Next Article in Journal
A Fault Diagnosis Method for Planetary Gearboxes Using an Adaptive Multi-Bandpass Filter, RCMFE, and DOA-LSSVM
Next Article in Special Issue
Coefficient Estimates and Symmetry Analysis for Certain Families of Bi-Univalent Functions Defined by the q-Bernoulli Polynomial
Previous Article in Journal
Tamed Euler–Maruyama Method of Time-Changed McKean–Vlasov Neutral Stochastic Differential Equations with Super-Linear Growth
Previous Article in Special Issue
A New Subclass of Bi-Univalent Functions Defined by Subordination to Laguerre Polynomials and the (p,q)-Derivative Operator
 
 
Font Type:
Arial Georgia Verdana
Font Size:
Aa Aa Aa
Line Spacing:
Column Width:
Background:
Article

Derivatives, Integrals, and Polynomials Arising from the Inhomogeneous Airy Equation

1
Faculty of Mathematics and Data Science, Emirates Aviation University, Dubai P.O. Box 53044, United Arab Emirates
2
Department of Mathematics and Statistics, University of New Brunswick, Saint John, NB E2L 4L5, Canada
*
Author to whom correspondence should be addressed.
Symmetry 2025, 17(8), 1180; https://doi.org/10.3390/sym17081180
Submission received: 17 May 2025 / Revised: 18 July 2025 / Accepted: 21 July 2025 / Published: 23 July 2025

Abstract

The various forms of Airy’s differential equation are discussed in this work, together with the special functions that arise in the processes of their solutions. Further properties of the arising integral functions are discussed, and their connections to existing special functions are derived. A generalized form of the Scorer function is obtained and expressed in terms of the generalized Airy and Nield–Kuznetsov functions. Higher derivatives of all generalized functions arising in this work are obtained together with their associated generalized Airy polynomials. A computational procedure for the generalized Scorer function is introduced and applied to computing and graphing it for different values of its index. The solution of an initial value problem involving the generalized Scorer function is obtained.

