Abstract
This paper focuses on applying the Marshall-Olkin approach to generate a new bivariate distribution. The distribution is called the bivariate exponentiated Lomax distribution, and its marginal distribution is the exponentiated Lomax distribution. Numerous attributes are examined, including the joint reliability and hazard functions, the bivariate probability density function, and its marginals. The joint probability density function and joint cumulative distribution function can be stated analytically. Different contour plots of the joint probability density function and joint reliability and hazard rate functions of the bivariate exponentiated Lomax distribution are given. The unknown parameters and reliability and hazard rate functions of the bivariate exponentiated Lomax distribution are estimated using the maximum likelihood method. Also, the Bayesian technique is applied to derive the Bayes estimators and reliability and hazard rate functions of the bivariate exponentiated Lomax distribution. In addition, maximum likelihood and Bayesian two-sample prediction are considered to predict a future observation from a future sample of the bivariate exponentiated Lomax distribution. A simulation study is presented to investigate the theoretical findings derived in this paper and to evaluate the performance of the maximum likelihood and Bayes estimates and predictors. Furthermore, the real data set used in this paper comprises the scoring times from 42 American Football League matches that took place over three consecutive independent weekends in 1986. The results of utilizing the real data set approve the practicality and flexibility of the bivariate exponentiated Lomax distribution in real-world situations, and the bivariate exponentiated Lomax distribution is suitable for modeling this bivariate data set.
Keywords:
exponentiated Lomax distribution; Marshall-Olkin; joint hazard function; maximum likelihood estimators and prediction; prior distribution; posterior distribution; Bayesian prediction; credible intervals; Monte Carlo simulation MSC:
62F10; 62F15; 62N05; 62E10; 62N0
1. Introduction
The main aim of this paper is to propose a new bivariate survival model, the Marshall-Olkin Bivariate Exponentiated Lomax (MOBEL) distribution, which extends existing survival models to better capture the behavior of dependent lifetimes. This model addresses the practical need for more flexible and accurate bivariate survival models, especially when dealing with extreme values or asymmetric behavior, which are often inadequately represented by current models. The novelty of this work lies in the combination of the Marshall-Olkin framework with the Exponentiated Lomax distribution, providing closed-form expressions for key functions such as the joint probability density function and joint reliability and hazard rate functions. Furthermore, both maximum likelihood and Bayesian estimation techniques are developed for the unknown parameters, along with prediction methods using real-world data. The application of the MOBEL model to football scoring data demonstrates its practical utility and flexibility, showing its suitability for real-world scenarios. This model is also differentiated from others in the literature by offering more flexible tail behavior and dependence structures and by incorporating both estimation and prediction methodologies, thus filling an important gap in the modeling of bivariate survival data.
In survival and reliability analysis, there are situations in which we observed two lifetimes for the same patient or equipment, that is bivariate survival data. An example of medical situations occurs when the interest is to study the lifetimes of paired human organs such as kidneys and eyes. Industrial applications include the life of engines in a twin-engine airplane. In these situations, it is important to consider different multivariate distributions that could be used to model such lifetime data. Although there are many kinds of discrete and continuous multivariate distributions in the literature, Marshall and Olkin [1] introduced a singular bivariate distribution; the same technique will be applied here.
In reliability studies, bivariate data may include survival times for a system that depends on the durability of two components, such as the lifetimes of motors in twin-engine airplanes (see Louzada et al. [2]). An annuity, as defined in actuarial research, refers to a retirement payment provided to both the retiree and their spouse. This payment is guaranteed to be made as long as either one or both are alive. For more information, refer to Denuit and Cornet [3]. Bivariate distributions have significance in both theoretical and practical contexts.
The shock models proposed by Marshall and Olkin [1] are employed in the field of dependability to depict various applications. Shocks can relate to the harm inflicted on biological organs due to sickness or environmental factors that impact a technical system. For instance, Sarhan and Balakrishnan [4] examined the bivariate exponential distribution of Marshall and Olkin, whereas Kundu and Gupta [5] introduced the Marshall-Olkin bivariate Weibull distribution. Furthermore, El-Gohary et al. [6] conducted a study on the bivariate exponentiated modified Weibull extension distribution proposed by Marshall and Olkin [1]. Some notable references in the field of bivariate distributions include Aboraya [7], Shehata et al. [8], Ali et al. [9], Tolba et al. [10], Alotaibi et al. [11], Alotaibi et al. [12], Shehata and Yousof [13], Abdullah and Masmoudi [14], Refaie et al. [15], Refaie and Mahran [16], Abbas [17], and Farooq et al. [18].
The Exponentiated Pareto or Exponentiated Lomax (ELO) distribution, a novel extension of the basic Pareto Type II distribution, was introduced by Gupta et al. [19]. This distribution has been a significant advancement in the field, as it offers a more comprehensive model for analyzing lifespan data. El-Monsef et al. [20] further expanded on this by conducting a study on the exponentiated power Lomax distribution, analyzing its effectiveness using both complete and censored data. Almongy et al. [21] also made a notable contribution by introducing a modification to the Lomax distribution called the Marshall-Olkin alpha power Lomax distribution and testing its performance using real data sets from the fields of physics and economics.
Abd AL-Fattah et al. [22] conducted a thorough analysis of the inverted Kumaraswamy distribution by employing a specific transformation. This distribution possesses the exact probability density function (pdf) as the Exponentiated Pareto distribution. This distribution holds significant importance in various applications, such as engineering, medical research, and lifespan problems. Gupta et al. [19] demonstrated the efficacy of the Exponentiated Pareto distribution in assessing various lifespan data. The ELO distribution exhibits failure rates that follow either a decline or an upside-down bathtub form, depending on the choice of the shape parameter. Similarly, Mudholkar et al. [23] explored the exponentiated Weibull distribution. The researchers noted that the exponential distribution, generalized exponential distribution, Weibull distribution, beta distribution, gamma distribution, uniform distribution, exponentiated exponential distribution, exponentiated gamma distribution, and other distributions can be derived as specific instances of the ELO distribution.
Abu-Zinadah [24] conducted a study on the peculiarities of ELO dispersion. Furthermore, Shawky and Abu-Zinadah [25] derived the precise probability density function (pdf) and moments of single, double, triple, and quadruple lower record values from the ELO distribution. For more details, see AL-Dayian et al. [26], Kundu et al. [27], Gupta et al. [28], El-Sherpieny et al. [29], El-Gohary et al. [6], and Capitani et al. [30].
Al-erwi and Baharith [31] proposed a bivariate exponentiated Pareto distribution as a versatile model for bivariate lifetimes. A bivariate distribution was created using a Gaussian copula, with exponentiated Pareto distributions as the marginal distributions. The Gaussian copula characteristic was utilized to demonstrate multiple aspects of the proposed bivariate distribution. In addition, the researchers evaluated the maximum likelihood (ML) and Bayesian methods to estimate the unknown parameters of the proposed bivariate distribution. This study will examine the same distribution using the Marshall-Olkin approach.
