Abstract
Clayey raw materials present a wide variety of uses depending on their specific composition. Bentonite-like clays are considered suitable candidates to be used in some industrial applications, such as pharmaceutics, catalysis, antibacterial agents or food additives because of their highly desired adsorption properties, concretely regarding water vapor behavior. In the present study, a specific methodology for the characterization of some clayey raw materials used in the ceramic industry and its correlation with water vapor sorption properties is presented. Six different clayey raw materials have been wholly characterized until their specific chemical formula are obtained, and their water vapor adsorption behavior was correlated to their specific composition. The whole protocol has been validated with certified standard reference materials. The obtained results show a relationship between montmorillonite content in clay with water vapor adsorption behavior and certain thermal events of clayey particles, which can help the industry to understand product behavior and characterization during ceramic manufacturing process.
1. Introduction
The European industrial sector is currently evolving towards industry 4.0 and an integrated resources and material management system. In this frame, raw materials must fulfil an increasing number of technical specifications and regulations depending on the end user, giving rise to new only partly solved analytical challenges [1,2,3,4].
Bentonitic raw materials can bestow specific properties to manufacturing products, from water vapor adsorption capabilities to composition [5], which are highly desired in some specific industrial applications as pharmaceutics or food additives [6].
Bentonite is a geological term for soil materials with a high content of a swelling mineral, which usually is montmorillonite [7]. Concretely, its main composition is formed with highly colloidal and plastic clays mainly composed of montmorillonite [8], apart from other mineral components, such as quartz, feldspar, mica, and kaolinite.
The crystalline structure of montmorillonite presents a central layer consisting of aluminum ions, surrounded in an octahedral structure by oxygen ions and hydroxyl groups. The bonding to the silicon ions is carried out by the surrounding oxygen ions in a tetrahedral structure. This results in a three-layer structure, which ends up providing an anionic character responsible for bonding to alkaline or alkaline-earth cations [9]. Water molecules can penetrate the interlaminar space of the montmorillonite, producing a significant expansion in the direction of the c-axis of the crystals, which is proportional to the number of adsorbed water layers between the silicate sheets. The water for the hydration of exchangeable cations forms the first layer, with additional layers retained with lower energy [10].
From a practical point of view, there are two types of bentonite, namely sodium and calcium, with very different properties and uses. While sodium bentonite is extremely absorbent, calcium bentonite, also called the non-swelling bentonite, has very little ability to absorb water, broaden, and to stabilize in a water suspension. However, these different types are not found as pure raw materials in nature, but montmorillonite minerals appear as the combination of both kinds, giving the materials an infinite combination of final properties [11]. This is the main reason why clayey raw materials must be specifically characterized when bentonites are supposed to belong to their composition.
Bentonite-like raw materials present a wide variety of important applications because of their physico-chemical properties in terms of sorption capabilities, plasticity, specific rheology, lubricity, low compressibility, and bonding strength.
The research literature clearly indicates the growing interest and consumption of clay minerals in the industrial sector [7], particularly montmorillonite, as a key raw material for obtaining specific properties in the final product.
Nevertheless, although the behavior and properties that montmorillonites can provide to industrial products are quite needed, natural bentonite particles are practically indistinguishable from kaolin clay minerals when observing their physical microstructure by means of a scanning electron microscope. The combination of some other high-resolution spectrophotometric techniques is needed to completely characterize the raw materials extracted in the quarry to determine their final properties depending on the functional uses they are going to be allocated.
Currently, there are no specific well-defined industry-specific protocols available to fully specify and quantify a ceramic product and, given that such tests are costly and poorly standardized, companies only perform general estimates by product type. Authors from Drever to Prandel have studied the oriented aggregate behavior and cation exchange relationship [12,13,14,15], and X-ray quantitative analysis has been evaluated by Norrish, Burnett, and Swanson [16,17,18], who also calculated structural formula by X-ray fluorescence [19], but little has been found about comprehensive protocols, including quantification at a trace level as García-Romero stated [20]. However, in most clayey samples, even the purest, small amounts of other minerals appear, not only in raw samples, but also in the clay fraction in which there are frequently more than one phyllosilicate, and the composition of such impurities influences the calculated formula. Achieving a better understanding of each product type would enable the properties of the finished product to be much more effectively established and would allow clay characteristics to be determined at hitherto unknown levels.
The main aim of the present study was to define a new quantification and speciation strategy, as well as to obtain a detailed procedure for characterizing rocks and materials of a wholly or partially swelling clayey nature [21,22]. The protocol proposal was applied to different bentonite-like raw materials supplied by the traditional ceramic industry, which were suspected to present different montmorillonite content. A combination of spectrophotometric techniques, such as wavelength dispersive X-ray fluorescence (WD-XRF), random crystallite and oriented aggregate X-ray Diffraction (XRD), and thermogravimetrical analysis (TG-DTG), were used to conduct the whole study.
