A Possible Radiation-Induced Transition from Monazite-(Ce) to Xenotime-(Y)
Abstract
1. Introduction
2. Experimental Methods
2.1. Sample Description
2.2. Electron-Probe Microanalysis (EPMA)
2.3. Age Determination and Radiation Doses Calculation
2.4. Synchrotron High-Resolution Powder X-ray Diffraction (HRPXRD)
2.5. Rietveld Structural Refinement
3. Results
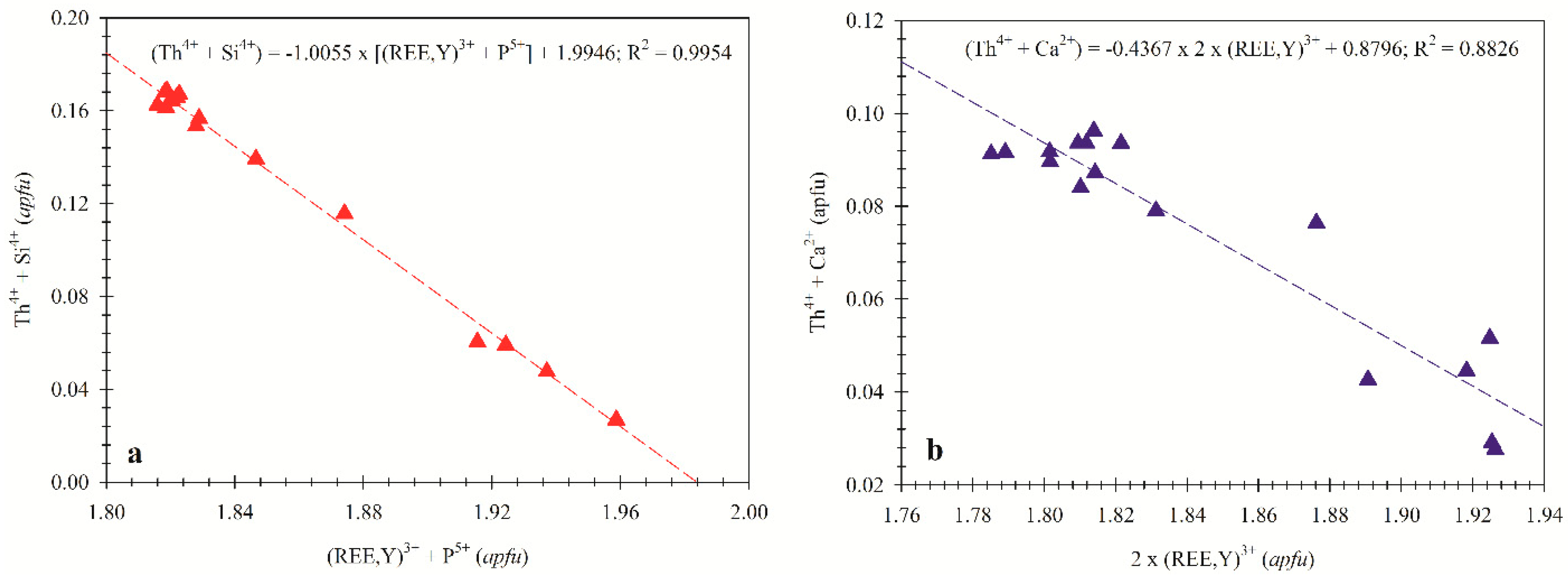
3.1. Cation Exchange in Th-Bearing Monazite-(Ce) and Monazite-(Sm)
3.2. Two Monazite-(Ce) Phases and One Xenotime-(Y) in Sample 2a
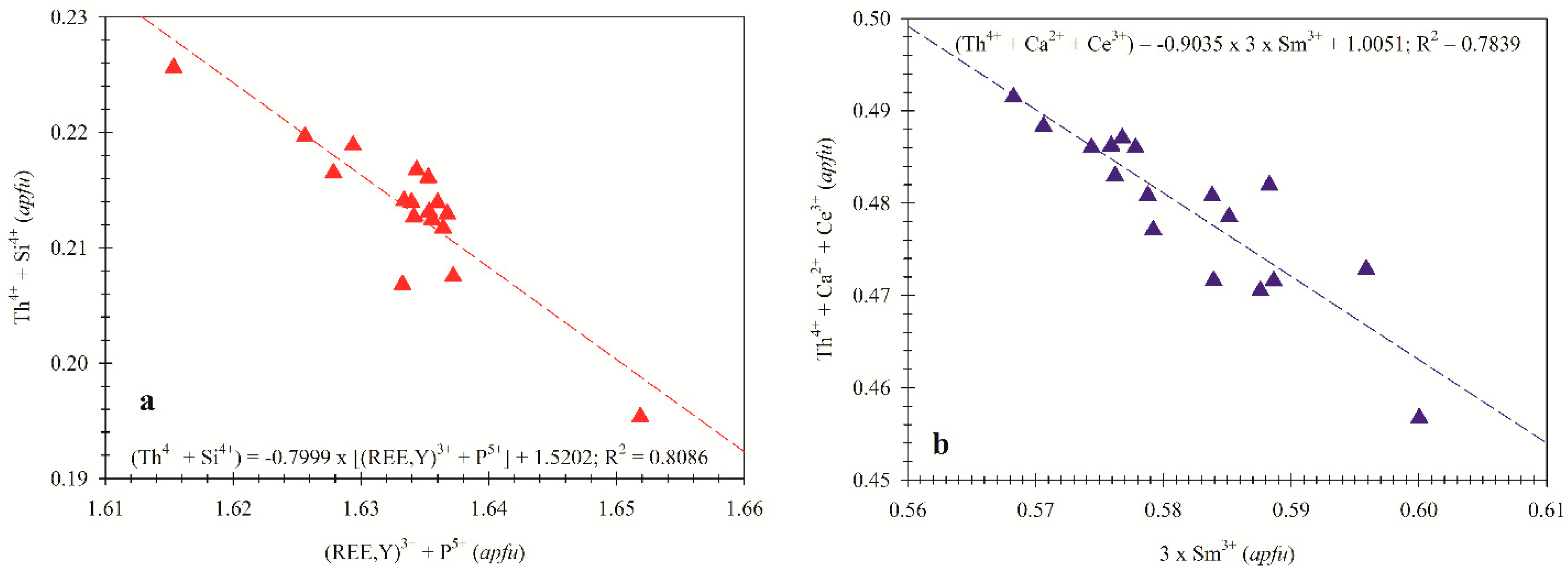
3.3. Sample 4a: Monazite-(Sm)
3.4. Variations of Unit-Cell Parameters
3.5. Bond Distances
3.6. Ce Site Cation Distribution in Sample 2a
3.7. Radiation-Induced Transition from Monazite-(Ce) to Xenotime-(Y) in Sample 2a
4. Conclusions
Author Contributions
Funding
Acknowledgments
Conflicts of Interest
References
- Seydoux-Guillaume, A.M.; Wirth, R.; Heinrich, W.; Montel, J.M. Experimental determination of Thorium partitioning between monazite and xenotime using analytical electron microscopy and X-ray diffraction Rietveld analysis. Eur. J. Mineral. 2002, 14, 869–878. [Google Scholar] [CrossRef]
- Pabst, A.; Hutton, C.O. Huttonite a new monoclinic thorium silicate. Am. Mineral. 1951, 36, 60–69. [Google Scholar]
- Smitts, G. (U, Th)-bearing silicates in reefs of the Witwatersrand, South Africa. Can. Mineral. 1989, 27, 643–655. [Google Scholar]
- Zaman, M.M.; Antao, S.M. Crystal chemistry and structural variations for zircon samples from various localities. Minerals 2020, 10, 947. [Google Scholar] [CrossRef]
- Zaman, M.M.; Antao, S.M. Crystal structure refinements of four monazite samples from different localities. Minerals 2020, 10, 1028. [Google Scholar] [CrossRef]
- Murata, K.J.; Rose, H.J., Jr.; Carron, M.K. Systematic variation of rare earths in monazite. Geochim. Cosmochim. Acta 1953, 4, 292–300. [Google Scholar] [CrossRef]
- Spear, F.S.; Pyle, J.M. Apatite, monazite, and xenotime in metamorphic rocks. In Phosphates: Geochemical, Geobiological, and Materials Importance; Kohn, M.J., Rakovan, J., Hughes, J.M., Eds.; Mineralogical Society of America: Chantilly, VA, USA, 2002; Volume 48, pp. 293–335. [Google Scholar]
- Fleischer, M.; Altschuler, Z.S. The relationship of the rare-earth composition of minerals to geological environment. Geochim. Cosmochim. Acta 1969, 33, 725–732. [Google Scholar] [CrossRef]
- Rapp, R.P.; Watson, E.B. Monazite solubility and dissolution kinetics—Implications for the thorium and light rare-earth chemistry of felsic magmas. Contrib. Mineral. Petrol. 1986, 94, 304–316. [Google Scholar] [CrossRef]
- Beall, G.W.; Boatner, L.A.; Mullica, D.F.; Milligan, W.O. The structure of cerium orthophosphate, a synthetic analog of monazite. J. Inorg. Nucl. Chem. 1981, 43, 101–105. [Google Scholar] [CrossRef]
- Ni, Y.; Hughes, J.M.; Mariano, A.N. Crystal chemistry of the monazite and xenotime structures. Am. Mineral. 1995, 80, 21–26. [Google Scholar] [CrossRef]
- Boatner, L.A. Synthesis, structure and properties of monazite, pretulite and xenotime. Rev. Mineral. Geochem. 2002, 48, 87–120. [Google Scholar] [CrossRef]
- Ewing, R.C.; Meldrum, A.; Wang, L.; Weber, W.J.; Corrales, L.R. Radiation effects in zircon. Rev. Mineral. Geochem. 2003, 53, 387–425. [Google Scholar] [CrossRef]
- Nasdala, L.; Kronz, A.; Hanchar, J.M.; Tichomirowa, M.; Davis, D.W.; Hofmeister, W. Effects of natural radiation damage on back-scattered electron images of single-crystals of minerals. Am. Mineral. 2006, 91, 1739–1746. [Google Scholar] [CrossRef]
- Seydoux-Guillaume, A.M.; Wirth, R.; Nasdala, L.; Gottschalk, M.; Montel, J.M.; Heinrich, W. An XRD, TEM and Raman study of experimentally annealed natural monazite. Phys. Chem. Miner. 2002, 29, 240–253. [Google Scholar] [CrossRef]
- Karkhanavala, M.D.; Shankar, J. An X-ray study of natural monazite: I. Proc. Indian Acad. Sci. 1954, A40, 67–71. [Google Scholar] [CrossRef]
