Numerical Modeling of a Laboratory-Scale Waste Rock Pile Featuring an Engineered Cover System
Abstract
1. Introduction
Site Background
2. Materials and Methods
2.1. Laboratory Methods
2.1.1. Design of Experiment and Construction
2.1.2. Flow Measurements
2.1.3. Geochemical Monitoring
2.2. Numerical Methods
2.2.1. Reactive Transport Code MIN3P-HPC
2.2.2. Flow Model and Calibration
2.2.3. Reactive Transport Model and Calibration for Leachate Concentrations
2.3. Reduced Infiltration Scenario Analysis
2.4. Assumptions and Limitations
3. Results
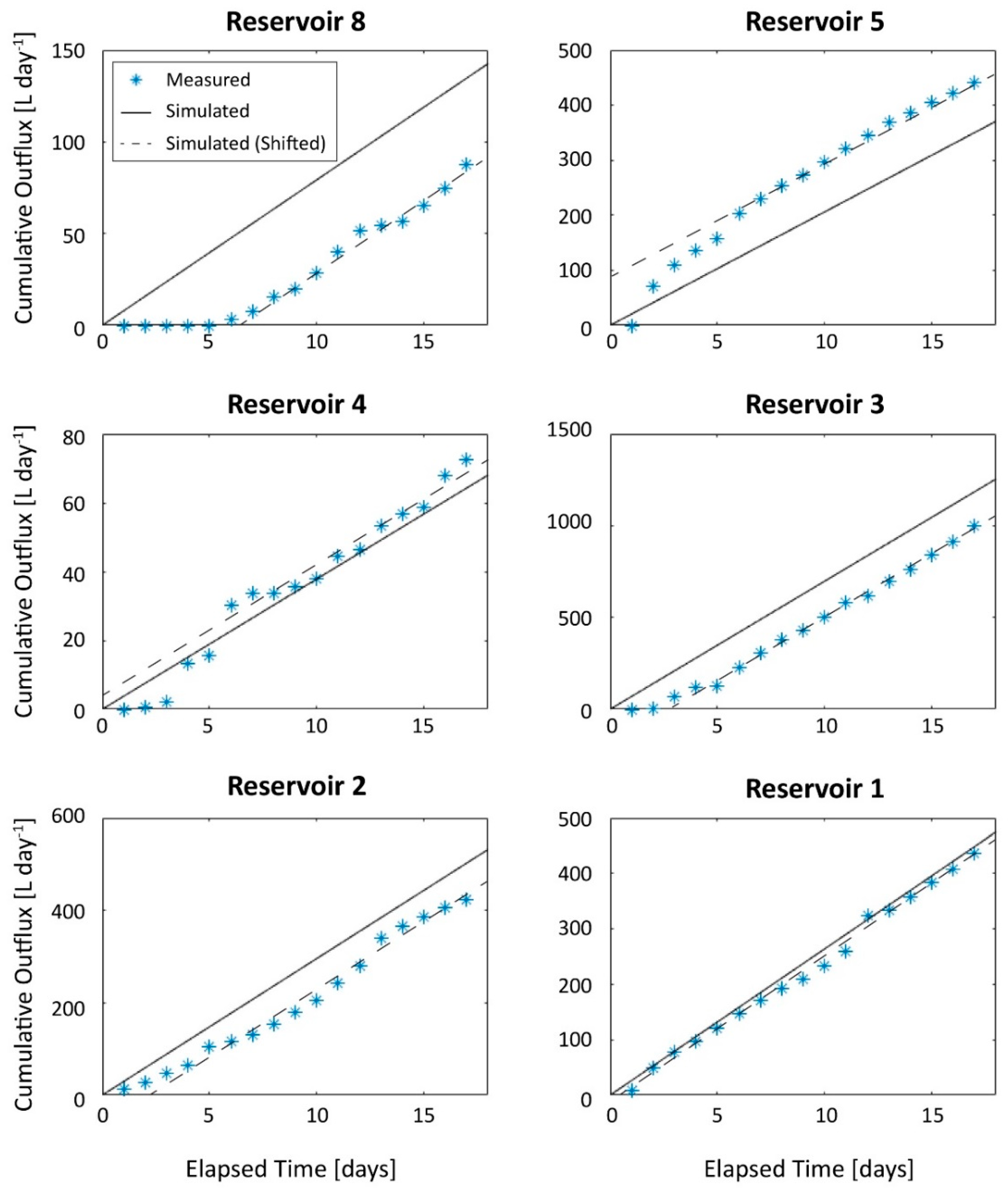
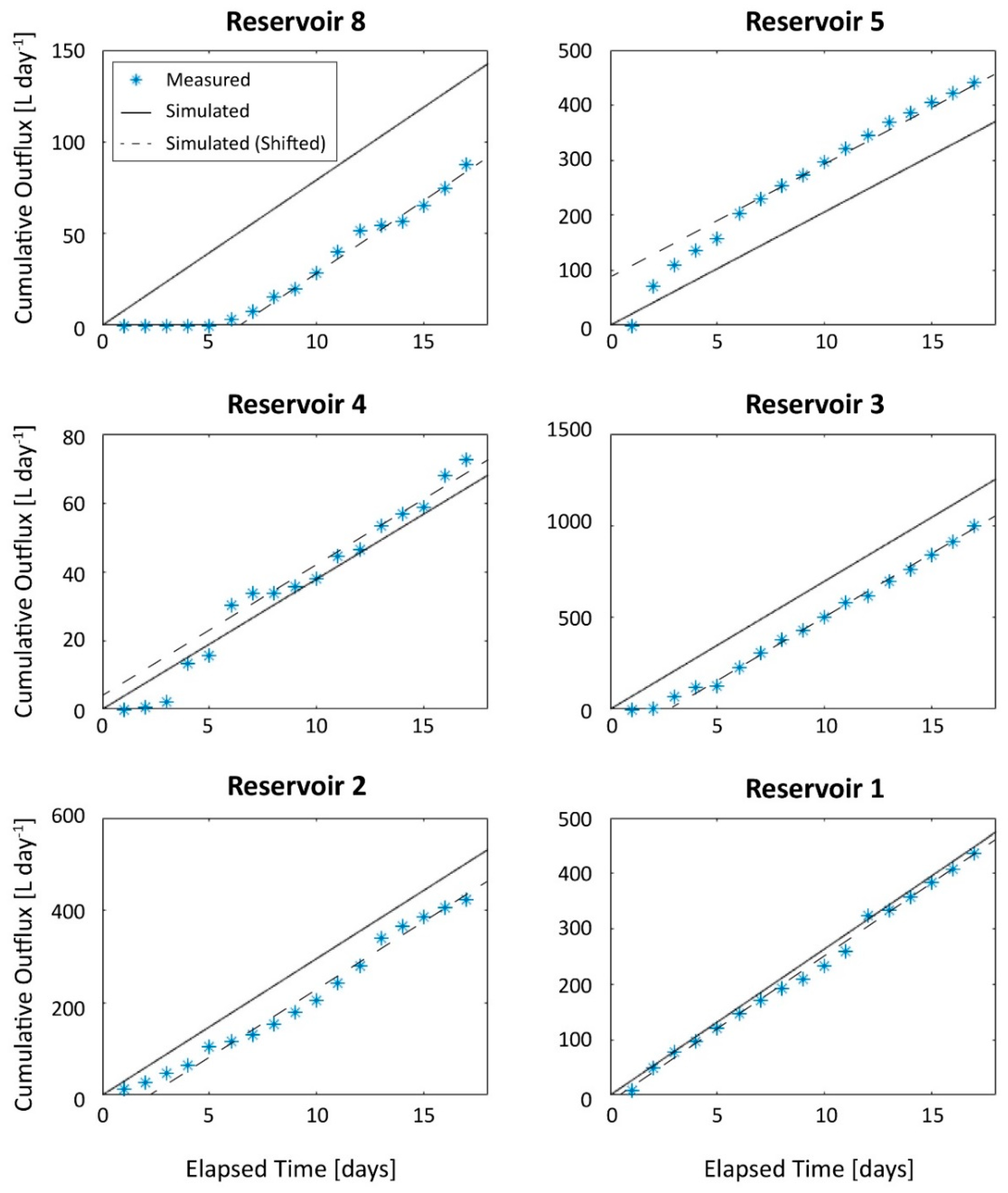
3.1. Drainage Rates and Internal Fluid Flow Pathways
3.2. Solute Concentrations in Drainage
3.3. Reduced Infiltration Scenario Analysis
4. Discussion
4.1. Implications of Results from Flow Modeling
4.2. Implications of Results from Reactive Transport Modeling
5. Conclusions
Author Contributions
Funding
Acknowledgments
Conflicts of Interest
Appendix A. Experimental Details and Material Properties


Appendix B. Model Discretization

Appendix C. Statistical Analysis of Major Component Concentrations in Drainage Waters
| Res 1 | |||||||||
|---|---|---|---|---|---|---|---|---|---|
| Component | Al | Ca | Fe | K | Mg | Na | Ni | S | Si |
| Average | 0.22 | 30.70 | 0.07 | 1.72 | 4.47 | 6.93 | 0.28 | 25.44 | 3.86 |
| Median | 0.16 | 29.30 | 0.05 | 1.52 | 4.03 | 6.81 | 0.06 | 23.80 | 3.83 |
| Standard deviation | 0.16 | 2.09 | 0.03 | 0.45 | 1.09 | 0.46 | 0.50 | 3.79 | 0.16 |
| Coefficient of variation | 1.03 | 0.07 | 0.54 | 0.30 | 0.27 | 0.07 | 8.59 | 0.16 | 0.04 |
| Res 2 | |||||||||
| Component | Al | Ca | Fe | K | Mg | Na | Ni | S | Si |
