Abstract
The Fe skarn and vein-type Cu mineralization types are common in the Eastern Taurus Mountains. This study aims to determine the U-Pb geochronology of garnets of varying sizes within the skarn zone developed at the quartz diorite–marble contact zone in Ayazpınar, Pertek District, Tunceli Province, Turkey. Additionally, this study aims to determine the age of the skarnization and the types of inclusion minerals in the garnets. Faulting and magma emplacement along the thrust plane caused mineralization in the Eastern Taurus Mountains, especially at the marble and quartz diorite contact zone between the cities of Elazığ and Tunceli. The greenish garnets found in the Ayazpınar deposit are characteristic of distal skarns, while red or brown Pertek garnets are observed in the proximal skarns. The garnets typically feature a core–rim texture. The cores of the garnet crystals are large, reddish in color, and have a high REE (Ce, Pr) content. Moreover, the cores have higher Fe and lower Al ratios, alongside higher La, Ce, and Pr contents, than the rims. We propose that the compositional differences between the rims and the cores reflect the transition from oxidized REE- and Fe3+-rich liquids to liquids with lower REE and Fe3+ contents, producing the differences in the garnet colors. Green garnets show lower REE contents than brown garnets with Fe-rich cores. The skarn under study includes the following successively formed zones: diorite → epidote skarn → garnet–magnetite → pyrite–garnet–magnetite → calcite carbonate. Diopside, magnetite, and hematite, including small grains, are surrounded or enveloped by garnets. The U-Pb age of the mineralization is 74.1 ± 5 Ma, indicating that the mineralization occurred concurrently with the intrusion settlement.
1. Introduction
Minerals in the garnet group—which are found in the upper mantle, at different metamorphic temperatures, and in skarn deposits—are preferred for geochronological studies because they have high HREE contents [1,2,3,4,5,6,7,8,9,10,11,12,13,14]. Garnets growing under different physicochemical conditions show oscillatory chemical zoning in gross–andradite and gross–almandine solid solutions during the contact metamorphism and hydrothermal alteration of carbonate rocks. Oscillatory zonation provides information about the metamorphic history [15,16,17,18] and formation process of minerals/rocks and the fluids involved in the mineralization process [19,20,21,22]. Microscale compositional zonation is common in the skarnization of minerals such as pyroxene and garnet [23,24]. The phenomenon of mineral zoning is used to identify various skarn minerals on a macroscale from proximal to distal regions [25,26,27,28,29]. U-Pb geochronology is used to determine the relative age of ore formation, and the inclusion minerals are used to determine the properties of ore-forming fluids and their sources [29,30,31,32]. Although there are rare studies on the compositional heterogeneity of garnets in different skarn zones, U-Pb geochronological studies are limited [33,34,35].
Skarn deposits are primary sources of Fe, Pb, Cu, W, Mo, and Zn and are generated via interactions between carbonate rocks and high-temperature magmatic–hydrothermal fluids [23,24,25]. Meinert [36] classified calc–silicate hornfels, skarns, infiltration skarns, and skarnoids by considering the compositions and textures of the protoliths. The different views on skarnization posit that (1) the crystallization of skarn magma occurs via cooling, and (2) skarnization occurs at relatively high temperatures via metasomatism and the precipitation of the skarn solution [35,36,37]. Gu et al. [37] described and classified multiple genetic skarns as metasomatic skarns, skarns formed via regional metamorphism and migmatization, and skarns affected by volcanic hydrothermal solutions. Skarn formation has been explained via factors such as the bimetasomatic reactions between lithologies of different origins, the metamorphic recrystallization of impure carbonate rocks, and infiltration metasomatism involving hydrothermal fluids of magmatic origin [38,39,40,41,42,43]. Most large skarn deposits are associated with magmatic–hydrothermal systems [43,44,45,46,47]. Kwak and Abeysinghe [48] attribute garnets’ high REE and U contents to the metasomatism between magmatic intrusion and carbonate rock. This causes the precipitation of metals from liquids in the infiltration model (the large transfer model) [49], or cracks in the magmatic–hydrothermal system [50,51,52,53] and polymetallic mineralization. This interplay is significant, as the minerals within a skarn deposit preserve the historical record of the reactions between the fluids and minerals. This reaction timeline can be examined using geochemical analyses that reveal the fluctuations in major components or the behaviors of trace elements.
This study presents the first geochronological findings regarding the age of polymetallic (covelline, chalcocite, chalcopyrite, bornite, and copper) mineralizations developed in diopside–magnetite and garnet–magnetite skarn zones. Furthermore, we use U-Pb geochronology via laser ablation–inductively coupled plasma–mass spectrometry (LA-ICP-MS) and electro-microprobe analysis (EMPA) to analyze the major and trace elements in the garnets in the Ayazpınar mineralizations. This study aims to (1) determine the age of the mineralization, (2) identify the factors controlling the changes in the major and trace elements in the garnets, and (3) model the fluid evolution process from the retrograde to prograde skarn stages.
2. Geological Setting
The study area mainly consists of plutonic and calc–alkaline magmatites within the Eastern Tauride Orogenic Belt (Figure 1). This area formed as a result of the opening of the southern branch of the Neo-Tethys Ocean in the Late Triassic–Early Cretaceous between the Keban Platform and the Pütürge metamorphite [52,53,54] and the subsequent northward subduction under the Keban Plate during the Cenomanian–Turonian. The Eastern Tauride tectonic activity resulted from the collision between the Keban and Arabia microcontinents, commencing during the Late Cretaceous–Early Maastrichtian period and persisting until the Early Eocene [54,55]. The age of the Elazığ Magmatic Complex was determined as Coniacian–Campanian from fossils in volcano-sedimentary units [56] and as 86.3–89.8 Ma (Coniacian) in plutonic and subvolcanic ones [55,57]. An Upper Cretaceous (66–100.5 Ma) age was obtained from the data on the zircon U-Pb age of the acidic magmatic rocks [58].
Figure 1.
(A): Geological map of Eastern Tauride Orogenic Belt, (B): Sampling area, (C): the geological map of the study area (blue squares) (taken from [42]).
Skarn deposits occur in the contact zones between the Pertek granitoid (the Elazığ magmatite) and the Keban metamorphites [42,53]. The formation of ore bodies associated with granitic intrusion is controlled by the thrust–nappe fault. The mineralization zone consists of multiple ores extending from east to west, parallel to the lithological interface. Magnetite–hematite and hematite–ilmenite mineralizations are commonly distinguished. The predominant ore minerals are ilmenite, magnetite, and hematite, which are disseminated among the skarn minerals. Secondary hematite, leucoxene, pyrite, and chalcopyrite occur in small amounts. Ilmenite exsolves into hematite lamellae during solid-state oxidation and cooling.