- Boatner, L.A. Monazite. In Radioactive Waste Forms for the Future; Lutze, W., Ewing, R.C., Eds.; Elsevier: Amsterdam, The Netherlands, 1988; pp. 495–564. [Google Scholar]
- Meldrum, A.; Wang, L.M.; Ewing, R.C. Ion-beam-induced amorphization of monazite. Nucl. Instrum. Methods Phys. Res. 1996, B116, 220–224. [Google Scholar] [CrossRef]
- Seydoux-Guillaume, A.M.; Wirth, R.; Deutsch, A.; Schärer, U. Microstructure of 24-1928 Ma concordant monazites; implications for geochronology and nuclear waste deposits. Geochim. Cosmochim. Acta 2004, 68, 2517–2527. [Google Scholar] [CrossRef]
- Ewing, R.C.; Meldrum, A.; Wang, L.; Wang, S. Radiation-induced amorphization. In Transformation Processes in Minerals; Redfern, S.A.T., Carpenter, M.A., Eds.; Mineralogical Society of America: Washington, DC, USA, 2000; Volume 39, pp. 319–361. [Google Scholar]
- Zaman, M.; Schubert, M.; Antao, S. Elevated radionuclide concentrations in heavy mineral-rich beach sands in the Cox’s Bazar region, Bangladesh and related possible radiological effects. Isot. Environ. Health Stud. 2012, 48, 512–525. [Google Scholar] [CrossRef]
- Pyle, J.M.; Spear, F.S.; Wark, D.A. Electron microprobe analysis of REE in apatite, monazite, and xenotime: Protocols and pitfalls. Rev. Mineral. Geochem. 2002, 48, 337–362. [Google Scholar] [CrossRef]
- Montel, J.M.; Foret, S.; Veschambre, M.; Nicollet, C.; Provost, A. Electron microprobe dating of monazite. Chem. Geol. 1996, 131, 37–53. [Google Scholar] [CrossRef]
- Murakami, T.; Chakoumakos, B.C.; Ewing, R.C.; Lumpkin, G.R.; Weber, W.J. Alpha-decay event damage in zircon. Am. Mineral. 1991, 76, 1510–1532. [Google Scholar]
- Holland, H.D.; Gottfried, D. The effect of nuclear radiation on the structure of zircon. Acta Crystallogr. 1955, 8, 291–300. [Google Scholar] [CrossRef]
- Antao, S.M.; Hassan, I.; Wang, J.; Lee, P.L.; Toby, B.H. State-of-the-art high-resolution powder X-ray diffraction (HRPXRD) illustrated with Rietveld structure refinement of quartz, sodalite, tremolite, and meionite. Can. Mineral. 2008, 46, 1501–1509. [Google Scholar] [CrossRef]
- Lee, P.L.; Shu, D.; Ramanathan, M.; Preissner, C.; Wang, J.; Beno, M.A.; Von Dreele, R.B.; Ribaud, L.; Kurtz, C.; Antao, S.M.; et al. A twelve-analyzer detector system for high-resolution powder diffraction. J. Synchrotron Radiat. 2008, 15, 427–432. [Google Scholar] [CrossRef] [PubMed]
- Wang, J.; Toby, B.H.; Lee, P.L.; Ribaud, L.; Antao, S.M.; Kurtz, C.; Ramanathan, M.; Von Dreele, R.B.; Beno, M.A. A dedicated powder diffraction beamline at the advanced photon source: Commissioning and early operational results. Rev. Sci. Instrum. 2008, 79, 085105. [Google Scholar] [CrossRef] [PubMed]
- Antao, S.M.; Dhaliwal, I. Growth Oscillatory Zoning in Erythrite, Ideally Co3(AsO4)2·8H2O: Structural Variations in Vivianite-Group Minerals. Minerals 2017, 7, 136. [Google Scholar] [CrossRef]
- Antao, S.M.; Hassan, I.; Crichton, W.A.; Parise, J.B. Effects of high pressure and temperature on cation ordering in magnesioferrite, MgFe2O4, using in situ synchrotron X-ray powder diffraction up to 1430 K and 6 GPa. Am. Mineral. 2005, 90, 1500–1505. [Google Scholar] [CrossRef]
- Antao, S.M.; Hassan, I.; Mulder, W.H.; Lee, P.L. The R-3c→R-3m transition in nitratine, NaNO3, and implications for calcite, CaCO3. Phys. Chem. Miner. 2008, 35, 545–557. [Google Scholar] [CrossRef]
- Ehm, L.; Michel, F.M.; Antao, S.M.; Martin, C.D.; Lee, P.L.; Shastri, S.D.; Chupas, P.J.; Parise, J.B. Structural changes in nanocrystalline mackinawaite (FeS) at high pressure. J. Appl. Crystallogr. 2009, 42, 15–21. [Google Scholar] [CrossRef]
- Hassan, I.; Antao, S.M.; Hersi, A.A. Single-crystal XRD, TEM, and thermal studies of the satellite reflections in nepheline. Can. Mineral. 2003, 41, 759–783. [Google Scholar] [CrossRef]
- Hassan, I.; Antao, S.M.; Parise, J.B. Haüyne: Phase transition and high-temperature structures obtained from synchrotron radiation and Rietveld refinements. Mineral. Mag. 2004, 68, 499–513. [Google Scholar] [CrossRef]