Ogana et al. [32] studied the Frank and Plackett copulas and evaluated seven distribution models using data from moderate and tropical forests. One of these distributions is the bivariate Burr Type III distribution. Azizi and Sayyareh [33] developed a bivariate Burr Type III distribution using the Marshall-Olkin approach. They discussed several distribution features and obtained the ML estimators.
Mondal and Kundu [34] introduced a modified version of the bivariate inverse Weibull distribution that excludes the singular component. Bakouch et al. [35] proposed a bivariate Kumaraswamy exponential distribution, where the individual distributions are univariate Kumaraswamy exponential. Kamal et al. [36] provided a new generalization of the Lomax model called arc-sine exponentiation Lomax. They also proposed a bivariate extension of this model utilizing the Farlie-Gumbel-Morgenstern copula technique. Aljohani [37] calculated the parameters of stress-strength reliability (R = P(X > Y)), where X represents strength and Y represents stress. The two arbitrary components, X and Y, are independent and follow the Lomax lifetime distribution with shared scale parameters.
Several studies have discussed bivariate distributions based on copulas. These include the works of Elgohari and Yousof [38], Hamed et al. [39], Aboraya et al. [40], El-Sherpieny et al. [41], El-Sherpieny et al. [42], El-Sherpieny et al. [43], Almetwally et al. [44], El-Sherpieny et al. [45], Muhammed et al. [46], Abulebda et al. [47], Hassan and Chesneau [48], Zhao et al. [49], and Qura et al. [50].
In this paper, a bivariate distribution is constructed based on the Marshall and Olkin technique. Its marginal is the ELO distribution and is named the Marshall-Olkin bivariate exponentiated Lomax (MOBEL) distribution.
This paper is organized as follows: In Section 2, the construction of the MOBEL distribution based on the Marshall-Olkin method is introduced; also, some properties of the distribution are obtained. In Section 3, maximum likelihood estimation for the unknown parameters and the reliability function (rf) and hazard rate function (hrf) of the MOBEL distribution are derived; also, ML two-sample prediction is considered. Bayesian estimation and prediction are developed in Section 4. A numerical example is provided in Section 5, including a simulation study to illustrate the derived theoretical results and two real data sets to ensure the applicability of the MOBEL distribution in real life.
2. Construction of Bivariate Exponentiated Lomax Distribution Based on Marshall-Olkin Method
In this section, an MOBEL distribution is constructed using the Marshall-Olkin method as a lifetime distribution, where its marginal distributions are ELO distributions. Several properties are studied, such as marginal distribution functions, conditional pdfs, and some rf and joint hrf functions.
Let a continuous non-negative random variable T have an ELO distribution, then its pdf and cumulative distribution function (cdf) are given, respectively, by
and
The rf of the random variable T can be obtained as follows:
The ELO distribution characteristics were studied by Abu-Zinadah [24]. Moreover, Shawky and Abu-Zinadah [25] obtained the exact form of the pdf and moments of single, double, triple, and quadruple lower record values from the ELO distribution. The ELO distribution has a wide domain of applications in modeling and analysis of lifetime data [see Hamedani [51]].
In this paper, an MOBEL is introduced by using the same procedure introduced by Marshall and Olkin [1].
2.1. Joint Distribution Functions
Suppose that are three independent random variables such that ELO . Assuming that and then the bivariate vector is a bivariate exponentiated Lomax distribution with parameters which can be denoted by MOBEL . Then, the joint cdf of can be obtained as follows:
Substituting (2) into (4), one obtains (5). Then, the joint pdf of is
where
and
Suppose that if , then can be simply obtained by differentiating the joint cdf;, given in (4) with respect to and . Similarly, can be derived when . But cannot be derived in a similar way; it can be obtained as given below
Let
Hence
and
Substituting (11) and (12) into (10), one obtains
Thus,
The plots presented in Figure 1 were generated using Mathematica 11. From Figure 1, one can observe that the joint pdf of the MOBEL distribution has different shapes depending on the values of its parameters, which reflect the ability of the joint pdf to model bivariate skewed data.
Figure 1.
Different plots of the joint pdf of the MOBEL distribution: (1.a) , (1.b) , (1.c) , and (1.d) .
2.2. Marginal Distribution Functions
The marginal pdf of is given by
The marginal cdf for is
then
where the pdf of , , as in (13).
2.3. Conditional Probability Density Functions
The conditional pdf of given is given by
where
using (7) and (13) after replacing by , then
and
Also, using (8) and (13) after replacing by , then
and
using (9) and (13) after replacing by , then
2.4. Reliability Functions
In this subsection, the joint rf and joint hrf of , are obtained as follows:
The joint rf of for three cases is given by
The joint rf of is
From (17), the joint rf of the three cases can be derived as follows:
and
Substituting (4) and (14) into (17), the joint rf will be obtained as follows:
where .
Figure 2 shows the plots of the joint rf of the MOBEL distribution for different parameter values. From Figure 2, if MOBEL distribution for both components of are decreasing function in all points of . The plots shown in Figure 2 were created using Mathematica 11.
Figure 2.
Different plots of the joint reliability function of the MOBEL distribution: (2.a) , (2.b) , (2.c) and (2.d) .
- Monotonicity of failure rate function
The bivariate failure rate function for the random vector (see Basu [52]) is as follows:
Substituting (7)–(9) and (18)–(20) into (22), hence the bivariate hrf can be obtained when and as given below
Figure 3 displays the plots of the joint hrf of the MOBEL distribution for different parameter values. The plots displayed in Figure 3 were created using Mathematica 11.
Figure 3.
Different plots of the joint hazard of the MOBEL distribution: (3.a) , (3.b) , (3.c) and (3.d) .
2.5. The Marginal Expectation
Based on the results presented in the last two subsections, the marginal expectation of can be derived as an infinite series expansion as follows:
Proof.
The rth moment of the random variables with pdf can be given by
Equation (13) can be used to obtain
Applying the transformation then and , where
using the binomial series expansion of given by
then
Since, then
where , substituting (28) into (27), one can obtain (24). □
3. Maximum Likelihood Estimation and Prediction
In this section, the ML estimation and prediction of the vector of parameters for the MOBEL distribution will be considered.
3.1. Maximum Likelihood Estimators of the Parameters
In this subsection, the ML method is applied to estimate the unknown parameters of the MOBEL distribution . Suppose that three samples of size , are drawn from the MOBEL distribution
Hence, the likelihood function has the following form
where refers to the available data.
The log-likelihood function can be written as
Deriving the first partial derivatives of (30) with respect to and then setting them to zero, the likelihood equations are
and
The ML estimators for and can be derived from utilizing the invariance property. Therefore, replacing the parameters in (21) and (23) by their ML estimators, are obtained.
and
where and can be evaluated numerically.
Using the second derivatives of the logarithm of the likelihood function, the asymptotic variance-covariance matrix of the estimators ,, and is derived dependent on the inverse of the asymptotic Fisher information matrix (see Cohen (1965)). The expression for the asymptotic Fisher information matrix is as follows:
The derivatives in are given by
and
The asymptotic normality of the ML estimates can be used to compute the asymptotic confidence intervals (CIs) for the parameters and can be derived as follows:
where is the standard normal percentile and is the confidence coefficient.
