Electrothermal Monte Carlo Simulation of a GaAs Resonant Tunneling Diode
Abstract
1. Introduction
2. The Boltzmann–Wigner Transport Equation
3. The Signed Particle Monte Carlo Method
4. The Resonant Tunneling Diode
5. The Electrothermal Signed Particle Monte Carlo Method
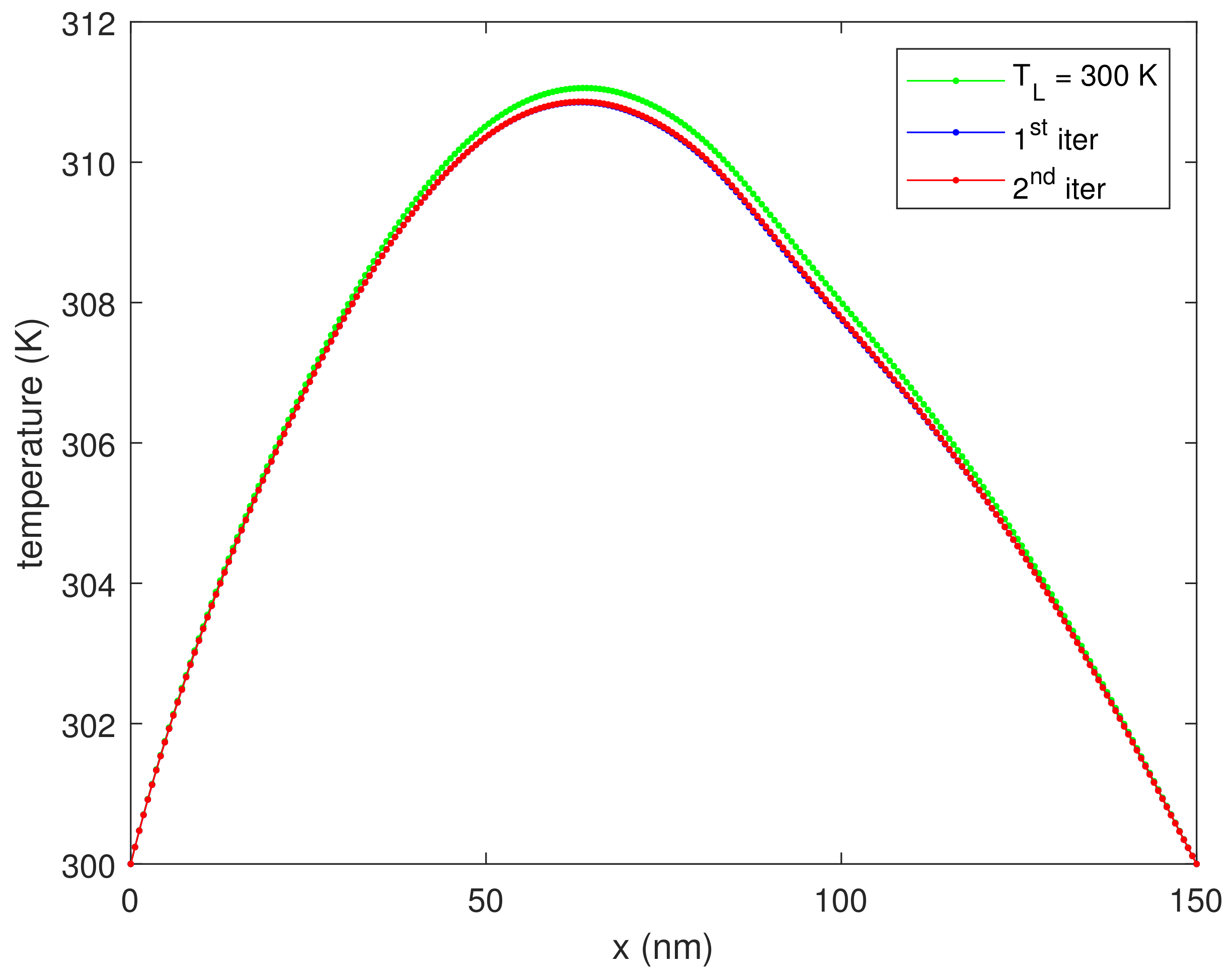
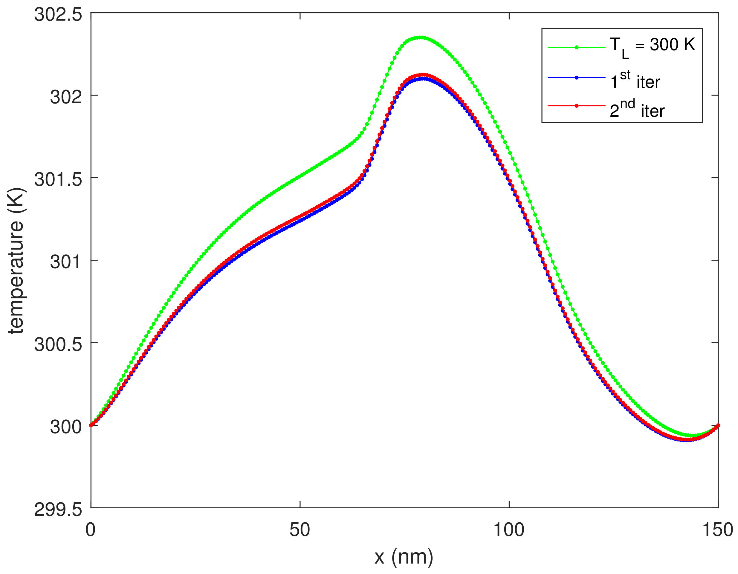
- The initial SPMC iteration is run at a room temperature of 300 K for a few ps, in order to reach a steady-state;
- As the steady state is reached, electronic parameters are sampled for typically 15 ps, in order to evaluate the heat generation rate ;
- The lattice temperature is obtained by solving the steady-state heat diffusion equationbeing the thermal conductivity in GaAs;
- We repeat this procedure until convergence is reached.
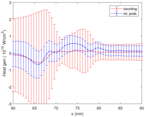
- Counting the phonon number.We introduce the quantity [22]where , are the numbers of the phonon emitted and absorbed in the time interval in the x-th grid point, the charge density, and the particle number at time t in the x-th cell. Then, the heat generation rate is
- using the integrated probability scattering function.Then, the heat generation rate is
