Dynamics and Confinement Characteristics of the Last Closed Surface in a Levitated Dipole Configuration
Abstract
1. Introduction
2. Research Methods
2.1. Levitated Dipole Magnetic Configuration
2.2. Equations of Motion Under Lorentz Force Dynamics
3. Results and Discussion
3.1. Particle Dynamics at LCFS
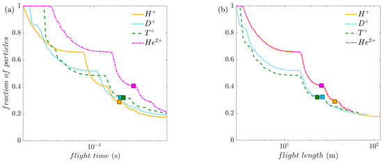
3.2. Particle Confinement Time and Trajectory Length at the LCFS
3.3. The Impact of Levitated Coil Parameters on the Loss Cone
4. Conclusions
Author Contributions
Funding
Data Availability Statement
Conflicts of Interest
Abbreviations
| CAT-1 | China Astro-Torus 1 |
| LDX | Levitated Dipole Experiment |
| RT-1 | Ring Trap 1 |
| MHD | Magnetohydrodynamics |
| L-coil | Levitated Coil |
| D-coil | Dipole Coil |
| X-point | Magnetic Null Point |
| LCFS | The Last Closed Flux Surface |
References
- Kallenrode, M.B. Book Review: Space physics: An introduction to plasmas and particles in the heliosphere and the magnetosphere/Springer, 1998. Ir. Astron. J. 2000, 27, 103. [Google Scholar]
- Hasegawa, A. A dipole field fusion reactor. Comments Plasma Phys. Control. Fusion 1987, 11, 147. [Google Scholar]
- Hasegawa, A.; Chen, L.; Mauel, M.E. A D-3He fusion reactor based on a dipole magnetic field. Nucl. Fusion 1990, 30, 2405. [Google Scholar] [CrossRef]
- Boxer, A.C.; Bergmann, R.; Ellsworth, J.L.; Garnier, D.T.; Kesner, J.; Mauel, M.E.; Woskov, P. Turbulent inward pinch of plasma confined by a levitated dipole magnet. Nat. Phys. 2010, 6, 207. [Google Scholar] [CrossRef]
- Kesner, J.; Davis, M.S.; Ellsworth, J.L.; Garnier, D.T.; Kahn, J.; Mauel, M.E.; Michael, P.; Wilson, B.; Woskov, P.P. Stationary density profiles in the Levitated Dipole Experiment: Toward fusion without tritium fuel. Plasma Phys. Control. Fusion 2010, 52, 124036. [Google Scholar] [CrossRef]
- Garnier, D.T.; Mauel, M.E.; Roberts, T.M.; Woskov, P.P. Turbulent fluctuations during pellet injection into a dipole confined plasma torus. Phys. Plasmas 2017, 24, 012506. [Google Scholar] [CrossRef]
- Davis, M.S.; Mauel, M.E.; Garnier, D.T.; Kesner, J. Pressure profiles of plasmas confined in the field of a magnetic dipole. Plasma Phys. Control. Fusion 2014, 56, 095021. [Google Scholar] [CrossRef]
- Nishiura, M.; Yoshida, Z.; Saitoh, H.; Yano, Y.; Kawazura, Y.; Nogami, T.; Yamasaki, M.; Mushiake, T.; Kashyap, A. Improved beta (local beta >1) and density in electron cyclotron resonance heating on the RT-1 magnetosphere plasma. Nucl. Fusion 2015, 55, 053019. [Google Scholar] [CrossRef]
- Kawazura, Y.; Yoshida, Z.; Nishiura, M.; Saitoh, H.; Yano, Y.; Nogami, T.; Sato, N.; Yamasaki, M.; Kashyap, A.; Mushiake, T. Observation of particle acceleration in laboratory magnetosphere. Phys. Plasmas 2015, 22, 112503. [Google Scholar] [CrossRef]
- Kenmochi, N.; Yokota, Y.; Nishiura, M.; Saitoh, H.; Sato, N.; Nakamura, K.; Mori, T.; Ueda, K.; Yoshida, Z. Inward diffusion driven by low frequency fluctuations in self-organizing magnetospheric plasma. Nucl. Fusion 2022, 62, 026041. [Google Scholar] [CrossRef]