3.2. Two-Sample Maximum Likelihood Prediction
In the context of two-sample prediction, it is assumed that the two samples are independent and have been randomly selected from the same distribution. The predictive density function of the s-th ordered statistic is obtained using the density of the s-th order statistic in the future sample in the univariate situation. In the bivariate scenario, the first variable in the vector of the bivariate distribution represents the ordered observation, while the second variable represents its concomitants. Hence, it is necessary to have the joint probability density function (pdf) of the ordered observations and their accompanying variables to derive the joint prediction density function of the forthcoming arranged observations and their accompanying variables.
The joint probability density function (pdf) of a future s-th ordered observation and its s-th concomitant, denoted by , , has the joint pdf which is given by (6) after replacing by and by . For simplicity, it can be written as instead of . Then the joint pdf of can be derived as follows:
By applying the binomial expansion, the final term in the preceding equation can be simplified as follows:
Thus, the joint pdf of is
where
Substituting given in (6) and in (4) after replacing by , by and by , then, the joint ML predictive density of the ordered observations and their concomitants is given by
The point predictors of the future ordered observation and their concomitants
can be obtained as given below
and
From (41), and (42), the point predictors and cannot be obtained in closed form.
Then, the joint point predictor of future ordered observations is
which can be evaluated numerically.
4. Bayesian Estimation and Prediction
In this section, Bayesian estimation of the unknown parameters using the MOBEL distribution is derived. Also, two-sample prediction for future observations is considered.
4.1. Bayesian Estimation
The MOBEL distribution’s unknown parameters can be estimated using the Bayesian criterion under the squared error loss (SEL) function. Previous distributions consider any prior relationship between the unknown parameters. The explicit forms of the Bayes estimators of the unknown parameters cannot be derived (see Pena and Gupta [53] and Kundu and Gupta [5]).
- Prior assumptions
Assuming the common shape parameter is unknown and has a gamma prior and the conjugate prior on , which was considered by Pena and Gupta [53]. If has a Beta (a, b) prior, say , then the pdf of the Beta (a, b) distribution for , is
Given , has a Dirichlet prior, say , then
for , where , and the hyperparameters . Considering that is unknown and after simplification, the joint prior of becomes
If , , then
The Beta-Dirichlet (BD) distribution with parameters is represented by (47) and will be denoted by . It is evident that, in most cases, will be interrelated. However, if a can be expressed as the sum , then will be unrelated to each other. Thus, it is possible to derive independent priors as a specific instance of (47). Furthermore, the correlation between and for can exhibit either a positive or negative relationship. If has a gamma prior, say , where
The priors, as mentioned above, are the conjugate priors.
The joint prior of will be represented as where . The posterior density function of can be formed as
Thus, assuming independence on , if and , it is easy to obtain the explicit Bayes estimators of using (48) within the SEL function. However, if and , it is impossible to obtain the Bayes estimators explicitly. A numerical algorithm can be employed to calculate the Bayes estimates.
The Bayes estimators are the posterior means.
where and where is referred to as the data available.
One can use (21), (23), and (48) to obtain the Bayes estimators of the and under the SEL function.
and
The Bayes estimates of the parameters, rf and hrf based on the SEL function, can be solved numerically using the Metropolis–Hastings algorithm of the Markov chain Monte Carlo (MCMC) method of simulation by means of the R programming language.
4.2. Two-Sample Bayesian Prediction
The Bayes predictive density of the ordered observations and their concomitants can be obtained by substituting (4) and (6) in (38) after replacing by , by and by then
Then, the joint Bayes predictive density of the ordered observations and their concomitants is given by
where
The point predictors of the future ordered observation and their concomitants
under the SEL function can be obtained as follows:
and
From (54) and (55), the point predictors and cannot be obtained in closed form. The joint Bayes point predictors of the future ordered observation is
The point predictors can be obtained by solving the previous equations numerically via the R programming language.
5. Numerical Illustration
This section aims to investigate the theoretical results of the ML and Bayesian estimation and two-sample prediction using both real and simulated data. All simulation studies are performed using Mathematica 11 and the R programming language.
5.1. Applications
In this subsection, the flexibility and applicability of the MOBEL distribution are demonstrated by utilizing two real datasets. Our objective is to conduct a comprehensive evaluation of the goodness-of-fit of the MOBEL distribution and compare its performance against other distributions. To assess the goodness-of-fit, various measures are employed, including the Kolmogorov–Smirnov (K–S) statistic and its corresponding p value, as well as information criteria such as the Akaike Information Criterion (AIC), the Corrected Akaike Information Criterion (CAIC), the Bayesian Information Criterion (BIC), and the Hannan–Quinn Information Criterion (HQIC). These measures serve as indicators of the model’s fit to the data, with lower values indicating a better fit. By calculating these statistics for the fitted models, their performance can be compared quantitatively. The best distribution is the one with the lowest values of the AIC, BIC, HQIC and CAIC.
This analysis allows us to assess the suitability of the MOBEL distribution for modeling the given datasets and determine if it outperforms other competing models previously employed by researchers. By providing a comprehensive evaluation and comparison, the strengths and advantages of the MOBEL distribution can be highlighted in accurately representing the underlying data structure. The two real datasets that were examined demonstrate the theoretical outcomes of the ML and Bayesian estimation and prediction.