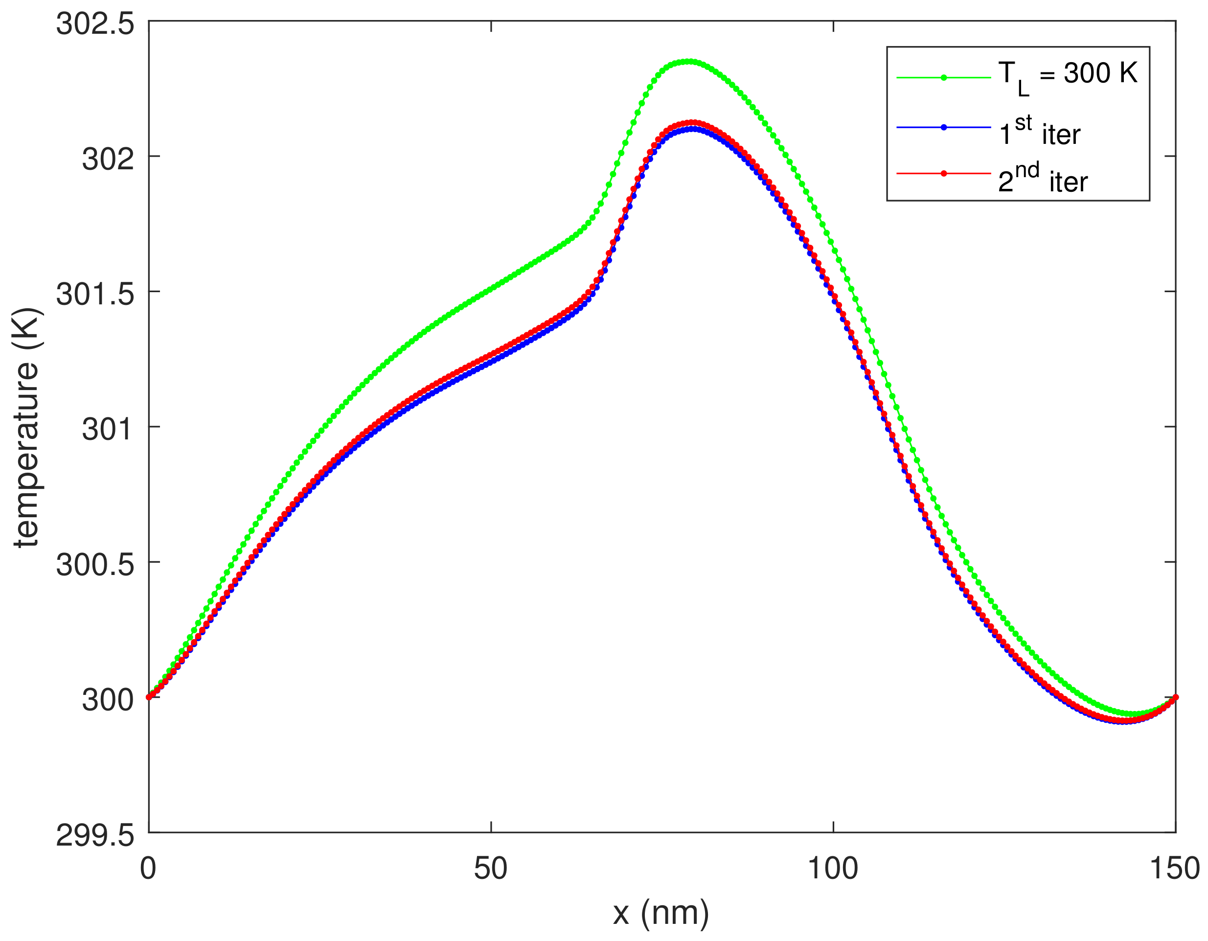
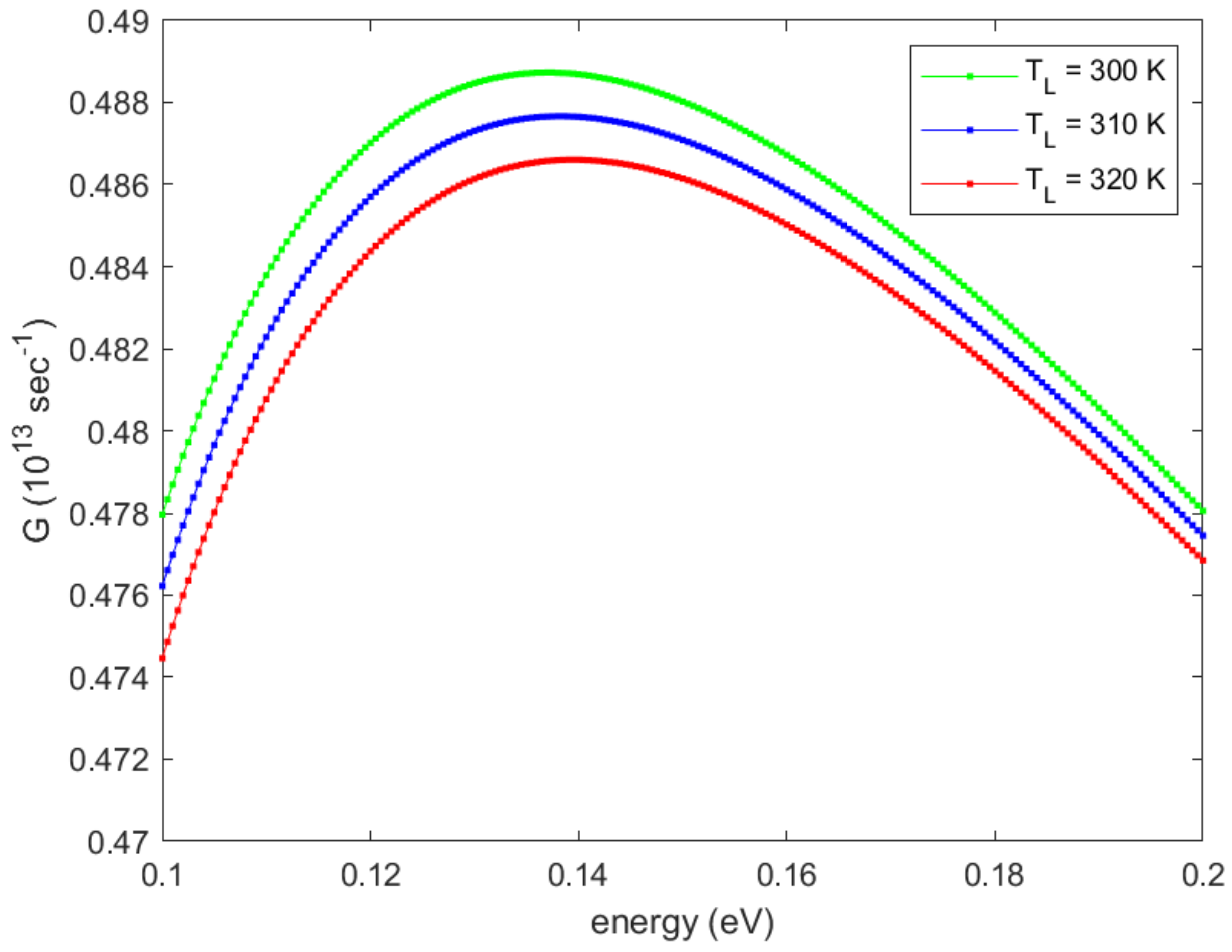
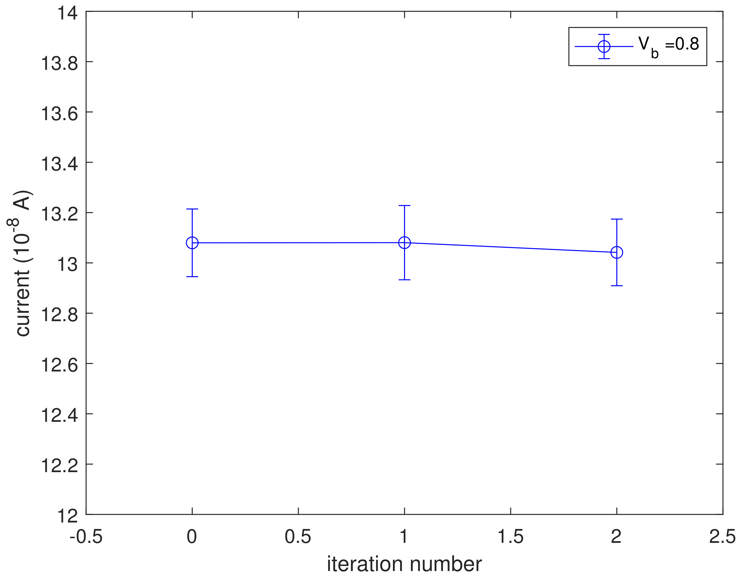
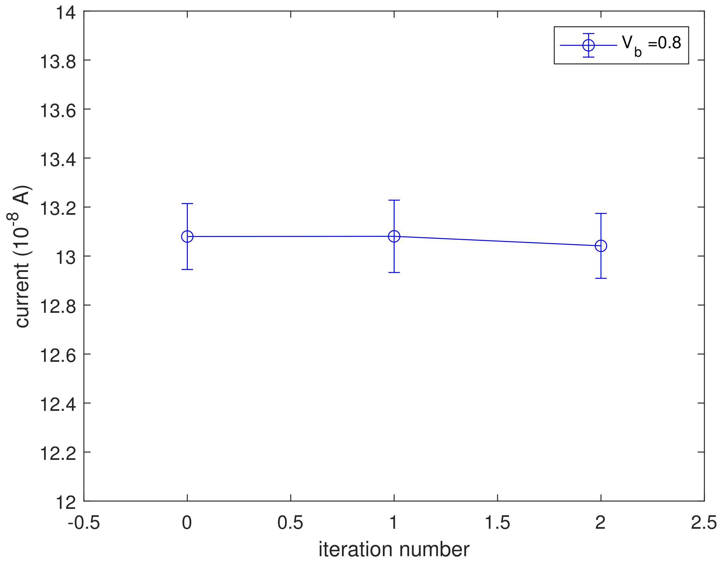
6. Numerical Results
7. Conclusions
Funding
Data Availability Statement
Acknowledgments
Conflicts of Interest
References
- Muscato, O.; Di Stefano, V. Hydrodynamic modeling of the electro-thermal transport in silicon semiconductors. J. Phys. A Math. Theor. 2011, 44, 105501. [Google Scholar] [CrossRef]
- Mascali, G. Exploitation of the Maximum Entropy Principle in the Study of Thermal Conductivity of Silicon, Germanium and Graphene. Energies 2022, 15, 4718. [Google Scholar] [CrossRef]
- Sadi, T.; Kensal, R.; Pilgrim, N. Simulation of Electron Transport in InGaAs/AlGaAs HEMTs Using an Electrothermal Monte Carlo Method. IEEE Trans. Electr. Dev. 2006, 53, 1768–1774. [Google Scholar] [CrossRef]
- Sadi, T.; Kensal, R.W.; Pilgrim, N.; Thobel, J.L.; Dessenne, F. Monte Carlo study of self-heating in nanoscale devices. J. Comput. Electr. 2012, 11, 118–128. [Google Scholar] [CrossRef]