| Average | 0.12 | 30.56 | 0.17 | 1.63 | 4.45 | 6.79 | 0.30 | 26.08 | 3.62 |
| Median | 0.10 | 29.00 | 0.15 | 1.61 | 4.39 | 6.52 | 0.28 | 25.20 | 3.59 |
| Standard deviation | 0.05 | 3.74 | 0.07 | 0.11 | 0.20 | 0.41 | 0.09 | 1.73 | 0.13 |
| Coefficient of variation | 0.46 | 0.13 | 0.50 | 0.07 | 0.05 | 0.06 | 0.33 | 0.07 | 0.04 |
| Res 3 | |||||||||
| Component | Al | Ca | Fe | K | Mg | Na | Ni | S | Si |
| Average | 0.05 | 32.23 | 0.04 | 2.13 | 5.56 | 6.69 | 1.46 | 30.68 | 3.41 |
| Median | 0.05 | 29.20 | 0.04 | 2.12 | 5.68 | 6.64 | 1.45 | 30.75 | 3.43 |
| Standard deviation | 0.01 | 6.26 | 0.01 | 0.08 | 0.29 | 0.43 | 0.28 | 0.94 | 0.08 |
| Coefficient of variation | 0.33 | 0.21 | 0.17 | 0.04 | 0.05 | 0.06 | 0.19 | 0.03 | 0.02 |
| Res 4 | |||||||||
| Component | Al | Ca | Fe | K | Mg | Na | Ni | S | Si |
| Average | 0.02 | 29.17 | 0.07 | 2.32 | 5.98 | 6.57 | 1.90 | 31.20 | 3.45 |
| Median | 0.02 | 28.75 | 0.08 | 2.31 | 6.04 | 6.47 | 1.95 | 31.45 | 3.44 |
| Standard deviation | 0.01 | 2.02 | 0.01 | 0.07 | 0.19 | 0.39 | 0.16 | 0.97 | 0.12 |
| Coefficient of variation | 0.40 | 0.07 | 0.15 | 0.03 | 0.03 | 0.06 | 0.08 | 0.03 | 0.03 |
| Res 5 | |||||||||
| Component | Al | Ca | Fe | K | Mg | Na | Ni | S | Si |
| Average | 0.05 | 31.80 | 0.05 | 2.42 | 6.44 | 6.61 | 1.10 | 31.92 | 3.89 |
| Median | 0.02 | 32.80 | 0.05 | 2.59 | 7.10 | 6.55 | 1.37 | 34.30 | 3.90 |
| Standard deviation | 0.07 | 2.29 | 0.01 | 0.47 | 1.42 | 0.15 | 0.58 | 4.97 | 0.10 |
| Coefficient of variation | 3.86 | 0.07 | 0.20 | 0.18 | 0.20 | 0.02 | 0.43 | 0.14 | 0.02 |
| Res 8 | |||||||||
| Component | Al | Ca | Fe | K | Mg | Na | Ni | S | Si |
| Average | 0.02 | 38.62 | 0.09 | 3.23 | 9.99 | 6.60 | 2.57 | 51.63 | 5.31 |