By establishing the final working protocol, the result obtained with the different technique combination allowed a molecular formula for the specific raw materials used to be proposed, despite their different composition. The intrinsic difficulty in these samples was that they apparently belonged to the same quarry and their chemical analysis was similar, but their final behavior in the ceramic process was significantly different.
Some macroscopic properties of ceramic raw materials are closely connected to their porous microstructure, which are usually characterized by different parameters, such as their density, surface area, porosity, pore size, pore size distribution, pore geometry, and morphology. These common terms, when used to describe the microstructure of a porous material, are in fact parameters related to certain macroscopic measurements. Many techniques have been used to characterize porous solids [8]. In this case, gas adsorption is the one selected to study sample porous behavior. Consequently, we tried to correlate all obtained results for the ceramic raw materials with dynamic water vapor sorption (DVS) using adsorption–desorption isotherms and specific surface area data.
After carrying out the study in real clayey materials with a similar nature supplied by the ceramic industry, the protocol proposed was applied for two different reference materials with the objective of validating whether there was an acceptable correlation between the certified and experimental results to continue working with.
2. Materials and Methods
In this section, the description of the materials selected, the preparation of compositions, and the test methodologies used to characterize montmorillonites’ behavior are detailed. Additionally, all characterization techniques used to carry out the present study are described.
2.1. Materials
The protocol proposal was applied on blind ceramic samples provided by the traditional ceramic sector. Their main characteristic was to present different montmorillonite content. Six different clayey raw materials were selected to carry out the present study, referenced as M1 to M6 throughout the document.
Afterwards, to validate the effectiveness of the methodology proposed to characterize montmorillonite materials, the same protocol was applied to certified reference standard montmorillonites acquired in the database of the Clay Minerals Society [23,24]. The references and chemical analyses of the certified materials are shown in Table 1 and Table 2, respectively.
Table 1.
Certified reference montmorillonites from CMS database.
Table 2.
Chemical analysis provided by CMS.
2.2. Experimental Methodology
All samples were characterized following a specific lab protocol that comprehends different analytical tests. Chemical composition was conducted with a PANalytical model AXIOS wavelength dispersive X-ray fluorescence (WD-XRF) spectrometer with an Rh anode tube and 4 kW power, fitted with flow, scintillation, and sealed detectors, as well as eight analyzing crystals, namely LiF200, LIF220, Ge, TLAP, InSb, PE, PX1, and PX7. The composition also provided masks that were 37, 30, 27, 10, and 6 mm in diameter.
Identification of the crystalline phases was monitored by an X-ray diffractometer Theta-Theta D8 Advance A25 from Bruker with CuKα radiation (λ = 1.54183 Å) [25,26,27,28]. The generator settings were 45 kV and 30 mA. The XRD data were collected in a 2θ of 5–90° with a step width of 0.015° and a counting time of 1.2 s/step by means of a LinxeyEYE detector. The quantification of crystalline phases using the collected data was determined in a Rietveld refinement. The 6.0 version of the Rietveld analysis program DIFFRACplus TOPAS was used, assuming a pseudo-Voight function to describe peak shapes (International Center for Diffraction Data PDF4+: 2023 database). The refinement protocol included the background, the scale factors, and the global instrument, lattice, profile, and texture parameters. The basic approach is identifying all the crystalline phases present and input the basic structural data for all phases, and then letting the computer model the data until the best fit to the experiment pattern is obtained. An internal standard (NIST®SRM® 676a Alumina powder) with a known concentration was introduced in every powder-analyzed sample. Rwp (R-weighted pattern) and GOF (goodness of fit) parameters were calculated in order to evaluate the accuracy of the diffractogram simulation.
Oriented aggregated methodology was carried out to correctly identify swelling material in the studied samples. Therefore, the clay fraction (mass fraction < 2 µm) was separated from the bulk sample by sedimentation and mounted as oriented aggregate samples for clay mineral correct identification. The oriented aggregate configuration force phyllosilicates particles as montmorillonites to remain flat on the sample holder because of their plate-shaped particle. By using this methodology, the evolution of expansion and contraction effects clayey minerals experience on the d-spacing of the crystalline structure can be studied during the application of subsequent treatments, such as air drying, glycolation with ethylene glycol, heating to 400 °C, and heating to 550 °C, which are needed to characterize them [10].