1. Introduction

Airy’s differential equation and its associated Airy functions date back to the nineteenth century [1]. They are as relevant today as they were then due to their many applications in mathematical physics, optics, electromagnetism, and fluid dynamic modeling, among other fields of endeavor (cf. [2,3,4] and the references therein). A large number of differential equations in quantum theory can be reduced to Airy’s equation by an appropriate change of variables, thus adding to the importance and relevance of studies of Airy’s functions and other related special functions [3,4].
Although Airy’s equation has been largely studied in its homogeneous form, it is considered in this work in the following inhomogeneous form, suggested by Miller and Mursi [5], wherein f ( x ) is a continuous function of the non-negative, real variable x , and prime notation denotes ordinary differentiation with respect to the independent variable:
y x y = f x .
When f ( x ) 0 , the general solution to Equation (1) can be expressed in the following form:
y = a 1 A i x + b 1 B i x ,
where a 1   and   b 1 are arbitrary constants, and A i x and B i ( x ) are Airy’s functions of the first and second kind, respectively [2].
When f x = 1 / π , Scorer [6] obtained the following general solutions using a variation of parameters. For f x = 1 / π , the general solution to Equation (1) is given by
y = a 2 A i x + b 2 B i x + G i x ,
and when f x = 1 / π , the general solution is given by
y = a 3 A i x + b 3 B i x + H i x ,
where a 2 ,     b 2 ,   a 3 , and   b 3 are arbitrary constants.
The functions G i ( x ) and H i ( x ) are known as the Scorer functions [2,4], or the inhomogeneous Airy functions, and arise in Raman scattering in chemical physics and in some engineering applications [7,8]. The Scorer functions are related to Airy’s functions by
G i x + H i x = B i x ,
G i x = A i x 0 x B i t d t + B i x x A i t d t ,
H i x = B i x x A i t d t A i x x B i t d t .
When f x = κ , where κ is any constant, the general solution to Equation (1) is obtained in the following form [9,10]:
y = a 4 A i x + b 4 B i x κ π N i x ,
where a 4 and b 4 are arbitrary constants, and N i x is defined by
N i x = A i x 0 x B i t d t B i x 0 x A i t d t .
The function N i x was introduced by Nield and Kuznetsov [10] in their analysis of flow in the transition layer, where the governing Brinkman’s equation was reduced to the inhomogeneous Airy equation by a special choice of the permeability function. The function N i x is referred to as the standard Nield–Kuznetsov function of the first kind, and its main properties were studied by Hamdan and Kamel [9], including the following relationships between G i x ,   H i x and N i x :
G i x = N i x + 1 3 B i x ,
H i x = 2 3 B i x N i x .
Using (10) and (11) in (3) and (4), respectively, it is easily seen that Solutions (3) and (8) are equivalent when a 4 = a 2   and   b 4 = b 2 + 1 / 3 , while Solutions (4) and (8) are equivalent when a 4 = a 3 ;   b 4 = b 3 + 2 / 3 .
In an attempt to offer modeling flexibility in the study of flow through the transition layer, Abu Zaytoon and Hamdan [11] introduced a permeability model that reduced Brinkman’s equation to the following generalized inhomogeneous Airy equation of integer index n :
y n x n y n = f x .
The homogeneous part of (12), that is, when f ( x ) 0 , was studied by Swanson and Headley [12], who expressed its general solution as
y n = a n A n x + b n B n x ,
where a n and b n are arbitrary constants, and the functions A n x and B n x are the generalized Airy functions of the first and second kind, respectively, defined as
A n ( x ) = 2 p π s i n ( p π ) ( x ) 1 2 K p ζ ,
B n ( x ) = ( p x ) 1 2 I p ζ + I p ζ ,
where p = 1 n + 2 , ζ = 2 p ( x ) 1 2 p , and Γ ( . ) is the gamma function. The Wronskian of A n ( x ) and B n ( x ) is given by
W A n ( x ) , B n x = 2 π p 1 2 sin p π ,
and the terms I p   and   K p are the modified Bessel functions defined by the following formulas in which j = 1 :
I p ζ = ( j ) p K p j ζ = m = 1 1 m ! Γ m + p + 1 ( ζ 2 ) 2 m + p ,
K p ζ = π 2 I p ζ I p ζ sin p π .
It should be noted that when the index n = 1 in Equations (12)–(15), Airy’s equation and its solutions are recovered, although subscript i is used instead of 1 for consistency with notation in the literature.
When f x = κ , Abu Zaytoon and Hamdan [11] obtained and expressed the general solution to the inhomogeneous generalized Airy Equation (12) as
y n = a n A n x + b n B n x κ π 2 p sin p π N n x ,
where the function N n x is the generalized Nield–Kuznetsov function of the first kind, defined as
N n x = A n x 0 x B n t d t B n x 0 x A n t d t .
The functions N i x   and   N n x are known as the standard and the generalized Nield–Kuznetsov functions of the first kind, respectively. Their analysis and applications have been extensively discussed and documented [9,10,13] and include solution methodologies and methods of computations of the inhomogeneous Airy equations with initial and boundary conditions.
Recent work in this field includes the elegant work of Dunster (cf. [14] and the references therein) on the Nield–Kuznetsov functions and the use of the Laplace transform and uniform asymptotic expansions. Analysis of Airy’s polynomials that arise in higher derivatives of Airy’s functions has been carried out in the elaborate work of Abramochkin and Razueva [15]. The same Airy polynomials, together with other polynomials, arise in the higher derivatives of N i x and are important from both a theoretical and a practical point of view, as discussed by Hamdan et al. [16].
Recent developments in the field include analysis of generalized forms of Airy’s equations due to either their associated applications or due to the rise of many interesting associated special functions. These include the work of Askari and Ansari (cf. [17] and the references therein) on higher-order differential equations and the Mainardi function, and the work of Cinque and Orsingher (cf. [18] and the references therein) on higher-order, Airy-type equations.
The recent work reported in [11,14,15,17,18], and the references therein, clearly represents an advancement of the state of knowledge in this field of Airy’s and generalized Airy’s equations and their solutions and applications. It motivates the current work in which we derive further properties and representations of these functions and relate them to other special functions. In particular, the specific objectives of the current work are as follows:
  • Fill in some knowledge gaps that exist in the available literature. To this end, the Scorer solutions to Equation (1), as given by Equations (3) and (4), are used to obtain solutions to Equation (1) when f x = κ 1 / k .
  • Provide representations of all special functions arising in this work in terms of modified Bessel functions.
  • Advance the state of knowledge by introducing a generalized Scorer function, G n x .
  • Discuss higher derivatives of all generalized functions arising in this work and obtain their associated polynomials.
  • Introduce a computational procedure for the newly introduced generalized Scorer function and applying it to computing and graphing the generalized Scorer function over a subinterval of the X-axis.
  • Provide a solution to an initial value problem involving the generalized Scorer function.
In order to accomplish the above objectives, this work is organized as follows. In Section 2, solutions to Equation (1) when f x = κ 1 / π are expressed in terms of the Scorer functions G i x and H i x . The function N i x is expressed in terms of the primitives of the Scorer functions. The Nield–Kuznetsov and Scorer functions are then expressed in terms of the modified Bessel functions.
In Section 3, the generalized Scorer function, G n x , is derived and expressed in terms of generalized Airy’s functions and the generalized Nield-–Kuznetsov function N n x . The general solution to Equation (12) when f x = κ is then derived and discussed. All generalized functions are expressed in terms of the modified Bessel functions, and a computational procedure for G n x and N n x is derived and applied to graphing G n x for different values of n . The solution to an initial value problem involving G n x is obtained.
In Section 4, higher derivatives of all generalized functions appearing in this work are discussed, and generalizations of these derivatives are derived and expressed in terms of generalized Airy’s and other polynomials. The degrees of the resulting polynomials are expressed in terms of the orders of the derivatives. The dependence of the polynomials on index n of the generalized Airy equation is discussed.
A conclusion to the current work is provided to summarize the key findings and to define a direction for future work.

2. Further Representations of Airy’s Related Special Functions

2.1. Solutions to Equation (1) When f x = κ 1 / π

Solutions to Equation (1) when f x = κ 1 / π are not readily available in terms of the Scorer functions. However, with the help of the Nield–Kuznetsov N i x function and its connections to the Scorer functions, the following proposition provides the form of solutions.
Proposition 1.
General solutions to the inhomogeneous Airy Equation (1) with f x = κ are given by
y = a 1 A i x + [ b 1 + κ π 3 ] B i x κ π G i x ,
y = a 1 A i x + b 1 2 3 κ π ] B i x + κ π H i x .
Proof. 
Substituting N i x = G i x 1 3 B i ( x ) from (10) in (8), and N i x = 2 3 B i x H i x from (11) in (8), yields (21) and (22), respectively. □

