Abstract
Addressing the insufficient identification of key consumer requirements in refrigerator design and the current limitations in understanding the impacts and underlying mechanisms of product design on sustainability, this study develops an interdisciplinary methodological framework that synergizes industrial design principles with advanced computer-aided design techniques and deep neural network approaches. Initially, consumer decision preferences concerning essential product attributes and sustainability indicators are systematically elucidated through semi-structured interviews and multi-source data fusion, with a particular emphasis on user sensitivity to energy efficiency ratings, based on a high-quality sample of 303 respondents. Subsequently, a latent diffusion model alongside a ControlNet architecture is employed to intelligently generate design solutions, followed by comprehensive multi-attribute optimization screening using an integrated decision-making model. The empirical evidence reveals that the synergistic interplay between functional rationality and design coordination plays a critical role in determining the overall competitiveness of the design solutions. Furthermore, by incorporating established industrial design practices, prototypes of mini desktop and vehicle-mounted multifunctional refrigerators—derived from neural network-generated design features—are developed and assessed. Finally, a nonlinear predictive mapping model is constructed to delineate the relationship between industrial design characteristics and consumer appeal. The experimental results show that the proposed support vector regression model achieves a root mean square error of 0.0719 and a coefficient of determination of 0.8480, significantly outperforming the Bayesian regularization backpropagation neural network baseline. These findings validate the model’s predictive accuracy and its applicability in small-sample, high-dimensional, and nonlinear industrial design scenarios. This research provides a data-driven, intelligent analytical approach that bridges industrial design with computer-aided design, thereby optimizing product market competitiveness and sustainable consumer value while promoting both theoretical innovation and practical advancements in sustainable design practices.
1. Introduction
With the intensification of the global ecological crisis and the gradual enhancement of consumer awareness regarding sustainable consumption [1], the field of industrial design is undergoing a transformation from a traditional focus on functionality and aesthetics toward the integration of ecological considerations and user needs [2]. Among consumer products, household refrigerators represent typical durable goods, the design and usage of which not only directly affect consumers’ daily life experiences but are also closely linked to energy consumption, resource utilization, and environmental sustainability [3]. Against the backdrop of global consumption upgrades and green energy efficiency trends [4], the design of household appliances now necessitates breakthroughs beyond basic functionality, extending into product aesthetics [5], energy efficiency, and user experience [6]. Despite increasing consumer demand for personalized products and sustainable lifestyles [7], a notable gap remains in the research bridging consumer demand identification and sustainable design mechanisms. On the one hand, traditional user research methods struggle to capture the dynamic interactions of multidimensional consumer demands, and the nonlinear mapping mechanisms between design features and consumer attractiveness remain inadequately explored. On the other hand, neural network technologies and generative design approaches typically emphasize form innovation, overlooking the synergistic effects among functionality, aesthetics, and sustainability. Such theoretical and practical disjunctions frequently result in sustainable designs falling into the predicament of “technically feasible yet market failure”.
Addressing these gaps, this study proposes and validates an interdisciplinary methodological framework that integrates qualitative analysis, intelligent generative technologies, and nonlinear predictive modeling. The framework aims to deeply elucidate the interplay between consumer decision preferences and product characteristics within refrigerator design, exploring the underlying mechanisms through which product design features influence consumer attraction toward sustainable consumption. The main contributions of this research are as follows:
- For the first time, an LDM is integrated with empirically derived user constraints in home appliance design, innovatively employing entropy-weighted COPRAS to address multi-attribute trade-offs in generative deep neural network outputs, achieving balanced benefits among functionality, aesthetics, and sustainability.
- A closed-loop research paradigm of “demand insight—intelligent generation—decision optimization—market prediction” is established, overcoming the limitations of one-way user data transfer inherent in traditional design processes.
- The theoretical advantage of the structural risk minimization framework is validated within small-sample industrial design data scenarios, providing novel tools for decision-making analysis under limited data conditions.