Simultaneous thermal analysis (TG-DTG) was carried out using thermal analysis equipment of Netzsch, particularly the STA 449 F5 JUPITER model. Analysis conditions used are as follows: maximum temperature: 1000 °C; heating rate: 10 °C/min; platinum vessel; and dynamic air atmosphere [29].
Sorption isotherms were obtained using a Dynamic Vapour Sorption Analyser Aquadyne DVS from Quantachrome [30]. The amount of adsorbed water vapor was measured by a static gravimetric method, obtaining moisture gain values as a function of relative humidity ranging from 0 to 90%. For each relative humidity, equilibrium was achieved. Before performing the test, samples were dried in an oven at 60 °C for 2 h.
The specific surface area was determined, using nitrogen gas as an adsorbent, by means of equipment, namely TriStar 3000 from Micromeritics, applying the standard ISO 9277:2010 [31]. The specific surface area parameter was determined applying the multi-point BET method on the adsorption curve. The amount of nitrogen adsorbed was measured by means of a static volumetric method. Before carrying out the test, the sample was dried in an oven at 60 °C for 2 h and, after that, it was outgassed with a nitrogen continuous flow at 60 °C.
3. Results and Discussion
The main objective of the present study is to develop a specific lab protocol to characterize ceramic raw materials with different montmorillonite content in their composition. To validate the methodology, it was finally applied to standard reference materials provided by the Clay Minerals Society.
3.1. Chemical and Mineralogical Characterization
Either to carry out the chemical analysis or to conduct the determination of molecular formula, it is very important to determine the loss of calcination of studied materials, especially if there is swelling material involved. The fact of being natural clays meant that moisture removal was a key parameter that was essential and critical to be controlled during the whole study.
In percentages lower than 30% of montmorillonite, the material can be considered dry after subjecting the material to 110 +/− 5 °C for 24 h in a laboratory oven. For higher ranges, samples must be dried for a minimum of three days and sometimes even four days as a requirement.
As it was also intended to chemically characterize the samples and to carry out the standard sample drying procedure for ceramic raw materials, initially it was decided to dry at a temperature of 110 °C +/− 5 °C with varying drying times until reaching constant weight loss. After sample exposition at different drying times, it was observed that a drying period of 72 h did not generate significant weight loss, so this condition was considered optimal for carrying out the chemical analyses.
After optimizing the drying process, chemical analyses were determined to evaluate oxides content (Table 3). In this case, no significant differences in LOI were observed, so the fact that the analyzed montmorillonites S1–S6 show different drying times during manufacturing ceramic process cannot be justified by these values.
Table 3.
Chemical analyses of the selected samples.
Sample mineralogy was studied using an X-ray diffraction technique. In Figure 1, the diffraction pattern of all samples is shown, in which the whole mineral phases were identified.
Figure 1.
X-ray diffraction patterns for the six selected samples: • montmorillonite; ▲ Illite/mica muscovite;
kaolinite and ♦ quartz; Δ potassic feldspar; and ✧ calcite.
kaolinite and ♦ quartz; Δ potassic feldspar; and ✧ calcite.
All the samples presented similar major phases, mainly composed of kaolinite, quartz, and illite/mica muscovite. As minority phases, they all presented potassic feldspar and one of them presented a small peak of calcite.
Apart from these characteristically crystalline structures, in all diffractograms appeared a singular important peak in 6° of 2θ. This peak is related to swelling mineralogical phases, such as montmorillonites, chlorites, or vermiculites. Consequently, before carrying out the complete phase quantification, the correct mineralogical phase that belongs to each raw material must be defined by means of the oriented aggregate method [32].
Table 4 shows the evolution of the six-sample behavior after carrying out the oriented aggregates method with the clay fraction of the materials with their respective thermal treatments.
Table 4.
Evolution of 6° peak (2θ) after all steps carried out during oriented aggregates method (Å).
All analyzed samples show the characteristic d-spacing deformation that allows them to be classified as montmorillonites. After the glycolation process, d-spacing increases practically to 17 Å, and the intensity peak falls to approximately 10 Å when the temperature is applied to the samples.
According to the evolution of the main peak, all samples were classified as calcium-sodium montmorillonites. As such, the presence of chlorites or vermiculites in the samples was dismissed.