| Median | 0.02 | 39.05 | 0.09 | 3.25 | 10.10 | 6.59 | 2.60 | 52.40 | 5.33 |
| Standard deviation | 0.01 | 1.83 | 0.01 | 0.11 | 0.52 | 0.24 | 0.13 | 2.71 | 0.18 |
| Coefficient of variation | 0.39 | 0.05 | 0.12 | 0.03 | 0.05 | 0.04 | 0.05 | 0.05 | 0.03 |
Appendix D. Results of Sensitivity Analysis for Reduced Infiltration Rate

References
- Lawrence, R.W.; Wang, Y. Determination of Neutral Potential for Acid Rock Drainage Prediction; MEND Report 1.16.13; MEND: Smithers, BC, Canada, 1 July 1996; p. 89. [Google Scholar]
- Blowes, D.; Ptacek, C.; Jambor, J.; Weisener, C. The Geochemistry of Acid Mine Drainage. In Treatise on Geochemistry; Elsevier BV: Amsterdam, The Netherlands, 2003; Volume 9, pp. 149–204. [Google Scholar]
- MEND. Review of Water Quality Issues in Neutral pH Drainage: Examples and Emerging Priorities for the Mining Industry in Canada; MEND Report 10.12004; MEND: Smithers, BC, Canada, 2004; p. 58. [Google Scholar]
- Price, W.A. Prediction Manual for Drainage Chemistry from Sulphidic Geologic Materials; MEND Report 1.20.1.; MEND: Smithers, BC, Canada, 2009; p. 88. [Google Scholar]
- Vriens, B.; Arnault, M.S.; Laurenzi, L.; Smith, L.; Mayer, K.U.; Beckie, R.D. Localized Sulfide Oxidation Limited by Oxygen Supply in a Full-Scale Waste-Rock Pile. Vadose Zone J. 2018, 17, 180119. [Google Scholar] [CrossRef]
- Sherlock, E.J.; Lawrence, R.W.; Poulin, R. On the neutralization of acid rock drainage by carbonate and silicate minerals. Environ. Earth Sci. 1995, 25, 43–54. [Google Scholar] [CrossRef]
- Price, W.A.; Errington, J.C. Guidelines for Metal Leaching and Acid Rock Drainage at Mine Sites in British Columbia; Ministry of Energy Mines: Victoria, BC, Canada, 1998; pp. 1–92.