- Parise, J.B.; Antao, S.M.; Michel, F.M.; Martin, C.D.; Chupas, P.J.; Shastri, S.; Lee, P.L. Quantitative high-pressure pair distribution function analysis. J. Synchrotron Radiat. 2005, 12, 554–559. [Google Scholar] [CrossRef] [PubMed]
- Rietveld, H.M. A profile refinement method for nuclear and magnetic structures. J. Appl. Crystallogr. 1969, 2, 65–71. [Google Scholar] [CrossRef]
- Larson, A.C.; Von Dreele, R.B. General Structure Analysis System (GSAS), Los Alamos National Laboratory Report LAUR, 86-748; Los Alamos National Laboratory: Los Alamos, NM, USA, January 2000.
- Toby, B.H. Expgui, a graphical user interface for GSAS. J. Appl. Crystallogr. 2001, 34, 210–213. [Google Scholar] [CrossRef]
- Finger, L.W.; Cox, D.E.; Jephcoat, A.P. A correction for powder diffraction peak asymmetry due to axial divergence. J. Appl. Crystallogr. 1994, 27, 892–900. [Google Scholar] [CrossRef]
- Clavier, N.; Podor, R.; Dacheux, N. Crystal chemistry of the monazite structure. J. Eur. Ceram. Soc. 2011, 31, 941–976. [Google Scholar] [CrossRef]
- Hoshino, M.; Watanabe, Y.; Ishihara, S. Crystal chemistry of monazite from the granitic rocks of Japan: Petrographic implications. Can. Mineral. 2012, 50, 1331–1346. [Google Scholar] [CrossRef]
- Van-Emden, B.; Graham, J.; Lincoln, F.J. The incorporation of actinides in monazite and xenotime from placer deposits in Western Australia. Can. Mineral. 1997, 35, 95–104. [Google Scholar]
- Broska, I.; Petrík, I.; Williams, C.T. Coexisting monazite and allanite in peraluminous granitoids of the Tribeč Mountains, western Carpathians. Am. Mineral. 2000, 85, 22–32. [Google Scholar] [CrossRef]
- Antao, S.M. Three cubic phases intergrown in a birefringent andradite-grossular garnet and their implications. Phys. Chem. Miner. 2013, 40, 705–716. [Google Scholar] [CrossRef]
- Antao, S.M. The mystery of birefringent garnet: Is the symmetry lower than cubic? Powder Diffr. 2013, 28, 281–288. [Google Scholar] [CrossRef]
- Antao, S.M.; Klincker, A.M. Origin of birefringence in andradite from Arizona, Madagascar, and Iran. Phys. Chem. Miner. 2013, 40, 575–586. [Google Scholar] [CrossRef]
- Antao, S.M.; Mohib, S.; Zaman, M.; Marr, R.A. Ti-rich andradites: Chemistry, structure, multi-phases, optical anisotropy, and oscillatory zoning. Can. Mineral. 2015, 53, 133–158. [Google Scholar] [CrossRef]
- Antao, S.M. Is near-endmember birefringent grossular non-cubic? New evidence from synchrotron diffraction. Can. Mineral. 2013, 51, 771–784. [Google Scholar] [CrossRef]
- Antao, S.M. Crystal structure of morimotoite from Ice River, Canada. Powder Diffr. 2014, 29, 325–330. [Google Scholar] [CrossRef]
- Antao, S.M.; Klincker, A.M. Crystal structure of a birefringent andradite-grossular from Crowsnest Pass, Alberta, Canada. Powder Diffr. 2014, 29, 20–27. [Google Scholar] [CrossRef]
- Antao, S.M.; Round, S.A. Crystal chemistry of birefringent spessartine. Powder Diffr. 2014, 29, 233–240. [Google Scholar] [CrossRef]
- Antao, S.M.; Hassan, I. A two-phase intergrowth of genthelvite from Mont Saint-Hilaire, Quebec. Can. Mineral. 2010, 48, 1217–1223. [Google Scholar] [CrossRef]
- Antao, S.M. Crystal chemistry of birefringent hydrogrossular. Phys. Chem. Miner. 2015, 42, 455–474. [Google Scholar] [CrossRef]
- Masau, M.; Černý, P.; Cooper, M.A.; Chapman, R.; Grice, J.D. Monazite-(Sm), a new member of the monazite group from the Annie claim #3 granite pegmatite, southeastern Manitoba. Can. Mineral. 2002, 40, 1649–1655. [Google Scholar]
- Delhez, R.; de Keijser, T.H.; Langford, J.I.; Louër, D.; Mittemeijer, E.J.; Sonneveld, E.J. The Rietveld Method; Young, R.A., Ed.; Oxford University Press: Oxford, UK, 1993; pp. 132–166. [Google Scholar]
- Shannon, R.D. Revised effective ionic radii and systematic studies of interatomic distances in halides and chalcogenides. Acta Crystallogr. 1976, A32, 75l–767. [Google Scholar] [CrossRef]
- Ali, M.A. Mineral chemistry of monazite-(Nd), xenotime-(Y), apatite, fluorite and zircon hosting in lamprophyre dyke in Abu Rusheid area, South Eastern Desert, Egypt. Geologija 2012, 55, 93–105. [Google Scholar] [CrossRef]