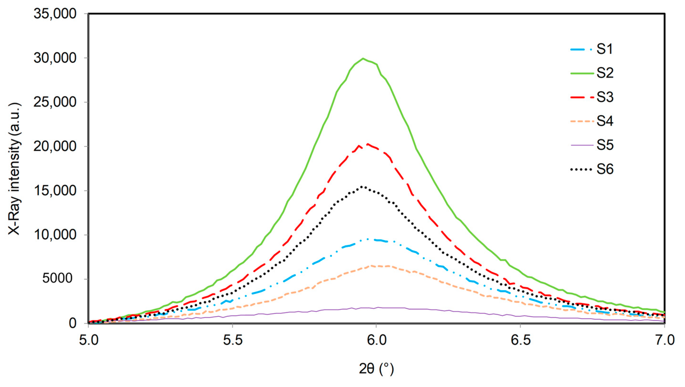
After identifying precisely all the mineralogical phases in the studied samples, they were compared because a progressive variation in the montmorillonite peak, which appears at approximately 6° (2θ), was observed. Figure 2 shows an enlargement of the montmorillonite peak comparing the six evaluated samples. According to the results, there is a progression in the peak area and in the FWHM (full width half maximum) of the main peak. This observed variation can be indicative of the presence of this mineralogical phase in different contents in each sample and/or different crystallite size regarding the crystallinity of the mineral. That means there is a necessity to carry out a quantification of the mineralogical phases by means of the Rietveld method, but not using rational quantification, because rational assignments do not consider variations in the crystallinity of the mineralogical phases, which is a key parameter in montmorillonite nature.
Figure 2.
X-ray diffraction patterns for the six selected samples, 5–7° 2θ.
Table 5 shows the quantification of mineralogical phases after carrying out Rietveld refinement. Based on the outcomes, there is progression in the montmorillonite content between the studied samples, ranging from 2 to 31% of the raw material. Nevertheless, the evolution is not directly related to the area of the diffraction peak because the last sample with a 31% of montmorillonite is not the one with the highest peak of diffraction. Rietveld refinement helps experimentation to be interpreted because crystallite size influences directly the final behavior of the mineral. In this case, S6 presented a montmorillonite crystallite size lower than the rest of the samples. In fact, samples S1 to S5 presented a mean crystallite size of 50 nm, but S6 showed a crystallite size of approximately 18 nm, which could justify the evolution of the peak intensity observed by XRD (Table 6).
Table 5.
Quantification of crystalline phases of samples (% weight).
Table 6.
Montmorillonite crystallite size (nm).
Consequently, it is not only the different content of swelling mineral phases that can explain the behavior of raw materials observed during the ceramic process; the crystallinity of their mineralogical phases can be responsible for these effects.
3.2. Thermal Characterization
Water can be present in clayey materials in different forms: humidity, which can be eliminated at 60–70 °C; hydration water, which normally disappears at a temperature of around 110 °C and is designated as H2O− or adsorbed water; and crystal-lattice water, which decomposes at higher temperatures of 550 °C and is designated as H2O+, water of constitution, structural water, or bound water [33].
Attending to water behavior with temperature, a specific drying process was carried out to ensure the determination of the whole molecular formula of montmorillonites. Therefore, in this specific lab protocol to characterize montmorillonites, samples were dried at 70 °C for 6 h, favoring the elimination of sample moisture, but not adsorbed water H2O−.
Thermal tests were carried out following the previously mentioned drying protocol to calculate the molecular formula, including the hydration water. Figure 3 shows the thermogravimetric test for the six samples involved in the study [15,34], showing significative differences among them in terms of water losses with temperature. A progressive evolution between samples 1 and 5 seems to be observed, but sample 6 follows its own trend. According to the different temperature range observed in the studied ceramic samples, the range 25–250 °C (1′) is related to hydration losses, range 250–350 °C (2′) is linked to hydroxide decomposition, range 350–650 °C (3′) shows the dehydroxylation processes from montmorillonites and kaolinite, range 650–900 °C (4′) introduces carbonates’ decomposition, and the final range of 900–1200 °C (5′) is related to sulphates’ decomposition.
Figure 3.
TG-DTG curves for samples under study: (a) TG curve; (b) DTG curve.
After calculating the hydration loss of the different materials as a function of montmorillonite content in clays (Figure 4), which is the area of interest of this study, a practically linear relationship between the swelling content in the clay and the calcination loss from 25 °C to 250 °C of the different samples was observed. As the percentage of montmorillonite increases, an incremental percentage of hydration water being lost in the sample can be calculated, always assuring a similar drying step in the samples.
Figure 4.
Correlation between hydration water and percentage of montmorillonite in clay.
However, it should be noted that the obtained trend shows a progressive reduction in the slope as the percentage of montmorillonite in the sample increases, for which small differences in hydration loss could cause high differences in the percentage of smectites quantified. S6 seems to lightly deviate from the linear trend between montmorillonite content and weight loss. Therefore, for very high montmorillonite percentages, the results obtained with the loss in the ignition test should be taken with certain reservations. This fact has been checked during the validation of the protocol in the last section of the study.
