Modified Tseng’s Extragradient Method for Solving Variational Inequality Problems and Fixed Point Problems with Applications in Optimal Control Problems
Abstract
1. Introduction
- (1)
- We propose a new step size rule. The rule allows the algorithm to function without relying on the pre-known information about the Lipschitz constant of the mapping.
- (2)
- Our convergence analysis establishes the strong convergence of the generated sequences to a solution of Equation (7) under relaxed conditions, where one of the mappings is assumed to be pseudomonotone and l-Lipschitz continuous, and the other is quasi-nonexpansive.
- (3)
- (4)
- Applications of the algorithm in optimal control are presented.
2. Preliminaries
- (1)
- L-Lipschitz continuous with , if
- (2)
- nonexpansive, if
- (3)
- quasi-nonexpansive, if
- (4)
- monotone, if
- (5)
- pseudomonotone, if
- (6)
- β-strongly monotone, if there exists a constant such that
- (7)
- sequentially weakly continuous, if for each sequence we have
- (i)
- ,
- (ii)
- .
3. Main Results
- (C1)
- Let denote a nonempty closed convex subset of the real Hilbert space H.
- (C2)
- The operator is assumed to be pseudomonotone and l-Lipschitz continuous on H, and sequentially weakly continuous when restricted to .
- (C3)
- Let be quasi-nonexpansive with demiclosed at zero and .
- (C4)
- Let be -strongly monotone and L-Lipschitz continuous on H and let be a contraction with a constant such that , where is defined by Lemma 5. Let denote a positive sequence satisfying , where is a sequence taking values in with and . Furthermore, let be a sequence in that fulfills the following condition:
| Algorithm 1 Modified inertial viscosity-type Tseng’s extragradient algorithm |
| Initialization: Given , , , , . Let be arbitrary. Iterative Steps: Calculate as follows: |
| Step 1. Given the iterates and (), choose such that , where |
| Step 2. Set and compute |
| Step 3. Compute |
| Update |
| Set and go to Step 1. |
- From (26), we obtain
4. Numerical Experiments
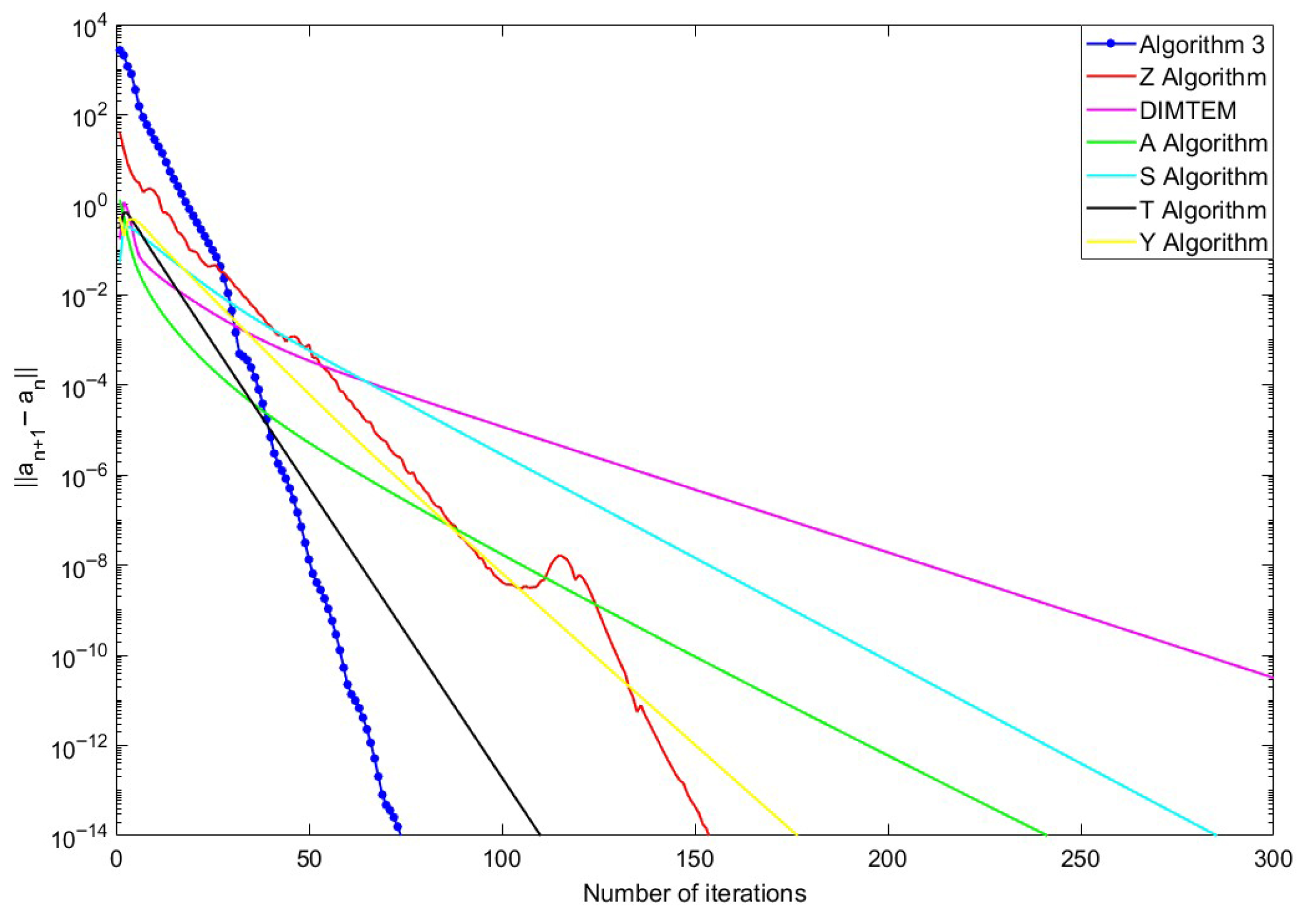
- DIMTEM: , , , .
- S Algorithm: , , .
- T Algorithm: , , , .
- Y Algorithm: , , , .