3. Materials and Methods
Electron microprobe analyses of the garnets were carried out with a JEOL Superprobe 733 equipped with an ORTEC energy dissipation system using a 25 keV probe acceleration voltage (Institute of Geology, Bulgarian Academy of Sciences). Pure metals—including Ag, Ni, Co, FeS2, and CuFeS2 (for Fe); Sb2S3 (for Sb); Cu3AsS4 (for Cu, As, and S); CdS (for Cd); ZnS (for Zn); and HgS (for Hg)—were used as standards. The trace element and major oxide concentrations in the garnet samples were determined using ICP-MS measurements with a PerkinElmer ELAN DRC-e ICP mass spectrometer coupled with a New Wave UP193-FX laser ablation excimer system at the Institute of Geology of the Bulgarian Academy of Sciences (Sofia, Bulgaria). The laser system had an initial repetition rate of 10 Hz. The garnet samples were analyzed with a spot size of 50 µm, an energy density of the standard value of 2.5–3.0 J/cm2, a repetition rate of 4 Hz, and a 100-s analysis time, which included a 40-s background measurement and a 60-s laser analysis of the samples. The acquisition residence time for all the masses was set to 0.01 s. The 53Cr, 55Mn, 57Fe, 208Pb, 232Th, and 238U isotopes were observed in the garnet samples. External standardization was performed using the NIST SRM 610 and MASS1 sulfur standards, which were repeatedly analyzed throughout the experiment. Data reduction was performed using SILLS and Fe internal standardization and software [53].
The types of inclusions in the garnet samples were determined using a high-resolution “Thermo Scientific DXR” (Thermo Fisher Scientific, Waltham, MA, USA) model confocal Raman spectrometer at the Ankara University YEBİM laboratories (Turkey). Continuous-wave lasers, such as krypton (337.4–676.4 nm), argon (351.1–514.5 nm), and He–Ne (632.8 nm) lasers; diode lasers operating at 785, 810, or 830 nm; and pulsed lasers, such as an Nd: YAG-1064 nm size laser, were used. The garnet group and the closure minerals were determined via examination with a Raman spectrometer, revealing high levels of silicate structures and crystal systems. A distinct and high spectrum was observed due to the symmetry.
4. Results
4.1. Mineralization
The Pertek magmatic intrusion extended in the E–W direction with a width of 5-12 km (Figure 1). The granitic intrusion was cut across by monzonite, diorite, quartz diorite, tonalite, gabbro, and acidic dykes. Although its characteristics varied, the skarn zone was found in the form of lenses over an area of approximately 13–60 m. The skarn zone comprised quartz diorites → epidote → garnet–magnetite → pyrite–garnet–magnetite → calcite carbonate. The magnetite and pyrite contents gradually increased toward that of the carbonate. Regarding the mineralization, garnets predominated over pyroxenes, with the compositions mainly consisting of andradite, grossular, and diopside. The ore minerals were predominantly magnetite, with minor amounts of scheelite, sphalerite, chalcopyrite, galena, arsenopyrite, chalcocite, covelline, cuprite, bornite, idaite, goethite, pyrite, and hematite.
The garnets were observed on the surface of a 2–5 m area of garnet–pyroxene skarns. Hematization and limonitization were observed due to the weathering of the ore pyrites on the surface (Figure 2). Garnet-like magnetite minerals were found when examining the bright sections under a microscope. Red garnets developed near the granite intrusion, brown garnets in the middle part, and green garnet skarns near the marbles. The closures appeared as inclusions along the grain boundaries, fractures, and growth zones of the garnets and were filled with hydrothermal minerals in the next stage. The garnet skarns with diopside contents of >5% were greener in color and featured fewer vein structures (probably covered by hydrothermal veins at a later stage) than the red/brown garnet skarns. The garnets and pyroxenes were euhedral, zoned, or locally martitized. Limonite, hematite, and pyrite residues were seen in the concentric texture (typically composed of garnets (andradite–grossular) and pyroxenes (diopside–hedenbergite) and, occasionally, wollastonite, vesuvianite, epidote, tremolite, and actinolite). This indicated that the garnets developed concurrently with magnetite precipitation [53]. Quartz and feldspar were rarely present. The accessory minerals included apatite, sphene, and a zircon-like mineral. After mineralization, the compositions of the magmatic skarns acquired a complex structure, with iron and titanium oxides and metallic sulfides. The fluid inclusions consisted of melts, water, and gases trapped during the magmatic–hydrothermal transition phase. The melt inclusions were captured in the early stage of magmatic skarn formation. Copper mineralizations, which developed as vein filling at the contact zone between microdiorite and carbonate due to granitoid intrusion, accompanied alterations (skarnification, silicification, and carbonation) due to tectonic activity (Figure 2). The shapes of the inclusions resembled nail marks and stains. Zoned garnets were the most important features of the magmatic skarns, and the zoned garnet nuclei signaled the presence of pyroxenes in the magma crystallization. Experimental studies on zonation [23,59,60] demonstrated that FeO2 was effective in expanding the liquid crystallization areas under 1800 °C and 5 GPa conditions.
Figure 2.
(A) Contact relationships between marble and granodiorite, and (B–D) some pictures of red and brown garnets in the field.
The stages of skarnization were distinguished by observing the mineral assemblages, textures, and zoning patterns within the skarn deposits, alongside the study of the fluid inclusions and stable isotope compositions (Figure 2 and Figure 3). Additionally, laboratory experiments and thermodynamic modeling can provide insights into the conditions under which these mineral reactions occurred during the prograde and retrograde stages of skarnization [42,61]. The presence of anhydrous minerals such as andradite and diopside indicated the prograde stage, while the occurrence of hydrous minerals such as epidote indicated subsequent retrograde development. Microthermometric analysis of the quartz and calcite in the exoskarn zone revealed skarn formation within the temperature range of 175 °C to 430 °C. The magnetite mineralization was characterized by 210 °C–405 °C temperatures, with salinity levels spanning from 0.2 to 14.8 wt% NaCl equivalents. The presence of hydrous minerals (epidote) further supported the development of the retrograde stage. The formation of the Fe–Cu skarn deposit in Karadağ occurred under oxidized conditions, as evidenced by the prevalence of andradite and diopside and the abundance of magnetite, with minor occurrences of pyrite [55]. In the prograde anhydrous stage, garnets in the marble and skarn zones exhibited anomalous anisotropy more frequently than those in the mineralized skarn zone, possibly due to the presence of H2O molecules in their chemical structure [62,63]. The presence of diopside and wollastonite can indicate a higher grade of metamorphism, as they are stable at higher temperatures and pressures compared with their precursor minerals. Their occurrence within metamorphic rocks provides valuable insights into their thermal history and the metamorphic conditions during their geological evolution [63,64]. The results showed that diopside was closely related to garnet and occurred in irregular aggregates (Figure 2). Hematite, magnetite, chalcopyrite, pyrite, sphalerite, quartz, epidote, calcite, and fluorite were formed in the retrograde phase. Hematite, formed via the decomposition of garnet, usually appears in a scattered form (Figure 3). Sulfide minerals were observed as irregular patches, scattered, or veins covering the parent mineral. Polymetallic mineralizations were formed in different phases and periods as part of the magmatic–hydrothermal system. According to the author of [26], the boiling and mixing of the liquid are both important in skarn mineralization. There was a directional trend from high to low to relatively high oxygen levels along the “increasing” vector. In the retrograde stage, garnets covered with fluorite, quartz, calcite and sulfide minerals were accompanied by hematite, magnetite, epidote, sulfides and calcites (Figure 3). From the fluid inclusions in the retrograde sulfide veins, it can be stated that the homogenization temperature was 125–255 °C and the salinity was equivalent to 0.2–6.2 wt% NaCl [42,59]. The cracks in the garnet in the BSE and microscope images may have been related to hydrocracking following the boiling process [64] (Figure 4).