3.3. Water Sorption Characterization
To determine how studied raw materials are going to behave during the ceramic process regarding hydration necessities, water vapor sorption curves were obtained for each of the materials involved in the present study. These results can also inform researchers about the porous network in the sample. Figure 5 presents the isotherm curves obtained for the six raw materials under study.
Figure 5.
Water vapor sorption isotherms for samples under study.
Figure 5 shows different sample behavior regarding the water vapor sorption depending on the relative humidity of the analyzing chamber. According to results, S6 is the one that has the higher sorption capacity and S5 has the lowest. After observing different sorption capacities among samples, a certain relationship between the adsorption of water and the presence of montmorillonite in the raw material has tried to be established.
In Figure 6, two key parameters about the sorption isotherm of each sample have been correlated to montmorillonite content. The dotted curve is obtained with adsorption values at a relative humidity of 90% and the grey curve is obtained with a relative humidity of 40%. A practically linear trend between both parameters seems to be observed. This correlation could be useful in ceramic production since adsorption values could be indicative of the presence of swelling material in raw materials; in other words, the quantity of montmorillonite present in the sample could be estimated without the necessity of carrying out a complex quantification test.
Figure 6.
Relationship between water vapor adsorption and montmorillonite content in studied clays at relative humidity 90% (black) and relative humidity 40% (grey).
Apart from water vapor adsorption properties, the specific surface area was calculated by the BET method after carrying out a nitrogen adsorption test. These values were also related to the montmorillonite content of the raw materials presented in Figure 7. Although the linear relationship observed between parameters is not as good as the one determined for vapor isotherms, it can be taken at least as a qualitative parameter to consider. Although, perhaps in this case, other intrinsic sample features, such as mineralogical phases, must be considered to define the porous network and clay content of the raw material.
Figure 7.
Relationship between specific surface area and montmorillonite content in studied clays.
Although the relationship between the specific surface area and the montmorillonite content of the six clays is not perfectly linear, it could be considered an alternative analytical parameter to correlate with the clays’ behavior during the manufacturing process.
3.4. Validation Protocol Applied on Reference Samples
Once the characterization steps to carry out in clayey raw materials are defined and the analytical trends for the studied samples are calculated, the results must be validated using reference samples. In this section, the validation step is presented using two reference materials provided by CMS.
After studying the mineralogy of the standard samples by means of XRD (Figure 8), it was observed that none of them were only montmorillonite, but their composition contained other minority mineral phases. Table 7 shows the quantification of the crystalline phases of both samples using the Rietveld method.
Figure 8.
X-ray diffraction patterns obtained for reference samples SAz-2 and SWy-3: ● montmo-rillonite, ▲ illite/mica muscovite,
Gypsum, ◆ quartz, and Δ anorthoclase.
Gypsum, ◆ quartz, and Δ anorthoclase.
Table 7.
Quantification of crystalline phases by Rietveld method (GOF 5.4 and 4.3).
Figure 9 shows the evolution of both the reference materials after carrying out the different treatments during the oriented aggregate method. Calcium-rich montmorillonite presents a higher deformation of d-spacing than the sodium-rich montmorillonite, indicating their specific structure, depending on the cations that substitute the interlayer spaces.
Figure 9.
Evolution of X-ray diffraction patterns during the application of the subsequent treatments during the oriented aggregate method: (a) SAz-2 Ca-rich montmorillonite (b) SWy-3 Na-rich montmorillonite.
Figure 10 shows results obtained after carrying out the thermogravimetrically analysis on both samples. It was observed that the theoretical (Table 2) and experimental data regarding LOI are not perfectly correlated. This phenomenon could be directly associated with the effect of sample preparation and moisture removal. If the reference samples had been dried at 110 °C, the LOI values would have practically matched the theoretical values obtained from the certificate. Nevertheless, with the intention of calculating the hydration water to obtain the whole formula of the montmorillonite, samples were dried at 60 °C for two hours before carrying out the TG-DTG test. This is the reason why the water losses do not match the ones obtained in the chemical analysis.
Figure 10.
TG-DTG analysis of the reference samples.
Figure 11 shows water vapor sorption evolution of the reference samples. It is observed that calcium-rich montmorillonite presents a higher sorption capacity, possibly related to its enrichment in swelling mineral content, but also because of the cation-rich effect.
Figure 11.
Water vapour sorption analyses of the reference samples.
Both hydration losses of the reference samples calculated by the TG-DTG and DVS techniques were used to validate the calibration curves obtained in the previous sections. Table 8 shows the results of the montmorillonite content calculated based on the trend obtained in the different techniques studied. As can be observed, the water vapor sorption calibration curve acceptably fits the reference sample results since both montmorillonite contents calculated presented a low difference. Nevertheless, the values calculated from the TG calibration curve (Figure 4) did not show the expected results for both reference samples. The fact that it is a Na-montmorillonite could be the reason why the water of hydration (H2O−) released during the TG test was lower than in the rest of the cases in which montmorillonites were calcium-rich, obtaining values below the expected ones. A further study should be carried out to establish the reason for this phenomenon.