- A Algorithm: , , , .
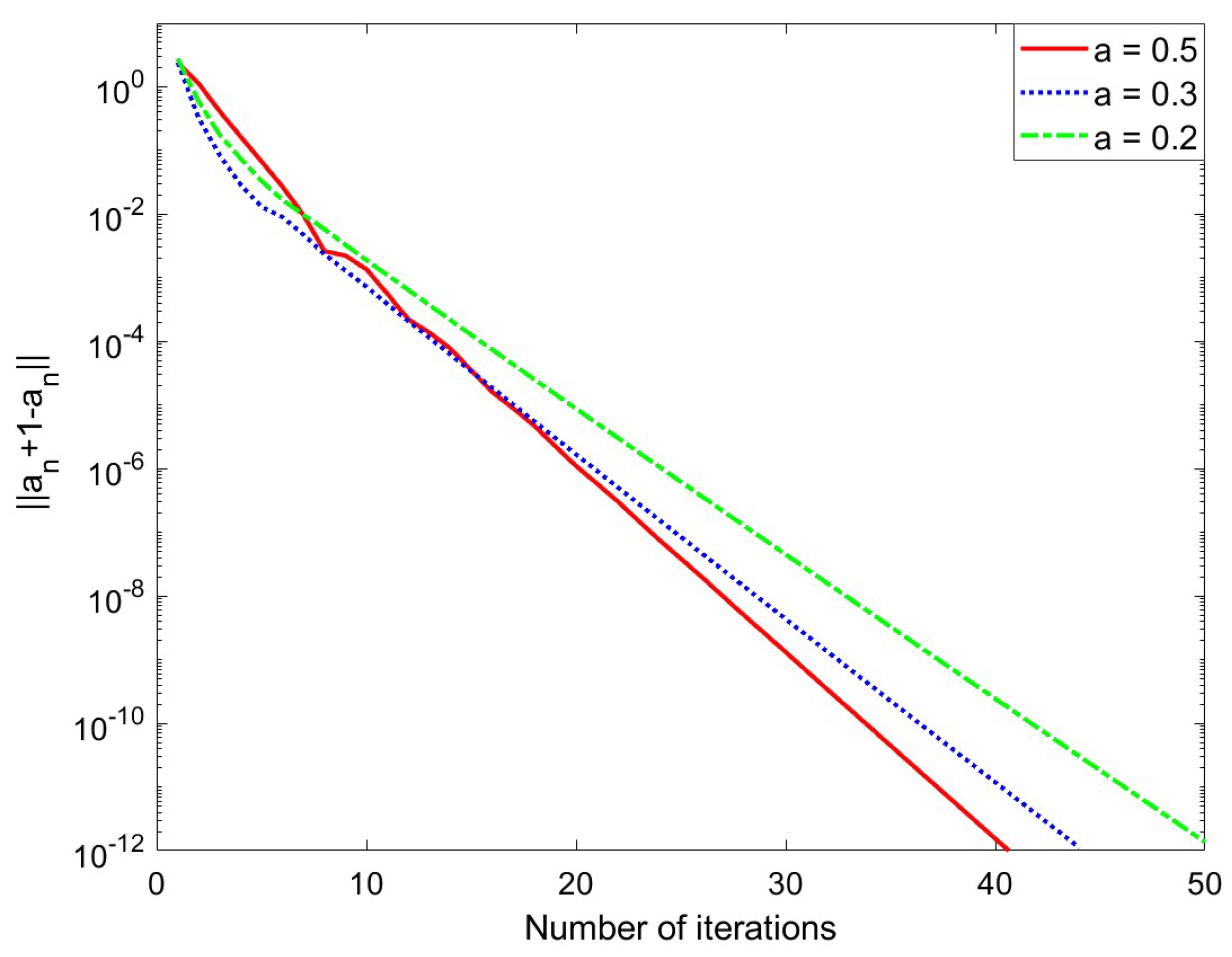
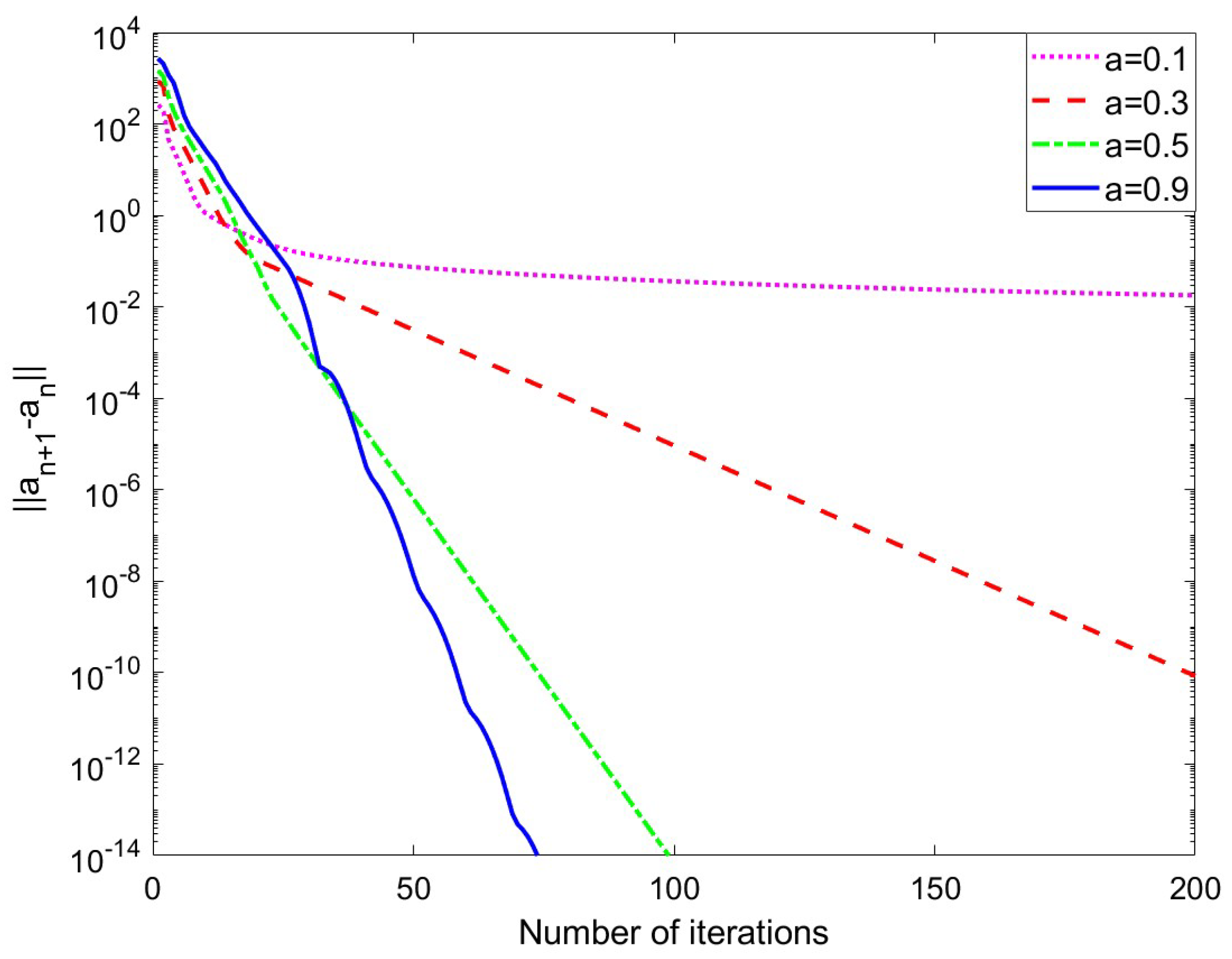
- Z Algorithm: , , , , , a = 0.5.
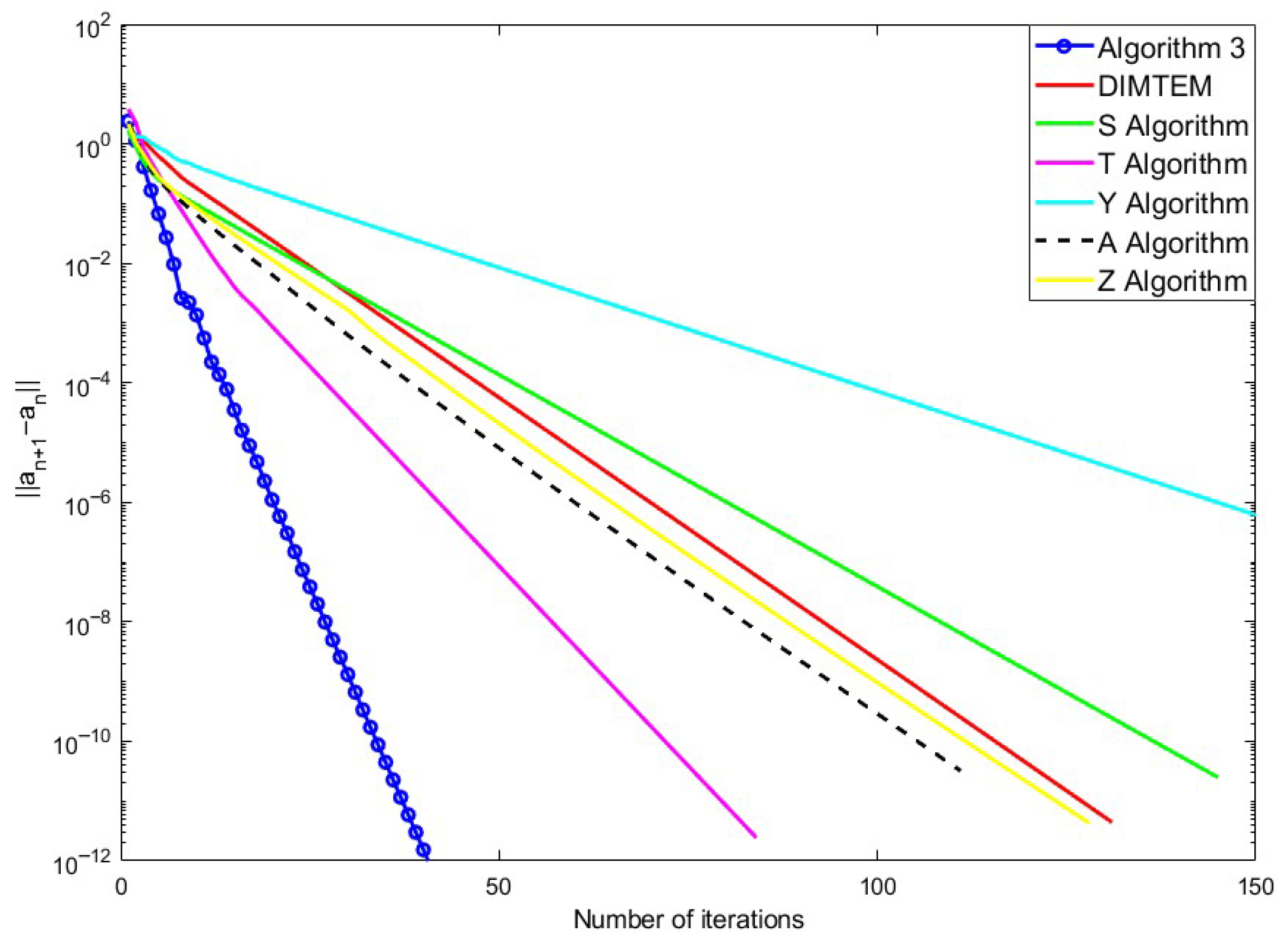
- DIMTEM: , , , .
- S Algorithm: , , .
- T Algorithm: , , , .
- Y Algorithm: , , , .
- A Algorithm: , , , .
- Z Algorithm: , , , a = 0.9, , .
- (1)
- (2)
- (3)
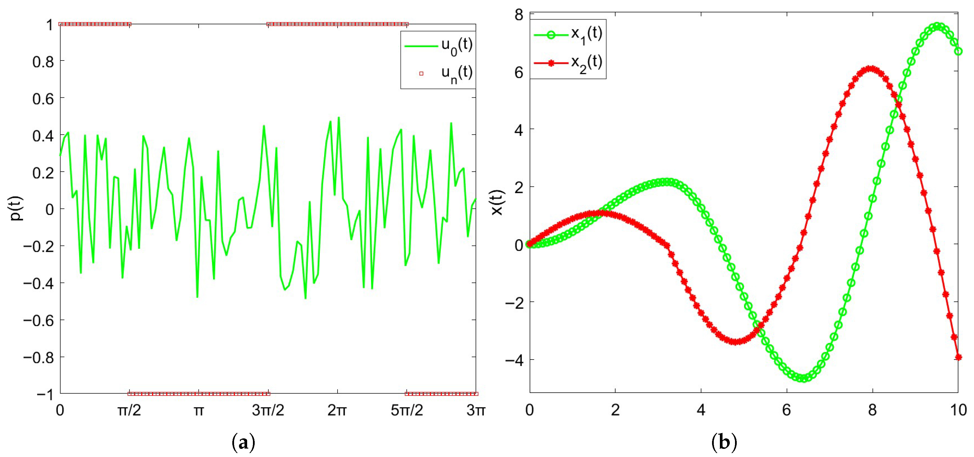
- Example 3 and the corresponding figure demonstrate that the algorithm proposed herein performs effectively in solving optimal control problems.