- Tremblay, G.A.; Hogan, C.M. Mine Environment Neutral Drainage (MEND) Manual 5.4.2d: Prevention and Control; MEND Report 5.4.2; MEND: Smithers, BC, Canada, 2001; p. 352. [Google Scholar]
- MEND. Design, Construction, and Performance Monitoring of Cover Systems for Waste Rock and Tailings; MEND Report 2.21.4a; MEND: Smithers, BC, Canada, 2004; Volume 1, p. 82. [Google Scholar]
- Haug, M.D. A Review of a Non-Traditional Dry Cover; MEND Report 2.21.3b; MEND: Smithers, BC, Canada, 2002; p. 142. [Google Scholar]
- Johnson, D.B.; Hallberg, K.B. Acid mine drainage remediation options: A review. Sci. Total. Environ. 2005, 338, 3–14. [Google Scholar] [CrossRef] [PubMed]
- INAP GARD Guide. Available online: http://www.gardguide.com/index.php?title=Main_Page (accessed on 11 February 2020).
- Linklater, C.M.; Sinclair, D.J.; Brown, P.L. Coupled chemistry and transport modelling of sulphidic waste rock dumps at the Aitik mine site, Sweden. Appl. Geochem. 2005, 20, 275–293. [Google Scholar] [CrossRef]
- Molson, J.; Fala, O.; Aubertin, M.; Bussière, B. Numerical simulations of pyrite oxidation and acid mine drainage in unsaturated waste rock piles. J. Contam. Hydrol. 2005, 78, 343–371. [Google Scholar] [CrossRef] [PubMed]
- Fala, O.; Molson, J.; Aubertin, M.; Dawood, I.; Bussière, B.; Chapuis, R. A numerical modelling approach to assess long-term unsaturated flow and geochemical transport in a waste rock pile. Int. J. Min. Reclam. Environ. 2012, 27, 38–55. [Google Scholar] [CrossRef]
- Mayer, K.U.; Alt-Epping, P.; Jacques, D.; Arora, B.; Steefel, C.I. Benchmark problems for reactive transport modeling of the generation and attenuation of acid rock drainage. Comput. Geosci. 2015, 19, 599–611. [Google Scholar] [CrossRef]
- Mayer, K.U.; Amos, R.T.; Blowes, D.W.; Wilson, D.; Bea, S.A.; Dipple, G.M.; Romano, C.; Su, D.; Raymond, K. Reactive Transport Modeling in Mine Waste Management—Part 1: Examination of its Role Based on Past and Present Applications. In Proceedings of the 26th Annual BC/MEND Metal Leaching/Acid Rock Drainage Workshop, Vancouver, BC, Canada, 12–16 August 2019. [Google Scholar]
- Amos, R.; Blowes, D.W.; Bailey, B.L.; Sego, D.C.; Smith, L.; Ritchie, A.I.M. Waste-Rock hydrogeology and geochemistry. Appl. Geochem. 2015, 57, 140–156. [Google Scholar] [CrossRef]
- Shokri, B.J.; Ardejani, F.D.; Ramazi, H.; Moradzadeh, A. Predicting pyrite oxidation and multi-component reactive transport processes from an abandoned coal waste pile by comparing 2D numerical modeling and 3D geo-electrical inversion. Int. J. Coal Geol. 2016, 164, 13–24. [Google Scholar] [CrossRef]
- Lahmira, B.; Lefebvre, R.; Aubertin, M.; Bussière, B. Effect of material variability and compacted layers on transfer processes in heterogeneous waste rock piles. J. Contam. Hydrol. 2017, 204, 66–78. [Google Scholar] [CrossRef]
- Blackmore, S.; Vriens, B.; Sorensen, M.; Power, I.M.; Smith, L.; Hallam, S.J.; Mayer, K.U.; Beckie, R.D. Microbial and geochemical controls on waste rock weathering and drainage quality. Sci. Total. Environ. 2018, 640–641, 1004–1014. [Google Scholar] [CrossRef] [PubMed]
- Wilson, D.; Amos, R.T.; Blowes, D.W.; Langman, J.B.; Smith, L.; Sego, D.C. Diavik Waste Rock Project: Scale-up of a reactive transport model for temperature and sulfide-content dependent geochemical evolution of waste rock. Appl. Geochem. 2018, 96, 177–190. [Google Scholar] [CrossRef]
- Su, D.; Mayer, K.U.; MacQuarrie, K.T.B. Numerical investigation of flow instabilities using fully unstructured discretization for variably saturated flow problems. Adv. Water Resour. 2020, 143, 103673. [Google Scholar] [CrossRef]
- Plante, B.; Benzaazoua, M.; Bussière, B. Kinetic Testing and Sorption Studies by Modified Weathering Cells to Characterize the Potential to Generate Contaminated Neutral Drainage. Mine Water Environ. 2010, 30, 22–37. [Google Scholar] [CrossRef]
- Plante, B.; Bussière, B.; Benzaazoua, M. Lab to field scale effects on contaminated neutral drainage prediction from the Tio mine waste rocks. J. Geochem. Explor. 2014, 137, 37–47. [Google Scholar] [CrossRef]
- Aubertin, M.; Cifuentes, E.; Apithy, S.A.; Bussière, B.; Molson, J.; Chapuis, R.P. Analyses of water diversion along inclined covers with capillary barrier effects. Can. Geotech. J. 2009, 46, 1146–1164. [Google Scholar] [CrossRef]