Table 8.
Result validation as a function of selected technique (% weight).
According to results obtained in the validation report, the estimation of clay mineral content via vapor sorption has a wider range in its ability to characterize clay materials, regardless of the percentage and type of mineral. However, the TG-DTG technique does have some quantification capability but with certain limitations, possibly because of the difficulty to discern between the moisture and water of hydration of the mineral and the cation-rich nature of the material. An attempt was made to solve the first effect by optimizing the drying process, but the second one needs further study to overcome it.
3.5. Molecular Formula Proposal
After carrying out the crystalline phase quantification by means of the Rietveld method and considering the oxide content of the chemical analysis and thermal events observed, a molecular formula for all the montmorillonites evaluated in this study has been proposed (Table 9).
Table 9.
Montmorillonite molecular formula proposed for studied samples.
To determine the molecular formula, initially chemical analyses were recalculated according to real LOI of the samples dried under optimal conditions without eliminating hydration water. Then, the oxide contribution of the rest of the crystalline structures obtained by Rietveld refinement was subtracted from the chemical analysis. Finally, the remaining oxides were allocated to the montmorillonite formula, obtaining the values presented in Table 9.
In this specific case, the investigated montmorillonite samples originate from the same quarry, so it could be logical that the formula assigned coincides among samples S1–S6.
The studied montmorillonites presented a combination of calcium and sodium cations bound to the three-layer structure of the silico-aluminate to compensate their anionic character. This kind of mixing cations is the most typical combination observed in ceramic raw materials [35,36]. Even the last sample, S6, which presents a lower crystallite size, has adapted perfectly well to the proposed formula. Consequently, it can be considered a partially degraded montmorillonite but not a different one in composition, which would explain the lower crystallite size.
In this study, the final structural formula has included the hydration water H2O− from montmorillonites. The final formula matches reasonably well with the reference material certificate, since in the certified value, hydration water was not considered.
4. Conclusions
In the present study, a specific laboratory protocol for the characterization of bentonite-like ceramic materials, which present unique properties during the ceramic manufacturing process, has been proposed. This methodology allows the best working conditions to identify and quantify complex ceramic matrices when needed to be established. The whole protocol proposed matches a combination of advanced spectroscopic analytical techniques, such as WD-XRF, XRD, TG-DTG, and DVS.
For a detailed characterization of clay samples, chemical and mineralogical tests are needed to quantify mineralogical structures. Oriented aggregate methodology is required to correctly identify swelling minerals present in the raw material. Finally, to correlate their behavior during the manufacturing process with the porous structure, additional tests, such as thermogravimetry and dynamic vapor sorption analysis, must be carried out.
When quantifying minerals, it was determined that not only the peak area of diffractograms is needed, but also the crystallite size. Degraded minerals such as montmorillonites can suffer from an amorphization process, which directly influences XRD signal, as is observed in sample 6.
After analyzing the results, a direct relationship between the swelling material content and the thermogravimetric tests was not obtained due to the evident influence of the montmorillonite cation-rich effect, observed during the validation process.
Nevertheless, a practically linear correlation between montmorillonite content and adsorption behavior was obtained, despite the presence of other minerals in the samples. Neither the nature of montmorillonite nor its composition range seems to influence this trend, concluding a certain direct relationship between the swollen content and adsorption phenomenon.
The interaction observed between the BET surface area and montmorillonite content could be taken as a qualitative parameter to consider. Once clayed materials are perfectly characterized, BET results can be useful for control purposes, but they cannot be taken as an absolute technique alone.
Therefore, adsorption phenomenon can be considered a key parameter when swelling raw materials of similar nature are wanted to be studied real time in the manufacturing industry without the necessity of a complex quantification process, using the DVS technique.
The optimization of the drying process and the combination of results from different spectrophotometric, thermal, and sorption techniques allow specific formula for bentonite-like raw materials to be calculated, showing whether analyzed samples have the same origin.
Further study to obtain a comprehensive trend is needed, with the aim of including all different nature montmorillonite, regardless of their cation-rich effect, moisture contribution, and sample preparation influence.