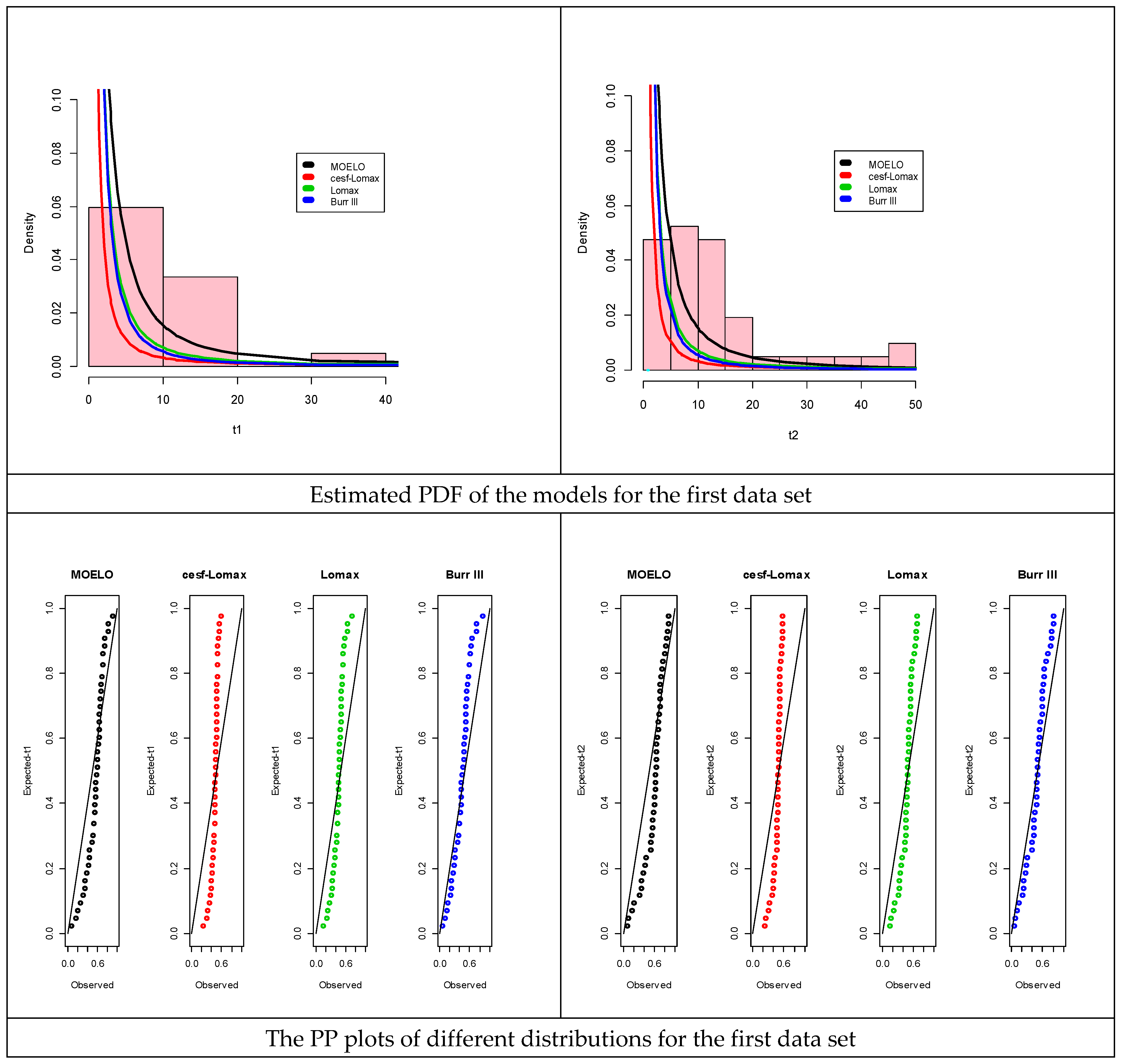
The P-P and Q-Q Plots were applied as follows: Importance: These plots are used to validate that the MOBEL Distribution is an appropriate fit for the simulated system reliability data. The P-P and Q-Q Plots provide graphic assessments of how well the theoretical distribution supports the empirical data. A good fit in these plots would suggest that the model effectively captures the survival behavior. Method: To construct the P-P Plot, the empirical data from the simulation are ordered, the cdf is calculated for each data point based on the fitted MOBEL model, plot these theoretical cdf values are plotted against the empirical cdf values derived from the data. For the Q-Q Plot, the theoretical quantiles are calculated from the fitted distribution and then compared to the quantiles of the ordered data. This is typically performed by plotting each empirical quantile against the corresponding theoretical quantile to see if they align along a 45-degree line. Application in Drawing: For the P-P Plot, the empirical cdf (x-axis) is plotted against the theoretical cdf (y-axis) based on the MOBEL model. If the model fits well, the points should lie close to the 45-degree line. For the Q-Q Plot, the quantiles of the empirical data (sample data) are plotted against the quantiles of the fitted MOBEL model. A straight line along the diagonal indicates a good fit, while deviations suggest areas where the model may need adjustment.
5.1.1. National Football League
The real dataset was suggested by Csorgo and Welsh [54]. The data used in this study are derived from American Football (National Football League (NFL)) matches that took place over three consecutive weekends in 1986. The variables in question are (), which represents the time it takes for the first points to be scored by kicking the ball between the goal posts, and (), which represents the time it takes for the first points to be scored by pushing the ball into the end zone.
Each match within a weekend is independent, and the weekends themselves are also separate. Therefore, there are a total of 42 independent pairs of measurements . The score durations, expressed in minutes and seconds, presented in Table 1 below were obtained from match summaries published in the “Washington Post” newspaper. (The time is measured in minutes using decimal notation).
Table 1.
Scoring times from 42 American Football (NFL) matches.
Different goodness-of-fit tests are available for any given univariate distribution function, but there are few for general bivariate distribution functions. The MOBEL model allows for fitting a univariate exponentiated Lomax distribution to the two marginals and the maximum value. Table 2 provides the K–S distances and the corresponding p values.
Table 2.
Kolmogorov–Smirnov distances and the associated p values.
Mathematica 11 was used to compute the K–S statistics and p values. The K–S statistic is calculated by comparing the empirical cumulative distribution function of the sample with the theoretical cumulative distribution function; where in Mathematica 11, the built-in function Kolmogorov Smirnov Test was applied to calculate the test statistic for each comparison. For each K–S statistic, the associated p-value was computed using the same Kolmogorov Smirnov Test function in Mathematica 11. This suggests that the MOBEL distribution is suitable for assessing this bivariate data set.
5.1.2. Computer Series System-Simulated Data
These data represent simulated primitive computer series systems proposed by [55]. The computer works if both parts of the system are working correctly. If an underlying degradation process occurs in the system, degeneration progresses rapidly over a short period of time (in hours). It thus makes the system more vulnerable to shocks, making it possible for a fatal shock to randomly destroy the first, second, or both components. The assumption of independence cannot be accurate because lethal trauma can kill both components at the same time. The data set is as follows:
Processor lifetime : 1.3640, 1.9292, 1.0051, 3.6621, 1.0986, 3.6621, 1.5254, 3.6621, 1.1917, 1.0833, 2.5372, 1.0833, 2.5913, 0.3309, 0.5079, 0.3309, 0.7947, 0.5784, 0.6270, 0.5520, 5.7561, 1.9386, 5.7561, 2.1000, 0.9938, 0.9867, 0.1058, 0.9867, 0.1058, 1.3989, 1.7494, 2.3757, 0.9096, 3.5202, 1.6465, 2.3364, 5.0533, 0.8584, 0.1181, 4.3435, 3.3887, 1.1739, 0.4614, 1.3482, 0.1955, 3.0935, 0.8503, 2.1396, 0.1115, 1.3288.
Memory lifetime : 1.3640, 3.9291, 1.0051, 0.0026, 1.0986, 0.0026, 4.4088, 0.0026, 0.0801, 3.3059, 2.4923, 3.3059, 2.5913, 0.3309, 5.3535, 0.3309, 0.7947, 1.8795, 1.7289, 0.5520, 0.3212, 4.0043, 0.3212, 2.0513, 1.7689, 0.9867, 0.1058, 0.9867, 0.1058, 4.1268, 2.3643, 2.7953, 0.6214, 1.4095, 2.0197, 0.1624, 2.3238, 1.9556, 0.0884, 1.0001, 1.9796, 3.3857, 0.8584, 1.9705, 0.1955, 3.0935, 2.8578, 2.1548, 0.1115, 0.9689.