- Dubuc, J.; Pabst, T.; Aubertin, M. An Assessment of the Hydrogeological Response of the Flow Control Layer Installed on the Experimental Waste Rock Pile at the Lac Tio Mine. In Proceedings of the 70th Canadian Geotechnical Conference, Ottawa, ON, Canada, 1–4 October 2017. [Google Scholar]
- Dimech, A.; Chouteau, M.; Martin, V.; Aubertin, M.; Bussière, B.; Plante, B. 3D Time-Lapse geoelectrical monitoring of moisture content in an experimental waste rock pile: Validation using hydrogeological data. Symp. Appl. Geophys. Eng. Environ. Prob. 2018. [Google Scholar] [CrossRef]
- Dimech, A.; Chouteau, M.; Aubertin, M.; Bussière, B.; Martin, V.; Plante, B. Three-Dimensional Time-Lapse Geoelectrical Monitoring of Water Infiltration in an Experimental Mine Waste Rock Pile. Vadose Zone J. 2019, 18, 1–19. [Google Scholar] [CrossRef]
- Martin, V.; Bussière, B.; Plante, B.; Pabst, T.; Aubertin, M.; Medina, F.; Bréard-Lanoix, M.L.; Dimech, A.; Dubuc, J.; Poaty, B.; et al. Controlling water infiltration in waste rock piles: Design, construction, and monitoring of a large-scale in-situ pilot test pile. In Proceedings of the 70th Canadian Geotechnical Conference, Ottawa, ON, Canada, 1–4 October 2017. [Google Scholar]
- Poaty, B. Comportement Hydrogéochimique Des Stériles D’une Halde Expérimentale Visant à Limiter la Production du Drainage Neutre Contaminé par Contrôle des Écoulements. Ph.D. Thesis, Université du Québec en Abitibi-Témiscamingue, Rouyn-Noranda, QC, Canada, 2020. [Google Scholar]
- Bussière, B.; Plante, B.; Broda, S.; Aubertin, M.; Chen, D.; Medina, F. Water infiltration control in waste rock piles with capillary barrier effects: Design, construction and instrumentation of the experimental waste rock pile in the Lac Tio mine (in French). In Proceedings of the Symposium on Environment and Mines, Rouyn-Noranda, QC, Canada, 14–17 June 2015. [Google Scholar]
- Plante, B.; Benzaazoua, M.; Bussière, B.; Biesinger, M.; Pratt, A. Study of Ni sorption onto Tio mine waste rock surfaces. Appl. Geochem. 2010, 25, 1830–1844. [Google Scholar] [CrossRef]
- Plante, B.; Benzaazoua, M.; Bussière, B. Predicting Geochemical Behaviour of Waste Rock with Low Acid Generating Potential Using Laboratory Kinetic Tests. Mine Water Environ. 2010, 30, 2–21. [Google Scholar] [CrossRef]
- Li, M.G. Acid rock drainage prediction for low-sulfide, low-neutralization potential mine wastes. In Proceedings of the 5th International Conference on Acid Rock Drainage (ICARD), Denver, CO, USA, 20–26 May 2000; pp. 567–580. [Google Scholar]
- Jambor, J.L.; Dutrizac, J.E.; Raudsepp, M. Measured and computed neutralization potentials from static tests of diverse rock types. Environ. Earth Sci. 2006, 52, 1173–1185. [Google Scholar] [CrossRef]
- Oelkers, E.H.; Schott, J. An experimental study of enstatite dissolution rates as a function of pH, temperature, and aqueous Mg and Si concentration, and the mechanism of pyroxene/pyroxenoid dissolution. Geochim. Cosmochim. Acta 2001, 65, 1219–1231. [Google Scholar] [CrossRef]
- Zakaznova-Herzog, V.; Nesbitt, H.W.; Bancroft, G.; Tse, J. Characterization of leached layers on olivine and pyroxenes using high-resolution XPS and density functional calculations. Geochim. Cosmochim. Acta 2008, 72, 69–86. [Google Scholar] [CrossRef]
- Stoch, L. Transformations of Micas in the Process of Kaolinitization of Granites and Gneisses. Clays Clay Min. 1976, 24, 156–162. [Google Scholar] [CrossRef]
- Fala, O.; Aubertin, M.; Molson, J.W.; Bussière, B.; Wilson, W.G.; Chapuis, R.P.; Martin, V. Numerical Modelling of Unsaturated Flow in Uniform and Heterogeneous Waste Rock Piles. In Proceedings of the 6th International Conference on Acid Rock Drainage (ICARD), Cairns, QL, Australia, 14–17 July 2003; pp. 12–18. [Google Scholar]
- Bréard-Lanoix, M.L. Characterization of Hydrogeological Properties of the Flow Control Layer Constructed on the Top of the Experimental Waste Rock Pile in the Lac Tio Mine (in French). Ph.D. Thesis, Mémoire de Maîtrise, Polytechnique de Montréal, Montréal, QC, Canada, 2017. [Google Scholar]
- NOAA ESRL Global Monitoring Laboratory—One Year of CO2 Daily and Weekly Means at Mauna Loa. Available online: https://www.esrl.noaa.gov/gmd/webdata/ccgg/trends/co2_weekly_mlo.pdf (accessed on 18 October 2019).