- Qingmei, X.; Zhibin, W.; Peng, E.; Xiaogang, W.; Chijie, X.; Yang, R.; Hantao, J.; Aohua, M.; Liyi, L. Development of plasma sources for Dipole Research EXperiment (DREX). Plasma Sci. Technol. 2017, 19, 035301. [Google Scholar]
- Liu, T.; Zhang, G.S.; Du, J.J.; Yang, Q.X.; Huang, S.L.; Liu, Y.H. Preliminary design and analysis of floating coil for dipole field magnetic confinement experimental device, China Astro-Torus No.1. Nucl. Fusion Plasma Phys. 2022, 42, 271. (In Chinese) [Google Scholar]
- Blank, H.D. Guiding center motion. Fusion Sci. Technol. 2004, 45, 47–54. [Google Scholar] [CrossRef]
- Öztürk, M.K. Trajectories of charged particles trapped in Earth’s magnetic field. Am. J. Phys. 2012, 80, 420–428. [Google Scholar] [CrossRef]
- Zhang, Z.; He, F.; Zhang, X.X.; Liang, G.; Wang, X.; Wei, Y. Solar Wind Charge-Exchange X-ray Emissions from the O5+ Ions in the Earth’s Magnetosheath. Remote Sens. 2024, 16, 1480. [Google Scholar] [CrossRef]
- Boozer, A.H. Physics of magnetically confined plasmas. Rev. Mod. Phys. 2024, 76, 1071–1141. [Google Scholar] [CrossRef]
- Belli, E.A.; Candy, J. Kinetic calculation of neoclassical transport including self-consistent electron dynamics. Plasma Phys. Control. Fusion 2008, 50, 095010. [Google Scholar] [CrossRef]
- Shi, L.M.; Wu, X.K.; Wan, D.; Li, H.D.; Fan, Q.C.; Wang, Z.T.; Feng, H.; Wang, Z.H.; Ma, J. Effects of radial electric field on confinement of high energy particles in advanced fusion mirror reactor. Acta Phys. Sin. 2019, 68, 177. (In Chinese) [Google Scholar] [CrossRef]
- Light, A.D.; Srinivasulu, H.; Hansen, C.J.; Brown, M.R. Counterintuitive Particle Confinement in a Helical Force-Free Plasma. Plasma 2025, 8, 20. [Google Scholar] [CrossRef]
- Procassini, R.J.; Birdsall, C.K.; Cohen, B.I. Particle simulations of transport in a high-recycling divertor scrape-off layer. In Proceedings of the 1990 Plasma Science IEEE Conference Record-Abstracts, Oakland, CA, USA, 21–23 May 1990; Institute of Electrical and Electronics Engineers: Piscataway, NJ, USA, 1990; p. 122. [Google Scholar]
- Zheng, Y.; Xiao, J.; Hao, B.; Xu, L.; Wang, Y.; Zheng, J.; Zhuang, G. Modeling of beam ions loss and slowing down with Coulomb collisions in EAST. Chin. Phys. B 2022, 31, 075201. [Google Scholar] [CrossRef]
- Jackson, J.D. Classical Electrodynamics; John Wiley & Sons: Singapore, 2021; p. 182. [Google Scholar]
- Jardin, S. Computational Methods in Plasma Physics; CRC Press: Boca Raton, FL, USA, 2010; p. 113. [Google Scholar]
- Ram, A.K.; Dasgupta, B. Dynamics of charged particles in spatially chaotic magnetic fields. Phys. Plasmas 2010, 17, 122104. [Google Scholar] [CrossRef]
- Saitoh, H.; Yoshida, Z.; Yano, Y.; Nishiura, M.; Kawazura, Y.; Horn-Stanja, J.; Sunn Pedersen, T. Chaos of energetic positron orbits in a dipole magnetic field and its potential application to a new injection scheme. Phys. Rev. E 2016, 94, 043203. [Google Scholar] [CrossRef] [PubMed]