- Black, L.P.; Fitzgerald, J.D.; Harley, S.L. Pb isotopic composition, colour, and microstructure of monazites from a polymetamorphic rock in Antarctica. Contrib. Mineral. Petrol. 1984, 85, 141–148. [Google Scholar] [CrossRef]
- Meldrum, A.; Boatner, L.A.; Weber, W.J.; Ewing, R.C. Radiation damage in zircon and monazite. Geochim. Cosmochim. Acta 1998, 62, 2509–2520. [Google Scholar] [CrossRef]
- Kinchin, G.H.; Pease, R.S. The displacement atoms in solids by radiation. Rep. Prog. Phys. 1955, 18, 1–51. [Google Scholar] [CrossRef]
- Pabst, A. The metamict state. Am. Mineral. 1952, 37, 137–157. [Google Scholar]











| Sample No. | Locality | Description and Occurrence |
|---|---|---|
| 2a | Iveland, Norway | Massive brown monazite-(Ce) occurs in a quartz pegmatitic rock. |
| 4a | Gunnison County, Colorado, USA | Massive brown monazite-(Sm) occurs with cleavelandite feldspar and lepidolite from the brown Derby-1 pegmatite. |
| Oxides | S1 | S2 | S3 | S4 | S5 | S6 | S7 | S8 | S9 | S10 | S11 | S12 | S13 | S14 | S15 | S16 | S17 | Av |
|---|---|---|---|---|---|---|---|---|---|---|---|---|---|---|---|---|---|---|
| La2O3 | 7.75 | 7.74 | 7.55 | 7.74 | 7.68 | 7.65 | 7.91 | 7.65 | 7.90 | 7.63 | 8.05 | 9.76 | 9.95 | 9.39 | 8.39 | 10.20 | 8.90 | 8.34 |
| Ce2O3 | 22.80 | 22.68 | 21.84 | 22.61 | 22.28 | 22.04 | 22.62 | 22.42 | 22.78 | 22.33 | 23.66 | 28.26 | 27.95 | 27.15 | 24.22 | 28.40 | 26.36 | 24.14 |
| Pr2O3 | 3.16 | 3.15 | 3.32 | 3.10 | 3.14 | 3.29 | 2.97 | 3.25 | 3.26 | 3.35 | 3.30 | 3.81 | 4.06 | 3.86 | 3.30 | 3.68 | 4.13 | 3.42 |
| Nd2O3 | 15.03 | 14.97 | 15.27 | 15.07 | 14.83 | 15.35 | 14.92 | 15.31 | 15.16 | 15.20 | 15.15 | 17.70 | 16.99 | 16.92 | 15.57 | 17.35 | 17.30 | 15.77 |
| Sm2O3 | 3.96 | 4.10 | 4.12 | 4.24 | 4.08 | 4.01 | 3.88 | 4.01 | 3.96 | 4.10 | 4.00 | 4.54 | 4.47 | 4.24 | 4.31 | 4.42 | 4.66 | 4.18 |
| Eu2O3 | bdl | bdl | bdl | bdl | bdl | bdl | bdl | bdl | bdl | bdl | bdl | bdl | bdl | bdl | bdl | bdl | bdl | |
| Gd2O3 | 2.44 | 2.50 | 2.06 | 2.25 | 2.05 | 2.16 | 2.20 | 2.33 | 2.10 | 2.30 | 2.34 | 1.98 | 1.91 | 1.80 | 1.98 | 1.96 | 2.17 | 2.15 |
| Tb2O3 | 0.05 | 0.02 | 0.08 | 0.03 | 0.05 | 0.08 | 0.14 | 0.11 | 0.13 | 0.06 | 0.04 | bdl | bdl | bdl | 0.029 | bdl | bdl | 0.07 |
| Dy2O3 | 0.74 | 0.66 | 0.80 | 0.61 | 0.78 | 0.79 | 0.74 | 0.79 | 0.75 | 0.85 | 0.79 | 0.24 | 0.25 | 0.21 | 0.66 | 0.16 | 0.32 | 0.60 |
| Y2O3 | 3.82 | 4.16 | 4.07 | 3.98 | 3.78 | 3.79 | 3.85 | 3.92 | 3.93 | 4.15 | 3.90 | 0.38 | 0.60 | 0.70 | 3.10 | 0.28 | 0.92 | 2.90 |
| CaO | 0.29 | 0.22 | 0.23 | 0.26 | 0.23 | 0.25 | 0.23 | 0.27 | 0.23 | 0.25 | 0.23 | 0.23 | 0.33 | 0.27 | 0.32 | 0.22 | 0.28 | 0.26 |
| FeO | bdl | bdl | bdl | bdl | bdl | bdl | bdl | bdl | bdl | bdl | 0.028 | 0.00 | 0.01 | 0.14 | bdl | 0.04 | 0.20 | 0.07 |
| P2O5 | 26.44 | 26.89 | 26.84 | 26.73 | 26.01 | 26.48 | 26.03 | 27.14 | 26.51 | 26.78 | 27.31 | 29.52 | 28.93 | 27.56 | 26.80 | 29.39 | 28.52 | 27.29 |
| SiO2 | 2.02 | 1.94 | 1.96 | 2.12 | 2.05 | 2.03 | 2.02 | 2.06 | 2.08 | 1.98 | 1.74 | 0.19 | 0.43 | 0.47 | 1.29 | 0.21 | 0.74 | 1.49 |
| SO3 | bdl | 0.10 | 0.03 | 0.01 | bdl | 0.02 | 0.00 | 0.09 | 0.07 | bdl | bdl | bdl | bdl | 0.04 | 0.03 | bdl | 0.14 | 0.05 |
| ThO2 | 8.97 | 8.08 | 8.80 | 8.47 | 8.82 | 8.65 | 8.86 | 8.71 | 9.02 | 8.23 | 7.55 | 2.12 | 3.34 | 4.22 | 6.64 | 2.01 | 3.34 | 6.81 |
| UO2 | 0.27 | 0.36 | 0.49 | 0.31 | 0.38 | 0.36 | 0.35 | 0.26 | 0.29 | 0.40 | 0.46 | 0.11 | 0.28 | 0.60 | 0.17 | 0.12 | 0.15 | 0.32 |
| PbO | 0.25 | 0.30 | 0.30 | 0.28 | 0.30 | 0.29 | 0.29 | 0.29 | 0.30 | 0.30 | 0.16 | 0.02 | 0.15 | 0.15 | 0.16 | 0.03 | 0.15 | 0.22 |
| Total | 98.01 | 97.87 | 97.76 | 97.81 | 96.44 | 97.25 | 97.01 | 98.61 | 98.43 | 97.92 | 98.70 | 98.87 | 99.64 | 97.72 | 96.97 | 98.48 | 98.28 | 97.99 |
| apfu * | ||||||||||||||||||
| La | 0.117 | 0.116 | 0.113 | 0.116 | 0.118 | 0.116 | 0.121 | 0.113 | 0.118 | 0.114 | 0.119 | 0.143 | 0.146 | 0.143 | 0.128 | 0.151 | 0.132 | 0.125 |