- Bea, S.A.; Mayer, K.U.; MacQuarrie, K.T.B. Reactive transport and thermo-hydro-mechanical coupling in deep sedimentary basins affected by glaciation cycles: Model development, verification, and illustrative example. Geofluids 2015, 16, 279–300. [Google Scholar] [CrossRef]
- Su, D.; Mayer, K.U.; MacQuarrie, K.T. Parallelization of MIN3P-THCm: A high performance computational framework for subsurface flow and reactive transport simulation. Environ. Model. Softw. 2017, 95, 271–289. [Google Scholar] [CrossRef]
- Xie, M.; Su, D.; Mayer, K.U.; Macquarrie, K. A Three-dimensional Numerical Model for Multicomponent Reactive Transport in Variably Saturated Porous Media: Verification and demonstration reports (draft). Unpublished work. 2015; 1–165. [Google Scholar]
- Henderson, T.; Mayer, K.U.; Parker, B.L.; Al, T.A. Three-dimensional density-dependent flow and multicomponent reactive transport modeling of chlorinated solvent oxidation by potassium permanganate. J. Contam. Hydrol. 2009, 106, 195–211. [Google Scholar] [CrossRef] [PubMed]
- Mayer, K.U.; MacQuarrie, K.T.B. Solution of the MoMaS reactive transport benchmark with MIN3P—Model formulation and simulation results. Comput. Geosci. 2009, 14, 405–419. [Google Scholar] [CrossRef]
- Mayer, K.U.; Frind, E.O.; Blowes, D.W. Multicomponent reactive transport modeling in variably saturated porous media using a generalized formulation for kinetically controlled reactions. Water Resour. Res. 2002, 38, 13–21. [Google Scholar] [CrossRef]
- Intissar, R. Apport des Méthodes Électriques à la Détermination de la Structure Interne d‘Une Halde à Stériles. Ph.D. Thesis, Mémoire de Maîtrise, Polytechnique de Montréal, Montréal, QC, Canada, 2009. [Google Scholar]
- Peregoedova, A. Étude Expérimentale des Propriétés Hydrogéologiques des Roches Stériles à une Échelle Intermédiaire de Laboratoire, Polytechnique, Montreal. Ph.D. Thesis, Mémoire de Maîtrise, Polytechnique de Montréal, Montréal, QC, Canada, 2012. [Google Scholar]
- Van Genuchten, M.T. A Closed-form Equation for Predicting the Hydraulic Conductivity of Unsaturated Soils. Soil Sci. Soc. Am. J. 1980, 44, 892–898. [Google Scholar] [CrossRef]
- Ball, J.; Nordstrom, D.K. User’s manual for WATEQ4F, with revised thermodynamic data base and text cases for calculating speciation of major, trace, and redox elements in natural waters. Open-File Rep. 1991. [Google Scholar] [CrossRef]
- Demers, I.; Molson, J.; Bussiere, B.; Laflamme, D. Numerical modeling of contaminated neutral drainage from a waste-rock field test cell. Appl. Geochem. 2013, 33, 346–356. [Google Scholar] [CrossRef]
- Williamson, M.A.; Kirby, C.S.; Rimstidt, J.D. Iron Dynamics in acid mine drainage. J. Am. Soc. Min. Reclam. 2006, 2006, 2411–2423. [Google Scholar] [CrossRef]
- Blum, A.E.; Stillings, L.L. Chemical weathering rates of silicate minerals. Rev. Mineral. 1995, 31, 291–351. [Google Scholar]
- Brantley, S.; Chen, Y. Chapter 4. Chemical Weathering rates of pyroxenes and amphiboles. Chem. Weather. Rates Silic. Miner. 1995, 31, 119–172. [Google Scholar] [CrossRef]
- Nagy, K.L. Chapter 5. Dissolution and precipitation kinetics of sheet silicates. Chem. Weather. Rates Silic. Miner. 1995, 31, 173–234. [Google Scholar] [CrossRef]
- Allison, J.D.; Brown, W.; Novo-Gradac, K.J. MINTEQA2/PRODEFA2, A Geochemical Assessment Model for Environmental Systems: Version 3.0 User’s Manual; EPA/600/3-91/021; Environmental Research Laboratory, U.S. Environmental Protection Agency: Washington, DC, USA, 1991.