2.2. Relationship of N i x to the Primitives of the Scorer Functions

In what follows, the relationships between N i x and the Wronskians that involve Airy’s and Scorer’s functions are established. The following Wronskians have been reported in [4]:
W 1 = W A i x , G i x = A i x G i x G i x A i x ,
W 2 = W A i x , H i x = A i x H i x H i x A i x ,
W 3 = W B i x , G i x = B i x G i x G i x B i x ,
W 4 = W B i x , H i x = B x H i x H i x B i x .
The right-hand sides of (23)–(26) have also been expressed in terms of 0 x A i t d t and 0 x B i t d t , [4] as
0 x A i t d t = 1 3 + π G i x A i ( x ) A i x G i x = 1 3 π W 1 ,
0 x A i t d t = 2 3 π H i x A i x A i x H i x = 2 3 + π W 2 ,
0 x B i t d t = π G i x B i ( x ) B i x G i ( x ) = π W 3 ,
0 x B i t d t = π H i x B i x B i x H i x = π W 4 .
Using (27)–(30) in (9) renders the following expressions for N i x :
N i x = π   W 1 B i x W 3 A i ( x ) 1 3 B i x ,
  N i x = π   W 4 A i x W 2 B i ( x ) + 2 3 B i x .

2.3. Bessel Function Representation of Airy’s, Scorer’s, and the Nield–Kuznetsov Functions

Airy’s functions and their derivatives and integrals take the following forms in terms of the modified Bessel functions [2,4] obtained from (14) and (15), with n = 1 , p = 1 n + 2 = 1 3 , and ζ = 2 p ( x ) 1 2 p = 2 3 x 3 2 :
A i x = x 3 I 1 3 ζ I 1 3 ζ ,
B i x = x 3   I 1 3 ζ + I 1 3 ζ ,
A i x = x 3 I 2 3 ζ I 2 3 ζ ,
B i x = x 3   I 2 3 ζ + I 2 3 ζ ,
0 x A i t d t = 1 3 0 x t I 1 3 2 3 t 3 2 I 1 3 2 3 t 3 2 d t ,
0 x B i t d t = 1 3 0 x t I 1 3 2 3 t 3 2 + I 1 3 2 3 t 3 2 d t ,
where the function I 1 / 3 is obtained from (17) and (18) as
I 1 / 3 ζ = m = 1 1 m ! Γ m 1 3 + 1 ( ζ 2 ) 2 m 1 3 .
Using (33), (34), (37), and (38) in (9)–(11), the functions N i ( x ) , G i ( x ) , and H i ( x ) can be written in the following forms:
N i x = 2 x 3 3 I 1 3 ( 2 3 x 3 2 ) 0 x   t I 1 3 2 3 t 3 / 2 d t I 1 3 ( 2 3 x 3 2 ) 0 x t I 1 3 2 3 t 3 / 2 d t
G i x = x 3 3 I 1 3 2 3 x 3 2 I 1 3 2 3 x 3 2 0 x t I 1 3 2 3 t 3 2 + I 1 3 2 3 t 3 2 d t + I 1 3 ( 2 3 x 3 2 ) + I 1 3 ( 2 3 x 3 2 ) 1 0 x t I 1 3 2 3 t 3 / 2 I 1 3 2 3 t 3 / 2 d t
H i x = 2 x 3 3 I 1 3 2 3 x 3 2 + I 1 3 2 3 x 3 2 2 x 3 3 I 1 3 ( 2 3 x 3 2 ) 0 x t I 1 3 2 3 t 3 / 2 d t I 1 3 ( 2 3 x 3 2 ) 0 x t I 1 3 2 3 t 3 / 2 d t

3. Generalized Airy’s Inhomogeneous Equation

3.1. Generalized Airy’s and Nield–Kuznetsov Functions

Consider the generalized, inhomogeneous Airy’s Equation (12) in which n > 2 is an integer and f ( x ) is a smooth function of its real, non-negative variable x . The solution to the homogeneous part of this equation is given by (13), with the generalized Airy functions given by (14) and (15). The following derivatives of the functions A n x and B n x are obtained from Equations (14) and (15), respectively:
A n x = p   x n + 1 2 I 1 p 2 p x 1 2 p I p 1 2 p x 1 2 p ,
B n x = p 1 / 2   ( x ) n + 1 2 I p 1 2 p x 1 2 p + I 1 p 2 p x 1 2 p .
Integrals of the generalized Airy functions, obtained from (14) and (15), can be written as
0 x A n t d t = p 0 x t 1 2 [ I p 2 p t 1 2 p I p 2 p t 1 2 p ] d t ,
0 x B n t d t = p 0 x t 1 2 I p 2 p t 1 2 p + I p 2 p t 1 2 p d t .
Upon using (14), (15), (20), and (43)–(46), the following expressions for N n x and N n ( x ) are obtained:
N n x = p p I p 2 p x 1 2 p I p 2 p x 1 2 p 0 x t 1 2 I p 2 p t 1 2 p + I p 2 p t 1 2 p d t   p ( x ) 1 2 ( I p 2 p x 1 2 p + I p 2 p x 1 2 p ) 0 x t 1 2 I p 2 p t 1 2 p + I p 2 p t 1 2 p d t ,
N n x = p 3 / 2   x n + 1 2 [ I 1 p 2 p t 1 2 p I p 1 2 p t 1 2 p ] 0 x t 1 2 I p 2 p t 1 2 p + I p 2 p t 1 2 p d t p 3 / 2   ( x ) n + 1 2 I p 1 2 p t 1 2 p + I 1 p 2 p t 1 2 p 0 x t 1 2 I p 2 p t 1 2 p I p 2 p t 1 2 p d t .

