Abstract
This paper considers a system with one robot and n safety units (one of which works while the others remain on standby), which is described by an integro-deferential equation. The system can fail in the following three ways: fails with an incident, fails safely and fails due to the malfunction of the robot. Using the semigroups theory of linear operators, we first show that the system has a unique non-negative, time-dependent solution. Then, we obtain the exponential convergence of the time-dependent solution to its steady-state solution. In addition, we study the asymptotic behavior of some time-dependent reliability indices and present a numerical example demonstrating the effects of different parameters on the system.
Keywords:
robot-safety system; C0–semigroups; well-posedness; exponential stability; reliability indices MSC:
47D06; 47A10; 90B25
1. Introduction
Robots are increasingly being used for a variety of tasks, including welding, forging, resource exploration and development, disaster relief and evacuation, complex surgery, bomb disposal, and machining. Because robots use electronic, electrical, mechanical, hydraulic, and pneumatic components, reliability issues are quite difficult to address due to the diversity of failure factors in robotic systems. However, the reliability of robots, as the main technical indicator for measuring the quality of industrial robots, is receiving unprecedented attention. The unreliable robot can bring a range of issues, including human damage. Thus, it is important to carefully consider the reliability of the robot. The robots must be both reliable and safe, so it is equipped with several safety devices. To analyze the reliability of a robot, we need to consider the relationship between the reliability and the safety device.
In reliability theory, there are many methods to analyze the reliability of engineering systems. In particular, the use of supplementary variables technique to establish models and analyze the reliability of robot systems has been widely studied. In 1955, Cox [1] first proposed the “supplementary variable technique (SVT)” and established the M/G/1 queuing system. Gaver [2] was the first to apply this technique for reliability models, and subsequently, other authors followed this line of research, such as Linton [3], Gupta and Gupta [4], Shi and Li [5], Chung [6], Oliveira et al. [7], Zhang and Wu [8], Shakuntla et al. [9], Singh et al. [10], Ke et al. [11], Shekhar et al. [12], Gao and Wang [13].
There is a considerable amount of research literature on robot-safety systems, yet the research on system reliability remained limited. Most articles focus on repeatability and accuracy [14,15]. Dillon and Yang [16] first studied a system with a robot and its safety device. The mathematical model was established by introducing SVT, and the steady-state solution (S-SS) was examined by the Laplace transforms. They then investigated a system with two robots and a safety device, one working and the other in storage [17]. Many researchers subsequently used the SVT to establish various robot-safety systems and studied the steady-state reliability indices of these systems, see [18,19,20,21] and references therein. All of these researchers studied the reliability models of robot-safety systems under the assumption that the dynamic solution converges to its S-SS. The S-SS is well known to depends on the time-dependent solution (T-DS), and the T-DS can clearly reflect the operating trend of the system. As a result, it is necessary to investigate the existence and uniqueness of T-DS, as well as their asymptotic behavior and the instantaneous reliability index. In 2001, Gupur first introduced the dynamic analysis for the study of reliability models by the –semigroups theory [22,23]. Guo and Xu [24] studied a system composed of one robot and one safety device, and determined the existence and uniqueness of the system’s T-DS as well as its asymptotic behavior. Chen and Xu [25] introduced the repair rate as a periodic function for the above system and analyzed the exponentially stability. Gupur [26] considered a human–machine system and demonstrated the well posedness of the system and the asymptotic behavior of the T-DS, proved the quasi-compactness of the –semigroup, determined that the –semigroup exponentially converges to a projection operator [27], and finally obtained an expression for the projection operator using the residual theorem [28]. Zhang [29] considered a system consisting two robots and one safety unit and investigated the exponential stability of the T-DS. Qiao and Ma [30] discussed the system composed of a safety component and two redundant robots. Zhou and Wei [31] have further investigated the system studied in [24].
Based on the above literature, we found that the results of dynamic analysis of robot-safety systems are few and limited to special cases, i.e., simple systems consisting of one robot or two robots and one safety device. Recent advances have allowed robot-safety systems to become more and more complex to improve their performances. However, these complex systems have strong applicability in engineering. Thus, the reliability of complex robot-safety systems has become a serious and urgent problem. In this paper, we consider a system with one robot and n safety units and perform dynamic analysis on the system.