- Muscato, O.; Di Stefano, V.; Wagner, W. A variance-reduced electrothermal Monte Carlo method for semiconductor device simulation. Comput. Math. Appl. 2013, 65, 520–527. [Google Scholar] [CrossRef]
- Zhan, Z.; Colomes, E.; Oriols, X. Unphysical features in the application of the Boltzmann collision operator in the time-dependent modeling of quantum transport. J. Comput. Electron. 2016, 15, 1206–1218. [Google Scholar] [CrossRef]
- Villani, M.; Oriols, X. Can Wigner distribution functions with collisions satisfy complete positivity and energy conservation? J. Comput. Electron. 2021, 20, 2232–2244. [Google Scholar] [CrossRef]
- Shao, S.; Lu, T.; Cai, W. Adaptive Conservative Cell Average Spectral Element Methods for Transient Wigner Equation in Quantum Transport. Comm. Comput. Phys. 2011, 9, 711–739. [Google Scholar] [CrossRef]
- Xiong, Y.; Chen, Z.; Shao, S. An advective-spectral-mixed method for time-dependent many-body Wigner simulations. SIAM J. Sci. Comput. 2016, 38, B491–B520. [Google Scholar] [CrossRef]
- Xiong, Y.; Chen, Z.; Shao, S. A higher-order accurate operator splitting spectral method for the Wigner–Poisson system. J. Comput. Electron. 2022, 21, 756–770. [Google Scholar]