Author Contributions
The authors conducted the following tasks in the research, in addition to the successive manuscript reviewing: Conceptualization, J.G. and M.P.G.-T.; Funding acquisition, J.G. and M.P.G.-T.; Investigation, J.G., E.Z. and M.P.G.-T.; Methodology, J.G., E.Z., E.M.D.-C. and M.J.V.; Project administration, J.G. and M.P.G.-T.; Resources, J.G.; Supervision, J.G. and M.P.G.-T.; Validation, J.G., E.Z., E.M.D.-C., M.J.V. and M.P.G.-T.; Writing—original draft, J.G. and M.P.G.-T.; Writing—review and editing, J.G. and M.P.G.-T. All authors have read and agreed to the published version of the manuscript.
Funding
This research was co-funded by the Valencian Institute of Business Competitiveness (IVACE) and by the FEDER Funds, within the framework of the Operational Program FEDER of the Valencian Community 2014-2020 (IMDEEA/2023/81_REACTMAC).
Data Availability Statement
Not applicable.
Conflicts of Interest
The authors declare no conflict of interest. The funders had no role in the design of the study; in the collection, analyses, or interpretation of data; in the writing of the manuscript, or in the decision to publish the results.
References
- Bastida Cuairan, J. Mineralogía Aplicada de las Arcillas Cerámicas de la Provincia de Castellón; Universitat Autònoma de Barcelona: Logan County, OK, USA, 1993. [Google Scholar]
- Sanz, C. La Gestión de los Residuos en la Industria Cerámica; Tirant Lo Blanch: Valencia, Spain, 2000. [Google Scholar]
- Carretero, M.I.; Pozo, M.I. Mineralogía Aplicada: Salud y Medio Ambiente; Thomson: Madrid, Spain, 2007. [Google Scholar]
- Galan Huertos, E. (Ed.) Mineralogía Aplicada; Síntesis: Madrid, Spain, 2003. [Google Scholar]
- Barba, A.; Beltrán, V.; Felíu, C.; García, J.; Ginés, F.; Sánchez, E.; Sanz, V. Materias Primas para la Fabricación de Soportes de Baldosas Cerámicas, 2nd ed.; Instituto de Tecnología Cerámica: Castellón, Spain, 2002. [Google Scholar]
- Lozano, M. Estudio de Absorbentes Arcillosos para una Aplicación Sostenible. Ph.D. Thesis, Universidad de Salamanca, Salamanca, Spain, 2016. [Google Scholar]
- Barakan, S.; Aghazadeh, V. Separation and characterisation of montmorillonite from a low-grade natural bentonite: Using a non-destructive method. Micro Nano Lett. 2019, 14, 688–693. [Google Scholar] [CrossRef]
- Eisenhour, D.; Brown, R. Bentonite and its impact on modern life. Elements 2009, 5, 83–88. [Google Scholar] [CrossRef]
- Hurlbut, C.S. Manual de Mineralogía de Dana; Reverté: Barcelona, Spain, 1976. [Google Scholar]
- Brindley, G.W.; Brown, G. Crystal Structures of Clay Minerals and Their X-ray Identification; Mineral. Soc. London: London, UK, 1980. [Google Scholar]
- Singh, N.B. Clays and clay minerals in the Construction Industry. Minerals 2022, 12, 301. [Google Scholar] [CrossRef]
- Drever, J.I. The preparation of oriented clay mineral specimens for X-ray diffraction analysis by a filter-membrane peel technique. Am. Mineral. 1973, 58, 741–751. [Google Scholar]
- Kinter, E.B.; Diamond, S. A new method for preparation and treatment of oriented-aggregates of soil clays for x-ray diffraction analysis. Soil Sci. 1956, 82, 111–120. [Google Scholar] [CrossRef]
- Pollastro, R.M. A Recommended Procedure for the Preparation of Oriented Clay-Mineral Specimens for X-ray Diffraction Analysis; Modifications to Drever’s Filter-Membrane Peel Technique; USGS Open-File Report 1982-71; US Geological Survey: Reston, VA, USA, 1982. [Google Scholar]
- Prandel, L.V.; Saab, S.C.; Brinatti, A.M.; Giarola, N.F.B.; Leite, W.C.; Cassaro, F.A.M. Mineralogical analysis of clays in hardsetting soil horizons by X-ray fluorescence and X-ray diffraction using Rietveld method. Radiat. Phys. Chem. 2014, 95, 65–68. [Google Scholar] [CrossRef]
- Norrish, K.; Taylor, R.M. Quantitative analysis by X-ray diffraction. Clay Miner. Bull. 1962, 5, 98–109. [Google Scholar] [CrossRef]
- Burnett, A.D. A quantitative X-ray diffraction technique for analysing sedimentary rocks and soils. J. Test. Eval. 1995, 23, 11–118. [Google Scholar]
