Abstract
The paper considers quantal many-boson systems that are described by a rotationally invariant and boson-number conserving Hamiltonian. The properties of a generic model are studied, which treats N bosons of p different kinds with non-zero angular momenta , possibly augmented with a (number of) scalar s boson(s). The order k of the interaction between the bosons is arbitrary, and closed formulas are given for matrix elements between N-boson states for any k if and . A recursive procedure is defined for arbitrary k and p. With the expressions derived in the paper, it is possible to express symbolically a Hamiltonian matrix element between N-boson states as a linear combination of k-body interaction matrix elements. More generally, the formulas allow the evaluation of matrix elements of tensor operators that are not necessarily scalar nor boson-number conserving. The numerical implementation of the formalism is discussed and illustrated with a few examples.
1. Introduction
Many quantum systems can be modeled in terms of bosons. Although the system’s basic constituents are fermions (e.g., neutrons and protons in an atomic nucleus), clusters of an even number of them can be treated approximately as bosons, leading to a significant simplification of the original many-fermion problem. However, since the bosons are not elementary and violate the Pauli principle that acts among the fermions, the price to pay is an interaction between the bosons that is complicated and usually of higher order.
The purpose of this paper is to present a formalism that deals with quantal systems consisting of bosons with complex higher-order interactions. It is assumed that the system is described by a Hamiltonian that is rotationally invariant so that its eigenstates are characterized by an angular momentum J and its projection on the z axis M. Furthermore, the Hamiltonian is also assumed to conserve the total number of bosons N. The bosons can be of p different kinds that have the respective angular momenta . The number of bosons is not conserved in general, and interactions may transform a boson with angular momentum into another one with . With these assumptions the expressions given in this paper enable the construction of matrix elements of a Hamiltonian with k-body interactions, or any higher-order non-scalar operator, between N-boson states for arbitrary order k and arbitrary number p of different kinds of bosons.
A system of N bosons of one kind with angular momentum ℓ can be considered as the most ‘elementary’ one. Models of this type shall be referred to as the ℓ-interacting boson model or ℓ-IBM. In Section 3, a generic algorithm is presented, which enables the solution of the eigenvalue problem in ℓ-IBM for interactions between the bosons that are, in principle, of arbitrary order k.
The elementary ℓ-IBM can be generalized to -IBM. For , explicit formulas are given in Section 4 for the N-boson matrix elements in -IBM, valid for arbitrary angular momenta and and arbitrary order k of the interaction. For , explicit formulas become cumbersome because of the complicated angular momentum recoupling. In that case a recursive procedure is defined in Section 5, reducing a matrix element in -IBM to a linear combination of products of p matrix elements in -IBM, .
The set of bosons may contain a scalar s boson with zero intrinsic angular momentum, . This possibility covers two important models, namely the vibron model of molecules [1] with s and p () bosons and the IBM of nuclei [2] with s and d () bosons. As will be shown below, the s-boson dependence of matrix elements can be factored out if operators are written in normal-ordered form with creation operators to the left and annihilation operators to the right. In case the model contains several kinds of s bosons, they can all be eliminated from normal-ordered operators, leaving a model of the type -IBM with . The assumption is not a fundamental restriction but is made for convenience. All formulas given in this paper are valid if some are zero; the recursive algorithm, however, is more efficient if the s boson(s) is (are) eliminated from the start.
The straightforward elimination of scalar bosons is not possible if operators are not given in normal-ordered form. A particularly important case concerns operators given in multipole form, which is discussed in Section 6. An operator in multipole form can always be reduced to a combination of normal-ordered operators. In Section 7, a generic algorithm is described, which converts a multipole Hamiltonian into its normal-ordered representation for arbitrary order k of the interaction.
The formalism presented in this paper is capable of dealing with systems consisting of bosons that are intrinsically different but have the same angular momentum. For example, the neutron–proton IBM or IBM-2 [3] can be considered as -IBM, which after the elimination of the and bosons reduces to -IBM, the matrix elements of which are quadratic combinations of those in d-IBM. Likewise, the isospin-invariant IBM or IBM-3 [4] can be treated as -IBM and can be reduced to a problem in d-IBM.
The paper starts with a brief review, given in the next section, of the algorithm to calculate coefficients of fractional parentage (CFPs) on a seniority basis.
2. Coefficients of Fractional Parentage in a Seniority Basis
The definition of CFPs for fermions can be found in standard textbooks [5] and is easily extended to bosons [6]. All formulas given in this section are valid for fermions as well as for bosons, and the notation j is used for the angular momentum of either a fermion or a boson. Therefore, j can be an integer or half-odd-integer. Sections after the present one only deal with bosons with integer angular momenta .
A many-body wave function expanded in terms of CFPs is rotationally invariant; that is, it carries the quantum number of angular momentum J, and it satisfies the requirement of anti-symmetry for fermions or symmetry for bosons. The definition of CFPs usually applies to single-j systems, when all particles have the same angular momentum j. This is not a fundamental restriction as the notion of CFPs can be generalized to multi-j systems [7], consisting of particles with several angular momenta .