- Dorda, A.; Schürrer, F. A WENO-solver combined with adaptive momentum discretization for the Wigner transport equation and its application to resonant tunneling diodes. J. Comp. Electr. 2015, 284, 95–116. [Google Scholar] [CrossRef]
- Lee, J.H.; Shin, M. Quantum Transport Simulation of Nanowire Resonant Tunneling Diodes Based on a Wigner Function Model With Spatially Dependent Effective Masses. IEEE Trans. Nanotech. 2017, 16, 1028–1036. [Google Scholar] [CrossRef]
- de Put, M.L.V.; Soree, B.; Magnus, W. Efficient solution of the Wigner-Liouville equation using a spectral decomposition of the force field. J. Comp. Phys. 2017, 350, 314–325. [Google Scholar] [CrossRef]
- Nedjalkov, M.; Kosina, H.; Selberherr, S.; Ringhofer, C.; Ferry, D.K. Unified particle approach to Wigner-Boltzmann transport in small semiconductor devices. Phys. Rev. B 2004, 70, 115319. [Google Scholar] [CrossRef]
- Benam, M.; Ballicchia, M.; Weinbub, J.; Selberherr, S.; Nedjalkov, M. A computational approach for investigating Coulomb interaction using Wigner–Poisson coupling. J. Comput. Electr. 2021, 20, 775–784. [Google Scholar] [CrossRef]