| Ce | 0.341 | 0.337 | 0.325 | 0.336 | 0.339 | 0.331 | 0.343 | 0.330 | 0.339 | 0.332 | 0.349 | 0.412 | 0.409 | 0.410 | 0.366 | 0.416 | 0.388 | 0.359 |
| Pr | 0.047 | 0.047 | 0.049 | 0.046 | 0.047 | 0.049 | 0.045 | 0.048 | 0.048 | 0.050 | 0.048 | 0.055 | 0.059 | 0.058 | 0.050 | 0.054 | 0.060 | 0.051 |
| Nd | 0.219 | 0.217 | 0.222 | 0.219 | 0.220 | 0.225 | 0.221 | 0.220 | 0.220 | 0.221 | 0.218 | 0.252 | 0.242 | 0.249 | 0.229 | 0.248 | 0.248 | 0.229 |
| Sm | 0.056 | 0.057 | 0.058 | 0.059 | 0.058 | 0.057 | 0.055 | 0.056 | 0.055 | 0.057 | 0.055 | 0.062 | 0.062 | 0.060 | 0.061 | 0.061 | 0.064 | 0.059 |
| Gd | 0.033 | 0.034 | 0.028 | 0.030 | 0.028 | 0.029 | 0.030 | 0.031 | 0.028 | 0.031 | 0.031 | 0.026 | 0.025 | 0.025 | 0.027 | 0.026 | 0.029 | 0.029 |
| Tb | 0.001 | - | 0.001 | - | 0.001 | 0.001 | 0.002 | 0.001 | 0.002 | 0.001 | - | - | - | - | - | - | - | 0.001 |
| Dy | 0.010 | 0.009 | 0.011 | 0.008 | 0.010 | 0.010 | 0.010 | 0.010 | 0.010 | 0.011 | 0.010 | 0.003 | 0.003 | 0.003 | 0.009 | 0.002 | 0.004 | 0.008 |
| Y | 0.083 | 0.090 | 0.088 | 0.086 | 0.084 | 0.083 | 0.085 | 0.084 | 0.085 | 0.090 | 0.084 | 0.008 | 0.013 | 0.015 | 0.068 | 0.006 | 0.020 | 0.063 |
| Ca | 0.013 | 0.009 | 0.010 | 0.011 | 0.010 | 0.011 | 0.010 | 0.012 | 0.010 | 0.011 | 0.010 | 0.010 | 0.014 | 0.012 | 0.014 | 0.009 | 0.012 | 0.011 |
| Fe | - | - | - | - | - | - | - | - | - | - | 0.001 | - | - | 0.005 | - | 0.001 | 0.007 | 0.001 |
| P | 0.915 | 0.923 | 0.924 | 0.920 | 0.914 | 0.919 | 0.912 | 0.923 | 0.912 | 0.922 | 0.931 | 0.996 | 0.978 | 0.962 | 0.936 | 0.995 | 0.970 | 0.938 |
| Si | 0.082 | 0.079 | 0.080 | 0.086 | 0.085 | 0.083 | 0.084 | 0.083 | 0.084 | 0.080 | 0.070 | 0.008 | 0.017 | 0.020 | 0.053 | 0.008 | 0.030 | 0.061 |
| S | - | 0.003 | 0.001 | - | - | 0.001 | - | 0.003 | 0.002 | - | - | - | - | 0.001 | 0.001 | - | 0.004 | 0.001 |
| Th | 0.083 | 0.075 | 0.081 | 0.078 | 0.083 | 0.081 | 0.083 | 0.080 | 0.083 | 0.076 | 0.069 | 0.019 | 0.030 | 0.040 | 0.062 | 0.018 | 0.031 | 0.063 |
| U | 0.002 | 0.003 | 0.004 | 0.003 | 0.003 | 0.003 | 0.003 | 0.002 | 0.003 | 0.004 | 0.004 | 0.001 | 0.002 | 0.006 | 0.002 | 0.001 | 0.001 | 0.003 |
| Pb | 0.003 | 0.003 | 0.003 | 0.003 | 0.003 | 0.003 | 0.003 | 0.003 | 0.003 | 0.003 | 0.002 | - | 0.002 | 0.002 | 0.002 | - | 0.002 | 0.002 |
| Total | 2.006 | 2.000 | 1.999 | 2.002 | 2.004 | 2.002 | 2.006 | 1.998 | 2.004 | 2.004 | 2.002 | 1.997 | 2.003 | 2.009 | 2.008 | 1.997 | 2.002 | 2.003 |
| Oxides | S1 | S2 | S3 | S4 | S5 | S6 | S7 | S8 | S9 | S10 | S11 | S12 | S13 | S14 | S15 | S16 | S17 | Av |
|---|---|---|---|---|---|---|---|---|---|---|---|---|---|---|---|---|---|---|
| La2O3 | 3.91 | 3.98 | 4.04 | 3.76 | 3.97 | 4.08 | 3.83 | 3.73 | 3.81 | 3.81 | 3.80 | 3.89 | 3.88 | 3.85 | 3.98 | 4.23 | 4.03 | 3.92 |
| Ce2O3 | 12.12 | 12.24 | 12.55 | 12.03 | 12.71 | 12.71 | 12.24 | 12.06 | 12.31 | 12.43 | 12.42 | 12.57 | 12.69 | 12.76 | 12.23 | 12.84 | 12.52 | 12.44 |
| Pr2O3 | 1.63 | 1.67 | 1.88 | 1.72 | 1.96 | 1.65 | 1.82 | 1.86 | 1.78 | 1.74 | 1.92 | 1.82 | 1.87 | 1.92 | 1.87 | 1.89 | 1.85 | 1.81 |
| Nd2O3 | 7.11 | 6.99 | 7.31 | 7.32 | 7.16 | 7.05 | 7.36 | 7.04 | 7.07 | 7.05 | 7.12 | 7.17 | 7.16 | 7.27 | 7.09 | 7.20 | 7.08 | 7.15 |
| Sm2O3 | 13.81 | 13.60 | 13.86 | 14.16 | 13.25 | 13.67 | 13.75 | 13.44 | 13.96 | 13.53 | 13.73 | 13.52 | 13.47 | 13.68 | 13.89 | 13.34 | 13.93 | 13.68 |
| Eu2O3 | bdl | bdl | bdl | bdl | bdl | bdl | bdl | bdl | bdl | bdl | bdl | bdl | bdl | bdl | bdl | bdl | bdl | 0.00 |
| Gd2O3 | 5.73 | 5.56 | 5.47 | 5.74 | 5.45 | 5.68 | 5.76 | 5.47 | 5.80 | 5.40 | 5.77 | 5.66 | 5.05 | 5.60 | 5.14 | 5.28 | 5.60 | 5.54 |
| Tb2O3 | bdl | bdl | bdl | bdl | bdl | bdl | bdl | bdl | bdl | bdl | bdl | 0.06 | 0.07 | 0.02 | 0.10 | bdl | 0.09 | 0.02 |
| Dy2O3 | 0.34 | 0.27 | 0.28 | 0.29 | 0.25 | 0.27 | 0.27 | 0.38 | 0.39 | 0.34 | 0.27 | 0.39 | 0.37 | 0.35 | 0.31 | 0.20 | 0.24 | 0.31 |
| Y2O3 | 0.94 | 0.78 | 0.72 | 0.73 | 0.40 | 0.50 | 0.59 | 0.39 | 0.41 | 0.67 | 0.73 | 0.41 | 0.66 | 0.78 | 0.88 | 0.61 | 0.70 | 0.64 |