First, this study employs semi-structured interviews combined with multi-source data fusion techniques to deeply explore consumers’ decision-making preferences and sensitivity factors when purchasing refrigerators. Qualitative research methods effectively capture implicit consumer needs and complex decision-making psychology, uncovering variations and distribution characteristics in users’ preferences regarding key attributes such as overall capacity, aesthetic design, and energy efficiency ratings. Second, to address the limitations of traditional design generation methods, which typically struggle to precisely control design details and global coherence, this research introduces an LDM combined with a ControlNet deep learning architecture to achieve high-fidelity and semantic-controllable intelligent generation of refrigerator design schemes. Furthermore, the entropy-weighted COPRAS multi-attribute decision-making method is utilized to comprehensively evaluate and optimize these generated designs, ensuring multi-dimensional coordination and optimization among functional rationality, design coherence, and complexity. Additionally, to quantitatively assess the mechanisms by which design characteristics impact consumer attractiveness, a nonlinear predictive mapping model linking industrial design features with consumer purchase intentions is established. Support vector regression (SVR) and Bayesian regularization backpropagation (BP) neural networks are comparatively analyzed, systematically evaluating their predictive accuracy and generalization capabilities to highlight the theoretical advantages of the structural risk minimization framework in small-sample, high-dimensional design data analysis scenarios. The empirical results demonstrate that the SVR model significantly outperforms the BP neural network in both predictive accuracy and generalization, validating SVR’s practicality and robustness for data-driven predictive tasks involving complex design data, thereby providing clear theoretical support for quantifying the relationship between design elements and consumer attraction. This research further develops prototypes of mini desktop refrigerators and vehicle-mounted multifunctional refrigerators. By extracting intelligently generated design features and integrating detailed engineering optimizations, significant improvements are realized in market competitiveness and sustainable consumer potential, particularly in space utilization efficiency, portability, and human–machine interaction convenience. These outcomes confirm the potential and innovative value of data-driven methods within industrial design practice.
This study constructs and validates a data-driven intelligent design analysis framework, extending the theoretical boundaries within the field of industrial design. It provides a standardized and scientifically robust methodological toolkit for effectively identifying and satisfying user needs, optimizing products’ market competitiveness, and enhancing sustainable consumption value (Figure 1). The research not only enriches sustainable design theory but also offers a replicable technological pathway and practical paradigm for future low-carbon transition and sustainable development in the manufacturing industry.
Figure 1.
Research framework.
2. Related Work
The existing literature primarily comprises two research paradigms: qualitative and quantitative. On the qualitative side, studies focus on exploring user behaviors [8], providing contextual and experiential insights into product design through the analysis of demographic characteristics, purchase motivations [9], and usage scenarios [10]. For instance, Shen et al. [11] explored the relationship between consumer behavior studies and virtual business application design, while Qin et al. [12] found a positive correlation between innovative cultural product design and enhanced purchasing behavior among younger generations. Regarding sustainability analyses, Velaoras et al. [13] adopted qualitative methods to synthesize existing knowledge and evaluated the impact of hotel certifications on environmental and economic sustainability. Additionally, in sustainable product studies, Szaban et al. [14] applied conjoint analysis—a statistical method—to investigate how product attributes and individual variables influence pricing perceptions in the sustainable cosmetics industry. Although these studies provide detailed insights into sustainable product design and consumer demands, they predominantly rely on summarizing and statistically analyzing historical data to propose novel sustainability insights. However, they lack predictive analyses based on nonlinear mapping of existing data for future development, thus constraining their scalability and generalizability. On the quantitative side, research emphasizes data-driven and intelligent-driven objective design methodologies, such as generative adversarial networks (GANs) [15] and topology optimization [16]. For example, Wang and Liu [17] proposed a multi-stage artificial neural network approach integrating particle swarm optimization and the Adam algorithm for product design evaluation. Furthermore, Zhu et al. [18] investigated the impact of emotional and sustainable product design on user experience and satisfaction, developing a BP neural network optimization model for product optimization. In topology optimization, Qian and Ye [19] constructed a dual-model artificial neural network to accelerate gradient-based optimization processes. Additionally, Burnap et al. [20] combined probabilistic variational autoencoders (VAEs) with GANs for product aesthetic design. In the engineering design context, Yoo et al. [21] presented a neural network-based CAD/CAE framework for the conceptual design stage, demonstrating its efficacy through a wheel design case study. Although these quantitative approaches exhibit strong computational advantages, they frequently simplify human preferences and engineering parameters into abstract feature vectors. Moreover, they insufficiently consider constraints and trade-offs among functionality, aesthetics, and sustainability during neural network-based generation and evaluation optimization. For instance, studies employing convolutional neural networks (CNNs) in household product research [22] often overlook contextual factors such as family composition or spatial constraints, resulting in mismatches between the proposed solutions and actual usage scenarios.
