Bounded Perturbation Resilience of Two Modified Relaxed CQ Algorithms for the Multiple-Sets Split Feasibility Problem
Abstract
1. Introduction
2. Preliminaries
- (i)
- (ii)
- (iii)
- (iv)
- .
- (i)
- ;
- (ii)
3. Algorithms and Their Convergence
| Algorithm 1 (The relaxed CQ algorithm with Armijo-line search and perturbation) |
| Given constant , , . Let be arbitrarily chosen, for compute
where and with the smallest non-negative integer such that Construct the next iterate by |
| Algorithm 2 (The relaxed CQ algorithm with self-adaptive step size and perturbation) |
| Take arbitrarily the initial guess , and calculate
|
4. The Bounded Perturbation Resilience
4.1. Bounded Perturbation Resilience of the Algorithms
4.2. Construction of the Inertial Algorithms by Bounded Perturbation Resilience
5. Numerical Experiments
5.1. LASSO Problem
5.2. Three MSSFP Problems
6. Conclusions
Author Contributions
Funding
Institutional Review Board Statement
Informed Consent Statement
Data Availability Statement
Acknowledgments
Conflicts of Interest
References
- Byrne, C. Iterative oblique projection onto convex sets and the split feasibility problem. Inverse Probl. 2002, 18, 441–453. [Google Scholar] [CrossRef]
- Byrne, C. A unified treatment of some iterative algorithms in signal processing and image reconstruction. Inverse Probl. 2004, 20, 103–120. [Google Scholar] [CrossRef]
- Yang, Q.Z. The relaxed CQ algorithm solving the split feasibility problem. Inverse Probl. 2004, 20, 1261–1266. [Google Scholar] [CrossRef]
- Censor, Y.; Elfving, T.; Kopf, N.; Bortfeld, T. The multiple-sets spilt feasibility problem and its applications for inverse problems. Inverse Probl. 2005, 21, 2071–2084. [Google Scholar] [CrossRef]
- He, S.N.; Zhao, Z.Y.; Luo, B. A relaxed self-adaptive CQ algorithm for the multiple-sets split feasibility problem. Optimization 2015, 64, 1907–1918. [Google Scholar] [CrossRef]
- Yang, Q.Z. On variable-step relaxed projection algorithm for variational inequalities. J. Math. Anal. Appl. 2005, 302, 166–179. [Google Scholar] [CrossRef]
- López, G.; Martín-Márquez, V.; Wang, F.H.; Xu, H.K. Solving the split feasibility problem without prior knowledge of matrix norms. Inverse Probl. 2012, 28, 374–389. [Google Scholar] [CrossRef]
- Gibali, A.; Liu, L.W.; Tang, Y.C. Note on the the modified relaxation CQ algorithm for the split feasibility problem. Optim. Lett. 2018, 12, 817–830. [Google Scholar] [CrossRef]
- Chen, Y.; Guo, Y.; Yu, Y.; Chen, R. Self-adaptive and relaxed self-adaptive projection methods for solving the multiple-set split feasibility problem. Abstr. Appl. Anal. 2012, 2012, 958040. [Google Scholar] [CrossRef]
- Xu, H.K. Iterative methods for the split feasibility problem in infinite-dimensional Hilbert spaces. Inverse Probl. 2010, 26, 105018. [Google Scholar] [CrossRef]