The robot safety system, according to Cheng and Dhillon [32], is described by the following integro-differential equations:
where and denotes the probability that the system is in state at time t; denotes the probability that at time t, the system is in state and the elapsed repair time is in represents the robot/the safety unit’s failure rate; represents the failure rate of the system failing safely/failing with an incident; the repair rate of the safety unit is denoted by ; and represents the system’s repair rate when it is in state k and satisfies
The organization of the remainder of this paper is outlined below. Section 2 introduces the transformation of the given system into an abstract Cauchy problem. Section 3 examines the system’s well posedness. Section 4 investigates the exponential convergence of the T-DS to its S-SS. Section 5 discusses the asymptotic behavior of instantaneous reliability indices. Section 6 uses numerical examples to illustrate the sensitivity of reliability indices to system parameter variations. Section 7 concludes with a summary of findings and suggestions for future research.
2. The Abstract Cauchy Problem
We begin by introducing the following notation:
where is a zero matrix. is an matrix whose elements are
is a matrix whose elements are
Take the following state space
Clearly, is a Banach space. Following that, operators and their domains are defined as follows
where
Thus, the above system of Equation (1) can be rewritten as an abstract Cauchy problem in :
3. Well Posedness of (2)
We begin by demonstrating that generates a positive contraction semigroup on
Theorem 1.
If for then generates a positive contraction semigroup .
Proof.
We will estimate as a first step. To do this, consider for that is,
Solving (3) and (4), we have
For (5)–(7) together with (8) and (9), we can get that
By using (9), the Fubini theorem and the following inequalities
we deduce (without loss of generality, assume )
Combinging (13), (12), (11), (10) and (8), we deduce
Equation (14) shows that
The second step will be to demonstrate that is dense in . Let
then . Take
then by Adams [33]. As a result, proving suffices to show that . Hence, if then gives .
Take any such that, for all that is for all here Define
where
Then, Moreover,
This implies , thus, is dense in
We can conclude that generates a semigroup based on the preceding two steps and the Hille–Yosida Theorem. Furthermore, we can deduce that generates a semigroup using perturbation theory of semigroup (see Gupur et al. [34]).
In the final step, we show that is a dispersive operator. Choosing, for
where
Let and , then we get
Using (15) for such and boundary conditions, we deduce
The conclusion follows from (16).
Therefore, from above results together with Fillips theorem, we deduce that generates a positive contraction semigroup, and it is just by the uniqueness theorem of the semigroup. □
The following is the dual space of .
obviously, it is a Banach space.
Define
Then, by Theorem 1, it follows that Choose for thus, we have and
As a result, is conservative with respect to the set
and we can now deduce the following result from the Fattorini theorem [35] (p. 155).
Theorem 2.
is isometric for , i.e.,
This section’s main result is derived from Theorems 1 and 2.
Theorem 3.
Equation (2) has a unique positive T-DS satisfying
Proof.
Since , Theorem 1 and Theorem 1.81 in [34] show that the system (2) has a unique positive T-DS i.e.,
We can deduce
□
4. Asymptotic Behavior of the T-DS of (2)
Analysis show that, similar to the proof of Theorem 1, operator generates a positive contraction semigroup . Therefore, we will demonstrate quasi-compactness of by showing that is a quasi-compact operator.
Lemma 1.
If is a solution of the system
Then,
where are given by .
Proof.
Because is a solution of , it satisfies
Take and , then from (19), we get
If , then using and integrating (24) from to t separately, we deduce
Soving and applying gives
If , using the relations and integrating (19) from 0 to t, as well as a similar argument to , we obtain
Equations (25)–(27) complete the proof. □
Define
Clearly,
From Theorem 1.35 in [34], we can conclude the following Lemma.
Lemma 2.
If and only if the following two conditions are satisfied, a bounded and closed subset is relatively compact.
Theorem 4.
is a compact operator on .
Proof.