A many-body calculation in terms of CFPs has the marked advantage that the order of the interaction between the particles is automatically taken care of. This will be illustrated below for single-j CFPs, but the statement is also valid for the multi-j generalization of CFPs appropriate for several angular momenta . It is indeed possible to formulate the many-body problem to any order of the interaction between the particles in terms of generalized CFPs. This technique can be applied to the shell model in a space with several single-particle levels or to IBMs with bosons with different angular momenta. Owing to the proliferation of the number of multi-j CFPs, this method, however, is restricted to a relatively small number N of particles and a limited number p of angular momenta .
Numerical calculations are vastly more efficient for single-j than they are for multi-j CFPs. In fact, the matrix elements of a many-body Hamiltonian can always be written in terms of single-j CFPs, but this requires the recoupling of the angular momenta of the particles. The analytic expressions of such matrix elements become increasingly cumbersome as the order k of the interaction as well as the number p of angular momenta increases. One concludes, therefore, that many-body calculations in terms of multi-j CFPs are convenient if the Hamiltonian contains interactions of higher order k but become computationally prohibitively expensive as the number N of particles and/or the number p of angular momenta increases. On the other hand, analytic expressions for Hamiltonian matrix elements in terms of single-j CFPs become prohibitively complicated with increasing k or p.
The method proposed in this paper is based on single-j CFPs, which is computationally more efficient than that based on multi-j CFPs. It avoids the complex analytic expressions of angular-momentum recoupling through a recursive procedure.
The computation of CFPs relies on the following recursive formula, known as the Redmond relation [5,6]:
where stands for and the symbol in curly brackets is a symbol. The recurrence relation (1) expresses an CFP on the left-hand side of the equation in terms of a sum of CFPs on the right-hand side. The algorithm cannot be applied as such, however, since in the CFP on the left-hand side the n-particle state refers to a non-orthonormal, overcomplete basis, characterized by the labels of the -particle parent state, while in the CFPs on the right-hand side the -particle states must form an orthonormal basis. To carry out the orthonormalization, one orders states in the overcomplete, non-orthonormal basis in a sequence , , where q is the number of independent (anti-)symmetric n-particle states with total angular momentum J. The sequence and the order of the states are arbitrary but for the fact that the states must be linearly independent. A set of orthonormal states can be obtained from the expansion
where the coefficients are identified with the following sequence in a Gram–Schmidt orthonormalisation procedure:
until , with
The coefficients (needed for ) can be calculated recursively from
which as only input requires the knowledge of the overlap matrix
With the help of Equation (2), the CFPs in the orthonormal basis can be expressed in terms of those in the non-orthonormal basis,
The Redmond relation (1), together with Equation (7), defines a genuine recursive scheme. The basis defined by the label , however, depends on the chosen sequence , , which in general is different from a seniority basis. The latter basis is mathematically convenient since it can be obtained from group-theoretical considerations, as will be discussed in Section 3 in the case of bosons. In addition, the seniority label has a useful intuitive interpretation since it corresponds to the number of particles not in pairs coupled to angular momentum [8]. For these reasons, it is of interest to adapt the Redmond recursive scheme to include seniority.
To construct basis states , where is now a label additional to the seniority , one proceeds as follows. As the procedure is recursive, one assumes that the CFPs are known for . The task is to compute them for . All CFPs with or 0 can be obtained from seniority reduction formulas, which for fermions (j half-odd-integer) read [5]
while for bosons (j integer) they are [6]
Since a single particle can change seniority by at most one unit, the -particle state must have in order to lead to an n-particle state with . The CFP (10) must be obtained from the Redmond relation (1) and therefore derived from the CFPs in the non-orthonormal basis,
The state , which has the parent , is a mixture of and states, and the latter components must be projected out in order to arrive at an orthonormal basis. This can be achieved by including the states in the Gram–Schmidt orthonormalization. The overlap matrix that should be used in this procedure is
where the upper-left matrix is diagonal,
the off-diagonal matrices are
and the lower-right matrix is given by Equation (6).
The above formulas define a recursive procedure to determine the CFPs in an orthonormal basis that includes the seniority quantum number. For the construction of the Hamiltonian matrix of a k-body interaction in an n-particle basis, knowledge of CFPs, with , is required. These can be computed from
This equation is written in terms of CFPs and defines a recursive procedure ending in CFPs. These can be related to CFPs through
where for bosons and for fermions.
3. The -IBM
This section deals with boson models that include a scalar s boson and another type of boson with angular momentum ℓ. The ensuing model will be referred to as -IBM and covers two important cases, namely the vibron model [1] with s and p bosons and the IBM [2] with s and d bosons. As the dependence of matrix elements on the s boson can be readily factored out, the problem can be reduced to one in ℓ-IBM. Note that there is, in principle, no restriction on the values of ℓ and therefore the formalism of this section can also be used to deal with models of interacting bosons with high angular momentum, such as those related to aligned neutron–proton pairs [9].