3.2. Generalized Scorer Function

For the special cases of f x = κ = 1 / π , general solutions to the inhomogeneous Airy Equation (1) are expressed in terms of Airy’s and Scorer’s functions given by (6) and (7). When f x = κ = 1 / π , the function G i ( x ) satisfies Equation (1) and when f x = κ = 1 / π , then both G i ( x ) and H i ( x ) satisfy Airy’s inhomogeneous Equation (1). In what follows, a generalized Scorer function G n ( x ) , valid for x 0 , is introduced to satisfy the generalized Airy Equation (12) for any f x = κ , including κ = 1 / π .
Define the generalized Scorer function G n ( x ) in terms of the generalized Airy functions as
G n x = A n x 0 x B n t d t + B n x x A n t d t ,
in such a way that when n = 1 , Equation (6) is recovered. An expression for G n x is provided by the following proposition.
Proposition 2.
The generalized Scorer function G n x is expressed in terms of N n x and B n x as
G n x = N n x + sin p π π . Γ p . Γ 2 p p 3 p 2 B n x .
Proof. 
Equation (49) can be written as
G n x = A n x 0 x B n t d t + B n x 0 A n t d t 0 x A n t d t .
Using (20), Equation (51) takes the following form:
G n x = N n x + B n x 0 A n t d t .
The integral 0 A n t d t can be evaluated by applying formula (10.43.19) from DLMF (NIST) [19]. Using (14), 0 A n t d t takes the following form:
0 A n x d x = 2 p π s i n p π 0 ( x ) 1 2 K p ( 2 p x 1 2 p ) d x .
Using the substitution x = u 2 p 2 p , integral (53) takes the following form:
0 A n x d x = 1 π s i n ( p π ) ( 2 p ) 2 3 p 0 u 3 p 1 K p u d u .
Applying the following integral identity for the modified Bessel function of the second kind, valid for R e ( ν ) < R e ( μ ) , namely,
0 t μ 1 K ν t d t = 2 μ 2 Γ 1 2 μ 1 2 ν Γ 1 2 μ + 1 2 ν ,
with ν = p   and   μ = 3 p , Integral (54) takes the following form:
0 A n t d t = sin p π π . Γ p . Γ 2 p p 3 p 2 .
Equation (56) reduces to the known value 0 A i t d t = 1 3 when n = 1 and p = 1 n + 2 = 1 3 .
Upon using (56) in (52), the expression for G n x in (50) is obtained. □
With G n x given by (50), the general solution to Equation (12) can be obtained according to the following proposition.
Proposition 3.
The general solution to the inhomogeneous generalized Airy Equation (12) when f x = κ is given by
y n = a n A n x + c n B n x κ π 2 p sin p π G n x .
Proof. 
Equation (50) provides the following expression for N n x :
N n x = G n x sin p π π . Γ p . Γ 2 p p 3 p 2 B n x .
Using (57) in (19) yields
y n = a n A n x + b n + κ Γ p . Γ 2 p 2 p 3 p 3 / 2   B n x κ π 2 p sin p π G n x .
Letting c n = b n + κ Γ p . Γ 2 p 2 p 3 p 3 / 2 in (59), result (57) follows. □
It is worth noting that when f x = κ = 1 / π , the general solution (59) becomes
y n = a n A n x + b n + Γ p . Γ 2 p 2 π p 3 p 3 / 2   B n x 1 2 p sin p π G n x ,
and when f x = κ = 1 / π , the general solution (59) takes the following form
y n = a n A n x + b n Γ p . Γ 2 p 2 π p 3 p 3 / 2   B n x + 1 2 p sin p π G n x .

3.3. Bessel Function Representation of the Generalized Scorer Function

The generalized Scorer function, G n x , and its first derivative take the following forms, respectively, in terms of Bessel’s modified functions, obtained by substituting (15) and (48) in (50), and then differentiating:
G n x = ( p x ) 1 2 ( I p ( 2 p x 1 2 p ) + p p I p 2 p x 1 2 p I p 2 p x 1 2 p 0 x t 1 2 I p 2 p t 1 2 p + I p 2 p t 1 2 p d t + I p ( 2 p x 1 2 p ) ) p 0 x t 1 2 I p 2 p t 1 2 p + I p 2 p t 1 2 p d t + sin p π π . Γ p . Γ 2 p p 3 p 2 ( p x ) 1 2 I p 2 p x 1 2 p + I p 2 p x 1 2 p ,
G n x = p 3 2   x n + 1 2 I p 1 2 p t 1 2 p + I 1 p 2 p t 1 2 p 0 x t 1 2 I p 2 p t 1 2 p I p 2 p t 1 2 p d t p 3 2   x n + 1 2 I 1 p 2 p t 1 2 p I p 1 2 p t 1 2 p 0 x t 1 2 I p 2 p t 1 2 p + I p 2 p t 1 2 p d t + sin p π π . Γ p . Γ 2 p p 3 p 2 p 1 / 2   ( x ) n + 1 2 I p 1 2 p t 1 2 p + I 1 p 2 p t 1 2 p .

3.4. Values at x = 0 of the Generalized Scorer Function and Its Derivative

The value G n 0 is obtained from (50) as
G n 0 = sin p π π . Γ p . Γ ( 2 p ) Γ ( 1 p ) . p ( 5 2 4 p ) ,
where B n 0 = ( p ) 1 / 2 p Γ ( 1 p ) and N n 0 = 0 have been used. With the knowledge that for a non-integer p, Γ ( 1 p ) Γ ( p ) = π s i n p π , Equation (64) can be written as
G n 0 = Γ p sin p π π 2 . Γ 2 p . p ( 5 2 4 p ) .
The first derivative of G n x is given by
G n x = N n x + sin p π π . Γ p . Γ 2 p p 3 p 2 B n x ,
with value at zero given by
G n 0 = sin p π π . Γ 2 p . p 3 2 2 p ,
wherein the values B n 0 = p p 1 2 Γ p and N n 0 = 0 have been used.