We only need to prove condition (1) in Lemma 2 by definition of . Take , for bounded , then is a solution of (17). Hence, from Lemma 1, we deduce, for
The procedure is to estimate each term of (28). Applying the boundary conditions, we get
We can estimate the first term of (28) using (29)–(31).
Now, we will estimate the second term in (28). Using Lemma 1 and boundary conditions, we calculate
From (33)–(35), we deduce
Combining (32) with (36), we obtain, for
The same conclusion can be drawn for This finishes the proof. □
Theorem 5.
If for then satisfies
Proof.
For any , we estimate
□
Theorems 4 and 5 give
Hence, we can obtain the following result by Definition 1.85 in [34].
Theorem 6.
If for then is a quasi-compact operator on .
We get the following result by combining Theorem 6 and Proposition [36] (p. 215), as well as the compactness of the and on .
Corollary 1.
If for then is a quasi-compact operator on .
Lemma 3.
and geometric multiplicity of 0 is one.
Proof.
Take Hence,
Solving (41), we have
If we take
Then, from (38)–(40) we can show that
Thus,
Combining (42)–(44) and (45) with (46), we estimate
Equation (47) show that i.e., the point spectrum of and from (46), it can be seen that the geometric multiplicity of 0 is one. □
Lemma 4.
The adjoint operator of is given by
where
and
and the constant α in is independent of j.
Proof.
For , we have
□
Lemma 5.
and geometric multiplicity of 0 is one.
Proof.
Consider i.e.,
Solving , we deduce
Multiplying to the both side of (53), we have
Substituting into , we get
Substituting into –, we have
Equations (55)–(56) give
which imply Furthermore, from (55) and (56), it is easy to verify that the geometric multiplicity of 0 is one. □
By using Lemmas 3 and 5 and Theorem 3, we can deduce that the algebraic multiplicity of 0 is one and the spectral bound Finally, the conditions of Theorem 1.90 in [34] are fulfilled. Therefore, we get the following result.
Theorem 7.
If for then there exist a spectral projection with rank one such that
where and Γ is a circle with a radius of sufficiently small and a center of .
It is evident that by Theorem 3, Corollary 1 and Lemma 3. In other words, the resolvent set of includes all points on the imaginary axis except zero.
Remark 1.
Based on the analysis above, we can conclude that the system’s T-DS strongly converges to its S-SS, i.e., where is the eigenvector corresponding to 0.
In the following, we investigate exponential convergence of system’s T-DS. For this goal, we first determine the explicit expression of by the growth bound of .
Lemma 6.
For any , we get
where
and denotes the determinant of , and is the same matrix such that ith column is replaced with constants.
Proof.
Consider the equation for . Hence,
Solving (60) and using (61)–(63), we have
Substituting (64)–(66) into (57)–(59), we get
Equations (67)–(69) give
where
Using Cramer’s rule, we derive
Substituting into , , and separately, we get the rest of the Lemma’s results. □
In summary, we present the following main results.
Theorem 8.
If for then
that is, the system’s T-DS exponentially converges to its S-SS.
Proof.
Obviously,
Thus, the essential growth bound of satisfies , , , , by Proposition 2.10 in Engel and Nagel [37] (p. 258).
Since and are compact operators, by Proposition 2.12 in [37], we have
Thus, 0 is a pole of of order 1 by Corollary 2.11 in [37]. Moreover, from Theorem 8, Lemma 6 and residue theorem, we have
By calculating the above limit, we can now determine the projection operator. Let
Then, we can simplify as
and
By Lemma 6, the Fubini theorem and
We obtain that
Finally, we derive
Combining (71)–(74) with Lemma 6 we obtain
Thus, we conclude by (75), Theorems 3 and 7 that
□
5. Reliability Indices
Some reliability indices is discussed briefly in this section. For detailed discussion, we refer the reader to [34] (p. 256). From the Remark 1, we have
Equation (77) implies
We know
Which together with (46) and (76), we obtain
We have
The system’s time-dependent renewal frequency indicates that the frequency of system’s state returns to the initial states, and we have
If we set (for ), then we get the new system shown below.