In addition, Badawy et al. [23] explored predictive analytics in healthcare using machine learning and deep learning technologies. Falatouri et al. [24] analyzed and compared demand forecasting techniques within supply chain management to enhance sustainability. Aljohani [25] effectively integrated predictive analytics and machine learning into risk mitigation processes, contributing to theoretical innovations in supply chain risk management. Regarding industrial analytics, Chen et al. [26] proposed a gradient boosted partitioned regression tree model for predicting travel time based on large-scale data collected from Industrial Internet of Things infrastructures. Dawood et al. [27] employed an artificial neural network and risk analysis model to predict water quality, assessing water contamination and pipeline sustainability with an average effectiveness of 92%. Furthermore, Zhang et al. [28] applied a neural network-based forecasting method to sustainable electronic agriculture. Despite the aforementioned studies providing promising explorations of predictive analytics across diversified sustainability scenarios, limitations remain in terms of model generalization, adaptability to complex real-world contexts, and depth of empirical application. Additionally, research is still scarce regarding predictive mappings between industrial design feature parameters and consumer preferences, leading to reduced robustness in the market viability of industrial product designs. Consequently, an objective and quantitative analytical bridge between the stages of manufacturing and market entry remains insufficiently developed.
The emergence of diffusion models, particularly latent diffusion models (LDMs) [29], has enabled high-fidelity image synthesis with significantly reduced computational overhead by operating within compressed latent spaces, making them ideal for iterative design exploration. However, their application has predominantly been confined to artistic fields [30], with limited integration of user-oriented constraints or multi-criteria evaluation systems. Simultaneously, semi-structured interview techniques generate rich behavioral data [31], yet mechanisms that systematically translate these data into design guidelines remain insufficient. In response to the identified research gaps, this study develops and empirically substantiates a comprehensive cross-disciplinary research framework that synthesizes qualitative inquiry, generative design algorithms, and nonlinear forecasting models. The framework is designed to systematically investigate how consumer preferences dynamically interact with design parameters in refrigerator products and to uncover the latent pathways through which design attributes shape sustainable consumption attractiveness.
3. Methodology
3.1. Data Collection
This study adopted semi-structured interviews as the core qualitative research method to ensure the acquisition of rigorous and reliable information. This approach balanced the central research objectives with the respondents’ autonomous expressions. It facilitated the exploration of underlying mechanisms and dynamic processes related to the research phenomenon. Compared with structured interviews, semi-structured interviews offer greater flexibility. They allow respondents to elaborate on and supplement specific topics. Meanwhile, the interview guidelines remain aligned with the predefined research questions. This facilitates capturing data with greater depth and richness both theoretically and practically [32]. During the research design phase, the preliminary interview outline was formulated and iteratively validated and revised by comprehensively considering theoretical saturation principles and the unique contextual factors of the study, thereby maximizing the effectiveness and credibility of the collected data [33].
To ensure the rigor and trustworthiness of the semi-structured interview protocol, a two-step validation process was implemented. First, the interview outline was reviewed by five experts—including academic scholars in design and engineering as well as senior industrial practitioners—to evaluate the semantic clarity, contextual relevance, and alignment with research objectives. Their suggestions led to refinements in item phrasing and sequencing to enhance content validity.
Second, a pilot test was conducted with six participants to verify the operational clarity and logical flow of the interview guide. Based on participant feedback and researcher observations, minor revisions were made to improve the interpretability of specific prompts and reduce redundancy.
Given the qualitative nature of the data, procedural reliability was assessed through inter-coder agreement. Two trained researchers independently coded a random subset (20%) of transcripts using the finalized codebook. The Cohen’s Kappa value reached 0.81, indicating substantial inter-rater reliability. This confirmed that the data analysis process was both systematic and replicable, thereby ensuring methodological consistency.
First, this study identified several key topics based on the core research questions to establish an initial interview outline, primarily including user characteristics and habits, as well as demand-related information for refrigerator products. To ensure the reliability and heterogeneity of the qualitative data, a stratified purposive sampling strategy was adopted, complemented by elements of convenience sampling. Participants were deliberately selected to capture a diverse range of demographic and behavioral profiles relevant to refrigerator usage. Stratification was performed across key dimensions such as age group, income level, household type (e.g., urban apartment, dormitory), and refrigerator application scenario (e.g., domestic use, office use, or in-vehicle usage).