5. Conclusions
Author Contributions
Funding
Data Availability Statement
Acknowledgments
Conflicts of Interest
References
- Suparatulatorn, R.; Charoensawan, P.; Khemphet, A. An inertial subgradient extragradient method of variational inequality problems involving quasi-nonexpansive operators with applications. Math. Methods Appl. Sci. 2021, 44, 12760–12773. [Google Scholar] [CrossRef]
- Sahu, D.R.; Yao, J.C.; Verma, M.; Shukla, K.K. Convergence rate analysis of proximal gradient methods with applications to composite minimization problems. Optimization 2021, 70, 75–100. [Google Scholar] [CrossRef]
- Viet, T.D.; Tien, D.V.; Van, T.H.; Van, L.L. Novel projected gradient methods for solving pseudomontone variational inequality problems with applications to optimal control problems. J. Ind. Manag. Optim. 2025, 21, 1393–1413. [Google Scholar] [CrossRef]
- Tan, B.; Zhou, Z.; Li, S. Viscosity-type inertial extragradient algorithms for solving variational inequality problems and fixed point problems. J. Appl. Math. Comput. 2022, 68, 1387–1411. [Google Scholar] [CrossRef]
- Tan, B.; Qin, X.; Yao, J.C. Two modified inertial projection algorithms for bilevel pseudomonotone variational inequalities with applications to optimal control problems. Numer. Algorithms 2021, 88, 1757–1786. [Google Scholar] [CrossRef]
- Thu Thuy, N.T.; Thanh Tung, T. Strong convergence of one-step inertial algorithm for a class of bilevel variational inequalities. Optimization 2025, 1–33. [Google Scholar] [CrossRef]
- Jolaoso, L.O.; Sunthrayuth, P.; Cholamjiak, P.; Cho, Y.J. Inertial projection and contraction methods for solving variational inequalities with applications to image restoration problems. Carpathian J. Math. 2023, 39, 683–704. [Google Scholar] [CrossRef]
- Fu, Q.; Cai, G.; Cholamjiak, P.; Inkrong, P. Modified extragradient methods with inertial technique for solving pseudo-monotone variational inequality problems. J. Sci. Comput. 2025, 102, 59. [Google Scholar] [CrossRef]
- Oyewole, O.K.; Reich, S. Two subgradient extragradient methods based on the golden ratio technique for solving variational inequality problems. Numer. Algorithms 2024, 97, 1215–1236. [Google Scholar] [CrossRef]
- Shehu, Y.; Iyiola, O.S.; Reich, S. A modified inertial subgradient extragradient method for solving variational inequalities. Optim. Eng. 2022, 23, 421–449. [Google Scholar] [CrossRef]
- Yao, Y.; Iyiola, O.S.; Shehu, Y. Subgradient extragradient method with double inertial steps for variational inequalities. J. Sci. Comput. 2022, 90, 71. [Google Scholar] [CrossRef]
- Thong, D.V.; Van Hieu, D.; Rassias, T.M. Self adaptive inertial subgradient extragradient algorithms for solving pseudomonotone variational inequality problems. Optim. Lett. 2020, 14, 115–144. [Google Scholar] [CrossRef]
- Ky Anh, P.; Viet Thong, D.; Vinh, N.T. Improved inertial extragradient methods for solving pseudo-monotone variational inequalities. Optimization 2022, 71, 505–528. [Google Scholar] [CrossRef]
- Tang, H.; Gong, W. Two improved extrapolated gradient algorithms for pseudo-monotone variational inequalities. AIMS Math. 2025, 10, 2064–2082. [Google Scholar] [CrossRef]
- Anh, P.N. Relaxed projection methods for solving variational inequality problems. J. Glob. Optim. 2024, 90, 909–930. [Google Scholar] [CrossRef]
- Zaslavski, A.J. Numerical Optimization with Computational Errors; Springer: Cham, Switzerland, 2016; Volume 108. [Google Scholar]
- Pakkaranang, N. Double inertial extragradient algorithms for solving variational inequality problems with convergence analysis. Math. Methods Appl. Sci. 2024, 47, 11642–11669. [Google Scholar] [CrossRef]
- Yao, Y.; Adamu, A.; Shehu, Y. Strongly convergent inertial forward-backward-forward algorithm without on-line rule for variational inequalities. Acta Math. Sci. 2024, 44, 551–566. [Google Scholar] [CrossRef]