- Muscato, O.; Wagner, W. A class of stochastic algorithms for the Wigner equation. SIAM J. Sci. Comput. 2016, 38, A1438–A1507. [Google Scholar] [CrossRef]
- Muscato, O.; Wagner, W. A stochastic algorithm without time discretization error for the Wigner equation. Kin. Rel. Model. 2019, 12, 59–77. [Google Scholar] [CrossRef]
- Muscato, O. Wigner ensemble Monte Carlo simulation without splitting error of a GaAs resonant tunneling diode. J. Comp. Electr. 2021, 20, 2062–2069. [Google Scholar] [CrossRef]
- Querlioz, D.; Dollfus, P. The Wigner Monte Carlo Method for Nanoelectronic Devices; Wiley: Hoboken, NJ, USA, 2010. [Google Scholar]
- Lundstrom, M. Fundamentals of Carrier Transport; Cambridge Univ. Press: Cambridge, UK, 2000. [Google Scholar]
- Shifren, L.; Ringhofer, C.; Ferry, D. A Wigner Function-Based Quantum Ensemble Monte Carlo Study of a Resonant Tunneling Diode. IEEE Trans. Electr. Dev. 2003, 50, 769–773. [Google Scholar] [CrossRef]
- Pop, E.; Sinha, S.; Goodson, K. Heat generation and transport in nanometer scale transistors. Proc. IEEE 2006, 94, 1587–1601. [Google Scholar] [CrossRef]