As a result, by a similar argument, the system’s time-dependent reliability converges to a constant number
Remark 2.
It is clear from the above results that we can obtain the results in [32] by the normalizing condition Hence, our results generalize those in [32].
6. Numerical Results
This section provides numerical examples to investigate how changes in system parameters affect the reliability indices, using Matlab 2017a for calculations. To begin, we assume that without losing generality and the system’s repair time is Gamma distributed with The system parameters are fixed as
For different values of , the variations in the system’s time-dependent availability (Figure 1a), failure frequency (Figure 1b), and renewal frequency (Figure 1c) are plotted with respect to t in Figure 1. In each case, the and decrease rapidly as time increases, eventually becoming constant at some value. As time passes, the increases rapidly in the early stages, then becomes constant at some value after a long run.
Figure 1.
Time-dependent reliability indices for different . (a) A(t) for for different ; (b) for different ; (c) for different .
Furthermore, we observe that as increases, the system’s time-dependent availability, failure frequency, and renewal frequency decrease.
In the following, we further analyze the effect of different values of the failure and repair rates on the system’s reliability indices for (i.e., the repair time is exponential distributed). Figure 2 shows that as time increases, these reliability indices converge to some fixed value. As expected, decreases with increasing (Figure 2a) and (Figure 2b). decreases with increasing , but its effect on the failure frequency is not evident (Figure 2c), and increases as (Figure 2d) increases. increases with increasing (Figure 2e) and decreases with increasing (Figure 2f). Furthermore, changes in the system parameters and had almost no effect on the system reliability indices. In Table 1, we only list the effect of and on the time-dependent availability .
Figure 2.
Time-dependent reliability indices for different failure rates. (a) A(t) for for different ; (b) A(t) for for different ; (c) for different ; (d) for different ; (e) for different ; (f) for different .
Table 1.
Time-dependent system availability for different and .
The behavior of the reliability indices for different repair rates is depicted in Figure 3, showing that these indices increase as and increase. From this figure, we conclude that the changes in parameter have little effect on and . Moreover, Table 2 reveals that the effect of the changes of the parameters and on are not significant. It is also observed that the changes in the parameter and on and are not significant. Furthermore, these indices approach a constant value that time goes to infinity.