3.5. Computational Algorithm of the Generalized Functions

Following Swanson and Headley [12], the generalized Airy functions are evaluated using the following relationships:
ρ n = ( p ) 1 p Γ ( 1 p ) and   φ n = ( p ) p Γ ( p ) ,
g n 1 x = 1 + k = 1 p 2 k j = 1 k x n + 2 k j j p ,
g n 2 x = x 1 + k = 1 p 2 k j = 1 k x n + 2 k j j + p ,
A n x = ρ n g n 1 x φ n g n 2 x ,
B n x = 1 p [ ρ n g n 1 x + φ n g n 2 x ] .
Based on the above, the generalized Nield–Kuznetsov function of the first kind and the generalized Scorer function can be evaluated using the following expressions, obtained using (68)–(72) in (20) and (50), respectively:
N n x = 2 p ρ n φ n g n 1 x 0 x g n 2 t d t g n 2 y 0 x g n 1 t d t
G n x = ω n [ ρ n g n 1 x + φ n g n 2 x ] + N n x ,
where
ω n = sin p π π . Γ p . Γ 2 p p 3 p 2 .
For the sake of illustrating the above computational procedure, the generalized Scorer function G n x is computed for the index values n = 2 ,   3 ,   6 ,   and   7 , over the interval 0 x 2 , and plotted in Figure 1, which shows the possibility of turning points at values x > 2 . However, the verification of the turning points requires more extensive calculations using the above procedure. It should be noted that all computations were carried out using Maple.

3.6. Initial Value Problem Involving the Generalized Scorer Function

Consider the problem of solving Equation (12) with f x = 1 / π subject to the following conditions: y n 0 = α and y n 0 = β , where α and β are real numbers. From general solution (61) and the given initial conditions, the following system of two equations in the two arbitrary constants a n and b n is obtained:
a n A n 0 +   B n 0 b n = α 1 2 p sin p π G n 0 + Γ p . Γ 2 p 2 π p 3 p 3 2   B n 0 ,
a n A n 0 + b n   B n 0 = β 1 2 p sin p π G n 0 + Γ p . Γ 2 p 2 π p 3 p 3 2   B n 0 .
The solution of the above system of equations is given by
a n = π α   B n 0 β   B n 0 2 p sin p π + π G n 0   B n 0 G n 0   B n 0 4 p ( sin p π ) 2 ,
b n = π β A n 0 α A n 0 2 p sin p π + π G n 0 A n ( 0 ) G n 0 A n 0 4 p ( sin p π ) 2   + Γ p . Γ 2 p [ A n ( 0 ) B n ( 0 ) B n 0 A n ( 0 ) ] 4 sin p π p 3 p 1 .
The determination of values of a n and b n requires a knowledge of the values at zero of A n 0 , A n 0 , B n 0 and B n 0 , which are given by
A n 0 = ( p ) 1 p Γ ( 1 p ) and   A n 0 = p p Γ p ,
B n 0 = ( p ) 1 / 2 p Γ ( 1 p ) and   B n 0 = p p 1 2 Γ p ,
N n 0 = N n 0 = 0 ,
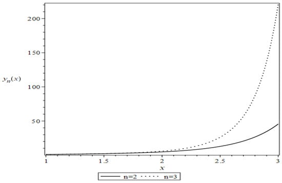
and G n 0 and G n 0 , which are given by (65) and (67), respectively. For the sake of illustration, computations have been carried using the values of α = 1 ,   β = 2 . Once a n and b n are calculated, solution y n ( x ) , as given by (61), is computed using the computational procedure of Section 3.5, detailed above.
The solutions to the given initial value problem are shown in Figure 2, below, for n = 2   and   3 .

4. Higher Derivatives of N i x , A n x , B n x , and N n ( x )

In a previous article, Hamdan et al. [16] discussed higher derivatives of the Nield–Kuznetsov function N i ( x ) and the polynomials arising from its derivatives. In what follows, expressions for higher derivatives of the generalized functions A n x ,   B n ( x ) , N n ( x ) , and G n x are obtained.

4.1. Higher Derivatives of A n x   a n d   B n ( x )

Consider the homogeneous generalized Airy equation, written in the form
y n = x n y n .
The following few higher derivatives are obtained by repeated differentiation of (83):
y n = x n y n + n x n 1 y n ,
y n i v = 2 n x n 1 y n + [ x 2 n + n n 1 x n 2 ] y n ,
y n v = [ x 2 n + 3 n n 1 x n 2 ] y n + [ 4 n x 2 n 1 + n n 1 ( n 2 ) x n 3 ] y n ,
y n v i = [ 6 n x 2 n 1 + 4 n n 1 ( n 2 ) x n 3 ] y n + [ x 3 n + n ( 11 n 7 ) x 2 n 2 + n n 1 ( n 2 ) ( n 3 ) x n 4 ] y n ,
y n v i i = [ x 3 n + n ( 23 n 13 ) x 2 n 2 + 5 n n 1 ( n 2 ) ( n 3 ) x n 4 ] y n + [ 9 n x 3 n 1 + 2 n n 1 ( 13 n 11 ) x 2 n 3 + n n 1 ( n 2 ) ( n 3 ) ( n 4 ) x n 5 ] y n ,
Each of the above derivatives of y n is expressed in terms of y n and y n , whose coefficients are polynomials. The generalized Airy functions, A n x and B n x satisfy Equation (83) and the derivatives above. The kth derivatives of A n x and B n x can, thus, be expressed in the following forms:
A n k x = P k x A n x + Q k x A n x ,
B n k x = P k x B n x + Q k x B n x ,
where P k x is the polynomial coefficient of A n x and of B n ( x ) , and Q k ( x ) is the polynomial coefficient of A n x and of B n x in the kth derivative of A n x and B n x . A few of these polynomials are shown in the Table 1, below.