Figure 3.
(A): U vs. ΣREE diagrams, (B): Y vs. ΣREE diagrams of studied garnets.
Figure 4.
Relationship between the processes involved in the formation of the different types of garnets and the magma–hydrothermal fluids that form the Pertek skarn deposit (adapted from [65]).
4.2. Geochemistry
The major skarn minerals were pyroxenes (diopside) and garnets. The content compositions of the pyroxenes with ferro-diopside were FeO (6.5–10.98%wt), MgO (10.22–14.23%wt), Al2O3 (1.3–2.8%wt), MnO (0.5%wt), and TiO2 (0.26%wt). The garnets in the Pertek skarnization were dominated by grossular–andradite. The compositions of the solid solutions containing small amounts of Mn, Mg, and Cr varied from And63-55Grs37-45 to almost Grs65-43And35-57. The garnets had an average composition of SiO2 (35%wt), Al2O3 (0.43%wt), Fe2O3 (32.37%wt), MgO (0.16%wt), CaO (30.04%wt), and TiO2 (<0.01 %wt) (Table 1). The bright BSE bands were poorer in Fe, while the dark BSE bands were richer in Al (Figure 5 and Figure 6).
Table 1.
Major oxide data for garnets as generated using the LA-ICPMS method.

Figure 5.
Backscattered electron (BSE) images of garnets. (AI,AII) Garnet showing the isotropic core and the oscillating zoned rim. (BI,BII) Garnet samples showing the oscillatory zoning of garnet cut from garnet veins (Grt III). (CI–DII) Garnets with inclusions and cracks.
Figure 6.
BSE images of representative garnet and Xca, Al2O3 and FeO contents from the corresponding measurement points.
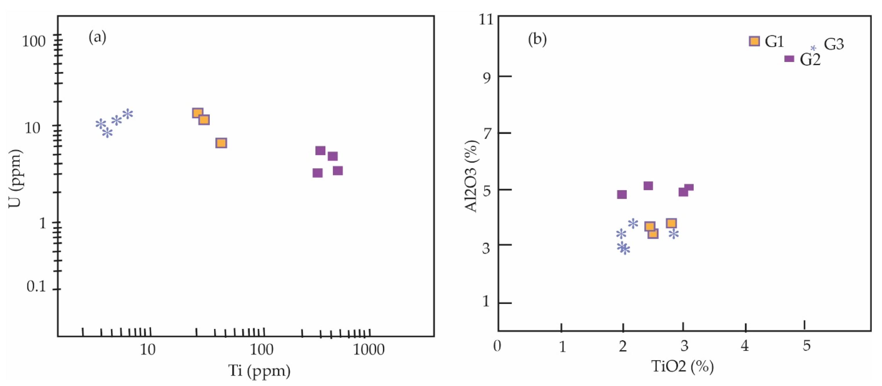
The garnets exhibited compositional variations as oscillatory zoning. Andradite (rich in Fe) is a characteristic mineral in garnet skarn deposits. In general, the garnets with a low large-ion lithophile element (LILE) content had a Cs content of < 0.1 ppm, Rb > 0.5 ppm, Ba < 1 ppm, and Pb < 2 ppm. The presence of these elements was probably related to inclusions. The U contents in all the garnets were between 9 and 25 ppm (Table 1; Figure 7a, b), lower than the usual range of 5–16 ppm. The different types of garnet skarns had variable REE contents. Generally, the brown and red garnet skarns (G1, G2, and G3) exhibited similar REE contents, and the chondrites showed normalized LREE-enriched patterns with positive Pr or Ce and positive Eu anomalies (except for G1) (Figure 8). The LREE content was higher than the HREE content in the G1 sample, and the REE content was increased compared with the G2 and G3 samples (Figure 9). A positive Eu or Nd anomaly indicates an increased iron content [17,66,67]. Positive Ce, La, and Sm elements accompanying a negative Eu anomaly indicate an increased calcium content. The G1 sample’s high LREE content was partly due to the acidic and/or oxidized conditions. Oscillatory zoning in garnets indicates acidic and oxidized conditions. Tian et al. [62] and Ruan [67] contended that in oscillatory garnets, the Al-rich regions are probably under near-neutral pH conditions, while the Fe-rich regions occur in an acidic and more oxidized state. Pertoldova et al. [63] proposed that the presence of magnetite and an increase in the proportion of the andradite component in garnets suggest that iron primarily exists in the form of Fe3+ under elevated ƒO2 conditions, thus promoting andradite precipitation. The results showed that the Ce content was higher than the other REE contents, resulting from it being mobile during hydrothermal alteration. This is also a sign of argillic alteration [27,65,68]. The trace elements (W:19.3-71.4, Sn:7-446, and U:9-25) indicated the mineralization and fluid dynamics in the garnet skarn. Enrichment in these elements depends on the early regression phase of the liquid flow and high fO2 conditions. The elements with large ionic radii caused the low and high U contents in the garnet composition in the prograde and retrograde stages, respectively (Figure 3). The high andradite content in the retrograde skarn stage and the iron content in the garnet were compatible with enrichment in these metals under high fO2 conditions. However, significant magnetite precipitation also occurred in this stage [53]. Under closed-system conditions, liquid residues in the pores lead to metal production, with hydroxide and carbonate indicating an almost neutral pH [23,24,69].
Figure 7.
(a) Ti vs. U and (b) TiO2 vs. Al2O3 for different garnet domains. Note that (a) is based on EMPA analysis, while (b) is based on LA-ICP-MS analysis.
Figure 8.
Chondrite-normalized REE for garnet grains. Samples were normalised values of Boynton [70].
Figure 9.
Concordia diagrams of the garnet and interception ages in 12 spots (MSWD: mean square of weighted deviates).