States with N bosons in -IBM can be constructed in the ‘vibrational’ basis
where N is the total number of bosons and the number of ℓ bosons is . The states in the system associated with the classification coincide with those obtained with the CFP algorithm explained in the previous section. The basis states (17) are characterized by the seniority quantum number , which can take the values or 1. The allowed values of the angular momentum L follow from the reduction, for which no simple, closed formula exists for general ℓ but which can be obtained with group-theoretical methods [10]. The ℓ bosons are possibly characterized by an additional label , which specifies how many times the angular momentum L occurs for a given seniority , . The multiplicity is known as a complex integral over the characters of SO() and SO(3) [11,12],
For simplicity of notation, the label will be suppressed in the following if it is not needed, that is, if . The label M of the final SO(2) algebra in Equation (17) is the projection of the angular momentum L on the z axis, which satisfies . Throughout this paper rotationally invariant Hamiltonians are considered, for which all such M states have the same energy. The label M will be suppressed if it is not needed.
A general number-conserving k-body interaction between the bosons can be expressed as follows:
where the operator () creates (annihilates) a normalized state of k bosons according to the classification (17), with m the number of ℓ bosons, their seniority and L their angular momentum. Further, the dot indicates a scalar product, is a numerical coefficient that determines the strength of the interaction and . The s-boson part in the operators and can easily be taken care of,
where () creates (annihilates) a normalized state of m ℓ bosons.
Matrix elements of an interaction term in the expansion (19) between basis states (17) can be factored as follows:
The s-boson matrix element in this equation follows from
while the expression for the ℓ-boson matrix element is
in terms of the and CFPs, which are known from Equation (15). Note that the multiplicity label is included in the states with n, and bosons, where it is frequently needed, but not in the configuration that specifies the interaction, where it is usually not required. For example, in -IBM no multiplicity label is needed up to and including five-body interactions.
Matrix elements of non-scalar operators that do not necessarily conserve boson number can be derived in a similar fashion. One finds
The s-boson matrix element is given by Equation (22) while for the ℓ-boson matrix element one obtains
The doubled-barred matrix elements in Equations (24) and (25) are reduced in angular momentum by virtue of the Wigner–Eckart theorem, defined according to the convention of Refs. [5,6].
Equations (21)–(25) are closed expressions for matrix elements between many-boson states in -IBM of a k-body interaction and of a non-scalar operator of arbitrary order. While there is, in principle, no restriction on the order k of the interaction or on the number of bosons N, the computational cost for calculating the CFPs increases with k and N since these are obtained recursively.
4. The -IBM
This section deals with a system consisting of N bosons that occupy an s level and two additional levels with angular momenta and . The most relevant application of this case is -IBM [13] with s, d and g bosons, that is, if and . Throughout this section it is assumed that labels with index ‘1’ act on the bosons while those with index ‘2’ act on the bosons.
States with N bosons in -IBM can be defined in the basis
where and . The number of bosons is and their sum is N, that is, . The intermediate classification in Equation (26) for each unitary algebra reads
with labels as defined in the previous section. It is convenient to introduce at this point the short-hand notation for the set of labels associated with a state and for labels associated with an operator.
The generalisation of Equation (19) from -IBM to -IBM leads to the following expression for a number-conserving k-body interaction:
with and . With the result
the interaction can be rewritten as
where the B operators are defined as
Matrix elements of a single interaction term in the expansion (30), that is, of the operator
between the basis states (26), (27) can be written as the product of two factors. The first one equals
with and . This factor is known from Equation (22) while the second is given by
Matrix elements of a non-scalar operator can be dealt with in a similar fashion. One introduces the B operators
and calculates the matrix element of a general non-scalar operator as
The s-boson matrix element is given by Equation (33) while for the -boson matrix element one obtains
where the symbols in curly brackets are symbols [5,6].
Equations (33), (34), (36) and (37) are closed expressions for matrix elements between many-boson states in -IBM of a k-body interaction and of a non-scalar operator of arbitrary order. As a reminder, in these equations stands for the labels of a state and for the labels of an operator, both associated with the boson with angular momentum .
5. The -IBM
As the number of the different kinds of bosons increases the angular-momentum recoupling becomes more complicated and the resulting expressions increasingly cumbersome. Instead of giving closed expressions in terms of symbols, it is more appropriate to define a recursive procedure, reducing a calculation in -IBM to one in -IBM, as will be explained in this section.
Basis states in -IBM can be defined recursively according to
where and . The intermediate algebra can be treated in the same fashion, ending in , which is coupled with to the total angular momentum algebra . According to this classification an operator can be defined as follows:
where stands for the labels and are intermediate angular momenta, resulting from the coupling of and , in the convention that and that is the total angular momentum of the operator. With the help of Equation (29) it can be shown by induction that the Hermitian conjugate of the operator (39) is
Therefore, a general representation of a k-body interaction in -IBM is
where () is the number of s-boson creation (annihilation) operators, which implies and , where the summation is over all bosons, . The B operators are defined as
The labels and are collectively denoted as . As the proposed method is recursive in p, it is necessary to indicate the number of labels in the sets and . In the interaction matrix elements this index can be dropped since they are defined in -IBM for a given, fixed p.
It is straightforward to deal with the s-boson dependence of any matrix element, which is contained in the factor
with and . The expression (22) can be used for a general non-scalar operator, with possibly and , and for a k-body interaction, for which and .