| CaO | 2.92 | 2.95 | 2.97 | 3.02 | 2.84 | 2.93 | 3.03 | 3.04 | 2.60 | 2.97 | 2.89 | 3.09 | 2.96 | 3.08 | 3.12 | 2.91 | 2.78 | 2.95 |
| FeO | bdl | bdl | bdl | bdl | bdl | bdl | bdl | 0.03 | bdl | bdl | bdl | bdl | bdl | bdl | bdl | bdl | 0.01 | 0.00 |
| P2O5 | 28.04 | 27.85 | 27.99 | 28.19 | 28.28 | 28.15 | 27.78 | 27.08 | 28.90 | 27.71 | 27.94 | 28.02 | 27.80 | 27.92 | 28.16 | 27.64 | 27.87 | 27.96 |
| SiO2 | 1.24 | 1.26 | 1.28 | 1.25 | 1.15 | 1.20 | 1.32 | 1.19 | 1.01 | 1.26 | 1.22 | 1.25 | 1.18 | 1.21 | 1.14 | 1.15 | 1.24 | 1.21 |
| SO3 | 0.02 | bdl | bdl | bdl | bdl | bdl | 0.18 | bdl | 0.03 | 0.06 | 0.09 | bdl | bdl | 0.05 | 0.11 | bdl | 0.14 | 0.04 |
| ThO2 | 17.44 | 17.30 | 17.67 | 17.49 | 17.56 | 17.78 | 18.59 | 16.32 | 17.82 | 17.91 | 18.22 | 17.80 | 17.44 | 17.48 | 17.28 | 18.07 | 17.47 | 17.63 |
| UO2 | 0.41 | 0.40 | 0.47 | 0.47 | 0.52 | 0.48 | 0.49 | 0.41 | 0.48 | 0.44 | 0.42 | 0.46 | 0.47 | 0.49 | 0.43 | 0.53 | 0.47 | 0.46 |
| PbO | 1.01 | 1.11 | 1.02 | 1.11 | 1.05 | 1.19 | 1.17 | 1.07 | 1.01 | 1.09 | 1.06 | 1.25 | 1.07 | 0.96 | 1.06 | 1.13 | 1.14 | 1.09 |
| Total | 96.67 | 95.95 | 97.49 | 97.26 | 96.54 | 97.34 | 98.17 | 93.50 | 97.37 | 96.43 | 97.61 | 97.36 | 96.14 | 97.41 | 96.77 | 97.02 | 97.16 | 96.83 |
| apfu | ||||||||||||||||||
| La | 0.059 | 0.060 | 0.061 | 0.056 | 0.060 | 0.061 | 0.057 | 0.058 | 0.057 | 0.058 | 0.057 | 0.059 | 0.059 | 0.058 | 0.060 | 0.064 | 0.061 | 0.059 |
| Ce | 0.182 | 0.185 | 0.187 | 0.179 | 0.185 | 0.190 | 0.182 | 0.187 | 0.180 | 0.187 | 0.185 | 0.188 | 0.192 | 0.191 | 0.182 | 0.194 | 0.187 | 0.186 |
| Pr | 0.024 | 0.025 | 0.028 | 0.025 | 0.029 | 0.025 | 0.027 | 0.029 | 0.026 | 0.026 | 0.029 | 0.027 | 0.028 | 0.028 | 0.028 | 0.028 | 0.028 | 0.027 |
| Nd | 0.104 | 0.103 | 0.106 | 0.106 | 0.105 | 0.103 | 0.107 | 0.106 | 0.105 | 0.104 | 0.104 | 0.105 | 0.106 | 0.106 | 0.103 | 0.106 | 0.103 | 0.105 |
| Sm | 0.195 | 0.193 | 0.195 | 0.199 | 0.196 | 0.192 | 0.193 | 0.196 | 0.200 | 0.192 | 0.193 | 0.190 | 0.191 | 0.192 | 0.195 | 0.189 | 0.196 | 0.194 |
| Gd | 0.078 | 0.076 | 0.074 | 0.077 | 0.073 | 0.077 | 0.078 | 0.077 | 0.077 | 0.074 | 0.078 | 0.077 | 0.069 | 0.076 | 0.069 | 0.072 | 0.076 | 0.075 |
| Tb | - | - | - | - | - | - | - | - | - | - | - | 0.001 | 0.001 | - | 0.001 | - | 0.001 | 0.000 |
| Dy | 0.004 | 0.004 | 0.004 | 0.004 | 0.005 | 0.004 | 0.004 | 0.005 | 0.004 | 0.005 | 0.003 | 0.005 | 0.005 | 0.005 | 0.004 | 0.003 | 0.003 | 0.004 |
| Y | 0.021 | 0.017 | 0.016 | 0.016 | 0.014 | 0.011 | 0.013 | 0.009 | 0.009 | 0.015 | 0.016 | 0.009 | 0.015 | 0.017 | 0.019 | 0.013 | 0.015 | 0.014 |
| Ca | 0.128 | 0.130 | 0.130 | 0.132 | 0.124 | 0.128 | 0.132 | 0.138 | 0.118 | 0.131 | 0.126 | 0.135 | 0.131 | 0.134 | 0.136 | 0.128 | 0.122 | 0.130 |
| Fe | - | - | - | - | - | - | - | 0.001 | - | - | - | - | - | - | - | - | - | 0.000 |
| P | 0.971 | 0.971 | 0.966 | 0.971 | 0.971 | 0.972 | 0.956 | 0.970 | 0.994 | 0.966 | 0.964 | 0.968 | 0.971 | 0.964 | 0.971 | 0.964 | 0.964 | 0.969 |
| Si | 0.051 | 0.052 | 0.052 | 0.051 | 0.052 | 0.049 | 0.054 | 0.050 | 0.037 | 0.052 | 0.050 | 0.051 | 0.049 | 0.050 | 0.047 | 0.047 | 0.051 | 0.050 |
| S | 0.001 | - | - | - | 0.001 | - | 0.005 | - | - | 0.002 | 0.003 | - | - | 0.001 | 0.003 | - | 0.004 | 0.001 |
| Th | 0.162 | 0.162 | 0.164 | 0.162 | 0.161 | 0.165 | 0.172 | 0.157 | 0.159 | 0.168 | 0.169 | 0.165 | 0.164 | 0.162 | 0.160 | 0.169 | 0.163 | 0.164 |
| U | 0.004 | 0.004 | 0.004 | 0.004 | 0.004 | 0.004 | 0.004 | 0.004 | 0.004 | 0.004 | 0.004 | 0.004 | 0.004 | 0.004 | 0.004 | 0.005 | 0.004 | 0.004 |
| Pb | 0.011 | 0.012 | 0.011 | 0.012 | 0.013 | 0.013 | 0.013 | 0.012 | 0.011 | 0.012 | 0.012 | 0.014 | 0.012 | 0.010 | 0.012 | 0.013 | 0.013 | 0.012 |
| Total | 1.993 | 1.994 | 1.997 | 1.995 | 1.992 | 1.993 | 1.996 | 2.000 | 1.981 | 1.994 | 1.993 | 1.997 | 1.995 | 1.999 | 1.995 | 1.997 | 1.992 | 1.994 |
| S1 | S2 | S3 | S4 | S5 | S6 | S7 | S8 | S9 | S10 | S11 | S12 | S13 | S14 | S15 | S16 | S17 | Av | |