- Lehner, S.; Savage, K. The effect of As, Co, and Ni impurities on pyrite oxidation kinetics: Batch and flow-through reactor experiments with synthetic pyrite. Geochim. Cosmochim. Acta 2008, 72, 1788–1800. [Google Scholar] [CrossRef]
- Nicholson, R.V.; Gillham, R.W.; Reardon, E.J. Pyrite oxidation in carbonate-buffered solution: 1. Experimental kinetics. Geochim. Cosmochim. Acta 1988, 52, 1077–1085. [Google Scholar] [CrossRef]
- Broda, S.; Aubertin, M.; Blessent, D.; Hirthe, E.; Graf, T. Improving control of contamination from waste rock piles. Environ. Geotech. 2017, 4, 274–283. [Google Scholar] [CrossRef]
- Erguler, Z.A.; Erguler, G.K. The effect of particle size on acid mine drainage generation: Kinetic column tests. Min. Eng. 2015, 76, 154–167. [Google Scholar] [CrossRef]
- Elghali, A.; Benzaazoua, M.; Bussière, B.; Bouzahzah, H. Determination of the available acid-generating potential of waste rock, part II: Waste management involvement. Appl. Geochem. 2019, 100, 316–325. [Google Scholar] [CrossRef]
- Aranda, C.A. Assessment of Waste Rock Weathering Characteristics at the Antamina Mine Based on Field Cells Experiment. Master’s Thesis, University of British Columbia, Vancouver, BC, Canada, 2010. [Google Scholar]
- Komnitsas, K.; Xenidis, A.; Adam, K. Oxidation of pyrite and arsenopyrite in sulphidic spoils in Lavrion. Min. Eng. 1995, 8, 1443–1454. [Google Scholar] [CrossRef]






| Zone | Saturated Hydraulic Conductivity (ms−1) | Porosity (-) | Residual Saturation (-) | van Genuchten α (m−1) | van Genuchten n (-) | Air Entry Pressure (m) |
|---|---|---|---|---|---|---|
| HI S1 | 5.5 × 10−4 [50] | 0.39 [31] | 0.13 [31,50] | 5.96 [51] | 3.61 [51] | 0.04 [50] |
| HI S2 | 5.5 × 10−4 [50] | 0.55 [31] | 0.09 [31,50] | 5.96 [51] | 3.61 [51] | 0.04 [50] |
| HI S3 | 5.5 × 10−4 [50] | 0.58 [31] | 0.09 [31,50] | 5.96 [51] | 3.61 [51] | 0.04 [50] |
| Anorthosite | 5.0 × 10−4 [30] | 0.35 [31] | 0.14 [31,50] | 3.60 [50] | 1.56 [50] | 0.04 [31,50] |
| Sand | 7.8 × 10−4 [50] | 0.37 [31] | 0.08 [31,41] | 1.64 [50] | 4.99 [41] | 0.30 [31,41] |
| Crushed Anorthosite | 5.0 × 10−5 [30] | 0.29 [31] | 0.10 [31,50] | 20.0 [30] | 1.56 [50] | 0.04 [30] |
| Species | Concentration (mg L−1) |
|---|---|
| SO42− | 65 |
| Ni+ | 0.007 |
| Fe2+ | - |
| Fe3+ | 0.105 |
| Ca2+ | 24 |
| K+ | 0.859 |
| Mg2+ | 3.41 |
| Na+ | 5.95 |
| Al3+ | 0.02 |
| H4SiO40 | 7.84 |
| pH | 6.87 |
| Alkalinity (as CaCO3) | 22 |
| O2(aq) | 0.21 (as pO2 in atm) |
| Mineral | Volume Fraction | |||||
|---|---|---|---|---|---|---|
| HI S1 | HI S2 | HI S3 | Anorthosite | Sand | Crushed Anorthosite | |
| Ni-bearing pyrite | 0.1649 1 | 0.1524 1 | 0.1060 1 | 0.0004 1 | - | 0.0096 1 |
| Labradorite | 0.2054 [53] | 0.2054 [53] | 0.2054 [53] | 0.2054 [53] | - | 0.2054 [53] |
| Enstatite | 0.1158 [53] | 0.1158 [53] | 0.1158 [53] | 0.1158 [53] | - | 0.1158 [53] |
| Biotite | 0.0086 [53] | 0.0086 [53] | 0.0086 [53] | - | - | - |
| Mineral | Reaction | Rate Expression | logKm |
|---|---|---|---|