4.2.1. Zoning
Skarn garnets feature oscillatory zoning due to the physicochemical conditions, liquid composition, and fugacity during crystallization [7,29,30,31]. Jamtveit et al. [71] stated that oscillatory zonation in garnets occurs during the growth process due to thermal and chemical diffusion (especially the transport of fluids through the recurrent fractures in the hydrothermal system [12] and the multiple effects of the magmatic fluid [37]). Garnet skarns associated with Fe deposits generally have gross-rich cores and gross–andradite rims [5,20,30,38] (Figure 5). Pertoldova et al. [63] and Mirnejad et al. [72] stated that the interaction between hot magmatic fluids and garnets growing under high O2 conditions accelerates the development of garnet–magnetite and that a high ƒO2 level is effective in the formation of andradite garnet (Fe3+). The andradite content, high ƒO2 level, and Fe3+ result from the boiling time of the fluids in the hydrothermal–magmatic system [42]. In the case of boiling, the interaction between the liquids and the surrounding rock balances the ƒO2 level to a value locally stabilized by silicate minerals (with Fe2+), which are grossular during this process. Therefore, garnets gradually grow and develop zonation with relatively neutral and oxidized liquids. Figure 4 models the factors controlling the skarn formation process and garnet growth. Type I garnets developed as veins and lenses, featuring high REE (∑REE 9.71-52.6), negative Eu, high LREE (∑LREE (La-Sm) 8.33-50.4), and low HREE (∑HREE (Eu-Lu) 1.2-3.83) contents. Type II comprised veins or massive garnets, featuring variable REE, positive Eu, high LREE, and low HREE contents. Type III comprised massive garnet skarns, featuring low REE, positive Eu, high LREE, and low HREE contents. The oscillating zoned garnets were exclusively type II.
The LA-ICPMS analysis data on the U-Pb geochronology of the garnets are shown in Table 2. The U-Pb isotope ratios of the analyzed garnet samples were obtained from the ore bodies in the iron polymetallic deposit. The data points plotted for each sample in the U-Pb diagrams exhibited notable linear trends (Figure 9). The ages calculated at the stopping points were 60 ± 2.5 Ma, 74.1 ± 5 Ma, 80 ± 5.4 Ma, 72 ± 4.4 Ma, 69 ± 3.4 Ma, 77 ± 4.8 Ma, and 84 ± 4 Ma, respectively. The garnet samples contained 12 data points. The Tera–Wasserburg diagram of the samples shows a U-Pb age of 74.1 ± 5 My (Figure 9).
Table 2.
LA-ICPMS results of U-Pb detection in garnets from skarn rocks from the iron polymetallic deposits.
4.2.2. Inclusions
The Pertek granitoid included plagioclase, hornblende, biotite, quartz, K-feldspar, epidote, chlorite, sphene, apatite, hematite, and magnetite minerals. Garnet–xenomorphic magnetite and diopside–magnetite transitions were seen in the Pertek polymetallic skarn zone, where the primary garnet was characterized by a rim with more grossular (Ca3Al2Si3O12) components and a core dominated by andradite (Ca3Fe2Si3O12) (Figure 5; Figure 10). Andradite garnets have a strong environmental relationship with magnetite [3,73,74]. Magnetite with an iron oxide composition crystallizes in the Fe3+(Fe2+Fe3+)O4 cubic system. Natural magnetite originates from metamorphized iron formation [74]. Garnets occur in well-defined crystal forms and are often associated with xenomorphic magnetite. Because grossular tends to be generated under significantly oxidizing rather than reducing conditions, andradite tends toward the same [38]. The minerals identified as inclusions in the garnets included quartz, hematite, goethite, and calcite (Figure 9). The inclusions were detected with the Raman spectroscopy method. All the analysis peaks were compatible with the standard peaks. Seven Raman peaks for the goethite inclusions were observed at 883, 380, 333, 526, 884, and 825 cm−1 (Figure 10). A garnet peak at ca. 220 cm−1 significantly interfered with the hematite peaks at 290, 223, 408, 491, 304, and 855 cm−1. Nonetheless, the 356 cm−1 peak shifted toward a higher wavenumber when the P increased. Magnetite Raman peaks were observed at 336.63 cm−1, 308.15 cm−1, and 253.52 cm−1 (Figure 10). Some studies have primarily focused on magnetite, while others have focused on secondary magnetite reactions [42,74,75,76]. Magnetite is the mineral most studied using Raman spectroscopy in the literature. Shebanova and Lazor [73] reported Raman shifts for magnetite at 680, 590, 420, 320, and 300 cm−1; Boucherit et al. [76] at 670, 550, 676, 550, 472, 420, 320, and 298 cm−1; and Wang et al. [77] at 665, 540, and 311 cm−1. We obtained values of 706, 570, 386, and 192 cm−1 in our study. The differences in the Raman results obtained in each study are associated with the orthorhombic phase transformations and oxidations. The carbonate–granodiorite/diorite porphyry contact zone is the most suitable oxidation environment. The peak value indicating the beginning of oxidation in garnet skarns is 298 cm−1 [42]. It is known that magnetite forms when goethite is heated to temperatures close to 300 °C [78]. These compound transformations produced clear results in the Raman spectra (Figure 10; Table 1), which allowed us to track the spectral changes with the temperature. Magnetite was the most common ore metal in the study area. Hematite developed as the transformation product of magnetite, and goethite developed as that of hematite (Figure 10). Goethite–andradite, hematite–andradite, magnetite–andradite, and andradite–andradite were observed as hematite ore bodies in the exoskarn [30,42,53].
Figure 10.
Raman spectra of the inclusions.
5. Discussion and Conclusions
Magmatic–hydrothermal metallic mineralizations are typically associated with oxidized magmas [37]. The ore-related magmas are oxidized, and the initial exsolved fluids thus exist in a highly oxidized state. Grossular–andradite prefers excessive oxidizing over reducing conditions [40,41,42,43]. Magnetite is a common accessory mineral in ore-related granites, and it is distributed alongside hematite in the ore deposits in the Pertek skarn area.
The Pertek granitoid and Keban metamorphite are garnet–magnetite and garnet–diopside skarn deposits. Major and trace element analyses were performed on different kinds of garnets to study the petrology, and U-Pb geochronological analysis was performed to determine the ore formation age.
Garnet’s aqueous liquid balance partitioning usually shows a high LREE content normalized to chondrite. An upward-pointing parabola shape is typical of gross–andradite garnets [21,49,79]. The analyzed garnet results were consistent with the REE chemistry of natural garnet [35,79]. The red–brown garnet was enriched with LREE, showing the typical peak for Pr. Crystal chemistry is an important factor controlling the REE pattern. Local closed-system crystallization can promote the gradual depletion of the REE content, which is gradually incorporated into the garnet. The decrease in the REE content from the center to the rim of the garnet indicates a modification via a combined dissolution–reprecipitation mechanism [49,61]. Liquid-assisted dissolution–reprecipitation—a chemical process in which a mineral phase is replaced by either the same phase or a new phase in the presence of a reactive liquid—is instrumental in garnet chemistry. Hydrothermal fluids are abundant in the retrograde phase, featuring relatively high Ti, F, and HREE contents.