|---|---|---|---|---|---|---|---|---|---|---|---|---|---|---|---|---|---|---|
| Sample 2a | ||||||||||||||||||
| ΣCe site | 1.008 | 0.996 | 0.994 | 0.996 | 1.005 | 0.999 | 1.011 | 0.989 | 1.005 | 1.001 | 1.002 | 0.993 | 1.008 | 1.026 | 1.018 | 0.994 | 0.998 | 1.003 |
| ΣP site | 0.997 | 1.005 | 1.005 | 1.006 | 0.999 | 1.003 | 0.996 | 1.009 | 0.999 | 1.002 | 1.001 | 1.004 | 0.995 | 0.983 | 0.990 | 1.004 | 1.004 | 1.000 |
| Σ[(REE3+,Y3+) + P5+] | 1.822 | 1.828 | 1.819 | 1.820 | 1.819 | 1.820 | 1.823 | 1.816 | 1.818 | 1.829 | 1.847 | 1.959 | 1.937 | 1.924 | 1.874 | 1.959 | 1.915 | 1.861 |
| Σ(Th4+ + Si4+) | 0.166 | 0.153 | 0.161 | 0.165 | 0.169 | 0.164 | 0.167 | 0.162 | 0.168 | 0.157 | 0.139 | 0.027 | 0.048 | 0.059 | 0.116 | 0.027 | 0.060 | 0.124 |
| 2 × Σ(REE3+,Y3+) | 1.814 | 1.810 | 1.789 | 1.802 | 1.809 | 1.802 | 1.822 | 1.785 | 1.812 | 1.814 | 1.831 | 1.925 | 1.918 | 1.925 | 1.876 | 1.926 | 1.891 | 1.844 |
| Σ(Ca2+ + Th4+) | 0.096 | 0.084 | 0.092 | 0.090 | 0.094 | 0.092 | 0.094 | 0.091 | 0.094 | 0.087 | 0.079 | 0.029 | 0.045 | 0.052 | 0.076 | 0.028 | 0.043 | 0.074 |
| Sample 4a | ||||||||||||||||||
| ΣSm site | 0.971 | 0.971 | 0.979 | 0.973 | 0.968 | 0.972 | 0.981 | 0.979 | 0.950 | 0.975 | 0.976 | 0.978 | 0.976 | 0.984 | 0.974 | 0.985 | 0.972 | 0.974 |
| ΣP site | 1.022 | 1.023 | 1.018 | 1.022 | 1.024 | 1.021 | 1.015 | 1.021 | 1.031 | 1.019 | 1.017 | 1.019 | 1.019 | 1.015 | 1.021 | 1.012 | 1.019 | 1.020 |
| Σ[(REE3+,Y3+) + P5+] | 1.637 | 1.634 | 1.635 | 1.634 | 1.636 | 1.633 | 1.615 | 1.637 | 1.652 | 1.626 | 1.629 | 1.628 | 1.636 | 1.636 | 1.633 | 1.634 | 1.635 | 1.634 |
| Σ(Th4+ + Si4+) | 0.213 | 0.214 | 0.216 | 0.213 | 0.214 | 0.214 | 0.226 | 0.208 | 0.195 | 0.220 | 0.219 | 0.216 | 0.212 | 0.212 | 0.207 | 0.217 | 0.213 | 0.213 |
| 3 × Sm3+ | 0.584 | 0.579 | 0.584 | 0.596 | 0.588 | 0.576 | 0.578 | 0.588 | 0.600 | 0.576 | 0.579 | 0.571 | 0.574 | 0.577 | 0.585 | 0.568 | 0.589 | 0.582 |
| Σ(Ce3+ + Ca2+ + Th4+) | 0.472 | 0.477 | 0.481 | 0.473 | 0.471 | 0.483 | 0.486 | 0.482 | 0.457 | 0.486 | 0.481 | 0.488 | 0.486 | 0.487 | 0.479 | 0.491 | 0.472 | 0.480 |
| Sample | EPMA Spots | Th (ppm) | U (ppm) | Pb (ppm) | Age (Ma) | Average Age (Ma) | Radiation Dose (α-Decay Events/mg) |
|---|---|---|---|---|---|---|---|
| 2a | A1 | 79,664 | 2424 | 2339 | 604 | 655 ± 39 | 4.68 × 1016 |
| A2 | 82,696 | 3693 | 2757 | 659 | |||
| A3 | 82,019 | 3015 | 2609 | 643 | |||
| A4 | 85,078 | 3623 | 2748 | 642 | |||
| A5 | 79,005 | 1745 | 2664 | 711 | |||
| A6 | 74,514 | 4531 | 2850 | 724 | |||
| A7 | 91,264 | 1075 | 2757 | 657 | |||
| A8 | 72,168 | 2459 | 2126 | 600 | |||
| A9 | 63,626 | 2583 | 2098 | 659 | |||
| 4a | A1 | 150,479 | 3976 | 9831 | 1360 | 1361 ± 90 | 1.93 × 1017 |
| A2 | 157,430 | 3914 | 10,147 | 1348 | |||
| A3 | 160,110 | 3693 | 9831 | 1291 | |||
| A4 | 156,419 | 4020 | 11,605 | 1548 | |||
| A5 | 153,264 | 4099 | 9971 | 1353 | |||
| A6 | 153,590 | 4311 | 8866 | 1196 | |||
| A7 | 151,832 | 3746 | 9822 | 1353 | |||
| A8 | 158,827 | 4672 | 10,500 | 1364 | |||
| A9 | 153,546 | 4169 | 10,593 | 1433 |
| 2a | 4a | |||
|---|---|---|---|---|
| Phase 2a Monazite-(Ce) | Phase 2b Monazite-(Ce) | Phase 2c Xenotime-(Y) | Monazite-(Sm) | |
| Space group | P21/n | P21/n | I41/amd | P21/n |
| a (Å) | 6.8072(1) | 6.7551(2) | 6.90706(9) | 6.73167(6) |
| b (Å) | 7.00689(8) | 6.9804(2) | 6.94489(5) | |
| c (Å) | 6.47476(7) | 6.4687(1) | 6.0348(1) | 6.44964(5) |
| β (°) | 103.781(1) | 103.707(2) | 103.899(1) | |
| V (Å3) | 299.940(7) | 296.34(1) | 287.906(8) | 292.697(4) |
| wt. % | 30.5(2) | 66.0(2) | 3.5(1) | 100 |
| 1 Ndata | 29,948 | 37,505 | ||
| 2 Nobs | 1964 | 1375 | ||
| Variables | 85 | 54 | ||
| 3 Overall R (F2) | 0.0157 | 0.0176 | ||
| wRp | 0.0534 | 0.0539 | ||
| Reduced χ2 | 2.289 | 1.767 | ||
| λ (Å) | 0.45900(2) | 0.41370(2) | ||
| 2θ range | 4.5–34.5° | 2–39.5° | ||
| Sample No. | Phases | Atom | Sof | x | y | z | Uiso |
|---|---|---|---|---|---|---|---|
| 2a | Phase 2a | Ce | 1.120(5) | 0.2842(1) | 0.1597(1) | 0.0985(1) | 1.02(1) |