After factoring out the s-boson dependence, the remaining matrix element is defined in -IBM. A basis state of -IBM can be written as
where stands for the labels . Akin to the notation for the operators, the labels and are collectively denoted as . The intermediate angular momenta result from the coupling of with , in the convention that and that is the total angular momentum of the state. The task is therefore the compute
which is a generic matrix element of an interaction term in the expansion (41) between basis states (44) of -IBM. With use of the operator representation (39) this matrix element can be rewritten as
The interaction matrix element is expressed as a sum of products of two reduced matrix elements, the last one of which is
where, for clarity’s sake, on the right-hand side all labels contained in , , and are denoted explicitly. The reduced matrix element (47) is known from Equation (25) while the first reduced matrix element in Equation (46) is defined in -IBM. Note however that, although one started out with the matrix element of a scalar operator, the expansion involves reduced matrix elements of non-scalar operators. The recursive procedure can be readily extended to the latter operators through the relation
This result is the generalization of Equation (37) from to arbitrary p. The total angular momenta J, , L and of the states in bra and ket and of the and operators coincide with the final angular momenta in the series , , and , respectively, which implies the equivalences , , and .
6. Multipole Interaction to Any Order
The previous sections described the evaluation of matrix elements in -IBM if the Hamiltonian and other operators are specified in normal-ordered form, that is, with all creation operators on the left and all annihilation operators on the right. Alternatively, operators can be written in multipole form in terms of bilinear operators
where the summation is over the bosons in the model and are pre-defined coefficients. For example, the quadrupole operator in the SU(3) limit of -IBM [14] is defined with and . If several operators occur with the same angular momentum, they can be distinguished with an additional index r in .
A Hamiltonian with up to k-body interactions in the bosons can be defined in terms of a multipole expansion of the form
where for a scalar operator . The bosons in the operator (49) can be scalar ( and/or ) and, unlike for an operator in normal-ordered representation, the s-boson dependence of a multipole operator cannot be simply factored out. It is therefore necessary to assume in this section that the angular momenta can take on arbitrary values, including zero.
The task is therefore to evaluate matrix elements of the operator (50) between basis states of -IBM, which, following the notation of the previous section, can be written as , where and are collective notations that denote and the intermediate angular momenta , respectively, with being the labels associated with the boson. The reduced matrix element of an operator in multipole form between basis states can be calculated recursively from
where it is assumed that, in the final application of this recurrence relation for , . This relation is recurrent in k, the number of bilinear operators in the multipole expansion (50), and all matrix elements in Equation (51) are defined in -IBM. The angular momenta , and are the final entries in the series , and , and correspond to the total angular momenta of the bra, ket and intermediate state, that is, , and . The recurrence relation (51) shows that the reduced matrix element of a multipole operator of order k can be converted into a linear combination of products of k reduced matrix elements of the type . Although the operator refers to only two bosons with angular momenta and (which may be zero), the states in bra and ket of the matrix element are defined in -IBM. The latter matrix element can be evaluated with the help of Equation (48) with the substitutions and .
7. From Multipole to Normal-Ordered Interactions
The previous section specified the algorithm to calculate matrix elements in -IBM of a Hamiltonian in multipole form. The algorithm is doubly recursive. First, it reduces a matrix element of a product of k bilinear operators to a linear combination of matrix elements of products of bilinear operators and, second, it reduces a matrix element of in -IBM to a linear combination of products of a matrix element in -IBM times one in -IBM. A more efficient algorithm can be defined by converting the multipole Hamiltonian from the start to its normal-ordered representation.
To achieve the conversion from multipole to normal-ordered form, one calculates all possible matrix elements in the basis (38), diagonal and off-diagonal, for boson numbers , where is the maximum order of the multipole expansion. With use of Equation (46) the matrix elements can expressed analytically in terms of the k-body interactions . Alternatively, with use of Equation (51), one calculates the same set of matrix elements for the multipole Hamiltonian and equates them to the corresponding expressions for the normal-ordered Hamiltonian. The resulting set of linear equations can be solved and gives the interactions in terms of the parameters of the multipole Hamiltonian.
This procedure makes use of the generic expressions of the matrix elements of a Hamiltonian in its normal-ordered and multipole representations but these are only needed for boson numbers up to and including . Once the conversion to the Hamiltonian’s normal-ordered representation is obtained, the latter can be used for an N-boson calculation. Equations (48) and (51) provide entirely different recursive schemes to calculate matrix elements in -IBM and therefore the conversion from one to the other representation also provides a rigorous test of the present formalism and its numerical implementation discussed in the next section.
8. Numerical Implementation
Several computer codes are available to solve the secular equation of a Hamiltonian matrix for a system of interacting bosons. For applications to nuclei in the framework of the IBM the first such code, named phint, was written by Olaf Scholten [15,16]. It solves numerically the eigenvalue problem of a Hamiltonian in -IBM with single-boson energies and two-boson interactions. This code has been the basis for numerous extensions. For example, the version ibm.f [17] includes all three-body interactions between s and d bosons and incorporates mixing between configurations with different total boson number N (for an application, see Ref. [18]). A more versatile interacting boson code, named ArbModel, was developed by Stefan Heinze [19]. It can deal with bosons with arbitrary angular momentum and CFPs are calculated as the square root of rational numbers, which prevents the loss of precision for large N. The interactions in ArbModel are limited to two-body at most and the Hamiltonian matrix is constructed numerically.