Prograde skarn garnets contain high Y and low U contents. The garnet formation environment is close to neutral. The oscillatory zoning observed in garnets from the Pertek Fe–Cu skarn mineralization suggests that the Al-rich zones likely developed under relatively reduced and near-neutral pH conditions. Our findings indicate that various elements affect garnets’ composition and growth at different skarn stages. The presence of magnetite, goethite, and hematite inclusions implies that the late-stage garnets and mineralization occurred simultaneously. The garnets in skarns commonly display variations in texture and composition, making them an excellent petrogenetic indicator. Multiple factors must be comprehensively considered when using garnets to obtain the nature and evolution history of ore-forming fluids.
Researchers previously dated the igneous rocks in the study area. However, there were no age data for the skarn mineralizations. For example, the age of the Baskil granitoid (consisting of granite, granodiorite, tonalite, quartz monzonite, diorite, gabbro, aplite, diabase, granite, and gabbro) is 81.5 ± 1.1 Ma [54]. The ages of the diorite and tonalite in the Keban granitoid are 84.76 ± 1.8 Ma [64] and 75.65 ± 1.5 Ma, respectively [58]. Furthermore, the age of the granites in the Baskil granitoid is 76 ± 2.5 Ma–78.5 ± 2.5 Ma [58]. The zircon U-Pb age of the syenite and quartz monzonites is 76.3-77.4 Ma in the Keban granitoid [62]. Sar et al. [57] determined the zircon U-Pb dating of the granites, diorite, granodiorite, and quartz diorites in the Elazığ magmatites to be between 80.6 ± 0.9 and 77.2 ± 1.1 Ma (the Late Cretaceous). Lin et al. [67] determined the U-Pb zircon age of the monzonite, granodiorite, and granite in the Elaziğ magmatites to be 74–72 Ma. The age of the Pertek granitoid (comprising diorite, quartz diorite, monzodiorite, granite, tonalite, and syenite) was 68.6 ± 5.6 Ma. These findings are compatible with the mineralization timing determined via LA-ICPMS, indicating the U-Pb age of the garnets from the mineralized skarn to be 74.1 ± 5 Ma. The Pertek mineralization and polymetallic mineralizations are closely related to the magmatic rocks and are the magma products resulting from the subduction of the lithospheric plate and its interaction with the overlying continental crust [60,61,62,63,64,65,66,67,69]. The similarity between the garnet and zircon U-Pb geochronological results and the current age obtained from the Pertek skarn zone garnets indicates that the mineralization simultaneously developed with the settlement time. The formation age of the ore was taken directly from the Pertek skarn garnets.
Author Contributions
Conceptualization, A.D.K., N.K. and A.S.; methodology, A.D.K., N.K. and A.S.; investigation, A.D.K. and N.K.; resources, A.D.K.; writing—original draft preparation, A.D.K. and A.S.; writing—review and editing, A.D.K. and A.S..; visualization, A.D.K., N.K. and A.S. All authors have read and agreed to the published version of the manuscript.
Funding
This research was financed by Fırat University FÜBAP (grant number MF.24.49).
Data Availability Statement
The data was used for the research described in the article.
Conflicts of Interest
The authors declare no conflicts of interest. The funders had no role in the design of this study; in the collection, analyses, or interpretation of the data; in the writing of the manuscript; or in the decision to publish the results.
References
- Basu, A.; Faggert, B.; Sharma, M. Sm–Nd isotopic study of wollastonite skarn and garnet amphibolite metamorphism in the Adirondack Mountains. Eos 1988, 69, 468. [Google Scholar]
- Lee, C.-T.A.; Shen, B.; Slotnick, B.S.; Liao, K.; Dickens, G.R.; Yokoyama, Y.; Lenardic, A.; Dasgupta, R.; Jellinek, M.; Lackey, J.S. Continental arc–island arc fluctuations, growth of crustal carbonates, and long-term climate change. Geosphere 2013, 9, 21–36. [Google Scholar] [CrossRef]
- Blackburn, T.J.; Stockli, D.F.; Walker, J.D. Magnetite (U–Th)/He dating and its application to the geochronology of intermediate to mafic volcanic rocks. Earth Planet. Sci. Lett. 2007, 259, 360–371. [Google Scholar] [CrossRef]
- Blackburn, T.J. Development of new applications in volcanic (U-Th)/He geochronology. Ph.D. Thesis, University of Kansas, Lawrence, KS, USA, 2006. [Google Scholar]
- Lal, N.; Nagpaul, K.; Sharma, K. Fission-track ages and uranium concentration in garnets from Rajasthan, India. Geol. Soc. Am. Bull. 1976, 87, 687–690. [Google Scholar] [CrossRef]
- Bowring, J.; McLean, N.M.; Bowring, S. Engineering cyber infrastructure for U-Pb geochronology: Tripoli and U-Pb Redux. Geochem. Geophys. Geosyst. 2011, 12, 1–19. [Google Scholar] [CrossRef]
- Chiaradia, M.; Schaltegger, U.; Spikings, R.; Wotzlaw, J.F.; Ovtcharova, M. How accurately can we date the duration of magmatic-hydrothermal events in porphyry systems?—An invited paper. Econ. Geol. 2013, 108, 565–584. [Google Scholar] [CrossRef]
- Caddick, M.J.; Konopásek, J.; Thompson, A.B. Preservation of garnet growth zoning and the duration of prograde metamorphism. J. Petrol. 2010, 51, 2327–2347. [Google Scholar] [CrossRef]
- Lee, C.-T.A.; Lackey, J.S. Global continental arc flare-ups and their relation to long term greenhouse conditions. Elements 2015, 11, 125–130. [Google Scholar] [CrossRef]
- Krogh, T. A low-contamination method for hydrothermal decomposition of zircon and extraction of U and Pb for isotopic age determinations. Geochim. Cosmochim. Acta 1973, 37, 485–494. [Google Scholar] [CrossRef]