The computer data is presented as a sequential system, and the likelihood function should ideally depend on the likelihood of the sequential system data. However, in our analysis, a different method of modeling the time to first failure as a continuous distribution was used. Although this method is not limited to on-chain systems, it can still provide useful insights into the data. For the data, we shall compare the MOBEL model with the following models: Bivariate Burr Type III (BBurr III) (see Mahmoud et al. [56]); bivariate compound exponentiated survival function of the Lomax (BCESF Lomax) (see Refaey et al. [57]); bivariate Lomax (BLomax) (see Fayomi et al. [58]); and bivariate compound exponentiated survival function of the Beta (BCESF Beta) (see Mahmoud et al. [59]). The ML estimator of the marginal parameters with standard error (SE), as well as different measures of goodness of fit such as AIC, BIC, HQIC, CAIC, and K–S statistics with p value for all competitive models are provided in Table 3, Table 4 and Table 5. Figure 4, Figure 5, Figure 6 and Figure 7 show the fitted pdfs, P-P plots, and the MCMC plots for the MOBEL model and other distributions.
Table 3.
ML estimates, standard errors, and information criteria for the first data set.
Table 4.
ML estimates with measures of the goodness-of-fit test of the marginal distribution based on the second data.
Table 5.
ML estimates, standard errors, and information criteria for the second data set.
Figure 4.
Estimated PDF and the PP plots of different distributions for the first data set.
Figure 5.
The pdf for the marginal distributions of and .
Figure 6.
P-P plot estimated for the MOBEL distribution and other distributions for the real data set.
Figure 7.
MCMC plots for the parameters of the MOBEL distribution.
5.2. Simulation Study
To demonstrate the performance of the presented ML estimates, a simulation study is carried out based on data generated from the MOBEL distribution. The averages of the ML and Bayes estimates, rf and hrf, are calculated. In addition, CIs and credible intervals for the parameters rf and hrf are computed. The ML and Bayes two-sample point predictors are obtained for future observation from an independent future sample from the same distribution, the MOBEL distribution. Theoretical results are illustrated through simulation studies conducted using Mathematica 11 and the R programming language.
- Simulation algorithm
The steps of the simulation procedure are as follows:
- The ML estimates of and are obtained by following the steps given below:
- For given values of (where ), random samples of size n are generated from the MOBEL distribution;
- Arrange s, for each sample size, in the order: and so on;
- Repeat the previous steps times, where is the number of replications for each sample size of the simulated samples;
- The Newton–Raphson method is utilized to calculate the ML averages for the estimates and the CIs for the parameters. The rf, hrf, and the corresponding CIs are computed using the ML averages of the estimates;
- The evaluation of the estimate performance is conducted using two measurements of accuracy: the variance and the estimated risks (ERs);
- The averages of the ML estimates, ERs, and CIs of the unknown parameters are presented in Table 6 and Table 7, where and samples of size ( 30, 50, 100), and the population parameter values ;
Table 6. Averages of the ML estimates, variances, estimated risks, and 95% confidence intervals of the parameter .
Table 7. Averages of the ML estimates, variances, estimated risks, and 95% confidence intervals of the parameters . - Table 7 and Table 8 display the averages of the ML estimates, ERs, and CIs of the rf and hrf for various time values . The two-sample predictors for ML are provided in Table 9.
Table 8. Averages of the ML estimates, relative absolute biases, variances, estimated risks and 95% confidence intervals of the reliability and hazard rate functions .
Table 9. Averages of the ML estimates, relative absolute biases, variances, estimated risks and 95% confidence intervals of the reliability and hazard rate functions .
- The Bayes estimates of and are obtained by following the steps given below:
- Assume different combinations of population parameter values and samples of size n;
- Generate random samples with different sample sizes ( 30, 50, and 100) from the MOBEL distribution;
- Repeat Step 2 where ;
- If represents an estimate of then the average for the estimates over all the samples can be computed as ;
- The ER of can be calculated as
Use Steps 4 and 5 to compute ,, .
Table 6 and Table 7 exhibit the averages of the ML estimates, variances, ERs and CIs of the parameters. Table 8 and Table 9 provide the averages of the ML estimates, ERs, and CIs of the rf and hrf for different time values (). The ML estimates and SEs of the unknown parameters for the first real data set are shown in Table 10. Also, Table 11 displays the ML estimates and SEs of the rf and hrf for various time values (). The averages of the ML two-sample predictors are given in Table 12, and the ML two-sample predictors for the first real data set are shown in Table 13.
Table 10.
ML estimates and standard errors for the parameters for the first real data set.
Table 11.
ML estimates and standard errors of the reliability and hazard rate functions for the first real data set.
Table 12.
Averages of the ML predictors and bounds of the future observation under two-sample prediction .
Table 13.
ML predictors and bounds of the future observation for the first real data set under two-sample prediction.
Table 14 and Table 15 present the averages of the Bayes estimates, relative absolute biases (RABs), ERs, and credible intervals. These values are calculated using different samples of size () and , under an informative prior. The population parameters that have been created are as follows:
Table 14.
Averages of the Bayes estimates, relative absolute biases, estimated risks and 95% credible intervals for the parameters of the MOBEL distribution using informative prior .
Table 15.
Averages of the Bayes estimates, relative absolute biases, estimated risks and 95% credible intervals for the parameters of the MOBEL distribution using informative prior .
The specified vector of hyperparameters is , where and .
Table 16 and Table 17 display the averages of the Bayes estimates, RABs, ERs, and credible intervals of rf and hrf for time values , based on informative priors. Table 18 and Table 19 propose the Bayes estimates and SEs for the parameters, rf and hrf, based on the first real data set, under an informative prior. Table 20 provides the Bayes two-sample predictors under informative priors where the hyperparameters in are ( and (, and . Table 21 displays the Bayes predictors for future observations for the first real data set.
Table 16.
Averages of the Bayes estimates, relative absolute biases, estimated risks and 95% credible intervals of the reliability and hazard rate functions, using informative prior .
Table 17.
Averages of the Bayes estimates, relative absolute biases, estimated risks and 95% credible intervals of the reliability and hazard rate functions, using informative prior .
Table 18.
Bayes estimates and standard errors for the parameters of the MOBEL distribution for the first real data set.
Table 19.
Bayes estimates and standard errors of the reliability and hazard rate functions for the first real data set.
Table 20.
Bayes predictors and bounds, of the future observation .
Table 21.
Bayes predictors for the first real data set.