Figure 3.
Time-dependent reliability indices for different repair rates. (a) A(t) for for different ; (b) A(t) for for different ; (c) for different ; (d) for different ; (e) for different ; (f) for different .
Table 2.
Time-dependent system availability with different and .
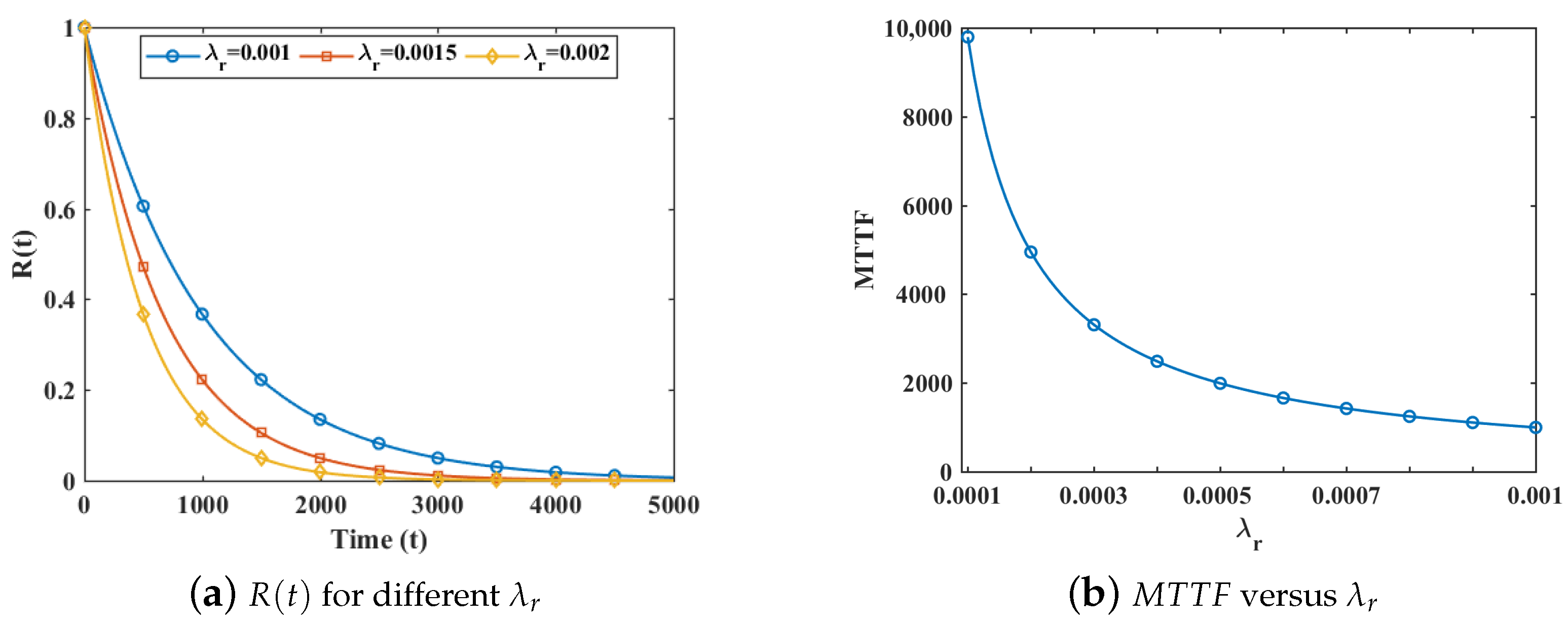
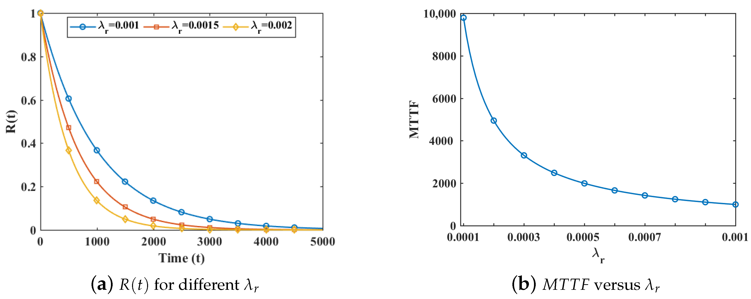
Figure 4 illustrates the effect of on system’s time-dependent reliability and MTTF. We note that decreases as increases and vanishes as time goes to infinity (Figure 4a). The MTTF decreases as increases (Figure 4b).
Figure 4.
Reliability and MTTF for different . (a) R(t) for different ; (b) Effect of on MTTF.
Finally, in Table 3, we show the effect of the number of safety units in the system on the system transient availability. The availability increases as the number of safety units increases. However, having too many safety units does not contribute as much to the availability of this system.
Table 3.
Time-dependent system availability with different numbers of safety units.
7. Conclusions
In this paper, a robot-safety system consisting of one robot and n safety units with perfect switching is studied. We converted the model into an abstract Cauchy problem in Banach space and did dynamic analysis by the operator semigroup theory of linear operators. We proved that the system has unique nonnegative T-DS and that T-DS exponentially converges to its S-SS. Furthermore, we discussed the asymptotic property of the system’s instantaneous reliability indices and showed that they all converge to some constant. In order to investigate the impact of parameter changes on system reliability indices, some numerical examples are also presented.
We concluded that the increase in the number of safety units for this system does not necessarily improve the system’s instantaneous availability from the above numerical results. Thus, in the future, we can further study the robot-safety system consisting of n robots and m standby safety units.
Author Contributions
Conceptualization, E.K. and A.Y.; methodology, E.K. and A.Y.; validation, E.K.; writing—original draft preparation, E.K.; writing—review and editing, E.K. All authors have read and agreed to the published version of the manuscript.
Funding
This research was funded by Natural Science Foundation of Xinjiang Uygur Autonomous Region, No. 2022D01C46.
Data Availability Statement
Data is contained within the article.
Acknowledgments
The authors would like to thank the editor and referees for their valuable comments.