| P | 1 | 0.3121(7) | 0.1623(6) | 0.6186(6) | 1.33(5) | ||
| O1 | 1 | 0.2542(13) | 0.0113(9) | 0.4434(11) | 0.49(7) | ||
| O2 | 1 | 0.3960(11) | 0.3297(9) | 0.5134(12) | 0.49(7) | ||
| O3 | 1 | 0.4722(10) | 0.1008(11) | 0.8166(9) | 0.49(7) | ||
| O4 | 1 | 0.1158(9) | 0.2167(10) | 0.6792(11) | 0.49(7) | ||
| Phase 2b | Ce | 0.903(3) | 0.2794(1) | 0.1580(2) | 0.1013(2) | 1.02(1) | |
| P | 1 | 0.2913(5) | 0.1598(6) | 0.6040(5) | 1.33(5) | ||
| O1 | 1 | 0.2365(11) | 0.0100(8) | 0.4262(9) | 0.49(7) | ||
| O2 | 1 | 0.3749(8) | 0.3281(7) | 0.4968(10) | 0.49(7) | ||
| O3 | 1 | 0.4654(7) | 0.1133(9) | 0.7964(7) | 0.49(7) | ||
| O4 | 1 | 0.1313(8) | 0.2191(9) | 0.7227(9) | 0.49(7) | ||
| Phase 2c | Y | 1.252(11) | 0 | 0.75 | 0.125 | 1.02(1) | |
| P | 1 | 0 | 0.25 | 0.375 | 1.33(5) | ||
| O | 1 | 0 | 0.0642(1) | 0.2369(2) | 0.49(7) | ||
| 4a | Sm | 0.912(2) | 0.27989(5) | 0.15813(5) | 0.10053(5) | 1.01(1) | |
| P | 1 | 0.3008(2) | 0.1628(2) | 0.6095(2) | 1.08(4) | ||
| O1 | 1 | 0.2466(4) | 0.0029(3) | 0.4420(4) | 1.14(5) | ||
| O2 | 1 | 0.3828(4) | 0.3324(3) | 0.5028(4) | 1.14(5) | ||
| O3 | 1 | 0.4727(3) | 0.1040(4) | 0.8008(3) | 1.14(5) | ||
| O4 | 1 | 0.1258(4) | 0.2123(4) | 0.7135(4) | 1.14(5) |
| 2a | 4a | |||||
|---|---|---|---|---|---|---|
| Phase-2a Monazite-(Ce) | Phase-2b Monazite-(Ce) | Phase-2c Xenotime-(Y) | Monazite-(Sm) | |||
| Ce-O1′ | 2.515(8) | 2.420(6) | Y-O′ × 4 | 2.273(1) | Sm-O1′ | 2.510(3) |
| Ce-O1″ | 2.486(5) | 2.464(5) | Y-O″ × 4 | 2.533(1) | Sm-O1″ | 2.411(2) |
| Ce-O2′ | 2.870(8) | 2.755(7) | Sm-O2′ | 2.795(3) | ||
| Ce-O2″ | 2.637(7) | 2.545(5) | Sm-O2″ | 2.532(2) | ||
| Ce-O2‴ | 2.569(7) | 2.657(5) | Sm-O2‴ | 2.596(2) | ||
| Ce-O3′ | 2.501(8) | 2.596(5) | Sm-O3′ | 2.602(2) | ||
| Ce-O3″ | 2.439(6) | 2.541(5) | Sm-O3″ | 2.446(2) | ||
| Ce-O4′ | 2.713(7) | 2.453(6) | Sm-O4′ | 2.491(3) | ||
| Ce-O4″ | 2.357(5) | 2.473(5) | Sm-O4″ | 2.439(2) | ||
| <Ce-O> [9] | 2.565(7) | 2.545(4) | <Y-O> [8] | 2.403(1) | <Sm-O> [9] | 2.536(2) |
| Ce-P′ | 3.158(4) | 3.237(4) | Y-P | 3.0174(1) | Sm-P′ | 3.204(1) |
| Ce-P″ | 3.327(4) | 3.234(4) | Sm-P″ | 3.252(1) | ||
| P-O1 | 1.533(2) | 1.533(2) | P-O1 | 1.5316(7) | ||
| P-O2 | 1.533(2) | 1.538(2) | P-O2 | 1.5319(7) | ||
| P-O3 | 1.533(2) | 1.531(2) | P-O3 | 1.5304(6) | ||
| P-O4 | 1.528(2) | 1.524(2) | P-O4 | 1.5282(6) | ||
| <P-O> [4] | 1.532(2) | 1.532(2) | P-O × 4 | 1.530(1) | <P-O> [4] | 1.5305(7) |
| O1-P-O2 | 104.9(5) | 103.4(4) | O-P-O′ × 4 | 107.25(4) | O1-P-O2 | 106.9(2) |
| O1-P-O3 | 115.5(5) | 117.9(5) | O-P-O″ × 2 | 114.01(9) | O1-P-O3 | 112.4(2) |
| O1-P-O4 | 106.0(5) | 119.3(4) | <O-P-O> [6] | 109.50(6) | O1-P-O4 | 113.2(2) |
| O2-P-O3 | 108.7(5) | 103.6(3) | O2-P-O3 | 106.4(2) | ||
| O2-P-O4 | 111.4(5) | 113.5(5) | O2-P-O4 | 115.0(2) | ||
| O3-P-O4 | 110.2(5) | 98.5(4) | O3-P-O4 | 102.7(2) | ||
| <O-P-O> [6] | 109.5(5) | 109.4(4) | <O-P-O> [6] | 109.5(2) | ||
Publisher’s Note: MDPI stays neutral with regard to jurisdictional claims in published maps and institutional affiliations. |
© 2020 by the authors. Licensee MDPI, Basel, Switzerland. This article is an open access article distributed under the terms and conditions of the Creative Commons Attribution (CC BY) license (http://creativecommons.org/licenses/by/4.0/).
Share and Cite
Zaman, M.M.; Antao, S.M. A Possible Radiation-Induced Transition from Monazite-(Ce) to Xenotime-(Y). Minerals 2021, 11, 16. https://doi.org/10.3390/min11010016
Zaman MM, Antao SM. A Possible Radiation-Induced Transition from Monazite-(Ce) to Xenotime-(Y). Minerals. 2021; 11(1):16. https://doi.org/10.3390/min11010016
Chicago/Turabian StyleZaman, M. Mashrur, and Sytle M. Antao. 2021. "A Possible Radiation-Induced Transition from Monazite-(Ce) to Xenotime-(Y)" Minerals 11, no. 1: 16. https://doi.org/10.3390/min11010016
APA StyleZaman, M. M., & Antao, S. M. (2021). A Possible Radiation-Induced Transition from Monazite-(Ce) to Xenotime-(Y). Minerals, 11(1), 16. https://doi.org/10.3390/min11010016