| Ni-bearing pyrite | - | ||
| Labradorite | [55] | - | |
| Enstatite | [56] | - | |
| Biotite | [57] | - | |
| Ferrihydrite | −4.891 [58] | ||
| Al(OH)3 (am) | −10.80 [58] | ||
| SiO2 (am) | 3.018 [58] | ||
| Kaolinite | −7.435 [58] |
| Reservoir | 8 | 7 | 6 | 5 | 4 | 3 | 2 | 1 | Total |
|---|---|---|---|---|---|---|---|---|---|
| Flow Rate (L day−1) | |||||||||
| Measured | 7.98 | 0.00 | 0.00 | 21.20 | 3.88 | 69.15 | 29.33 | 26.50 | 158.03 |
| Simulated | 7.98 | 0.00 | 0.00 | 21.13 | 3.86 | 69.38 | 29.05 | 26.54 | 157.94 |
| Percent Difference | −0.08% | 0.00% | 0.00% | 0.33% | 0.51% | −0.33% | 0.94% | −0.16% | 0.06% |
| Percentage of Total Flow | |||||||||
| Measured | 5.05% | 0.00% | 0.00% | 13.42% | 2.46% | 43.75% | 18.56% | 16.77% | 100.0% |
| Simulated | 5.05% | 0.00% | 0.00% | 13.38% | 2.45% | 43.93% | 18.39% | 16.80% | 100.0% |
| Mineral | keff,m | |||||
|---|---|---|---|---|---|---|
| HI S1 | HI S2 | HI S3 | Anorthosite | Sand | Crushed Anorthosite | |
| Ni-bearing pyrite | 9.6 × 10−7 | 3.0 × 10−7 | 3.5 × 10−7 | 1.0 × 10−7 | - | 8.0 × 10−7 |
| Labradorite | 2.3 × 10−6 | 8.0 × 10−7 | 8.0 × 10−7 | 3.5 × 10−8 | - | 9.0 × 10−8 |
| Enstatite | 7.0 × 10−11 | 2.0 × 10−11 | 1.0 × 10−11 | 1.0 × 10−11 | - | 1.0 × 10−11 |
| Biotite | 3.0 × 10−11 | 3.0 × 10−11 | 3.0 × 10−11 | 3.0 × 10−11 | - | 4.5 × 10−11 |
| Ferrihydrite | 7.0 × 10−9 | 7.0 × 10−9 | 7.0 × 10−9 | 7.0 × 10−9 | 7.0 × 10−9 | 7.0 × 10−9 |
| Al(OH)3 (am) | 1.0 × 10−8 | 1.0 × 10−8 | 1.0 × 10−8 | 1.0 × 10−8 | 1.0 × 10−8 | 1.0 × 10−8 |
| SiO2 (am) | 1.0 × 10−8 | 1.0 × 10−8 | 1.0 × 10−8 | 1.0 × 10−8 | 1.0 × 10−8 | 1.0 × 10−8 |
| Kaolinite | 1.0 × 10−8 | 1.0 × 10−8 | 1.0 × 10−8 | 1.0 × 10−8 | 1.0 × 10−8 | 1.0 × 10−8 |
© 2020 by the authors. Licensee MDPI, Basel, Switzerland. This article is an open access article distributed under the terms and conditions of the Creative Commons Attribution (CC BY) license (http://creativecommons.org/licenses/by/4.0/).
Share and Cite
Raymond, K.E.; Seigneur, N.; Su, D.; Poaty, B.; Plante, B.; Bussière, B.; Mayer, K.U. Numerical Modeling of a Laboratory-Scale Waste Rock Pile Featuring an Engineered Cover System. Minerals 2020, 10, 652. https://doi.org/10.3390/min10080652
Raymond KE, Seigneur N, Su D, Poaty B, Plante B, Bussière B, Mayer KU. Numerical Modeling of a Laboratory-Scale Waste Rock Pile Featuring an Engineered Cover System. Minerals. 2020; 10(8):652. https://doi.org/10.3390/min10080652
Chicago/Turabian StyleRaymond, Katherine E., Nicolas Seigneur, Danyang Su, Bissé Poaty, Benoît Plante, Bruno Bussière, and K. Ulrich Mayer. 2020. "Numerical Modeling of a Laboratory-Scale Waste Rock Pile Featuring an Engineered Cover System" Minerals 10, no. 8: 652. https://doi.org/10.3390/min10080652
APA StyleRaymond, K. E., Seigneur, N., Su, D., Poaty, B., Plante, B., Bussière, B., & Mayer, K. U. (2020). Numerical Modeling of a Laboratory-Scale Waste Rock Pile Featuring an Engineered Cover System. Minerals, 10(8), 652. https://doi.org/10.3390/min10080652