- Li, J.; Deng, W.; Zhou, D.; Liu, M.F.; Zhao, Y.S.; Guo, X.-F. Laser ablation ICP-MS titanite U–Th–Pb dating of hydrothermal ore deposits: A case study of the Tonglusha. Chem. Geol. 2010, 270, 56–67. [Google Scholar] [CrossRef]
- Chew, D.; Petrus, J.; Kamber, J.B. U–Pb LA–ICPMS dating using accessory mineral standards with variable common Pb. Chem. Geol. 2014, 363, 185–199. [Google Scholar] [CrossRef]
- Clark, K.F.; Foster, C.T.; Damon, P.E. Cenozoic mineral deposits and subduction related magmatic arcs in Mexico. Geol. Soc. Am. Bull. 1982, 93, 533–544. [Google Scholar] [CrossRef]
- Clechenko, C.; Valley, J. Oscillatory zoning in garnet from the Willsboro Wollastonite Skarn, Adirondack Mts, New York: A record of shallow hydrothermal processes preserved in a granulite facies terrane. J. Metamorph. Geol. 2003, 21, 771–784. [Google Scholar] [CrossRef]
- Stowell, H.; Carlos, C.; Boyle, A.; Bulman, G. Garnet sector and oscillatory zoning linked with changes in crystal morphology during rapid growth, North Cascades, Washington. Am. Mineral. 2011, 96, 1354–1362. [Google Scholar] [CrossRef]
- Khon, M.J. Oscillatory and sector-zoned garnets record cyclic (?) rapid thrusting in central Nepal. Geochemistry. Geophys. Geosystems 2004, 5, 1–9. [Google Scholar] [CrossRef]
- Akizuki, M. Origin of optical variations in grosular-andradite garnet. Am. Mineral. 1984, 69, 328–338. [Google Scholar]
- Carlson, W.D. Scales of disequilibrium and rates of equilibration during metamorphism. Am. Mineral. 2002, 87, 185–204. [Google Scholar] [CrossRef]
- L’Heureux, I.; Jamtveit, B. A model of oscillatory zoning in solid solutions grown from aqueous solutions:Applications to the (Ba,Sr)SO4 system. Geochim. Cosmochim. Acta 2002, 66, 417–429. [Google Scholar] [CrossRef]
- Bersani, D.; Ando, S.; Vignola, P.; Moltifori, G.; Marino, I.G.; Lottici, P.P.; Diella, V. Micro-Raman spectroscopy as a routine tool for garnet analysis. Spectrochim. Acta Part A Mol. Biomol. Spectrosc. 2009, 73, 484–491. [Google Scholar] [CrossRef]
- Gaspar, M.; Knaack, C.; Meinert, L.D.; Moretti, R. REE in skarn systems: A LA–ICP-MS study of garnets from the Crown Jewel gold deposit. Geochim. Cosmotica Acta 2008, 72, 185–205. [Google Scholar] [CrossRef]
- Maschio, L.; Demichelis, R.; Orlando, R.; De La Pierre, M.; Mahmoud, A. The raman spectrum of grossular garnet. A quantum mechanical simulation of wavenumbers and intensities. J. Raman Spectrosc. 2014, 45, 710–715. [Google Scholar] [CrossRef]
- Jamtveit, B.; Agnarsdottir, K.V.; Wood, B.J. On the origin of zoned grossular-andradite garnets in hydrothermal systems. Eur. J. Mineral. 1995, 7, 1399–1410. [Google Scholar] [CrossRef]
- Ding, T.; Ma, D.S.; Lu, J.J.; Zhang, R.Q. Garnet and scheelite as indicators of multi-stage tungsten mineralization in the Huangshaping deposit, southern Hunan province, China. Ore Geol. Rev. 2018, 94, 193–211. [Google Scholar] [CrossRef]
- Azizi, M.R.; Abedeni, A.; Alipour, S.; Niroomand, S.; Sasmaz, A.; Talaei, B. Rare earth element geochemistry and tetrad effect in fluorites: A case study from the Qahr-Abad deposit, Iran. Neues Jahrb. Geol. Palaontol. Abh 2017, 283, 255–273. [Google Scholar] [CrossRef]
- Meinert, L.D. Skarns and skarn deposits. Geosci. Can. 1992, 19. Available online: https://journals.lib.unb.ca/index.php/GC/article/view/3773 (accessed on 10 May 2024).
- Tian, M.; Li, Y.; Miao, L.; Zhang, Y.; Gao, T.; Guo, J.; Xue, J.; He, B. Alteration and mineralization zoning, ore textures and ore-forming process of Yongping copper deposit, Jiangxi Province. Acta Petrol. Sin. 2019, 35, 1924–1938, (In Chinese with English Abstract). [Google Scholar]
- Park, C.; Song, Y.; Kang, I.-M.; Shim, J.; Chung, D.; Park, C.-S. Metasomatic changes during periodic fluid flux recorded in grandite garnet from the Weondong W-skarn deposit, South Korea. Chem. Geol. 2017, 451, 135–153. [Google Scholar] [CrossRef]
- Somarin, A.K. Garnet composition as an indicator of Cu mineralization: Evidence from skarn deposits of NW Iran. J. Geochem. Explor. 2004, 81, 47–57. [Google Scholar] [CrossRef]
- Smith, M.P.; Henderson, P.; Jeffries, T.E.R.; Long, J.; Williams, C.T. The rare earth elements and uranium in garnets from the Beinn an Dubhaich aureole, Skye, Scotland, UK: Constraints on processes in a dynamic hydrothermal system. J. Petrol. 2004, 45, 457–484. [Google Scholar] [CrossRef]
- Peng, H.J.; Zhang, C.Q.; Mao, J.W.; Santosh, M.; Zhou, Y.M.; Hou, L. Garnets in porphyry–skarn systems: A LA–ICP–MS, fluid inclusion, and stable isotope study of garnets from the Hongniu-Hongshan copper deposit, Zhongdian area, NW Yunnan Province, China. J. Asian Earth Sci. 2015, 103, 229–251. [Google Scholar] [CrossRef]
- Sasmaz, A.; Ozkan, S.; Gursu, M.F.; Sasmaz, M. The hematological and biochemical changes in rats exposed to britholite mineral. Appl. Rad. Isot. 2017, 129, 185–188. [Google Scholar] [CrossRef] [PubMed]
- Seman, S.; Stockli, D.F.; McLean, N.M. U-Pb geochronology of grossular-andradite garnet. Chem. Geol. 2017, 460, 106–116. [Google Scholar] [CrossRef]
- Xiao, X.; Zhou, T.F.; White, N.C.; Zhang, L.J.; Fan, Y.; Wang, F.Y.; Chen, X.F. The formation and trace elements of garnet in the skarn zone from the Xinqiao Cu-S-Fe- Au deposit, Tongling ore district, Anhui Province, Eastern China. Lithos 2018, 302, 467–479. [Google Scholar] [CrossRef]
- Mezger, K.; Hanson, G.; Bohlen, S. U-Pb systematics of garnet: Dating the growth of garnet in the Late Archean Pikwitonei granulite domain at Cauchon and Natawahunan Lakes, Manitoba, Canada. Contrib. Mineral. Petrol. 1989, 101, 136–148. [Google Scholar] [CrossRef]