It is worthwhile to compare the available nuclear-physics codes for interacting bosons with those for fermions, that is, with shell-model codes. There exists a panoply of the latter. The most recent ones, still in use, are nushellx [20,21], antoine [22], kshell [23,24] and bigstick [25,26]. They can handle a large number of single-particle orbitals (corresponding to p in the present formalism) but are generally restricted to two-body interactions, which may be made nucleon-number dependent to approximate microscopically calculated three-nucleon interactions. Dimensions of the Hamiltonian matrix in the shell model typically are much larger than those in boson models. For this reason all current shell-model codes are written on an m-scheme basis, such that matrix elements must not be stored but can be calculated on the fly. To the best of the author’s knowledge, there exists no publicly available shell-model code that is able to express symbolically matrix elements in a rotationally invariant N-nucleon basis in terms of interaction matrix elements of arbitrary order k.
The formalism presented in this paper has been implemented in a Mathematica code named ibm.m [27]. It accepts p different kinds of bosons with arbitrary angular momenta , with an interaction of arbitrary order k. In addition, the Hamiltonian matrix for N bosons is constructed symbolically; that is, all its elements are known analytically as a linear combination of the k-body interaction matrix elements.
While the formalism is valid for arbitrary p, k and N, it is clear that a numerical implementation imposes limitations on their values. In all boson models considered to date, p is rather low: the most elaborate model in this respect is the -IBM, for which since the s boson can be eliminated before the recursive procedure is started. Likewise, in all reasonable applications, the order k of the interaction is unlikely to cause numerical problems. For -IBM, an example with is discussed in Section 9, but the order can be further increased to or even , in which case there are 41 and 176 Hermitian interaction matrix elements, respectively. In more elaborate models, like -IBM or -IBM, the number of interaction matrix elements steeply increases with k. For example, in -IBM there are 32 two-body Hermitian matrix elements and this number increases to 324 and 3425 for and , respectively. The corresponding numbers in -IBM are 66,976 and 13,038, if parity conservation is imposed. While some method is needed to determine the numerical values of such large sets of interaction matrix elements, either from microscopic considerations or from a physics-based expansion of a Hamiltonian in multipole form, the code ibm.m allows the construction of matrix elements in an N-boson basis for all such values of k, provided N is not too large.
It can be concluded, therefore, that neither p nor k represents a limiting factor in the numerical implementation of the present formalism. The combination of a high boson angular momentum ℓ and a large boson number N, however, does lead to numerical difficulties for the following reason. The algorithm outlined in Section 2 calculates a CFP as the square root of a rational number and loss of precision is therefore not an issue. The number of states in the Gram–Schmidt orthonormalization procedure, however, constitutes a limitation of the method. This number is given by the multiplicity of Equation (18). For , as needed in -IBM, the number is small for all applications to nuclei; for example, for and arbitrary L. The multiplicity increases dramatically with ℓ; for example, for a g boson, increases to 50 for and to 778 for . The latter number certainly cannot be handled by the Gram–Schmidt orthonormalization procedure of Equations (3)–(6) and therefore an alternative, hitherto unknown, algorithm for the construction of CFPs must be devised. With the current algorithm calculations in -IBM, they can be carried out by restricting the number of g bosons to a lower value than the total boson number N.
9. Examples
9.1. The Classical Limit of the -IBM
Geometric insight into algebraic models can be obtained from their classical limit (i.e., the limit of large boson number N) by means of a coherent state [28,29,30]. The topic of this subsection is the classical limit of -IBM with the coherent state
where is the boson vacuum and and are the quadrupole shape parameters. The calculation of the Hamiltonian’s expectation value in this state leads to a function of N, and , which has the interpretation of an energy surface in the shape variables and depends on the interaction matrix elements defined in Equation (19). More generally, the coherent-state formalism can also be used to calculate off-diagonal matrix elements, which have the interpretation of interactions between intrinsic states. This requires the generalized definition
where . With , and , the coherent state (52) is obtained but the definition (53) covers other cases as needed, for example, in the calculation of the matrix element between the coherent state (52) and the one obtained after rotation. The generalized matrix element is calculated to be
For a diagonal matrix element, , this expression simplifies to
Use is made of the expansion of in terms of uncoupled d-boson creation operators,
where refers to all possible sets such that . The expectation value can then be evaluated by noting that the action of the uncoupled creation and annihilation operators is equivalent to a derivative [31].
The coefficients can be found by diagonalizing a d-boson Hamiltonian with up to two-body interactions in the m scheme. The quantum numbers n, and L of the eigenstates for a given value of M can be obtained from the eigenenergies since these are known analytically. The corresponding eigenvectors determine the coefficients . A difficulty arises as the signs of the coefficients with fixed n, and L but varying M are related through a Clebsch–Gordan series whereas numerically they are not. To circumvent this problem, one calculates the coefficient for a single value of M, e.g., , and subsequently applies the raising operator with use of the property . To obtain a normalized state, one uses the operator
where
with in the case of d bosons.