Disclaimer/Publisher’s Note: The statements, opinions and data contained in all publications are solely those of the individual author(s) and contributor(s) and not of MDPI and/or the editor(s). MDPI and/or the editor(s) disclaim responsibility for any injury to people or property resulting from any ideas, methods, instructions or products referred to in the content. |
© 2023 by the author. Licensee MDPI, Basel, Switzerland. This article is an open access article distributed under the terms and conditions of the Creative Commons Attribution (CC BY) license (https://creativecommons.org/licenses/by/4.0/).
Share and Cite
Muscato, O. Electrothermal Monte Carlo Simulation of a GaAs Resonant Tunneling Diode. Axioms 2023, 12, 216. https://doi.org/10.3390/axioms12020216
Muscato O. Electrothermal Monte Carlo Simulation of a GaAs Resonant Tunneling Diode. Axioms. 2023; 12(2):216. https://doi.org/10.3390/axioms12020216
Chicago/Turabian StyleMuscato, Orazio. 2023. "Electrothermal Monte Carlo Simulation of a GaAs Resonant Tunneling Diode" Axioms 12, no. 2: 216. https://doi.org/10.3390/axioms12020216
APA StyleMuscato, O. (2023). Electrothermal Monte Carlo Simulation of a GaAs Resonant Tunneling Diode. Axioms, 12(2), 216. https://doi.org/10.3390/axioms12020216