4.2. Higher Derivatives of N n x

The inhomogeneous generalized Airy Equation (1), with f x = κ , can be written as
y n = x n y n + κ ,
and the function N n x satisfies the particular solution to the inhomogeneous generalized Airy Equation (91). We, thus, have
N n x = x n N n x W ( A n x , B n x ) .
The following few higher derivatives are obtained by repeated differentiation of (92):
N n x = x n N n x + n x n 1 N n x ,
N n i v x = 2 n x n 1 N n x + x 2 n + n n 1 x n 2 N n x x n W A n x , B n x ,
N n v ( x ) = [ x 2 n + 3 n n 1 x n 2 ] N n ( x ) + 4 n x 2 n 1 + n n 1 ( n 2 ) x n 3 N n x 3 n x n 1 W ( A n x , B n x ) ,
N n v i x = 6 n x 2 n 1 + 4 n n 1 n 2 x n 3 N n x + [ x 3 n + n 11 n 7 x 2 n 2 + n n 1 n 2 ( n 3 ) x n 4 ] N n ( x ) [ x 2 n + 6 n ( n 1 ) x n 2 ] W ( A n x , B n x ) ,
N n v i i x = x 3 n + n ( 23 n 13 ) x 2 n 2 + 5 n n 1 n 2 n 3 x n 4 N n x + 9 n x 3 n 1 + 2 n n 1 13 n 11 x 2 n 3 + n n 1 n 2 n 3 n 4 x n 5 N n x [ 8 n x 2 n 1 + 10 n ( n 1 ) ( n 2 ) x n 3 ] W ( A n x , B n x ) .
Each of the above derivatives of N n ( x ) is expressed in terms of N n ( x ) and N n ( x ) . The kth derivatives of N n x are, thus, expressed in the following form:
N n k x = P k x N n x + Q k x N n x R k x W A n x , B n x ,
where P k x , Q k x , and R k ( x ) are the polynomial coefficients of N n ( x ) , N n ( x ) , and the Wronskian W ( A n x , B n x ) , respectively, in the kth derivative of N n x . A few of these polynomials are shown in the Table 1, below.

4.3. Higher Derivatives of G n x

The generalized Scorer function G n x is defined by Equation (54), which can be written in the following form:
G n x = N n x + ω n B n x ,
where ω n is defined by Equation (75). The following few higher derivatives of G n x are obtained by repeated differentiation of (99):
G n x = x n G n x   W A n x , B n x ,
G n x = x n G n x + n x n 1 G n x ,
G n i v x = 2 n x n 1 G n x + x 2 n + n n 1 x n 2 G n x x n W A n x , B n x ,
G n v x = x 2 n + 3 n n 1 x n 2 G n x + 4 n x 2 n 1 + n n 1 n 2 x n 3 G n x 3 n x n 1 W A n x , B n x ,
G n v i x = 6 n x 2 n 1 + 4 n n 1 n 2 x n 3 G n x x 3 n + n 11 n 7 x 2 n 2 + n n 1 n 2 n 3 x n 4 G n ( x ) [ x 2 n + 6 n ( n 1 ) x n 2 ] W ( A n x , B n x ) ,
G n v i i x = x 3 n + n 23 n 13 x 2 n 2 + 5 n n 1 n 2 n 3 x n 4 G n x + 9 n x 3 n 1 + 2 n n 1 13 n 11 x 2 n 3 + n n 1 n 2 n 3 n 4 x n 5 G n ( x ) [ 8 n x 2 n 1 + 10 n ( n 1 ) ( n 2 ) x n 3 ] W ( A n x , B n x ) .
Each of the above derivatives of G n ( x ) is expressed in terms of G n ( x ) and G n ( x ) . The kth derivatives of G n x is, thus, expressed in the following form:
G n k x = P k x G n x + Q k x G n x R k x W A n x , B n x ,
where P k x , Q k x , and R k ( x ) are the polynomial coefficients of G n ( x ) , G n ( x ) , and W ( A n x , B n x ) , respectively, in the kth derivative of G n x . A few of these polynomials are shown in Table 1, below.