The algorithm outlined above can be used to determine the classical limit of a Hamiltonian in -IBM with up to and including five-body interactions. For interactions of higher order than five, the quantum numbers of seniority and angular momentum no longer suffice to uniquely characterize an operator and an additional label is sometimes needed. For example, for two states occur with angular momentum , . A possible strategy to deal with such even more complicated interactions is to define the coefficients by diagonalizing in the m scheme a d-boson Hamiltonian that includes a three-body interaction. The most logical choice is to consider . This particular interaction is expected to be related to , which is usually introduced as an additional label [2] and is associated with the number of triplets of d bosons coupled to angular momentum zero (see also the discussion in chapter 8 of Ref. [32]). In fact, it can be shown that the operator annihilates a particular combination of the two states with and , and this provides a possible definition of the state and therefore of the coefficients .
The energy surface of a generic -IBM Hamiltonian with interactions up to order can be written in the following manner:
where the second summation is over all non-negative integer values of r and t such that . The coefficients are well known (see, e.g., Ref. [31]) for ,
where and are the s- and d-boson energies, and for ,
which are written in terms of the combinations
where the last equality is valid for a Hermitian interaction.
The algorithm described in this section allows for the systematic calculation of the coefficients for and is part of the code ibm.m [27]. The coefficients for and 4 are given in the Appendix A. From this extended analysis the following conclusions can be drawn. The number of d bosons involved in the interaction determines the power of in the energy surface (59), that is, where n and refer to the d-boson numbers in the interaction (62). A non-zero power of introduces a dependence in the energy surface, which can acquire a triaxial minimum with only if . A power t of requires at least d bosons. In fact, analysis shows that the condition is stronger since it requires at least d bosons not in pairs coupled to angular momentum , that is, , where and refer to the seniorities in the interaction (62) and is the largest integer smaller than or equal to x. The explicit formula for t is
To understand the implications of this formula, one distinguishes the following three cases:
- If , then . This proves that a triaxial shape associated with requires at least cubic interactions between the d bosons [31]. Since the -boson states in have seniority , this interaction does not contribute to , in contrast to the interactions with , which have .
- If , then . As a consequence, quadratic interactions between the d bosons are independent of in the classical limit. Similarly, since the sum of the seniorities in or is , these four-body interactions are also independent of in the classical limit.
- If , then . Quartic interactions between the d bosons can have at most , in which case , yielding a term in () and one independent of ().
9.2. The Expansion of the -Hamiltonian
Given the importance of quadrupole deformation in nuclei, several authors have explored the results of an expansion in the quadrupole operator
with the goal to introduce higher-order interactions in the -IBM, see for example Fortunato et al. [33]. The scope of such an approach can be enlarged by including the angular momentum operator in the expansion, in which case eight third-order scalar operators can be constructed, namely
where in each term the first two operators are coupled to the angular momentum of the third operator to yield an overall scalar.
To answer the question how the operators (65) are related to each other, one applies the algorithm of Section 7 that converts them to a normal-ordered representation. The boson energies and the two-boson interactions of the eight operators are shown in Table 1. The normal-ordered representation shows that
and that the three-body part of these three operators vanishes for any value of . Similarly, the three-boson interaction of vanishes identically. The only operators in the list (65) with a non-zero three-boson interaction are those with three operators or with one and two operators, see Table 2. In addition, the normal-ordered representation shows that the latter operators are independent of the order of and ,
Table 1.
The single-boson energies and the normal-ordered two-boson interactions for the eight cubic operators of Equation (65).
Table 2.
The normal-ordered three-boson interactions for four of the eight cubic operators of Equation (65).
One concludes therefore that there are five independent operators in the list (65), two of which have a non-zero interaction of order .
Matrix elements of an operator in multipole form can be calculated in two different ways, either with the recursive Formula (51) or by converting to the operator’s normal-ordered representation and applying Equation (46). Both methods must yield the same result but, as remarked earlier, the latter algorithm is more efficient. This can be illustrated with the example of the operator in the -IBM. For bosons and angular momentum the construction of the entire Hamiltonian matrix is about five times faster after conversion to normal order. This factor increases to ∼100 for and .
One can extend this analysis to fourth-order multipole operators. If one considers for simplicity’s sake only combinations of , then there are five different operators,
How the operators (68) are related to each other again can be studied by converting to a normal-ordered representation. The full details of this analysis will not be given here but its results can be summarized as follows. One finds that none of the operators in the set (68) is equivalent to another one. The operators (68) with and 3 have vanishing three- and four-boson interactions, and their non-zero single-boson energies and two-boson interactions can be written as follows:
with
The non-equivalence of the five operators (68) can be illustrated with the example of their expectation value in a ground state. For this expectation value has an important physics interpretation since it determines fluctuations in the quadrupole deformation parameter [34]. By way of example one can choose to be the ground state of with , which is a frequently used -IBM Hamiltonian in terms of a single parameter [35]. For and 3 one finds that the expectation value vanishes identically,
and this is valid for arbitrary values of . The first of these identities is readily understood since the normal-ordered representation of the operator given in Equations (69) and (70) shows that
In the three remaining cases with , 2 and 4 the expectation value
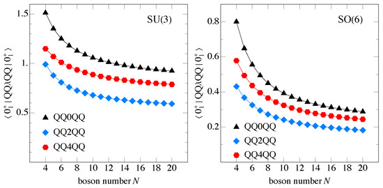
is shown in Figure 1 for two values of : its SU(3) value and its SO(6) value . One observes a clear dependence on for all N and this proves the non-equivalence of the five operators (68).