6. Concluding Remarks
From Table 6, Table 7, Table 8, Table 9, Table 10 and Table 11, one can observe that, as the sample size increases, the ML averages increase and are close to the population parameter values. Furthermore, when the sample size increases, the ERs decrease. This reflects that the estimators are accurate, consistent, efficient, and give confidence that subsequent analyses, predictions, or decisions based on the model will be more reliable. As the sample size increases, the confidence intervals for the parameters get more precise; the ML averages of the rf and hrf perform better with large sample sizes. Also, as the sample size increases, the ER decreases. The confidence interval for the first future order statistic is shorter compared to the confidence interval for the last future order statistic, as indicated in Table 12 and Table 13. The ML interval involves the estimated values, which lie between the lower limit (LL) and the upper limit (UL). From Table 14, Table 15, Table 16, Table 17, Table 18 and Table 19, one can observe that the RABs and ERs of the Bayes estimates decrease as the sample size increases, and the credible intervals for the parameters get more precise as the sample size increases, as the credible intervals get narrower. The Bayes averages for the rf and hrf improve when the sample sizes increase. In Table 20, Bayes predictors are obtained for the future observations where NR = 10,000, and Table 21 displays the Bayes predictors for the future observation from the first real data set. The performance of the results improves as the size of the informative sample increases. The MOBEL distribution closely resembles the MOBEL model. The MOBEL distribution can be utilized to analyze the actual dataset. The shape parameters were modeled using a dependent prior, as recommended by Pena and Gupta [53]. Explicit formulas for the Bayes estimators cannot be derived. The P-P plot and the fitted MOBEL distribution plots indicate that the MOBEL distribution gives a better fit for the real data sets and indicate that the MOBEL distribution is superior among others. Table 22, Table 23, Table 24, Table 25, Table 26 and Table 27 show the results for the second real dataset. Notably, both real datasets exhibit similar trends and characteristics, leading to analogous conclusions across these tables. Key observations, such as specific trends, patterns, or results, are consistent between the two real datasets. Thus, the remarks provided for the first real data set are similarly applicable to Table 22, Table 23, Table 24, Table 25, Table 26 and Table 27, indicating the robustness of the observed patterns across both real datasets.
Table 22.
ML estimates and standard errors for the parameters for the second real data set.
Table 23.
ML estimates and standard errors of the reliability and hazard rate functions for the second real data set.
Table 24.
ML predictors and bounds of the future observation for the second real data set under two-sample prediction.
Table 25.
Bayes estimates and standard errors for the parameters of the MOBEL distribution for the second real data set.
Table 26.
Bayes estimates and standard errors of the reliability and hazard rate functions for the second real data set.
Table 27.
Bayes predictors for the second real data set.
7. General Conclusions
In this paper, a bivariate survival model based on the MOBEL distribution is proposed, with both Bayesian and maximum likelihood estimation approaches for parameter estimation and prediction. Traditional bivariate survival models often fail to adequately capture dependencies between variables or are limited in their ability to model heavy-tailed behavior. The Marshall–Olkin structure allows for a more flexible dependence framework, particularly useful for modeling events with shocks or dependencies in both variables. Additionally, the Exponentiated Lomax distribution introduces flexibility to model survival data with heavy-tailed properties, a feature lacking in many current bivariate models.
Some advantages of the model are that it can accommodate a wide range of dependency structures, including asymmetric dependencies, which are common in real-world applications such as reliability and life-testing experiments. The paper provides both Bayesian estimation and prediction as well as ML estimation and prediction approaches; the model gives researchers two complementary tools. The Bayesian approach allows incorporating prior information, while the ML method offers a more classical approach. Moreover, the Exponentiated Lomax distribution enhances the model’s flexibility and ability to handle heavy-tailed data, improving its applicability to datasets where extreme values play a significant role.
Despite the previous advantages, there were a few disadvantages that we faced: computational complexity due to the added flexibility and complex dependencies, where the model requires more computational effort, especially when using Bayesian methods with posterior sampling. Also, we realized the interpretation challenges, where the model’s parameters can be more difficult to interpret compared to simpler bivariate models.
The model is suitable for bivariate survival data with dependencies between the variables. It assumes that both variables are non-negative and that the survival functions exhibit heavy-tailed behavior. The model is particularly useful in situations where simultaneous events or shocks are an essential factor, and where both the Bayesian and ML approaches can provide complementary insights. However, large sample sizes are often required for robust parameter estimation due to the complexity of the model.
In conclusion, the MOBEL distribution fills gaps in existing bivariate models by offering greater flexibility in modeling dependencies and tail behavior. Applying both Bayesian and ML approaches enhances the model’s applicability, making it a powerful tool for bivariate survival analysis.
This paper mainly focuses on constructing the bivariate distribution, studying its properties, and considering ML and Bayesian estimation and prediction, but it can be extended to the multivariate case.
Author Contributions
All authors contributed equally and accepted responsibility for the entire content of this manuscript and approved its submission. Conceptualization, S.M.S.B., Z.I.K. and R.M.R.; Methodology, Z.I.K., A.A.E.-H., G.R.A.-D. and R.M.R.; Software, A.A.E.-H.; Validation, G.R.A.-D.; Formal analysis, A.A.M.M. and M.K.A.E.; Investigation, G.R.A.-D. and M.K.A.E.; Data curation, M.K.A.E.; Writing—original draft, S.M.S.B. and A.A.M.M.; Writing—review & editing, S.M.S.B., Z.I.K., A.A.M.M., R.M.R. and M.K.A.E.; Visualization, A.A.E.-H. and G.R.A.-D.; Supervision, A.A.E.-H.; Funding acquisition, S.M.S.B. All authors have read and agreed to the published version of the manuscript.
Funding
This research was funded by the Deanship of Scientific Research (DSR), King Abdulaziz University, Jeddah, under grant No. D-176-363-1439. The authors, therefore, acknowledge this institution with thanks for the DSR technical and financial support.
Data Availability Statement
All data generated or analyzed in the paper are associated with its references and sources.
Acknowledgments
The authors acknowledge the Deanship of Scientific Research (DSR), King Abdulaziz University, Jeddah, Saudi Arabia, under grant No. D-176-363-1439. Also, the authors acknowledge this institution with thanks for the DSR technical and financial support.
Conflicts of Interest
The authors declare no conflicts of interest.