- Boris, J. Relativistic Plasma Simulation-Optimization of a Hybrid Code. In Proceedings of the 4th Conference on Numerical Simulation of Plasmas, Washington, DC, USA, 2–3 November 1970; Naval Research Laboratory: Washington, DC, USA, 1970. [Google Scholar]
- Qin, H.; Zhang, S.X.; Xiao, J.Y.; Liu, J.; Sun, Y.J.; William, M. Why is Boris algorithm so good? Phys. Plasmas 2013, 20, 084503. [Google Scholar] [CrossRef]
- Yoshida, Z.; Ogawa, Y.; Morikawa, J.; Furukawa, M.; Saitoh, H.; Hirota, M.; Hori, D.; Shiraishi, J.; Watanabe, S.; Numazawa, S.; et al. RT-1 Project: Magnetosphere-Like Plasma Experiment. Fusion Sci. Technol. 2007, 51, 29–33. [Google Scholar] [CrossRef]
- Yoshida, Z.; Ogawa, Y.; Morikawa, J.; Furukawa, M.; Saitoh, H.; Hirota, M.; Hori, D.; Shiraishi, J.; Watanabe, S.; Yano, Y. Magnetosphere-like Plasma Produced by Ring Trap 1 (RT-1)-A New Approach to High-Beta Confinement. In Proceedings of the 21st IAEA Fusion Energy Conference, Chengdu, China, 16–21 October 2006; International Atomic Energy Agency: Vienna, Austria, 2006. [Google Scholar]
- Huba, J.D. NRL Plasma Formulary; Naval Research Laboratory: Washington, DC, USA, 2009. [Google Scholar]








| m (kg) | q/m (C/kg) | |
|---|---|---|
| H+ | 1.6 × 10−27 | 9.6 × 107 |
| D+ | 3.3 × 10−27 | 4.8 × 107 |
| T+ | 5.0 × 10−27 | 3.2 × 107 |
| He2+ | 6.6 × 10−27 | 4.8 × 107 |
| H+ | D+ | T+ | He2+ | |
|---|---|---|---|---|
| Particle Flight Time (ms) | 0.185 | 0.190 | 0.205 | 0.263 |
| Particle Flight Length (m) | 36.3 | 26.5 | 23.2 | 25.8 |
Disclaimer/Publisher’s Note: The statements, opinions and data contained in all publications are solely those of the individual author(s) and contributor(s) and not of MDPI and/or the editor(s). MDPI and/or the editor(s) disclaim responsibility for any injury to people or property resulting from any ideas, methods, instructions or products referred to in the content. |
© 2025 by the authors. Licensee MDPI, Basel, Switzerland. This article is an open access article distributed under the terms and conditions of the Creative Commons Attribution (CC BY) license (https://creativecommons.org/licenses/by/4.0/).
Share and Cite
Wang, Z.; Liu, T.; Liu, S.; Du, J.; Zhang, G. Dynamics and Confinement Characteristics of the Last Closed Surface in a Levitated Dipole Configuration. Symmetry 2025, 17, 1057. https://doi.org/10.3390/sym17071057
Wang Z, Liu T, Liu S, Du J, Zhang G. Dynamics and Confinement Characteristics of the Last Closed Surface in a Levitated Dipole Configuration. Symmetry. 2025; 17(7):1057. https://doi.org/10.3390/sym17071057
Chicago/Turabian StyleWang, Zhao, Teng Liu, Shuyi Liu, Junjie Du, and Guoshu Zhang. 2025. "Dynamics and Confinement Characteristics of the Last Closed Surface in a Levitated Dipole Configuration" Symmetry 17, no. 7: 1057. https://doi.org/10.3390/sym17071057
APA StyleWang, Z., Liu, T., Liu, S., Du, J., & Zhang, G. (2025). Dynamics and Confinement Characteristics of the Last Closed Surface in a Levitated Dipole Configuration. Symmetry, 17(7), 1057. https://doi.org/10.3390/sym17071057