Figure 1.
The expectation value of the fourth-order operators (68) in the ground state of the Hamiltonian in the SU(3) limit () and the SO(6) limit (). Results are shown for , 2 and 4. The notation stands for .
10. Concluding Remarks
The formalism presented in this paper enables the solution of the eigenvalue problem for a rotationally invariant and boson-number-conserving Hamiltonian in -IBM. In addition, matrix elements can be evaluated of tensor operators that are not necessarily scalar nor boson-number conserving. There is, in principle, no restriction on N, the number of bosons, on p, the number of different kinds of bosons, or on k, the order of the interaction between the bosons but the overall computational cost mounts with increasing N, p and k. Specifically, the numerical implementation of the formalism is mostly limited by a combination of a high boson number N with a high boson angular momentum ℓ.
One of the characteristic advantages of the symbolic method is that it expresses a Hamiltonian matrix element between N-boson states as a linear combination of the interaction matrix elements. This feature may give insight into the structure of the Hamiltonian matrix. To obtain the eigenspectrum and eigenfunctions, this matrix must be diagonalized. With very rare exceptions, this can only be achieved by inserting appropriate numerical values for the interaction matrix elements.
It is relatively straightforward to extend the present formalism to a system of interacting fermions, with possible applications to the nuclear shell model. Work in this direction is in progress. However, dimensions can be very much larger in the shell model than they are in the IBM, in which case it is more efficient to revert to a standard approach [20,21,22,23,24,25,26]. If shell-model dimensions are not too large, the symbolic method may prove to be useful because it reveals the analytic dependence of the many-body Hamiltonian matrix on the interaction matrix elements.
Funding
This research received no external funding.
Data Availability Statement
The original contributions presented in this study are included in the article. Further inquiries can be directed to the corresponding author.
Conflicts of Interest
The author declares no conflicts of interest.
Abbreviations
The following abbreviations are used in this manuscript:
| CFP | coefficient of fractional parentage |
| IBM | interacting boson model |
| -IBM | IBM with bosons of p different kinds with angular momenta |
| IBM-2 | neutron–proton IBM |
| IBM-3 | isopin-invariant IBM |
Appendix A
This appendix lists the coefficients in Equation (59) for and 4. They are expressed in terms of the interaction matrix elements (62) and have been obtained with the code ibm.m [27]. For the coefficients have been derived previously [36] and are repeated here for completeness,
For the coefficients are
States with up to three d bosons are uniquely characterized by their angular momentum L and there is no need to specify the seniority . This is no longer the case for where for and 4 the seniority can be or 4. This is indicated in Equation (A2) with an index, that is, stands for a normalized state of four d bosons with seniority .
References
- Iachello, F.; Levine, R.D. Algebraic Theory of Molecules; Oxford University Press: Oxford, UK, 1995. [Google Scholar]
- Iachello, F.; Arima, A. The Interactng Boson Model; Cambridge University Press: Cambridge, UK, 1987. [Google Scholar]
- Arima, A.; Ohtsuka, T.; Iachello, F.; Talmi, I. Collective nuclear states as symmetric couplings of proton and neutron excitations. Phys. Lett. B 1977, 66, 205–208. [Google Scholar] [CrossRef]
- Elliott, J.P.; White, A.P. An isospin invariant form of the interacting boson model. Phys. Lett. B 1980, 97, 169–172. [Google Scholar] [CrossRef]
- de-Shalit, A.; Talmi, I. Nuclear Shell Theory; Academic Press: New York, NY, USA, 1963. [Google Scholar]
- Talmi, I. Simple Models of Complex Nuclei. The Shell Model and Interacting Boson Model; Harwood: Chur, Switzerland, 1993. [Google Scholar]
- Skouras, L.D.; Kossionides, S. Generalized fractional parentage coefficients for shell-model calcualtions. Comput. Phys. Commun. 1986, 39, 197–212. [Google Scholar] [CrossRef]
- Racah, G. Theory of complex spectra. Phys. Rev. 1943, 63, 367–382. [Google Scholar] [CrossRef]
- Zerguine, S.; Van Isacker, P. Spin-aligned neutron-proton pairs in N=Z nuclei. Phys. Rev. C 2011, 83, 064314-1–064314-12. [Google Scholar] [CrossRef]
- Wybourne, B.G. Symmetry Principles and Atomic Spectroscopy; Wiley-Interscience: New York, NY, USA, 1970. [Google Scholar]
- Weyl, H. The Classical Groups; Princeton University Press: Princeton, NJ, USA, 1939. [Google Scholar]
- Gheorghe, A.; Raduta, A.A. New results for the missing quantum numbers labelling the quadrupole and octupole boson basis. J. Phys. A Math. Gen. 2004, 37, 10951–10958. [Google Scholar] [CrossRef]
- Devi, Y.D.; Kota, V.K.B. sdg Interacting boson model: Hexadecupole degree of freedom in nuclear structure. Pramana J. Phys. 1992, 39, 413. [Google Scholar] [CrossRef]
- Arima, A.; Iachello, F. Interacting boson model of collective nuclear states II. The rotational limit. Ann. Phys. 1978, 111, 201–238. [Google Scholar] [CrossRef]
- Scholten, O. Computer Codes PHINT and FBEM. KVI Report No. 63. 1979. Available online: https://www.scirp.org/reference/referencespapers?referenceid=3749072 (accessed on 31 January 2026).