- Korpelevich, G.M. The extragradient method for finding saddle points and other problems. Matecon. 1976, 12, 747–756. [Google Scholar]
- Tseng, P. A modified forward-backward splitting method for maximal monotone mappings. SIAM J. Control Optim. 2000, 38, 431–446. [Google Scholar] [CrossRef]
- Censor, Y.; Gibali, A.; Reich, S. Strong convergence of subgradient extragradient methods for the variational inequality problem in Hilbert space. Optim. Methods Softw. 2011, 26, 827–845. [Google Scholar] [CrossRef]
- Censor, Y.; Gibali, A.; Reich, S. The subgradient extragradient method for solving variational inequalities in Hilbert space. J. Optim. Theory Appl. 2011, 148, 318–335. [Google Scholar] [CrossRef] [PubMed]
- Censor, Y.; Gibali, A.; Reich, S. Extensions of Korpelevich’s extragradient method for the variational inequality problem in Euclidean space. Optimization 2012, 61, 1119–1132. [Google Scholar] [CrossRef]
- Thong, D.V.; Shehu, Y.; Iyiola, O.S. Weak and strong convergence theorems for solving pseudo-monotone variational inequalities with non-Lipschitz mappings. Numer. Algorithms 2020, 84, 795–823. [Google Scholar] [CrossRef]
- Singh, W.; Chandok, S. Mann-type extragradient algorithm for solving variational inequality and fixed point problems. Comput. Appl. Math. 2024, 43, 259. [Google Scholar] [CrossRef]
- Guo, D.; Cai, G.; Tan, B. Convergence analysis of subgradient extragradient method with inertial technique for solving variational inequalities and fixed point problems. Commun. Nonlinear Sci. Numer. Simul. 2025, 148, 108851. [Google Scholar] [CrossRef]
- Aremu, K.O.; Mona, M.I.; Ibrahim, M. A modified self-adaptive inertial tseng algorithm for solving a quasimonotone variational inequality and fixed point problems in real hilbert space. J. Anal. 2025, 33, 319–340. [Google Scholar] [CrossRef]
- Alakoya, T.O.; Mewomo, O.T. S-Iteration inertial subgradient extragradient method for variational inequality and fixed point problems. Optimization 2024, 73, 1477–1517. [Google Scholar] [CrossRef]
- Wang, Y.; Wu, C.; Shehu, Y.; Huang, B. Self adaptive alternated inertial algorithm for solving variational inequality and fixed point problems. AIMS Math. 2024, 9, 9705–9720. [Google Scholar] [CrossRef]
- Zeng, Y.; Cai, G.; Dong, Q.L. Self Adaptive Iterative Algorithm for Solving Variational Inequality Problems and Fixed Point Problems in Hilbert Spaces. Acta Appl Math 2023, 183, 2. [Google Scholar] [CrossRef]
- Belay, Y.A.; Zegeye, H.; Boikanyo, O.A.; Kagiso, D.; Gidey, H.H. An inertial method for solving bilevel variational inequality problems with fixed point constraints. Ann Univ Ferrara 2025, 71, 15. [Google Scholar] [CrossRef]
- Ogwo, G.N.; Alakoya, T.O.; Mewomo, O.T. Iterative algorithm with self-adaptive step size for approximating the common solution of variational inequality and fixed point problems. Optimization 2023, 72, 677–711. [Google Scholar] [CrossRef]
- Godwin, E.C.; Alakoya, T.O.; Mewomo, O.T.; Yao, J.C. Relaxed inertial Tseng extragradient method for variational inequality and fixed point problems. Appl. Anal. 2023, 102, 4253–4278. [Google Scholar] [CrossRef]
- Khuangsatung, W.; Kangtunyakarn, A. An intermixed method for solving the combination of mixed variational inequality problems and fixed-point problems. J. Inequalities Appl. 2023, 2023, 1. [Google Scholar] [CrossRef]
- Takahashi, W.; Toyoda, M. Weak convergence theorems for nonexpansive mappings and monotone mappings. J. Optim. Theory Appl. 2003, 118, 417–428. [Google Scholar] [CrossRef]
- Kraikaew, R.; Saejung, S. Strong convergence of the Halpern subgradient extragradient method for solving variational inequalities in Hilbert spaces. J. Optim. Theory Appl. 2014, 163, 399–412. [Google Scholar] [CrossRef]
- Thong, D.V.; Van Hieu, D. Inertial extragradient algorithms for strongly pseudomonotone variational inequalities. J. Comput. Appl. Math. 2018, 341, 80–98. [Google Scholar] [CrossRef]