Within each stratum, participants were recruited through online user communities, product review platforms, and manufacturer-affiliated retail networks. This hybrid approach enabled the study to access a wide spectrum of consumer experiences while maintaining operational feasibility and theoretical saturation. By combining stratified design with convenience-based execution, the sampling process supported both the richness and contextual relevance of the semi-structured interview data. To ensure the relevance and depth of qualitative insights, representative respondents were selected based on predefined seniority and decision-making criteria. For industry professionals, inclusion required a minimum of five years of experience in home appliance design or manufacturing and current occupation of a mid- or senior-level role (e.g., senior product designer, product strategy lead, or sustainability officer). Academic participants were required to hold a doctoral degree and have an active track record in design-related research or sustainability studies.
Additionally, experienced consumers were included as lead-user representatives. These individuals demonstrated a history of refrigerator comparison and purchase decision making, and many had contributed to public product reviews or participated in consumer feedback forums.
This multi-dimensional sampling ensured that the perspectives captured reflected both professional expertise and advanced user insight, aligning with the study’s goal of triangulating sustainable design expectations across production and consumption domains.
During the formal interview phase, representative respondents were selected as the sample source [34], considering their seniority in the research field, organizational or industrial positions, and relevant experience, thus ensuring multi-perspective discussions and informational saturation regarding the research questions.
The interviews were conducted by professionally trained researchers to ensure methodological rigor and reliability. Each interview was precisely guided and digitally recorded, followed by accurate transcription using manual proofreading methods. The transcripts were subsequently processed using qualitative analysis software (NVivo 14.0) for systematic coding and thematic synthesis. To enhance the trustworthiness of the research, the coding framework was continually refined and improved through cross-validation among researchers and multi-party discussions on the preliminary findings. Such iterative refinements contributed to the robustness of the analytical framework. To guarantee ethical rigor and precision, the interviews were meticulously transcribed with professional verification. The qualitative analysis software (NVivo 14.0) facilitated systematic coding and thematic synthesis. To enhance credibility, cross-validation among researchers and multi-party discussions of the preliminary outcomes were conducted, ensuring continuous refinement and improvement of the coding framework [35]. Consequently, this approach resulted in a comprehensive and refined coding structure. In summary, the semi-structured interviews effectively balanced maintaining research focus and flexible exploration, enhancing data richness and credibility, and they provided the study with profound insights and multidimensional evidence (Figure 2).
Figure 2.
Flowchart of the data collection and preprocessing procedure.
3.2. Sustainable Design Research and Analysis
In this study, deep neural networks were employed to further investigate the shape design of refrigerators. Specifically, a latent diffusion model (LDM) with a deep composite neural network was used to simulate and explore the design generation process. The latent diffusion model is a generative deep learning network based on a diffusion probability process [36], designed to achieve high-fidelity and efficient image synthesis by performing stepwise denoising in latent space rather than the original pixel space. Compared to traditional pixel-level diffusion models, LDMs first utilize an encoder–decoder architecture to perform dimensionality reduction and reconstruction of the input image, thus learning the forward diffusion and reverse denoising processes in a lower-dimensional latent representation. Specifically, given an image , the latent representation is first obtained through the encoder . Then, in the latent space , a forward diffusion process and a reverse process are defined. In the forward diffusion phase, Gaussian noise is progressively injected into the latent representation at each time step, causing the distribution to gradually approach a standard normal distribution. Let the diffusion rate be , the process can be represented as follows:
where . denotes an identity covariance matrix, the dimensionality of which matches that of the latent variable . In the reverse denoising phase, a parameterized denoising network is learned, typically modeled as a Gaussian distribution , so that at each time step, the latent representation of the previous step can be accurately restored, effectively reversing the forward diffusion process layer by layer. During training, the network parameters are estimated by minimizing the variational lower bound from to , which can be written as follows:
where denotes the Kullback–Leibler divergence. The term refers to the expectation taken over the joint distribution of the entire latent variable trajectory generated by the forward diffusion process during training. Since the encoder–decoder compresses high-dimensional images into relatively compact latent representations, the LDM performs diffusion and reverse diffusion processes in the latent space, significantly reducing memory and computational overhead while capturing global semantic and structural features of the image more effectively in this lower-dimensional representation. During the inference (sampling) phase, latent noise is first sampled from a standard normal distribution, and then, through iterative steps using the reverse denoising network, it is gradually restored to . Finally, the image is decoded back to the pixel space through the decoder , generating a new image (Figure 3). To further enhance the controllability of the generated designs, this study introduced the ControlNet neural network in the latent diffusion process to strengthen both the balance and control over local details and global consistency of the synthesized image design solutions [37].