- Xu, H.K. A variable Krasnosel’skii-Mann algorithm and the multiple-set split feasibility problem. Inverse Probl. 2006, 22, 2021–2034. [Google Scholar] [CrossRef]
- Yao, Y.H.; Postolache, M.; Liou, Y.C. Strong convergence of a self-adaptive method for the split feasibility problem. Fixed Point Theory Appl. 2013, 2013, 201. [Google Scholar] [CrossRef]
- Guo, Y.N.; Cui, W.; Guo, Y.S. Perturbation resilience of proximal gradient algorithm for composite objectives. J. Nonlinear Sci. Appl. 2017, 10, 5566–5575. [Google Scholar] [CrossRef][Green Version]
- Guo, Y.N.; Cui, W. Strong convergence and bounded perturbation resilience of a modified proximal gradient algorithm. J. Inequalities Appl. 2018, 2018, 103. [Google Scholar] [CrossRef] [PubMed]
- Pakkaranang, N.; Kumam, P.; Berinde, V.; Suleiman, Y.I. Superiorization methodology and perturbation resilience of inertial proximal gradient algorithm with application to signal recovery. J. Supercomput. 2020, 76, 9456–9477. [Google Scholar] [CrossRef]
- Jin, W.M.; Censor, Y.; Jiang, M. Bounded perturbation resilience of projected scaled gradient methods. Comput. Optim. Appl. 2016, 63, 365–392. [Google Scholar] [CrossRef]
- Xu, H.K. Bound perturbation resilience and superiorization techniques for the projected scaled gradient method. Inverse Probl. 2017, 33, 044008. [Google Scholar] [CrossRef]
- Dong, Q.L.; Gibali, A.; Jiang, D.; Tang, Y. Bounded perturbation resilience of extragradient-type methods and their applications. J. Inequalities Appl. 2017, 2017, 280. [Google Scholar] [CrossRef] [PubMed]
- Duan, P.C.; Zheng, X.B. Bounded perturbation resilience of generalized viscosity iterative algorithm for split variational inclusion problem. Appl. Set-Valued Anal. Optim. 2020, 2, 49–61. [Google Scholar]
- Censor, Y.; Zaslavski, A.J. Convergence and perturbation resilience of dynamic string-averaging projection methods. Comput. Optim. Appl. 2013, 54, 65–76. [Google Scholar] [CrossRef]
- Kaewyong, N.; Sitthithakerngkiet, K. A self-adaptive algorithm for the common solution of the split minimization problem and the fixed point problem. Axioms 2021, 10, 109. [Google Scholar] [CrossRef]
- Shehu, Y.; Dong, Q.L.; Liu, L.L. Global and linear convergence of alternated inertial methods for split feasibility problems. R. Acad. Sci. 2021, 115, 53. [Google Scholar]
- Li, H.Y.; Wu, Y.L.; Wang, F.H. New inertial relaxed CQ algorithms for solving split feasibility problems in Hilbert spaces. J. Math. 2021, 2021, 6624509. [Google Scholar] [CrossRef]
- Bauschke, H.H.; Combettes, P.L. Convex Analysis and Monotone Operator Theory in Hilbert Space; Springer: London, UK, 2011. [Google Scholar]