- Meinert, L.D.; Nicolescu, S.; Mortensen, J.K.; Cornell, D.H. U-Pb Dating of Hydrothermal Garnets from Skarn Deposits: Implication for Petrogenesis and ore Deposits. In Proceedings of the GSA Annual Meeting, Boston, MA, USA, 5–8 November 2001. [Google Scholar]
- Gu, H.; Yang, X.; Nie, Z.; Deng, J.; Duan, L.; Hu, Q.; Shakoor, M.A.; Gao, E.; Hafiz, A.A.J. Study of late-Mesozoic magmatic rocks and their related copper-gold-polymetallic deposits in the Guichi ore-cluster district, Lower Yangtze River Metallogenic Belt, East China. Int. Geol. Rev. 2018, 60, 1404–1434. [Google Scholar] [CrossRef]
- Mc Lelland, J.; Hamilton, M.; Selleck, B.; McLelland, J.; Walker, D.; Orrell, S. Zircon U-Pb geochronology of the Ottawan orogeny, Adirondack highlands, New York: Regional and tectonic implications. Precambrian Res. 2001, 109, 39–72. [Google Scholar] [CrossRef]
- Koesov, B.A.; Geiger, C.A. Raman spectra of silicate garnets. Physic Chem. Miner. 1998, 25, 142–151. [Google Scholar] [CrossRef]
- Geiger, C.A.; Arnbruster, T. Mn3Al3Si3O12 Spessartine and Ca3Al2Si3O12 Grossular garnet: Structural dynamic and thermodynamic properties. Am. Mineral. 1997, 82, 571–581. [Google Scholar] [CrossRef]
- Xiao, X.; Zhou, T.F.; Fan, Y.; Xie, J.; Zhang, L.J. LA-ICP-MS in situ trace elements and FE-SEM analysis of pyrite from the Xinqiao Cu-Au-S deposit in Tongling Anhui and its constraints on the ore genesis. Acta Geosci. Sin. 2016, 2, 369–376. [Google Scholar]
- Sasmaz, A.; Kılıç, A.D.; Akgül, B.; Sasmaz, B. A spectral approach on mineralogy and geochemistry of garnet skarns in Arc-Type Granitoids. Spectrochim. Acta Part A Mol. Biomol. Spectrosc. 2023, 286, 122037. [Google Scholar] [CrossRef]
- Wang, L.J.; Shimazaki, H.; Wang, J.B.; Wang, Y.Z. Ore-forming fluids and mineralization of Fe-Sn deposit of skarn type in Huanggangliang. Sci. China (Ser. D) 2001, 31, 553–562. [Google Scholar]
- Zhang, S.Z.; Ling, Q.C. Characteristics on copper deposit of magmatic skarn type: An example from Dongshizishan copper deposit in Tongling county, Anhui Province. Earth Sci. J. China Univ. Geosci. 1993, 18, 801–813, (In Chinese with English Abstract). [Google Scholar]
- Meinert, L.D.; Dipple, G.M.; Nicolescu, S. World Skarn Deposits (299–336). In Economic Geology; One Hundredth Anniversary, 1905–2005; Hedenquist, J.W., Thompson, J.F., Goldfarb, R.J., Richards, J.P., Eds.; Society of Economic Geology, Inc.: Littleton, CO, USA, 2005; pp. 1–1097. [Google Scholar]
- Burt, D.M. Skarn deposits-historical bibliography through 1970. Econ. Geol. 1982, 77, 755–763. [Google Scholar] [CrossRef]
- Sasmaz, A.; Önal, A.; Sagiroglu, A.; Önal, M. Origin and nature of the mineralizing fluids of thrust zone fluorites in Çelikhan (Adıyaman, Eastern Turkey): A geochemical approach. Geochem. J. 2005, 39, 131–139. [Google Scholar] [CrossRef]
- Kwak, T.A.P.; Abeysinghe, P.B. Rare earth and uranium minerals present as daughter crystals in fluid inclusions, Mary Kathleen U-REE skarn, Queensland, Australia. Mineral. Mag. 1987, 51, 665–670. [Google Scholar] [CrossRef]
- Wang, L.J.; Wang, J.B.; Wang, Y.W.; Shimazaki, H. REE geochemistry of the Huangguangliang skarn Fe-Sn deposit, Inner Mongollia. Acta Petrol. Sin. 2002, 18, 575–584. [Google Scholar]
- Yang, F.Q.; Mao, J.W.; Xu, L.G.; Zhang, Y.; Liu, F.; Huang, C.L.; Zhou, G.; Liu, G.R.; Dai, J.Z. REE geochemistry of the Mengku iron deposit, Xinjiang, and its indication for iron mineralization. Acta Petrol. Sin. 2007, 23, 2443–2456, (In Chinese with English abstract). [Google Scholar]
- Einaudi, M.T.; Burt, D.M. Introduction-terminology, classification, and composition of skarn deposits. Econ. Geol. 1982, 77, 745–754. [Google Scholar] [CrossRef]
- Kılıç, A.D.; Ateş, C. Geochronology of the Late Cretaceous magmatism and metamorphism, Pütürge massif, Turkey. Yanshi Xuebao Acta Petrol. Sin. 2015, 31, 1485–1493. [Google Scholar]
- Kuşcu, İ. Skarns and Skarn Deposits of Turkey. In Mineral Resources of Turkey. Modern Approaches in Solid Earth Sciences; Pirajno, F., Ünlü, T., Dönmez, C., Şahin, M., Eds.; Springer: Cham, Germany, 2019; Volume 16. [Google Scholar]
- Rızaoğlu, T.; Parlak, O.; Höck, V.; Koller, F.; Hames, W.E.; Billor, Z. Andean Type Active Margin Formation in the Eastern Taurides: Geochemical and Geochronological Evidence from the Baskil Granitoid, SE Turkey. Tectonophysics 2009, 473, 188–207. [Google Scholar] [CrossRef]
- Robertson, H.F.; Parlak, O.; Rızaoğlu, T.; Ünlü, U.; Genç, C.; İnan, N.; Taşlı, K.; Ustaömer, T. Late Cretaceous-Mid Tertiary Tectonic Evolution of the Eastern Taurus Maountains and Southern Tethyan Ocean Evidence from the Elazığ Region SE Turkey. Geol. Soc. Lond. Spec. Publ. 2006, 272, 231–270. [Google Scholar] [CrossRef]
- Ural, M.; Sarı, B. New Planktonic Foraminifera Data from the Upper Cretaceous Pelagic Limestones of the Yüksekova Complex in the Maden Area (Southeast of Elazığ, Eastern Turkey). In IOP Conference Series: Earth and Environmental Science; IOP Publishing: Bristol, UK, 2019; Volume 362, p. 121. [Google Scholar]
- Sar, A.; Ertürk, M.A.; Rizeli, M.E. Genesis of Late Cretaceous intra-oceanic arc intrusions in the Pertek area of Tunceli Province, eastern Turkey, and implications for the geodynamic evolution of the southern Neo-Tethys: Results of zircon U–Pb geochronology and geochemical and Sr-Nd isotopic analyses. Lithos 2019, 105263, 350–351. [Google Scholar]
- Lin, Y.C.; Chung, S.L.; Bingöl, A.F.; Beyarslan, M.; Lee, H.Y.; Yang, J.H. Petrogenesis of late Cretaceous Elazig magmatic rocks from SE Turkey: New age and geochemical and SrNd-Hf isotopic constraints. In Goldschmidt Conference Abstracts; European Association of Geochemistry: Prag, Czech Republic, 2015; p. 1869. [Google Scholar]