References
- Marshall, A.W.; Olkin, I. A generalized bivariate exponential distribution. J. Appl. Probab. 1967, 4, 291–302. [Google Scholar] [CrossRef]
- Louzada, F.; Suzuki, A.K.; Cancho, V.G. The FGM long-term bivariate survival copula model: Modeling, Bayesian estimation, and case influence diagnostics. Commun. Stat.-Theory Methods 2013, 42, 673–691. [Google Scholar] [CrossRef]
- Denuit, M.; Cornet, A. Multiple premium calculation with dependent future lifetimes. J. Actuar. Pract. 1999, 7, 147–171. [Google Scholar]
- Sarhan, A.M.; Balakrishnan, N. A new class of bivariate distributions and its mixture. J. Multivar. Anal. 2007, 98, 1508–1527. [Google Scholar] [CrossRef][Green Version]
- Kundu, D.; Gupta, A. Bayes estimation for the Marshall-Olkin bivariate Weibull distribution. Comput. Stat. Data Anal. 2013, 57, 271–281. [Google Scholar] [CrossRef]
- El-Gohary, A.; El-Bassiouny, A.H.; El-Morshedy, M. Bivariate exponentiated modified Weibull extension distribution. J. Stat. Appl. Probab. 2016, 5, 67–78. [Google Scholar] [CrossRef]
- Aboraya, M. A New One-parameter G Family of Compound Distributions: Copulas, Statistical Properties and Applications. Stat. Optim. Inf. Comput. 2021, 9, 942–962. [Google Scholar] [CrossRef]
- Shehata, W.A.M.; Yousof, H.M.; Aboraya, M. A Novel Generator of Continuous Probability Distributions for the Asymmetric Left-skewed Bimodal Real-life Data with Properties and Copulas. Pak. J. Stat. Oper. Res. 2021, 17, 943–961. [Google Scholar] [CrossRef]
- Ali, M.M.; Yousof, H.M.; Ibrahim, M. A New Lomax Type Distribution: Properties, Copulas, Applications, Bayesian and Non-Bayesian Estimation Methods. Int. J. Stat. Sci. 2021, 21, 61–104. [Google Scholar]
- Tolba, A.H.; Ramadan, D.A.; Almetwally, E.M.; Jawa, T.M.; Sayed, N.A. Statistical Inference for Stress-Strength Reliability Using Inverse Lomax Lifetime Distribution with Mechanical Engineering Applications. Therm. Sci. 2022, 26, S303–S326. [Google Scholar] [CrossRef]
- Alotaibi, R.; Al Mutairi, A.; Almetwally, E.M.; Park, C.; Rezk, H. Optimal Design for a Bivariate Step-Stress Accelerated Life Test with Alpha Power Exponential Distribution Based on Type-I Progressive Censored Samples. Symmetry 2022, 14, 830. [Google Scholar] [CrossRef]
- Alotaibi, N.; Elbatal, I.; Almetwally, E.M.; Alyami, S.A.; Al-Moisheer, A.S.; Elgarhy, M. Bivariate Step-Stress Accelerated Life Tests for the Kavya–Manoharan Exponentiated Weibull Model under Progressive Censoring with Applications. Symmetry 2022, 14, 1791. [Google Scholar] [CrossRef]
- Shehata, W.A.M.; Yousof, H.M. A Novel Two-parameter Nadarajah-Haghighi Extension: Properties, Copulas, Modeling Real Data and Different Estimation Methods. Stat. Optim. Inf. Comput. 2022, 10, 725–749. [Google Scholar] [CrossRef]
- Abdullah, M.M.; Masmoudi, A. Modeling Real-life Data Sets with a Novel G Family of Continuous Probability Distributions: Statistical Properties, and Copulas. Pak. J. Stat. Oper. Res. 2023, 19, 719–746. [Google Scholar] [CrossRef]
- Refaie, M.K.A.; Yaqoob, A.A.; Selim, M.A.; Ali, E.I.A. A Novel Version of the Exponentiated Weibull Distribution: Copulas, Mathematical Properties and Statistical Modeling. Pak. J. Stat. Oper. Res. 2023, 19, 491–519. [Google Scholar] [CrossRef]
- Refaie, M.K.A.; Mahran, H.A. A Novel Two-Parameter Compound G Family of Probability Distributions with Some Copulas, Statistical Properties and Applications. Stat. Optim. Inf. Comput. 2023, 11, 345–367. [Google Scholar] [CrossRef]
- Abbas, N. On Classical and Bayesian Reliability of Systems Using Bivariate Generalized Geometric Distribution. J. Stat. Theory Appl. 2023, 22, 151–169. [Google Scholar] [CrossRef]
- Farooq, M.; Gul, A.; Alshanbari, H.M.; Khosa, S.K. Modeling of System Availability and Bayesian Analysis of Bivariate Distribution. Symmetry 2023, 15, 1698. [Google Scholar] [CrossRef]
- Gupta, R.C.; Gupta, P.L.; Gupta, R.D. Modeling failure time data by lehman alternatives. Commun. Stat.-Theory Methods 1998, 27, 887–904. [Google Scholar] [CrossRef]
- El-Monsef, M.M.E.A.; Sweilam, N.H.; Sabry, M.A. The exponentiated power Lomax distribution and its applications. Qual. Reliab. Eng. 2021, 37, 1035–1058. [Google Scholar] [CrossRef]
- Almongy, H.; Almetwally, E.; Mubarak, A. Marshall-Olkin Alpha Power Lomax Distribution: Estimation Methods, Applications on Physics and Economics. Pak. J. Stat. Oper. Res. 2021, 17, 137–153. [Google Scholar] [CrossRef]
- Abd AL-Fattah, A.M.; EL-Helbawy, A.A.; AL-Dayian, G.R. Inverted Kumaraswamy distribution: Properties and estimation. Pak. J. Stat. Oper. Res. 2017, 33, 37–61. [Google Scholar]
- Mudholkar, G.S.; Sriastava, D.K.; Freimer, M. The exponentiated Weibull family: A reanalysis of the bus motor failure data. Technometrics 1995, 37, 436–445. [Google Scholar] [CrossRef]
- Abu-Zinadah, H.H. A Study on Exponentiated Pareto Distribution. Ph.D. Thesis, College of Education for Girls, Jeddah, Saudi Arabia, 2006. [Google Scholar]
- Shawky, A.; Abu-Zinadah, H. Characterizations of the exponentiated Pareto distribution based on record values. Appl. Math. Sci. 2008, 2, 1283–1290. [Google Scholar]
- AL-Dayian, G.R.; Adham, S.A.; El Beltagy, S.H.; Abdelaal, M.K. Bivariate half-logistic distributions Based on Mixtures and Copula. Acad. Bus. J. 2008, 2, 92–107. [Google Scholar]
- Kundu, D.; Balakrishnan, N.; Jamalizadeh, A. Bivariate Birnbaum–Saunders distribution and associated inference. J. Multivar. Anal. 2010, 101, 113–125. [Google Scholar] [CrossRef]
- Gupta, R.C.; Kirmani, S.; Srivastava, H. Local dependence functions for some families of bivariate distributions and total positivity. Appl. Math. Comput. 2010, 216, 1267–1279. [Google Scholar] [CrossRef]
- El-Sherpieny, E.; Ibrahim, S.; Bedar, R.E. A New Bivariate Distribution with Generalized Gompertz Marginals. Asian J. Appl. Sci. 2013, 1, 141–150. [Google Scholar]
- Capitani, L.; Niclussi, F.; Zini, A. Trivariate Burr-III copula with applications to income data. Metron 2016, 75, 109–124. [Google Scholar] [CrossRef]
- Al-erwi, A.S.; Baharith, L.A. A bivariate exponentiated Pareto distribution derived from Gaussian copula. Int. J. Adv. Appl. Sci. 2017, 4, 66–73. [Google Scholar] [CrossRef]