- Bauschke, H.H.; Combettes, P.L. A weak-to-strong convergence principle for Fejér-monntone methods in Hilbert spaces. Math. Oper. Res. 2001, 26, 248–264. [Google Scholar] [CrossRef]
- Wen, M.; Peng, J.G.; Tang, Y.C. A cyclic and simultaneous iterative method for solving the multiple-sets split feasibility problem. J. Optim. Theory Appl. 2015, 166, 844–860. [Google Scholar] [CrossRef]
- Sun, J.; Dang, Y.Z.; Xu, H.L. Inertial accelerated algorithms for solving a split feasibility problem. J. Ind. Manag. Optim. 2017, 13, 1383–1394. [Google Scholar]
- Tang, Y.C.; Zhu, C.X.; Yu, H. Iterative methods for solving the multiple-sets split feasibility problem with splitting self-adaptive step size. Fixed Point Theory Appl. 2015, 2015, 178. [Google Scholar] [CrossRef]
- Liu, L.W.; Tang, Y.C. Several iterative algorithms for solving the split common fixed point problem of directed operators with applications. Optim. A J. Math. Program. Oper. Res. 2016, 65, 53–65. [Google Scholar]
- Zhao, J.L.; Yang, Q.Z. Self-adaptive projection methods for the multiple-sets split feasibility problem. Inverse Probl. 2011, 27, 035009. [Google Scholar] [CrossRef]




| m | n | p | NP1 | HP1 | NP2 | HP2 | Yang’s Alg. | |
|---|---|---|---|---|---|---|---|---|
| 120 | 512 | 15 | No. of Iter | 1588 | 1119 | 10,004 | 7426 | 10,944 |
| cpu(time) | 0.8560 | 0.6906 | 0.6675 | 0.4991 | 0.7011 | |||
| 240 | 1024 | 30 | No. of Iter | 1909 | 1354 | 10,726 | 7969 | 13,443 |
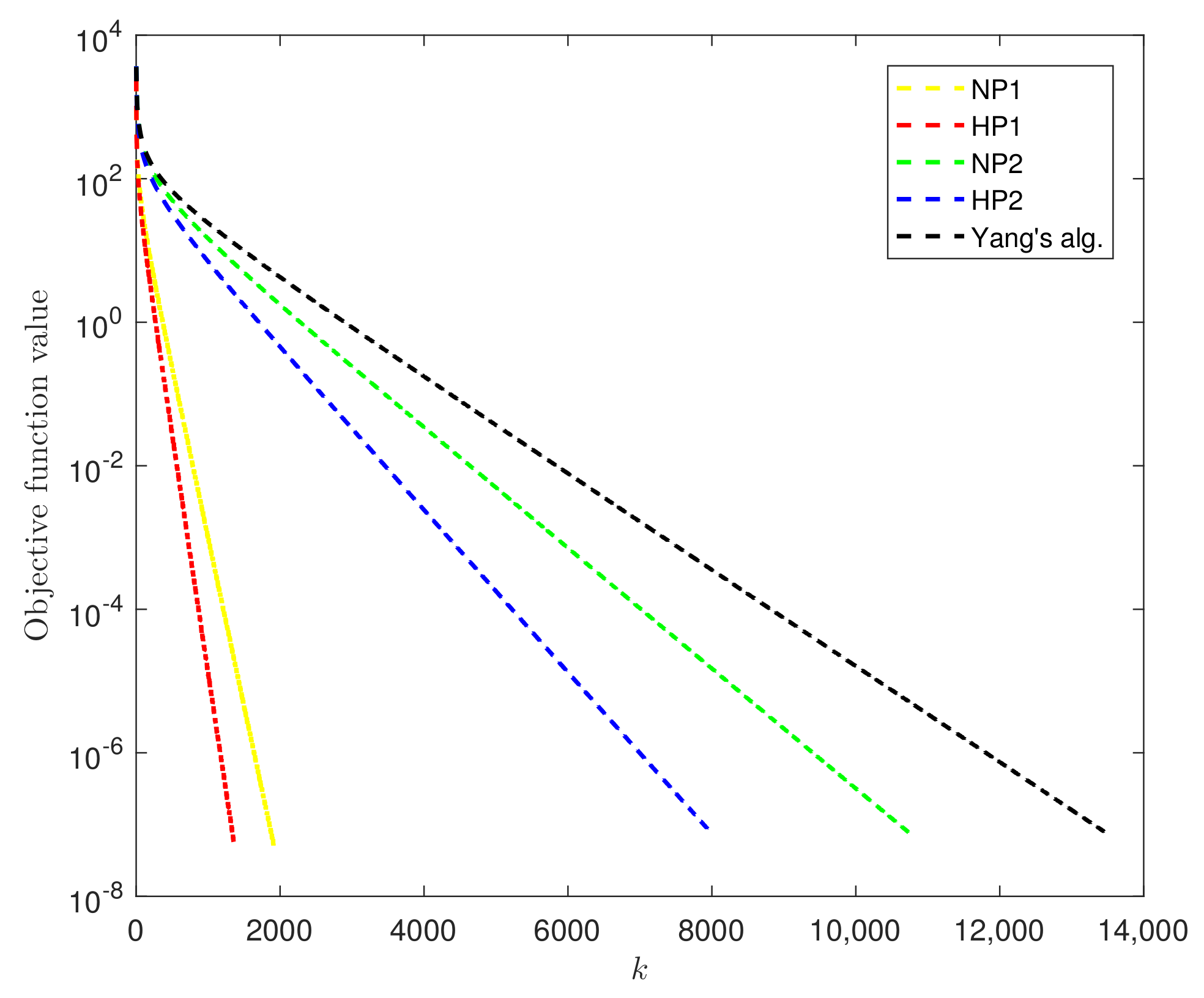
| cpu(time) | 2.1224 | 1.4836 | 1.6236 | 1.2011 | 1.9789 | |||
| 480 | 2048 | 60 | No. of Iter | 2972 | 2117 | 17,338 | 12,897 | 22,118 |
| cpu(time) | 22.5140 | 14.8782 | 15.4729 | 11.1033 | 19.3376 | |||
| 720 | 3072 | 90 | No. of Iter | 3955 | 2872 | 21,853 | 16,244 | 28,004 |
| cpu(time) | 134.9243 | 82.6705 | 79.1640 | 57.1230 | 110.0482 |
| Choice | NP1 | HP1 | NP2 | HP2 | LT Alg. | |
|---|---|---|---|---|---|---|
| 1. | No. of Iter | 60 | 43 | 219 | 162 | 420 |
| cpu(time) | 0.0511 | 0.0450 | 0.0362 | 0.0347 | 0.0879 | |
| 2. | No. of Iter | 139 | 85 | 195 | 143 | 178 |
| cpu(time) | 0.0669 | 0.0509 | 0.0342 | 0.0318 | 0.0552 | |
| 3. | No. of Iter | 142 | 89 | 195 | 141 | 178 |
| cpu(time) | 0.0694 | 0.0490 | 0.0352 | 0.0339 | 0.0551 | |
| 4. | No. of Iter | 149 | 85 | 108 | 77 | 526 |
| cpu(time) | 0.0590 | 0.0448 | 0.0295 | 0.0268 | 0.1018 |
| Initial Point | NP1 | HP1 | NP2 | HP2 | |
|---|---|---|---|---|---|
| No. of Iter | 49 | 36 | 1281 | 999 | |
| cpu(time) | 0.1031 | 0.0669 | 0.1480 | 1494 | |
| No. of Iter | 187 | 121 | 2297 | 1669 | |
| cpu(time) | 0.2485 | 0.1536 | 0.2887 | 0.1868 | |
| No. of Iter | 312 | 225 | 2357 | 1811 | |
| cpu(time) | 0.4202 | 0.2908 | 0.2830 | 0.2159 | |
| No. of Iter | 89 | 66 | 956 | 732 | |
