Mathematics and Its Applications in Other Disciplines

A special issue of Axioms (ISSN 2075-1680).

Deadline for manuscript submissions: closed (20 May 2026) | Viewed by 3569

Special Issue Editors


E-Mail Website
Guest Editor
Department of Mathematics, Xiamen University of Technology, Xiamen 361024, China
Interests: graph theory; fault tolerance of networks; network optimization

E-Mail
Guest Editor
Department of Mathematics and Computer Science, Cubo 31/A, Università della Calabria, 87036 Rende, Italy
Interests: number theory; iwasawa theory; combinatorics; fibonacci numbers; mumber sequences; graph theory; unimaginable numbers; combinatorics on words; fractal geometry; polytopes; elliptic curves; cryptography; applied mathematics; cellular automata; mathematical models; chaos theory; nonlinear dynamics; shallow water
Special Issues, Collections and Topics in MDPI journals

Special Issue Information

Dear Colleagues,

Mathematics, an ancient and fundamental discipline, possesses boundless charm and power. It is by no means merely a collection of numbers and formulas. Instead, it serves as a universal language capable of precisely describing the world and uncovering the laws of all things. From the exploration of geometry by ancient Greek scholars to the continuous expansion of mathematical theories in the present day, mathematics has always provided the cornerstone of humanity's understanding of the world through rigorous logic and abstract thinking.

In the modern scientific system, mathematics is omnipresent. Physics utilizes mathematical models to describe the laws of the universe's operation. From the formulas of Newtonian mechanics to the complex tensor equations of the theory of relativity, mathematics enables physicists to accurately predict the motion trajectories of celestial bodies. Furthermore, in biology, mathematical models are employed to study population growth and ecological balance, helping us understand the mechanisms behind life phenomena. In engineering, whether in architectural design, circuit optimization, or aerospace technology, mathematical algorithms ensure the safety and efficiency of designs.

This Special Issue focuses on the remarkable applications of mathematics in various disciplines and aims to explore points of crossover between mathematics and different fields. We aim to show how mathematics injects vitality into other disciplines and promotes the continuous progress of science and technology, and to show its influence across disciplinary boundaries. We look forward to your contributions, and to jointly exploring the significance of mathematics as it stands across a range of fields.

Prof. Dr. Litao Guo
Dr. Fabio Caldarola
Guest Editors

Manuscript Submission Information

Manuscripts should be submitted online at www.mdpi.com by registering and logging in to this website. Once you are registered, click here to go to the submission form. Manuscripts can be submitted until the deadline. All submissions that pass pre-check are peer-reviewed. Accepted papers will be published continuously in the journal (as soon as accepted) and will be listed together on the special issue website. Research articles, review articles as well as short communications are invited. For planned papers, a title and short abstract (about 250 words) can be sent to the Editorial Office for assessment.

Submitted manuscripts should not have been published previously, nor be under consideration for publication elsewhere (except conference proceedings papers). All manuscripts are thoroughly refereed through a single-blind peer-review process. A guide for authors and other relevant information for submission of manuscripts is available on the Instructions for Authors page. Axioms is an international peer-reviewed open access monthly journal published by MDPI.

Please visit the Instructions for Authors page before submitting a manuscript. The Article Processing Charge (APC) for publication in this open access journal is 2400 CHF (Swiss Francs). Submitted papers should be well formatted and use good English. Authors may use MDPI's English editing service prior to publication or during author revisions.

Keywords

  • pure mathematics
  • applied mathematics
  • control theory
  • combinatorics
  • graph theory
  • network optimization
  • network design
  • computational theory
  • algorithm design and analysis
  • computer-aided geometric design
  • algorithmic complexity
  • automata theory

Benefits of Publishing in a Special Issue

  • Ease of navigation: Grouping papers by topic helps scholars navigate broad scope journals more efficiently.
  • Greater discoverability: Special Issues support the reach and impact of scientific research. Articles in Special Issues are more discoverable and cited more frequently.
  • Expansion of research network: Special Issues facilitate connections among authors, fostering scientific collaborations.
  • External promotion: Articles in Special Issues are often promoted through the journal's social media, increasing their visibility.
  • Reprint: MDPI Books provides the opportunity to republish successful Special Issues in book format, both online and in print.

Further information on MDPI's Special Issue policies can be found here.

Published Papers (3 papers)

Order results
Result details
Select all
Export citation of selected articles as:

Research

21 pages, 426 KB  
Article
Complement Reducible Uniform Hypergraphs
by Frank Gurski and Jochen Rethmann
Axioms 2026, 15(4), 278; https://doi.org/10.3390/axioms15040278 - 10 Apr 2026
Viewed by 457
Abstract
We investigate a generalization of complement reducible graphs, called co-graphs, for r-uniform hypergraphs. The operations of r-co-hypergraphs are the disjoint union of two given r-co-hypergraphs and the join operation, which inserts all hyperedges of cardinality r between the non-empty vertex [...] Read more.
We investigate a generalization of complement reducible graphs, called co-graphs, for r-uniform hypergraphs. The operations of r-co-hypergraphs are the disjoint union of two given r-co-hypergraphs and the join operation, which inserts all hyperedges of cardinality r between the non-empty vertex subsets of two given r-co-hypergraphs. We show that the primal graphs of r-co-hypergraphs are special co-graphs and that r-co-hypergraphs are closed under complementation of r-uniform hypergraphs. This leads to a method that can determine whether an input hypergraph H is an r-co-hypergraph. If the answer is positive, we find a decomposition tree for H in polynomial time. We give specific formulas for how to compute several hypergraph parameters for r-uniform hypergraphs defined by the disjoint union of two r-uniform hypergraphs and the join of two r-uniform hypergraphs. The considered parameters are the size of a largest stable set, the size of a largest co-stable set, the size of a largest independent set, the size of a largest co-independent set, the size of a smallest vertex cover, the size of a smallest 2-transversal, the size of a smallest dominating set, the strong chromatic number, and the upper chromatic number. This leads to O(n) time algorithms to compute these values on r-co-hypergraphs on n vertices given by a decomposition tree. Further, we conclude relations for the considered parameters restricted to r-co-hypergraphs. Our methods generalize and re-prove several results known for co-graphs. Full article
(This article belongs to the Special Issue Mathematics and Its Applications in Other Disciplines)
Show Figures

Figure 1

21 pages, 1292 KB  
Article
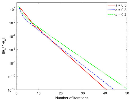
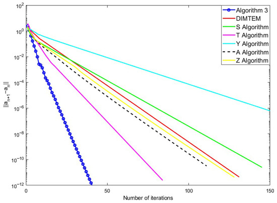
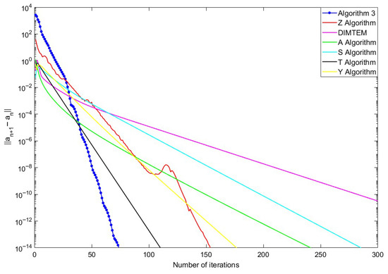
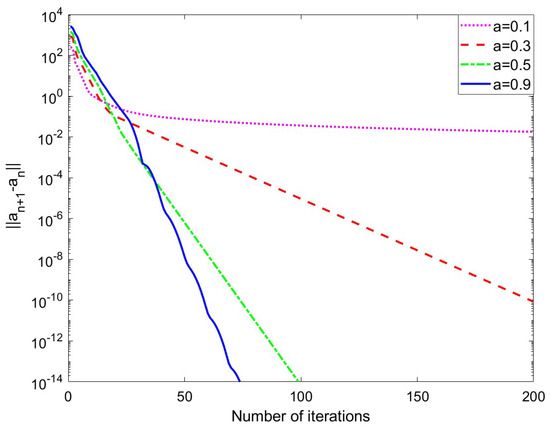
Modified Tseng’s Extragradient Method for Solving Variational Inequality Problems and Fixed Point Problems with Applications in Optimal Control Problems
by Yaling Bai, Guolin Yu, Linqi Sun and Shengquan Weng
Axioms 2025, 14(12), 881; https://doi.org/10.3390/axioms14120881 - 28 Nov 2025
Viewed by 708
Abstract
This paper presents an enhanced inertial Tseng’s extragradient method designed to address variational inequality problems involving pseudomonotone operators, along with fixed point problems governed by quasi-nonexpansive operators in real Hilbert spaces. Provided that the parameters satisfy appropriate conditions, the proposed method is shown [...] Read more.
This paper presents an enhanced inertial Tseng’s extragradient method designed to address variational inequality problems involving pseudomonotone operators, along with fixed point problems governed by quasi-nonexpansive operators in real Hilbert spaces. Provided that the parameters satisfy appropriate conditions, the proposed method is shown to converge strongly. Finally, we provide computational results and illustrate their utility through optimal control applications. These aim to show the efficacy and superiority of the proposed algorithm compared with some existing algorithms. Full article
(This article belongs to the Special Issue Mathematics and Its Applications in Other Disciplines)
Show Figures

Figure 1

15 pages, 459 KB  
Article
On Order Degree Problem for Moore Bound
by Himihami Mudiyanselage Chinthaka Wijerathne, Jayantha Lanel, Kissani Perera and Chathura Wanigasekara
Axioms 2025, 14(11), 802; https://doi.org/10.3390/axioms14110802 - 30 Oct 2025
Cited by 1 | Viewed by 1312
Abstract
The degree diameter problem is a quest to determine the largest graph in terms of vertices satisfying given degree and diameter constraints. The largest possible graphs that can exist and that are subject to degree and diameter constraints are called Moore graphs. Since [...] Read more.
The degree diameter problem is a quest to determine the largest graph in terms of vertices satisfying given degree and diameter constraints. The largest possible graphs that can exist and that are subject to degree and diameter constraints are called Moore graphs. Since Moore graphs are rare, researchers are eager to build graphs closer to Moore graphs. This paper discusses the possibility of constructing graphs closer to Moore graphs, keeping a fixed order and minimizing the number of vertex pairs that break the diameter constraint, and suggests a new general relative index that measures the closeness to optimality. Based on the proposed index, it is highlighted that some of the graphs constructed in this work are closer to Moore graphs than the existing best results in the degree diameter problem. Furthermore, a fitness landscape analysis is conducted to identify the nature and the difficulty of the problem. This new method can be considered a new approach to constructing graphs closer to Moore graphs. Full article
(This article belongs to the Special Issue Mathematics and Its Applications in Other Disciplines)
Show Figures

Figure 1

Back to TopTop