4.4. The Polynomial Coefficients and Iterative Definition of the Higher Derivatives

The polynomial coefficients P k x , Q k x , and R k ( x ) obtained in the above higher derivatives are presented in Table 1. The degrees of the polynomials P k x , Q k x , and R k x are shown in Table 2 and are expressed in terms of the order of the derivative, k, and the index, n, of the generalized Airy equation. These polynomials are needed to define higher derivatives iteratively, as discussed in what follows.
The (k + 1)th derivatives of the generalized functions A n ( x ) , B n ( x ) , N n x , and G n x take the following forms:
A n k + 1 x = P k + 1 x A n x + Q k + 1 x A n x ,
B n k + 1 x = P k + 1 x B n x + Q k + 1 x B n x ,
N n k + 1 x = P k + 1 x N n x + Q k + 1 x N n x R k + 1 x W A n x , B n x ,
G n k + 1 x = P k + 1 x G n x + Q k + 1 x G n x R k + 1 x W A n x , B n x .
The polynomial coefficients P k + 1 ( x ) , Q k + 1 ( x ) , and R k + 1 ( x ) , in the (k + 1)th derivative are obtained from P k ( x ) , Q k ( x ) , and R k ( x ) , in the kth derivative using the following relationships:
P k + 1 x = P k x + Q k x ,
Q k + 1 x = Q k ( x ) + x n P k x ,
R k + 1 x = R k x + P k x ,
Equations (107)–(110) can, thus, be written in the following final forms that include the value of the Wronskian, W A n x , B n x , as given by Equation (16):
A n k + 1 x = { P k ( x ) + Q k ( x ) } A n ( x ) + { Q k ( x ) + x n P k x } A n x ,
B n k + 1 x = { P k ( x ) + Q k ( x ) } B n ( x ) + { Q k ( x ) + x n P k x } B n x ,
N n k + 1 x = P k x + Q k x N n x + { Q k ( x ) + x n P k x } N n x 2 π p 1 2 sin p π R k x + P k x ,
G n k + 1 x = P k x + Q k x G n x + { Q k ( x ) + x n P k x } G n x 2 π p 1 2 sin p π R k x + P k x .
It is worth noting that the (k + 1)th derivatives of the generalized Scorer function can be obtained in terms of the (k + 1)th derivatives of N n x and B n x by differentiating (99) as follows:
G n k + 1 x = N n k + 1 x + ω n B n k + 1 x .
Using (108) and (109) in (118) yields:
G n k + 1 x = P k + 1 x N n x + ω n B n x + Q k + 1 x [ N n x + ω n B n x ] R k + 1 x W ( A n x , B n x ) ] ,
and using (111)–(113) in (119) gives
G n k + 1 x = P k x + Q k x N n x + ω n B n x + Q k ( x ) + x n P k x [ N n x + ω n B n x ] 2 π p 1 2 sin p π R k x + P k x .

4.5. Dependence of the Coefficient Polynomials on Index n

For a given value of index n, if a term in a polynomial involves x to a negative power, that term is dropped out. For the sake of illustration, consider Table 1 when n = 3 . The polynomials take the forms shown in Table 3, below.

5. Conclusions

The main theme of this work has been the study and analysis of Airy’s and generalized Airy’s differential equations, and the integral functions that define their particular solutions. An attempt was made to fill in gaps that exit in the knowledge base of the Nield–Kuznetsov and the Scorer functions. This includes defining the generalized Scorer function and studying some of its properties and its relationship to other special functions. A computational procedure was introduced for the generalized Scorer function and used in the solution of an initial value problem involving this function. Further properties of the Nield–Kuznetsov and the generalized Nield–Kuznetsov functions, and their relationships to the generalized Airy functions, have been discussed. All functions have been expressed in terms of modified Bessel functions. Furthermore, as higher derivatives of the Nield–Kuznetsov and Scorer functions give rise to important Airy’s polynomials and generalized Airy’s polynomials, iterative definitions of the higher derivatives together with iterative methods of generating these polynomials, have been introduced. While in this work the focus has been on the generalized Airy function with a constant forcing function, future directions in this work will consider non-linear, variable forcing functions.

Author Contributions

The authors contributed equally to this research from its inception to the calculations and writing and reviewing of this manuscript. All authors have read and agreed to the published version of the manuscript.

Funding

This research received no external funding.

Data Availability Statement

Minor calculations are included. No additional data are available.

Acknowledgments

The authors wish to extend their sincere gratitude to the referees of this work. Their suggestions, recommendations, and constructive comments enhanced this work and resulted in the elimination of errors.

Conflicts of Interest

The authors declare no conflicts of interest.