- Swanson, W.J. Comparison of Quantitative X-ray Diffraction Methods for Characterizing Composition and Yield between Distilled Water and Dispersant-Aided Extractions. Ph.D. Thesis, Department of Geology, Wichita State University, Wichita, KS, USA, 2017. [Google Scholar]
- Yeniyol, M. Transformation of magnesite to sepiolite and stevensite: Characteristics and genesis. Clays Clay Miner. 2020, 68, 347–360. [Google Scholar] [CrossRef]
- García-Romero, E.; Lorenzo, A.; García-Vicente, A.; Morales, J.; García-Riva, J.; Suárez, M. On the structural formula of smectites: A review and new data on the influence of exchangeable cations. J. Appl. Crystallogr. 2021, 54, 251–262. [Google Scholar] [CrossRef] [PubMed]
- Van Olphen, H.; Fripiat, J.J. Data Handbook for Clay Minerals and Other Non-Metallic Materials; Pergamon Press: Oxford, UK, 1979. [Google Scholar]
- Grim, R.E.; Guven, N. Bentonites—Geology, Mineralogy, Properties and Uses, Developments in Sedimentology; Elsevier Sci. Publ. Co.: Amsterdam, The Netherlands, 1978. [Google Scholar]
- Moll, W.F., Jr. Baseline studies of the clay minerals society source clays: Geological origin. Clay Clay Miner. 2001, 49, 374–380. [Google Scholar] [CrossRef]
- The Clays Mineral Society, Source Clays. Available online: https://www.clays.org/sourceclays_data/ (accessed on 7 July 2023).
- UNE-EN 13925-1:2006; Non-Destructive Testing—X-ray Diffraction from Polycrystalline and Amorphous Material—Part 1: General Principles. EUROPEAN STANDARDS: Brussels, Belgium, 2006.
- UNE-EN 13925-2:2004; Non-Destructive Testing—X-ray Diffraction from Polycrystalline and Amorphous Materials—Part 2: Procedures. EUROPEAN STANDARDS: Brussels, Belgium, 2004.
- UNE-EN 13925-3:2006; Non-Destructive Testing—X-ray Diffraction from Polycrystalline and Amorphous Materials—Part 3: Instruments. EUROPEAN STANDARDS: Brussels, Belgium, 2006.
- UNE-EN 1330-11:2008; Non-Destructive Testing—Terminology—Terms Used in X-ray Diffraction from Polycrystalline and Amorphous Materials. EUROPEAN STANDARDS: Brussels, Belgium, 2008.
- Todor, D.N. Thermal analysis of minerals. In Tunbridge Wells; Abacus Press: Lincoln County, ME, USA, 1976. [Google Scholar]
- Jowitt, R.; Wagstaff, P.J. The Certification of the Water Content of Microcrystalline Cellulose (MCC) at 10 Water Activities—CRM 302; Office for Official Publications of the European Communities: Luxembourg, 1989. [Google Scholar]
- ISO 9277:2010; Determination of the Specific Surface Area of Solids by Gas Adsorption Using the BET Method. INTERNATIONAL STANDARDS: Geneva, Switzerland, 2010.
- Ruiz Cruz, M.D. Mineralogía y Aplicaciones de las Arcillas; Universidad de Málaga: Málaga, Spain, 2000. [Google Scholar]
- Gazulla, M.F.; Gilabert, J.; Orduña, M.; Rodrigo, M.; Ventura, M.J. Determination of structural water content in clayey materials. Anal. Lett. 2018, 51, 1956–1972. [Google Scholar] [CrossRef]
- Paulik, F.; Paulik, J.; Arnold, M. Simultaneous TG, DTG, DTA and EGA technique for the determination of carbonate, sulphate, pyrite and organic material in mineral, soil and rock. I Principles of the method. J. Therm. Anal. 1982, 25, 327–340. [Google Scholar] [CrossRef]
- Asad, M.A.; Kar, S.; Ahmeduzzaman, M.; Hassan, M.R. Suitability of Bentonite Clay: An Analytical Approach. Earth Sci. 2013, 2, 88–95. [Google Scholar] [CrossRef]
- Ciullo, P.A. White Bentonite: In Industrial Clays; Industrial Minerals: London, UK, 1996. [Google Scholar]
Disclaimer/Publisher’s Note: The statements, opinions and data contained in all publications are solely those of the individual author(s) and contributor(s) and not of MDPI and/or the editor(s). MDPI and/or the editor(s) disclaim responsibility for any injury to people or property resulting from any ideas, methods, instructions or products referred to in the content. |
© 2023 by the authors. Licensee MDPI, Basel, Switzerland. This article is an open access article distributed under the terms and conditions of the Creative Commons Attribution (CC BY) license (https://creativecommons.org/licenses/by/4.0/).