| cpu(time) | 0.3140 | 0.1777 | 0.1534 | 0.1318 | |
| No. of Iter | 1710 | 1583 | 1301 | 1061 | |
| cpu(time) | 4.0390 | 4.0357 | 1860 | 0.1555 | |
| No. of Iter | 1674 | 1658 | 1487 | 1219 | |
| cpu(time) | 4.6581 | 3.7752 | 0.2065 | 0.1762 | |
| No. of Iter | 136 | 103 | 985 | 753 | |
| cpu(time) | 0.6912 | 0.5174 | 0.3312 | 0.2515 | |
| No. of Iter | 1612 | 1411 | 1258 | 968 | |
| cpu(time) | 12.3437 | 11.7164 | 0.3991 | 0.3127 | |
| No. of Iter | 1541 | 1133 | 1643 | 1012 | |
| cpu(time) | 11.8273 | 7.4646 | 1.0363 | 0.2965 |
| Initial Point | NP1 | HP1 | NP2 | HP2 | |
|---|---|---|---|---|---|
| No. of Iter | 477 | 357 | 2268 | 1700 | |
| cpu(time) | 1.2453 | 0.9267 | 1.0516 | 0.8038 | |
| No. of Iter | 757 | 564 | 3291 | 2470 | |
| cpu(time) | 1.6205 | 1.2805 | 1.5623 | 1.1023 | |
| No. of Iter | 996 | 737 | 4323 | 3231 | |
| cpu(time) | 1.9087 | 1.4396 | 1.9696 | 1.4493 | |
| No. of Iter | 1256 | 941 | 5336 | 4001 | |
| cpu(time) | 12.1310 | 4.0061 | 5.9165 | 4.0919 | |
| No. of Iter | 1492 | 1105 | 6917 | 5221 | |
| cpu(time) | 12.6430 | 8.2382 | 12.9631 | 9.4880 | |
| No. of Iter | 2101 | 1835 | 9936 | 9226 | |
| cpu(time) | 16.4070 | 13.2868 | 14.9611 | 12.8079 | |
| No. of Iter | 1758 | 1317 | 8328 | 6245 | |
| cpu(time) | 48.2570 | 38.0668 | 30.6759 | 23.4267 | |
| No. of Iter | 2503 | 1777 | 12,905 | 8677 | |
| cpu(time) | 59.2127 | 44.7915 | 49.5823 | 32.6868 | |
| No. of Iter | 2274 | 1474 | 18,781 | 13,952 | |
| cpu(time) | 58.2569 | 38.1917 | 72.6622 | 54.9814 |
Publisher’s Note: MDPI stays neutral with regard to jurisdictional claims in published maps and institutional affiliations. |
© 2021 by the authors. Licensee MDPI, Basel, Switzerland. This article is an open access article distributed under the terms and conditions of the Creative Commons Attribution (CC BY) license (https://creativecommons.org/licenses/by/4.0/).
Share and Cite
Li, Y.; Zhang, Y. Bounded Perturbation Resilience of Two Modified Relaxed CQ Algorithms for the Multiple-Sets Split Feasibility Problem. Axioms 2021, 10, 197. https://doi.org/10.3390/axioms10030197
Li Y, Zhang Y. Bounded Perturbation Resilience of Two Modified Relaxed CQ Algorithms for the Multiple-Sets Split Feasibility Problem. Axioms. 2021; 10(3):197. https://doi.org/10.3390/axioms10030197
Chicago/Turabian StyleLi, Yingying, and Yaxuan Zhang. 2021. "Bounded Perturbation Resilience of Two Modified Relaxed CQ Algorithms for the Multiple-Sets Split Feasibility Problem" Axioms 10, no. 3: 197. https://doi.org/10.3390/axioms10030197
APA StyleLi, Y., & Zhang, Y. (2021). Bounded Perturbation Resilience of Two Modified Relaxed CQ Algorithms for the Multiple-Sets Split Feasibility Problem. Axioms, 10(3), 197. https://doi.org/10.3390/axioms10030197