References

  1. Airy, G.B. On the intensity of light in the neighbourhood of a caustic. Trans. Camb. Phil. Soc. 1838, 6, 379–401. [Google Scholar]
  2. Abramowitz, M.; Stegun, I.A. Handbook of Mathematical Functions; Dover: New York, NY, USA, 1984. [Google Scholar]
  3. Temme, N.M. Special Functions: An Introduction to the Classical Functions of Mathematical Physics; John Wiley & Sons: New York, NY, USA, 1996. [Google Scholar]
  4. Vallée, O.; Soares, M. Airy Functions and Applications to Physics; World Scientific: London, UK, 2004. [Google Scholar]
  5. Miller, J.C.P.; Mursi, Z. Notes on the Solution of the Equation y x y = f ( x ) . Q. J. Mech. Appl. Math. 1950, 3, 113–118. [Google Scholar]
  6. Scorer, R.S. Numerical evaluation of integrals of the form I = x 1 x 2 f ( x ) e i φ ( x ) d x and the tabulation of the function 1 π 0 sin ( u z + 1 3 u 3 ) d u . Q. J. Mech. Appl. Math. 1950, 3, 107–112. [Google Scholar]
  7. Gil, A.; Segura, J.; Temme, N.M. On non-oscillating integrals for computing inhomogeneous Airy functions. Math. Comput. 2001, 70, 1183–1194. [Google Scholar] [CrossRef]
  8. Lee, S.-Y. The inhomogeneous Airy functions, Gi(z) and Hi(z). J. Chem. Phys. 1980, 72, 332–336. [Google Scholar] [CrossRef]
  9. Hamdan, M.H.; Kamel, M.T. On the Ni(x) integral function and its application to the Airy’s non homogeneous equation. Appl. Math. Comput. 2011, 21, 7349–7360. [Google Scholar]
  10. Nield, D.A.; Kuznetsov, A.V. The effect of a transition layer between a fluid and a porous medium: Shear flow in a channel. Transp. Porous Med. 2009, 78, 477–487. [Google Scholar] [CrossRef]
  11. Abu Zaytoon, M.S.; Hamdan, M.H. On modeling laminar flow through variable permeability transition layer. Fluids 2025, 10, 151. [Google Scholar] [CrossRef]
  12. Swanson, C.A.; Headley, V.B. An extension of Airy’s equation. SIAM J. Appl. Math. 1967, 15, 1400–1412. [Google Scholar] [CrossRef]
  13. Hamdan, M.H.; Alzahrani, S.M.; Abu Zaytoon, M.S.; Jayyousi Dajani, S. Inhomogeneous Airy’s and generalized Airy’s equations with initial and boundary conditions. Int. J. Circuits Syst. Signal Process. 2021, 15, 1486–1496. [Google Scholar] [CrossRef]
  14. Dunster, T.M. Nield-Kuznetsov functions and Laplace transforms of parabolic cylinder functions. SIAM J. Math. Anal. 2021, 53, 5915–5947. [Google Scholar] [CrossRef]
  15. Abramochkin, E.G.; Razueva, E.V. Higher derivatives of Airy’s functions and of their products. SIGMA 2018, 14, 1–26. [Google Scholar]
  16. Hamdan, M.H.; Jayyousi Dajani, S.; Abu Zaytoon, M.S. Higher derivatives and polynomials of the standard Nield-Kuznetsov function of the first kind. Int. J. Circuits Syst. Signal Process. 2021, 15, 1737–1743. [Google Scholar] [CrossRef]
  17. Askari, H.; Ansari, A. Stokes phenomenon for the M-wright function of order 1/n. Appl. Math. Comput. 2025, 487, 129088. [Google Scholar] [CrossRef]
  18. Cinque, F.; Orsingher, E. General Airy-type equations, heat-type equations and pseudo-processes. J. Evol. Equ. 2025, 25, 17. [Google Scholar] [CrossRef]
  19. Olver, F.W.J.; Maximon, L.C. Chapter 10, Bessel Functions. In Digital Library of Mathematical Function; NIST, Version 1.2.4; U.S. Department of Commerce: Washington, DC, USA, 2025. [Google Scholar]
Figure 1. Graphs of G n x for 0 x 2 .
Figure 1. Graphs of G n x for 0 x 2 .
Symmetry 17 01180 g001
Figure 2. Solution to the initial value problem for n = 2   and   3 .
Figure 2. Solution to the initial value problem for n = 2   and   3 .
Symmetry 17 01180 g002
Table 1. The polynomials P k x , Q k x , and R k x .
Table 1. The polynomials P k x , Q k x , and R k x .
k P k x Q k ( x ) R k ( x )
0010
1100
20 x n 1
3 x n n x n 1 0
4 2 n x n 1 x 2 n + n n 1 x n 2 x n
5 x 2 n + 3 n n 1 x n 2 4 n x 2 n 1 + n n 1 ( n 2 ) x n 3 3 n x n 1
6 6 n x 2 n 1 +
4 n n 1 n 2 x n 3
x 3 n + n 11 n 7 x 2 n 2 +
n n 1 n 2 ( n 3 ) x n 4
x 2 n + 6 n ( n 1 ) x n 2
7 x 3 n + n 23 n 13 x 2 n 2 +
5 n n 1 n 2 n 3 x n 4
9 n x 3 n 1 +
2 n n 1 13 n 11 x 2 n 3 +
n n 1 n 2 n 3 n 4 x n 5
8 n x 2 n 1 + 10 n ( n 1 ) ( n 2 ) x n 3
Table 2. Degrees of the polynomials P k x , Q k x , and R k x .
Table 2. Degrees of the polynomials P k x , Q k x , and R k x .
PolynomialDegree
( When   k is Even)
Degree
( When   k is Odd)
P k x k 2 1 n 1     ;     k 4 k 1 2 n   ;     k 3
Q k x k 2 n   ;   k 2 k 1 2 n 1   ;     k 3
R k x k 2 1 n     ;     k 2 k 3 2 n 1   ;     k 5
Table 3. The polynomials P k x , Q k x , and R k x for n = 3 .
Table 3. The polynomials P k x , Q k x , and R k x for n = 3 .
k P k x Q k ( x ) R k ( x )
0010
1100
20 x 3 1
3 x 3 3 x 2 0
4 6 x 2 x 6 + 6 x x 3
5 x 6 + 18 x 12 x 5 + 6 9 x 2
6 18 x 5 + 24 x 9 + 78 x 4 x 6 + 36 x
7 x 9 + 168 x 4 27 x 8 + 336 x 3 24 x 5 + 60
Disclaimer/Publisher’s Note: The statements, opinions and data contained in all publications are solely those of the individual author(s) and contributor(s) and not of MDPI and/or the editor(s). MDPI and/or the editor(s) disclaim responsibility for any injury to people or property resulting from any ideas, methods, instructions or products referred to in the content.

Share and Cite

MDPI and ACS Style

Zaytoon, M.S.A.; Hamdan, M.H. Derivatives, Integrals, and Polynomials Arising from the Inhomogeneous Airy Equation. Symmetry 2025, 17, 1180. https://doi.org/10.3390/sym17081180

AMA Style

Zaytoon MSA, Hamdan MH. Derivatives, Integrals, and Polynomials Arising from the Inhomogeneous Airy Equation. Symmetry. 2025; 17(8):1180. https://doi.org/10.3390/sym17081180

Chicago/Turabian Style

Zaytoon, M. S. Abu, and M. H. Hamdan. 2025. "Derivatives, Integrals, and Polynomials Arising from the Inhomogeneous Airy Equation" Symmetry 17, no. 8: 1180. https://doi.org/10.3390/sym17081180

APA Style

Zaytoon, M. S. A., & Hamdan, M. H. (2025). Derivatives, Integrals, and Polynomials Arising from the Inhomogeneous Airy Equation. Symmetry, 17(8), 1180. https://doi.org/10.3390/sym17081180

Note that from the first issue of 2016, this journal uses article numbers instead of page numbers. See further details here.

Article Metrics

Back to TopTop