Conflicts of Interest
The authors declare that they have no conflicts of interest.
Abbreviations
The following abbreviations are used in this manuscript:
| SVT | Supplementary variable technique |
| T-DS | Time-dependent solution |
| S-SS | Steady-state solutions |
References
- Cox, D.R. The analysis of non-markovian stochastic processes by the inclusion of supplementary variables. Math. Proc. Camb. Phil. Soc. 1955, 51, 433–441. [Google Scholar] [CrossRef]
- Gaver, D.P. Time to failure and availability of parallel redundant systems with repair. IEEE Trans. Reliab. 1963, R-12, 30–38. [Google Scholar] [CrossRef]
- Linton, D.G. Some advancements in the analysis of two-unit parallel redundant systems. Microelectron. Reliab. 1976, 15, 39–46. [Google Scholar] [CrossRef]
- Gupta, P.P.; Gupta, R.K. Cost analysis of an electronic repairable redundant system with critical human errors. Microelectron. Reliab. 1986, 26, 417–421. [Google Scholar] [CrossRef]
- Shi, D.H.; Li, W. Availability analysis of a two-unit series system with shut-off rule and “first-fail, first-repaired”. Acta. Math. Appl. 1993, 9, 88–91. [Google Scholar] [CrossRef]
- Chung, W.K. Reliability of imperfect switching of cold stanby systems with multiple non-critical and critical errors. Microelectron. Reliab. 1995, 35, 1479–1482. [Google Scholar] [CrossRef]
- Oliveira, E.A.; Alvim, A.C.M.; Frutuoso e Melo, P.F. Unavailability analysis of safety systems under aging by supplementary variables with imperfect repair. Ann. Nucl. Energy 2005, 32, 241–252. [Google Scholar] [CrossRef]
- Zhang, Y.L.; Wu, S.M. Reliability analysis for a k/n(f) system with repairable repair-equipment. Appl. Math. Model. 2009, 33, 3052–3067. [Google Scholar] [CrossRef]
- Shakuntla, S.; Lal, A.K.; Bhatia, S.S.; Singh, J. Reliability analysis of polytube industry using supplementary variable technique. Appl. Math. Comput. 2011, 218, 3981–3992. [Google Scholar] [CrossRef]
- Singh, V.V.; Ram, M.; Rawal, D.K. Cost analysis of an engineering system involving subsystems in series configuration. IEEE. Autom. Sci. Eng. 2013, 10, 1124–1130. [Google Scholar] [CrossRef]
- Ke, J.C.; Liu, T.H.; Yang, D.Y. Modeling of machine interference problem with unreliable repairman and standbys imperfect switchover. Reliab. Eng. Syst. Saf. 2018, 174, 12–18. [Google Scholar] [CrossRef]
- Shekhar, C.; Kumar, A.; Varshney, S. Fault-tolerant redundant repairable system with different failures and delays. Eng. Comput. 2020, 37, 1043–1071. [Google Scholar] [CrossRef]
- Gao, S.; Wang, J. Reliability and availability analysis of a retrial system with mixed standbys and an unreliable repair facility. Reliab. Eng. Syst. Saf. 2021, 205, 107240. [Google Scholar] [CrossRef]
- Dhillon, B.; Fashandi, A.R.M. Robot systems reliability and safety: A review. J. Qual. Maint. Eng. 2002, 8, 170–212. [Google Scholar] [CrossRef]
- Kulić, D.; Croft, E.A. Real-time safety for human-robot interaction. Rob. Autom. Syst. 2006, 54, 1–12. [Google Scholar]
- Dhillon, B.; Yang, N.F. Availability analysis of a robot with safety system. Microelectron. Reliab. 1996, 36, 169–177. [Google Scholar] [CrossRef]
- Dhillon, B.S.; Yang, N.F. Formulas for analyzing a redundant robot configuration with a built-in safety system. Microelectron. Reliab. 1997, 37, 557–563. [Google Scholar] [CrossRef]
- Dhillon, B.S.; Fashandi, A.R.M. Robotic systems probabilistic analysis. Microelectron. Reliab. 1997, 37, 211–224. [Google Scholar] [CrossRef]