- Gibali, A.; Reich, S.; Zalas, R. Outer approximation methods for solving variational inequalities in Hilbert space. Optimization 2017, 66, 417–437. [Google Scholar] [CrossRef]
- Boţ, R.I.; Csetnek, E.R. An inertial Tseng’s type proximal algorithm for nonsmooth and nonconvex optimization problems. J. Optim. Theory Appl. 2016, 171, 600–616. [Google Scholar] [CrossRef]
- Boţ, R.I.; Csetnek, E.R.; Hendrich, C. Inertial Douglas–Rachford splitting for monotone inclusion problems. Appl. Math. Comput. 2015, 256, 472–487. [Google Scholar] [CrossRef]
- Shehu, Y.; Iyiola, O.S. Convergence analysis for the proximal split feasibility problem using an inertial extrapolation term method. J. Fixed Point Theory Appl. 2017, 19, 2483–2510. [Google Scholar] [CrossRef]
- Cai, G.; Dong, Q.L.; Peng, Y. Strong convergence theorems for inertial Tseng’s extragradient method for solving variational inequality problems and fixed point problems. Optim. Lett. 2021, 15, 1457–1474. [Google Scholar] [CrossRef]
- Shehu, Y.; Dong, Q.L.; Jiang, D. Single projection method for pseudo-monotone variational inequality in Hilbert spaces. Optimization 2019, 68, 385–409. [Google Scholar] [CrossRef]
- Cai, G. Viscosity implicit algorithms for a variational inequality problem and fixed point problem in Hilbert spaces. Acta Math. Sin. Chin. Ser. 2020, 40, 395–407. [Google Scholar]
- Cai, G. Viscosity iterative algorithm for variational inequality problems and fixed point problems of strict pseudo-contractions in uniformly smooth Banach spaces. Acta Math. Sin. Engl. Ser. 2015, 31, 1435–1448. [Google Scholar] [CrossRef]
- Pietrus, A.; Scarinci, T.; Veliov, V. High order discrete approximations to Mayer’s problems for linear systems. SIAM J. Control Optim. 2018, 56, 102–119. [Google Scholar] [CrossRef]





| Algorithms | |||||
|---|---|---|---|---|---|
| Iter. | Iter. | ||||
| Algorithm 3 | 40 | 1.52984 | 73 | 1.57752 | |
| DIMTEM | 131 | 4.42261 | 300 | 3.16653 | |
| S Algorithm | 145 | 2.49988 | 285 | 1.02457 | |
| T Algorithm | 84 | 2.43963 | 110 | 1.00935 | |
| Y Algorithm | 150 | 6.15847 | 176 | 1.11008 | |
| A Algorithm | 111 | 3.20422 | 241 | 1.03155 | |
| Z Algorithm | 128 | 4.25814 | 153 | 1.42964 | |
Disclaimer/Publisher’s Note: The statements, opinions and data contained in all publications are solely those of the individual author(s) and contributor(s) and not of MDPI and/or the editor(s). MDPI and/or the editor(s) disclaim responsibility for any injury to people or property resulting from any ideas, methods, instructions or products referred to in the content. |
© 2025 by the authors. Licensee MDPI, Basel, Switzerland. This article is an open access article distributed under the terms and conditions of the Creative Commons Attribution (CC BY) license (https://creativecommons.org/licenses/by/4.0/).
Share and Cite
Bai, Y.; Yu, G.; Sun, L.; Weng, S. Modified Tseng’s Extragradient Method for Solving Variational Inequality Problems and Fixed Point Problems with Applications in Optimal Control Problems. Axioms 2025, 14, 881. https://doi.org/10.3390/axioms14120881
Bai Y, Yu G, Sun L, Weng S. Modified Tseng’s Extragradient Method for Solving Variational Inequality Problems and Fixed Point Problems with Applications in Optimal Control Problems. Axioms. 2025; 14(12):881. https://doi.org/10.3390/axioms14120881
Chicago/Turabian StyleBai, Yaling, Guolin Yu, Linqi Sun, and Shengquan Weng. 2025. "Modified Tseng’s Extragradient Method for Solving Variational Inequality Problems and Fixed Point Problems with Applications in Optimal Control Problems" Axioms 14, no. 12: 881. https://doi.org/10.3390/axioms14120881
APA StyleBai, Y., Yu, G., Sun, L., & Weng, S. (2025). Modified Tseng’s Extragradient Method for Solving Variational Inequality Problems and Fixed Point Problems with Applications in Optimal Control Problems. Axioms, 14(12), 881. https://doi.org/10.3390/axioms14120881