- Scholten, O. The Interacting Boson Approximation Model and Applications. Ph.D. Thesis, University of Groningen, Groningen, The Netherlands, 1980. [Google Scholar]
- Van Isacker, P. Fortran code ibm.f. Available on request.
- García-Ramos, J.E.; Heyde, K. Nuclear shape coexistence: A study of the even–even Hg isotopes using the interacting boson model with configuration mixing. Phys. Rev. C 2014, 89, 014306-1–014306-24. [Google Scholar] [CrossRef]
- Heinze, S. Eine Methode zur Lösung Beliebiger Bosonischer und Fermionischer Vielteilchensysteme. Ph.D. Thesis, University of Cologne, Cologne, Germany, 2008. [Google Scholar]
- Brown, B.A. The nuclear shell model towards the drip lines. Prog. Part. Nucl. Phys. 2001, 47, 517–599. [Google Scholar] [CrossRef]
- Brown, B.A.; Rae, W.D.M. The shell-model code NuShellX@MSU. Nucl. Data Sheets 2014, 120, 115–118. [Google Scholar] [CrossRef]
- Caurier, E.; Martínez-Pinedo, G.; Nowacki, F.; Poves, A.; Zuker, A.P. The shell model as a unified view of nuclear structure. Rev. Mod. Phys. 2005, 77, 427–488. [Google Scholar] [CrossRef]
- Shimizu, N.; Abe, T.; Tsunoda, Y.; Utsuno, Y.; Yoshida, T.; Mizusaki, T.; Honma, M.; Otsuka, T. New-generation Monte Carlo shell model for the K computer era. Prog. Theor. Exp. Phys. 2012, 1, 01A205. [Google Scholar] [CrossRef]
- Shimizu, N.; Mizusaki, T.; Utsuno, Y.; Tsunoda, Y. Thick-restart block Lanczos method for large-scale shell-model calculations. Comp. Phys. Commun. 2019, 244, 372–384. [Google Scholar] [CrossRef]
- Johnson, C.W.; Ormand, W.E.; Krastev, P.G. Factorization in large-scale many-body calculations. Comp. Phys. Commun. 2013, 184, 2761–2774. [Google Scholar] [CrossRef]
- Johnson, C.W.; Ormand, W.E.; McElvain, K.S.; Shan, H. BIGSTICK: A flexible configuration-interaction shell-model code. arXiv 2018, arXiv:1801.08432. [Google Scholar]
- Van Isacker, P. Mathematica code ibm.m. Available on request.
- Ginocchio, J.N.; Kirson, M.W. Relationship between the Bohr collective Hamiltonian and the interacting-boson model. Phys. Rev. Lett. 1980, 44, 1744–1747. [Google Scholar] [CrossRef]
- Dieperink, A.E.L.; Scholten, O.; Iachello, F. Classical limit of the interacting-boson model. Phys. Rev. Lett. 1980, 44, 1747–1750. [Google Scholar] [CrossRef]
- Bohr, A.; Mottelson, B.R. Features of nuclear deformations produced by the alignment of individual particles or pairs. Phys. Scr. 1980, 22, 468. [Google Scholar] [CrossRef]
- Van Isacker, P.; Chen, J.-Q. Classical limit of the interacting boson Hamiltonian. Phys. Rev. C 1981, 24, 684–689. [Google Scholar] [CrossRef]
- Frank, A.; Van Isacker, P. Algebraic Methods in Molecular and Nuclear Structure Physics; Wiley-Interscience: New York, NY, USA, 1994. [Google Scholar]
- Fortunato, L.; Alonso, C.E.; Arias, J.M.; García-Ramos, J.E.; Vitturi, A. Phase diagram for a cubic-Q interacting boson model Hamiltonian: Signs of triaxiality. Phys. Rev. C 2011, 84, 014326-1–014326-13. [Google Scholar] [CrossRef]
- Poves, A.; Nowacki, F.; Alhassid, Y. Limits on assigning a shape to a nucleus. Phys. Rev. C 2020, 101, 054307-1–054307-5. [Google Scholar] [CrossRef]
- Warner, D.D.; Casten, R.F. Predictions of the interacting boson approximation in a consistent Q framework. Phys. Rev. C 1983, 28, 1798–1806. [Google Scholar] [CrossRef]
- Sorgunlu, B.; Van Isacker, P. Triaxiality in the interacting boson model. Nucl. Phys. A 2008, 808, 27–46. [Google Scholar] [CrossRef]
Disclaimer/Publisher’s Note: The statements, opinions and data contained in all publications are solely those of the individual author(s) and contributor(s) and not of MDPI and/or the editor(s). MDPI and/or the editor(s) disclaim responsibility for any injury to people or property resulting from any ideas, methods, instructions or products referred to in the content. |
© 2026 by the author. Licensee MDPI, Basel, Switzerland. This article is an open access article distributed under the terms and conditions of the Creative Commons Attribution (CC BY) license.