- Dhillon, B.S.; Li, Z.J. Stochastic analysis of a system with redundant robots, one built-in safety unit, and common-cause failures. J. Intell. Rob. Syst. 2006, 45, 137–155. [Google Scholar] [CrossRef]
- Jain, M.; Preeti. Performance analysis of a repairable robot safety system with standby, imperfect coverage and reboot delay. Int. J. Eng. Trans. C Aspects 2013, 26, 1077–1088. [Google Scholar] [CrossRef]
- Vanderperre, E.J.; Makhanov, S.S. Overall availability and risk analysis of a general robot csafety device system. Int. J. Syst. Sci. 2015, 46, 1889–1896. [Google Scholar] [CrossRef]
- Gupur, G. Well-posedness of the system consisting of two repairable units. Acta Anal. Funct. Appl. 2001, 3, 188–192. [Google Scholar]
- Gupur, G.; Li, X.Z. Semigroup method for a mathematical model in reliability analysis. J. Syst. Sci. Syst. Eng. 2001, 10, 137–147. [Google Scholar]
- Guo, W.H.; Xu, G.Q. Stability analysis of the system consising of a robot and its associated safety mechanism. Math. Pract. Theory 2003, 33, 116–122. [Google Scholar]
- Chen, Y.; Xu, G.Q. Analysis of exponential stability to the robot system with periodic repair function. Acta. Anal. Funct. Appl. 2010, 12, 170–179. [Google Scholar] [CrossRef]
- Gupur, G. Well-posedness of the model describing a repairable, standby, human & machine system. J. Syst. Sci. Complex. 2003, 16, 483–493. [Google Scholar]
- Gupur, G. Asymptotic property of the solution of a repairable, standby, human and machine system. Int. J. Pure Appl. Math. 2006, 28, 35–54. [Google Scholar]
- Aili, M.; Gupur, G. Further result on a repairable, standby human and machine system. Int. J. Pure Appl. Math. 2016, 101, 571–594. [Google Scholar]
- Zhang, X. Exponential stability analysis of a redundant robot configuration with a built-in safety systemfurther result on a repairable, standby human and machine system. J. Syst. Sci. Inf. 2019, 131, 289–293. [Google Scholar]
- Qiao, X.; Ma, D. Reliability and numerical analysis of a robot safety system. J Syst. Sci. Complex. 2019, 32, 1072–1092. [Google Scholar] [CrossRef]
- Li, Z.; Wei, L. Reliability and controllability of the system consisting of a robot and its associated safety mechanism. J. Math. Res. Appl. 2020, 40, 9. [Google Scholar]
- Dhillon, B.S.; Shen, C. Reliability and availability analysis of a robot-safety system. J. Qual. Maint. Eng. 2011, 17, 203–232. [Google Scholar]
- Adams, R.A. Sobolev Spaces; Academic Press: New York, NY, USA, 1975. [Google Scholar]
- Gupur, G. Functional Analysis Methods for Reliability Models; Springer: Basel, Switzerland, 2011. [Google Scholar]
- Fattorini, H.O. The Cauchy Problem; Cambridge University Press: Cambridge, UK, 1984. [Google Scholar]
- Nagel, R. One-Parameter Semigroups of Positive Operators (LNM 1184); Springer: Berlin/Heidelberg, Germany, 1986. [Google Scholar]
- Engel, K.J.; Nagel, R. One-Parameter Semigroups for Linear Evolution Equations; Springer: New York, NY, USA, 2000. [Google Scholar]
Disclaimer/Publisher’s Note: The statements, opinions and data contained in all publications are solely those of the individual author(s) and contributor(s) and not of MDPI and/or the editor(s). MDPI and/or the editor(s) disclaim responsibility for any injury to people or property resulting from any ideas, methods, instructions or products referred to in the content. |
© 2024 by the authors. Licensee MDPI, Basel, Switzerland. This article is an open access article distributed under the terms and conditions of the Creative Commons Attribution (CC BY) license (https://creativecommons.org/licenses/by/4.0/).