- Castellanos-Alarcón, O.M.; Ríos-Reyes, C.A.; Mantilla-Figueroa, L.C. Occurrence of a skarn-type mineralogy found in Ciénaga Marbles, located in the NW foothills of the Santa Marta Massif (Colombia). Dyna 2015, 83, 69–79. [Google Scholar] [CrossRef]
- Ardila, R.; Carrascal, E.R.; Oyarzún, Y.J. Proposición de un modelo genético para los yacimientos cupríferos tipo skarn de San Antonio y Panulcillo, Región de Coquimbo, Chile. Congr. Geológico Chil. 1991, 1, 256–260. [Google Scholar]
- Kılıç, A.D.; Çakmak, B. Elemental Analysis of Ignimbirite by Raman Spectroscopy Methods and Instrumental Neutron Activation Analysis. Spectrochim. Acta Part A Mol. Biomol. Spectrosc. 2021, 2511, 119406. [Google Scholar]
- Sipahi, F.; Akpınar, İ.; Kaygusuz, A.; Vural, A.; Eker, Ç.S. Investigation of Karadağ Fe-Cu Skarn Deposit (Gümüshane, Turkey). In Proceedings of the III International Conference on Engineering and Natural Sciences, Budapest, Hungary, 3–7 May 2017. [Google Scholar]
- Pertoldova, J.; Tycova, P.; Verner, K.; Kosulicova, M.; Pertold, Z.; Kosler, J.; Konopasek, J.; Pudilova, M. Metamorphic history of skarns, origin of their protolith and implications for genetic interpretation; an example from three units of the Bohemian Massif. J. Geosci. 2009, 54, 101–134. [Google Scholar] [CrossRef][Green Version]
- Zhang, J.Q.; Li, S.R.; Santosh, M.; Wang, J.Z.; Li, Q. Mineral chemistry of high-Mg diorites and skarn in the Han-Xing Iron deposits of South Taihang Mountains, China: Constraints on mineralization process. Ore Geol. Rev. 2015, 64, 200–214. [Google Scholar] [CrossRef]
- Li, Y.; Yuan, F.; Jowitt, S.M.; Li, X.; Deng, Y.; Li, X.; Zhou, T. Garnet major and trace element evidence of the alteration and mineralizing processes associated with genesis of the Qiaomaishan skarn deposit, Xuancheng ore district, eastern China. Ore Geol. Rev. 2021, 137, 104304. [Google Scholar] [CrossRef]
- Scheibner, B.; Wörner, G.; Civetta, L.; Stosch, H.G.; Simon, K.; Kronz, A. Rare earth element fractionation in magmatic Ca-rich garnets. Contrib. Mineral. Petrol. 2007, 154, 55–74. [Google Scholar] [CrossRef]
- Ruan, C.-T.; Yu, X.-Y.; Su, S.-G.; Santosh, M.; Qin, L.-J. Anatomy of Garnet from the Nanminghe Skarn Iron Deposit, China: Implications for Ore Genesis. Minerals 2022, 12, 845. [Google Scholar] [CrossRef]
- Li, G.-Y.; Xue, C.-J.; Zhu, Q.; Yang, J.-W.; Zhao, X.-B. Identification of the Sedimentary Sources and Origin of Uranium for Zhiluo Formation of the Tarangaole U Deposit, Northeastern Ordos Basin. Minerals 2024, 14, 429. [Google Scholar] [CrossRef]
- Boynton, V. Cosmochemistry of the Rare Earth Elements: Meteorite Studies in Rare Earth Element Geochemistry; Henderson, P., Ed.; Elsevier: Amsterdam, The Netherlands, 1984; pp. 63–114. [Google Scholar]
- Tian, Z.D.; Leng, C.B.; Zhang, X.C.; Zafar, T.; Zhang, L.J.; Hong, W.; Lai, C.K. Chemical composition, genesis and exploration implication of garnet from the Hongshan Cu-Mo skarn deposit, SW China. Ore Geol. Rev. 2019, 112, 2–22. [Google Scholar] [CrossRef]
- Jamtveit, B. Oscillatory zonation patterns in hydrothermal grossular-andradite garnet: 413 Nonlinear dynamics in regions of immiscibility. Am. Mineral. 1991, 76, 1319–1327. [Google Scholar]
- Mirnejad, H.; Hasannejad, M.; Miller, N.; Hassanzadeh, J.; Bocchio, R.; Modabberi, S. Origin and Evolution of Oscillatory Zoned Garnet from Kasva Skarn, Northeast Tafresh, Iran. Can. Mineral. 2018, 56, 15–37. [Google Scholar] [CrossRef]
- Shebanova, O.N.; Lazor, P. Raman spectroscopic study of magnetite (FeFe2O4): A new assignment for the vibrational spectrum. J. Solid State Chem. 2003, 174, 424–430. [Google Scholar] [CrossRef]
- Caro, C.; Sayagues, M.J.; Franco, V.; Conde, A.; Zaderenko, P.; Gámez, F. A hybrid silver-magnetite detector based on surface enhanced Raman scattering for differentiating organic compounds. Sens. Actuators B Chem. 2016, 228, 124–133. [Google Scholar] [CrossRef]
- Sasmaz, A. The Atbara porphyry gold–copper systems in the Red Sea Hills, Neoproterozoic Arabian–Nubian Shield, NE Sudan. J. Geochem. Expl. 2020, 214, 106539. [Google Scholar] [CrossRef]
- Boucherit, N.; Hugot-Le Goff, A.; Joiret, S. Raman Studies of Corrosion Films Grown on Fe and Fe-6Mo in Pitting Conditions. Corros. Sci. 1991, 32, 497–507. [Google Scholar] [CrossRef]
- Wang, Z.; Lazor, P.; Saxena, S.K.; Neil, C.O. High pressure Raman spectroscopy of ferrite MgFe2O4. Mater. Res. Bull. 2022, 37, 1589–1602. [Google Scholar] [CrossRef]
- Ray, G.E.; Dawson, G.L. Geology and Mineral Deposits of the Hedley Gold Skarn District, Southern British Columbia; Bulletin 87; British Columbia Ministry of Energy, Mines, and Petroleum Resources: Victoria, BC, Canada, 1994; p. 156. [Google Scholar]
- Zhai, D.G.; Liu, J.J.; Zhang, H.Y.; Wang, J.P.; Su, L.; Yang, X.-A.; Wu, S.H. Origin of oscillatory zoned garnets from the Xieertala Fe–Zn skarn deposit, northern China: In situ LA–ICP-MS evidence. Lithos 2014, 190, 279–291. [Google Scholar] [CrossRef]
Disclaimer/Publisher’s Note: The statements, opinions and data contained in all publications are solely those of the individual author(s) and contributor(s) and not of MDPI and/or the editor(s). MDPI and/or the editor(s) disclaim responsibility for any injury to people or property resulting from any ideas, methods, instructions or products referred to in the content. |
© 2024 by the authors. Licensee MDPI, Basel, Switzerland. This article is an open access article distributed under the terms and conditions of the Creative Commons Attribution (CC BY) license (https://creativecommons.org/licenses/by/4.0/).










