.06 | 0.497 | 2.66 | 25.38 | 0.519 | 2.2 | |||
| pepper | 30 | 0.15 | 0.08 | 25.22 | 0.506 | 5.11 | 25.13 | 0.502 | 3.92 | 25.41 | 0.521 | 3.19 |
| 50 | 25.33 | 0.514 | 8.71 | 25.25 | 0.51 | 6.7 | 25.46 | 0.525 | 5.73 | |||
| 80 | 25.43 | 0.521 | 12.27 | 25.39 | 0.52 | 9.85 | 25.52 | 0.529 | 8.33 | |||
| 10 | 24.24 | 0.541 | 2.21 | 24.28 | 0.543 | 1.71 | 24.55 | 0.562 | 1.49 | |||
| 20 | 24.41 | 0.554 | 3.4 | 24.4 | 0.552 | 2.65 | 24.63 | 0.57 | 2.44 | |||
| barbara | 30 | 0.15 | 0.08 | 24.47 | 0.557 | 5.1 | 24.45 | 0.557 | 4.06 | 24.65 | 0.572 | 3.42 |
| 50 | 24.55 | 0.565 | 8.56 | 24.54 | 0.563 | 6.55 | 24.69 | 0.575 | 5.25 | |||
| 80 | 24.66 | 0.573 | 15.78 | 24.64 | 0.572 | 10.98 | 24.73 | 0.578 | 8.97 | |||
| Parameters | |||||||
|---|---|---|---|---|---|---|---|
| Image | Iter | PSNR | SSIM | PSNR | SSIM | ||
| 10 | 26.45 | 0.818 | 26.42 | 0.818 | |||
| motobikes | 20 | 0.08 | 0.06 | 26.44 | 0.818 | 26.4 | 0.816 |
| 30 | 26.43 | 0.818 | 26.39 | 0.816 | |||
| 10 | 28.2 | 0.772 | 28.18 | 0.771 | |||
| barbara | 20 | 0.08 | 0.06 | 28.22 | 0.778 | 28.22 | 0.784 |
| 30 | 28.22 | 0.78 | 28.22 | 0.785 | |||
| 10 | 28.48 | 0.719 | 28.42 | 0.714 | |||
| boats | 20 | 0.1 | 0.08 | 28.58 | 0.731 | 28.64 | 0.746 |
| 30 | 28.6 | 0.734 | 28.67 | 0.75 | |||
| 10 | 27.9 | 0.766 | 27.82 | 0.76 | |||
| yacht | 20 | 0.1 | 0.08 | 27.96 | 0.776 | 27.96 | 0.785 |
| 30 | 27.97 | 0.779 | 27.96 | 0.788 | |||
| 20 | 27.62 | 0.636 | 27.84 | 0.655 | |||
| pepper | 30 | 0.12 | 0.08 | 27.65 | 0.639 | 27.89 | 0.659 |
| 50 | 27.71 | 0.644 | 27.93 | 0.662 | |||
| 20 | 27.15 | 0.648 | 27.33 | 0.669 | |||
| boats | 30 | 0.12 | 0.08 | 27.18 | 0.651 | 27.36 | 0.672 |
| 50 | 27.22 | 0.656 | 27.39 | 0.676 | |||
| 20 | 24.81 | 0.594 | 24.95 | 0.606 | |||
| yacht | 30 | 0.15 | 0.08 | 24.83 | 0.596 | 24.98 | 0.609 |
| 50 | 24.86 | 0.598 | 25 | 0.611 | |||
| 80 | 24.9 | 0.602 | 25.03 | 0.613 | |||
| 20 | 23.3 | 0.672 | 23.34 | 0.675 | |||
| motorbikes | 30 | 0.15 | 0.08 | 23.3 | 0.673 | 23.35 | 0.676 |
| 50 | 23.31 | 0.673 | 23.35 | 0.676 | |||
| 80 | 23.33 | 0.674 | 23.36 | 0.676 | |||
| Parameters | Pixel | Pixel | |||||
|---|---|---|---|---|---|---|---|
| Image | Iter | PSNR | SSIM | PSNR | SSIM | ||
| 5 | 32.11 | 0.888 | 32.25 | 0.895 | |||
| barbara | 10 | 0.03 | 0.03 | 32.12 | 0.901 | 32.24 | 0.902 |
| 20 | 32.05 | 0.901 | 32.17 | 0.902 | |||
| 5 | 33.69 | 0.843 | 33.87 | 0.851 | |||
| pepper | 10 | 0.03 | 0.03 | 33.85 | 0.849 | 33.91 | 0.852 |
| 20 | 33.79 | 0.845 | 33.87 | 0.849 | |||
| 10 | 31.44 | 0.881 | 31.42 | 0.872 | |||
| yacht | 20 | 0.05 | 0.05 | 31.41 | 0.884 | 31.45 | 0.879 |
| 30 | 31.37 | 0.885 | 31.45 | 0.883 | |||
| 10 | 32.32 | 0.854 | 32.19 | 0.839 | |||
| boats | 20 | 0.05 | 0.05 | 32.34 | 0.859 | 32.28 | 0.848 |
| 30 | 32.32 | 0.861 | 32.32 | 0.854 | |||
| 10 | 26.55 | 0.819 | 26.53 | 0.814 | |||
| motorbikes | 20 | 0.08 | 0.06 | 26.54 | 0.821 | 26.55 | 0.817 |
| 30 | 26.53 | 0.82 | 26.56 | 0.819 | |||
| 10 | 28.13 | 0.759 | 27.95 | 0.736 | |||
| barbara | 20 | 0.08 | 0.06 | 28.19 | 0.77 | 28.04 | 0.747 |
| 30 | 28.21 | 0.774 | 28.1 | 0.755 | |||
Disclaimer/Publisher’s Note: The statements, opinions and data contained in all publications are solely those of the individual author(s) and contributor(s) and not of MDPI and/or the editor(s). MDPI and/or the editor(s) disclaim responsibility for any injury to people or property resulting from any ideas, methods, instructions or products referred to in the content. |
© 2025 by the authors. Licensee MDPI, Basel, Switzerland. This article is an open access article distributed under the terms and conditions of the Creative Commons Attribution (CC BY) license.
Share and Cite
Stanimirović, P.S.; Ivanov, B.D.; Miladinović, M.; Stanujkić, D. Improvement of Barzilai and Borwein Gradient Method Based on Neutrosophic Logic System with Application in Image Restoration. Axioms 2026, 15, 11. https://doi.org/10.3390/axioms15010011
Stanimirović PS, Ivanov BD, Miladinović M, Stanujkić D. Improvement of Barzilai and Borwein Gradient Method Based on Neutrosophic Logic System with Application in Image Restoration. Axioms. 2026; 15(1):11. https://doi.org/10.3390/axioms15010011
Chicago/Turabian StyleStanimirović, Predrag S., Branislav D. Ivanov, Marko Miladinović, and Dragiša Stanujkić. 2026. "Improvement of Barzilai and Borwein Gradient Method Based on Neutrosophic Logic System with Application in Image Restoration" Axioms 15, no. 1: 11. https://doi.org/10.3390/axioms15010011
APA StyleStanimirović, P. S., Ivanov, B. D., Miladinović, M., & Stanujkić, D. (2026). Improvement of Barzilai and Borwein Gradient Method Based on Neutrosophic Logic System with Application in Image Restoration. Axioms, 15(1), 11. https://doi.org/10.3390/axioms15010011