- Ogana, F.N.; Osho, J.S.A.; Gorgoso-Varela, J.J. An approach to modeling the joint distribution of tree diameter and height data. J. Sustain. For. 2018, 37, 475–488. [Google Scholar] [CrossRef]
- Azizi, A.; Syyareh, A. Estimating the parameters of the bivariate Burr Type III distribution by EM algorithm. J. Iran. Stat. Soc. 2019, 18, 133–155. [Google Scholar]
- Mondal, S.; Kundu, D. A bivariate inverse Weibull distribution and its application in complementary risks model. J. Appl. Stat. 2020, 47, 1084–1108. [Google Scholar] [CrossRef] [PubMed]
- Bakouch, H.S.; Moala, F.A.; Saboor, A.; Samad, H. A bivariate Kumaraswamy exponential distribution with application. Math. Slovaca 2019, 69, 1185–1212. [Google Scholar] [CrossRef]
- Kamal, M.; Aldallal, R.; Nassr, S.G.; Al Mutairi, A.; Yusuf, M.; Mustafa, M.S.; Alsolmi, M.M.; Almetwally, E.M. A new improved form of the Lomax model: Its bivariate extension and an application in the financial sector. Alex. Eng. J. 2023, 75, 127–138. [Google Scholar] [CrossRef]
- Aljohani, H.M. Estimation for the P (X > Y) of Lomax distribution under accelerated life tests. Heliyon 2024, 10, e25802. [Google Scholar] [CrossRef]
- Elgohari, H.; Yousof, H.M. A Generalization of Lomax Distribution with Properties, Copula and Real Data Applications. Pak. J. Stat. Oper. Res. 2020, 16, 697–711. [Google Scholar] [CrossRef]
- Hamed, M.S.; Cordeiro, G.M.; Yousof, H.M. A New Compound Lomax Model: Properties, Copulas, Modeling and Risk Analysis Utilizing the Negatively Skewed Insurance Claims Data. Pak. J. Stat. Oper. Res. 2022, 18, 601–631. [Google Scholar] [CrossRef]
- Aboraya, M.; Ali, M.M.; Yousof, H.M.; Ibrahim, M. A Novel Lomax Extension with Statistical Properties, Copulas, Different Estimation Methods and Applications. Bull. Malays. Math. Sci. Soc. 2022, 45, S85–S120. [Google Scholar] [CrossRef]
- El-Sherpieny, E.S.A.; Muhammed, H.Z.; Almetwally, E.M. Data Analysis by Adaptive Progressive Hybrid Censored Under Bivariate Model. Ann. Data Sci. 2024, 11, 507–548. [Google Scholar] [CrossRef]
- El-Sherpieny, E.S.A.; Muhammed, H.Z.; Almetwally, E.M. Bivariate Chen Distribution Based on Copula Function: Properties and Application of Diabetic Nephropathy. J. Stat. Theory Pract. 2022, 16, 54. [Google Scholar] [CrossRef]
- El-Sherpieny, E.S.A.; Muhammed, H.Z.; Almetwally, E.M. Accelerated Life Testing for Bivariate Distributions based on Progressive Censored Samples with Random Removal. J. Stat. Appl. Probab. Lett. 2022, 11, 203–223. [Google Scholar]
- Almetwally, E.M.; Muhammed, H.Z. On a bivariate Fréchet distribution. J. Stat. Appl. Probab. 2020, 9, 1–21. [Google Scholar]
- El-Sherpieny, E.S.A.; Almetwally, E.M.; Muhammed, H.Z. Bivariate Weibull-g family based on copula function: Properties, Bayesian and non-Bayesian estimation and applications. Stat. Optim. Inf. Comput. 2022, 10, 678–709. [Google Scholar] [CrossRef]
- Muhammed, H.Z.; El-Sherpieny, E.S.A.; Almetwally, E.M. Dependency measures for new bivariate models based on copula function. Inf. Sci. Lett. 2021, 10, 511–526. [Google Scholar] [CrossRef]
- Abulebda, M.; Pathak, A.K.; Pandey, A.; Tyagi, S. On a Bivariate XGamma Distribution Derived from Copula. Statistica 2022, 82, 15–40. [Google Scholar]
- Hassan, M.K.; Chesneau, C. Bivariate Generalized Half-Logistic Distribution: Properties and Its Application in Household Financial Affordability in KSA. Math. Comput. Appl. 2022, 27, 72. [Google Scholar] [CrossRef]
- Zhao, J.; Faqiri, H.; Ahmad, Z.; Emam, W.; Yusuf, M.; Sharawy, A.M. The lomax-claim model: Bivariate extension and applications to financial data. Complexity 2021, 2021, 9993611. [Google Scholar] [CrossRef]
- Qura, M.E.; Fayomi, A.; Kilai, M.; Almetwally, E.M. Bivariate power Lomax distribution with medical applications. PLoS ONE 2023, 18, e0282581. [Google Scholar] [CrossRef]
- Hamedani, G. Characterizations of exponentiated distributions. Pak. J. Stat. Oper. Res. 2013, IX, 17–24. [Google Scholar] [CrossRef][Green Version]
- Basu, A.P. Bivariate failure rate. J. Am. Stat. Assoc. 1971, 66, 103–104. [Google Scholar] [CrossRef]
- Pena, A.; Gupta, A.K. Bayes estimation for the Marshall-Olkin exponential distribution. J. R. Stat. Soc. Ser. B 1990, 52, 379–389. [Google Scholar] [CrossRef]
- Csorgo, S.; Welsh, A.H. Testing for exponential and Marshall-Olkin distribution. J. Stat. Plan. Inference 1989, 23, 287–300. [Google Scholar] [CrossRef]
- Oliveira, R.P.; Achcar, J.A.; Mazucheli, J.; Bertoli, W. A new class of bivariate Lindley distributions based on stress and shock models and some of their reliability properties. Reliab. Eng. Syst. Saf. 2021, 211, 107528. [Google Scholar] [CrossRef]
- Mahmoud, A.A.M.; Refaey, R.M.; AL-Dayian, G.R.; EL-Helbawy, A.A. Bivariate Burr type III distribution: Estimation and prediction. J. Adv. Math. Comput. Sci. 2021, 36, 16–36. [Google Scholar] [CrossRef]
- Refaey, R.M.; AL-Dayian, G.R.; EL-Helbawy, A.A.; Mahmoud, A.A.M. Bivariate compound exponentiated survival function of the Lomax distribution: Estimation and prediction. Asian J. Probab. Stat. 2021, 15, 163–184. [Google Scholar] [CrossRef]
- Fayomi, A.; Refaey, R.M.; AL-Dayian, G.R.; EL-Helbawy, A.A.; Mahmoud, A.A.M.; Abd Elaal, M. Bivariate Lomax Distribution Based on Clayton Copula: Estimation and Prediction. J. Stat. Appl. Probab. 2024, 13, 1321–1337. [Google Scholar] [CrossRef]
- Mahmoud, A.A.M.; Khashab, R.H.; Kalantan, Z.I.; Binhimd, S.M.S.; Alghamdi, A.S.; Nassr, S.G. On bivariate compound exponentiated survival function of the beta distribution: Estimation and prediction. J. Radiat. Res. Appl. Sci. 2024, 17, 100886. [Google Scholar] [CrossRef]
Disclaimer/Publisher’s Note: The statements, opinions and data contained in all publications are solely those of the individual author(s) and contributor(s) and not of MDPI and/or the editor(s). MDPI and/or the editor(s) disclaim responsibility for any injury to people or property resulting from any ideas, methods, instructions or products referred to in the content. |
© 2024 by the authors. Licensee MDPI, Basel, Switzerland. This article is an open access article distributed under the terms and conditions of the Creative Commons Attribution (CC BY) license (https://creativecommons.org/licenses/by/4.0/).