Figure 3.
Operational architecture based on a deep neural network.
To ensure rigorous and consistent evaluation of the generated design schemes, a semi-structured scoring rubric was developed for each of the three key evaluation criteria:
Design Harmony (DH): Assessed based on the visual coherence between product form elements, color schemes, proportional balance, and overall stylistic integrity. Experts assigned scores on a 1–10 scale using the following components:
where each subscore ranges from 1 (poor) to 10 (excellent).
Functional Rationality (FR): Measured by evaluating the logical arrangement of functional components, user ergonomics, and contextual adaptability of the layout. Experts used a three-point structure:
Design Complexity (DC): A reverse-scored indicator reflecting the degree of design intricacy, number of components, and expected difficulty in manufacturing or user learning. A lower score indicates higher complexity. The formula was as follows:
All experts scored independently and were instructed to use the scoring rubric for calibration prior to formal assessment. The final scores for each scheme were computed as the arithmetic mean across all evaluators.
Next, the synthesized design solutions were optimized and filtered to ensure the quality and comprehensive value of the generated results. The proposed methodology began with integrating the multi-source expert evaluations to construct a standardized decision matrix. Multiple domain experts independently evaluated a set of candidate alternatives based on predefined criteria, which were divided into attributes that were either benefit-oriented (maximized) or cost-oriented (minimized). For each alternative and criterion , the aggregated score was calculated as the arithmetic average of all expert ratings:
where represents the number of experts, and denotes the rating from the k-th expert. Prior to aggregation, outlier detection was conducted using interquartile range (IQR) analysis. Extreme values beyond the 1.5×IQR threshold were adjusted via Winsorization at the 5th and 95th percentiles. The adjusted ratings were then averaged across experts, reducing individual variance while mitigating the influence of outliers.
To objectively quantify the relative importance of the criteria, the entropy weight method [38] was applied, using information entropy to measure the discriminating power of each criterion. Heterogeneous data were standardized, with the benefit-oriented criteria normalized as follows:
For the cost-oriented criteria, the conversion formula was:
Although min–max normalization is widely used, it is sensitive to outliers. In cases where the standard deviation or coefficient of variation of expert scores exceeded a predefined threshold, z-score-based normalization was applied as a robustness-enhancing alternative, ensuring the stability of the entropy-weighted calculation.
For the -th criterion, its entropy was calculated using a logarithm to the base , where is the number of alternatives:
where is the number of alternatives, and this formulation ensured that , thereby facilitating consistent normalization across criteria. A lower entropy value indicated less dispersion in the data, implying greater significance of the criterion.
The internal information utility of each criterion was reflected by the coefficient of variation . The final weight was obtained through normalization:
where is the total number of criteria. This data-driven method ensured that the weights were not influenced by subjective bias and were consistent with the characteristics of the dataset.
The COPRAS method ranked the alternatives by synthesizing the weighted criterion values [39], explicitly addressing the trade-offs between benefit and cost attributes. The calculation process was as follows:
First, the standardized matrix was converted into a weighted matrix , using the conversion formula:
Next, for each alternative , the aggregated benefit index and cost index were calculated as follows:
where and denote the sets of benefit- and cost-oriented criteria, respectively.
Then, the relative utility of each alternative was calculated using the proportional principle:
The second term introduced a penalty–reward mechanism to adjust the relative influence of the cost criteria, ensuring a balanced evaluation across competing objectives.
Finally, the alternatives were ranked in descending order of , with higher values indicating better overall performance. In this study, the above steps were used for the multi-criteria evaluation of design solutions, considering key factors such as functionality, aesthetics, and cost effectiveness. This approach allowed for a comprehensive comparison and optimization ranking of different design solutions, providing a scientific basis for the final decision.
Furthermore, a support vector regression (SVR) model was employed to quantitatively predict the relationship between industrial design feature parameters and consumer attractiveness indices [40]. The SVR method facilitated the quantitative analysis of industrial design parameters and consumer attractiveness. Given a training dataset , SVR constructs the regression function by solving the following convex optimization problem:
where is a nonlinear mapping function that projects the input space into a high-dimensional reproducing kernel Hilbert space (RKHS); is a regularization term used to control the model complexity; is a penalty coefficient that balances the training error and the model’s generalization ability; defines the -insensitive zone, allowing prediction errors within to be excluded from the loss calculation; and are slack variables used to handle outlier samples that exceed the -insensitive zone.
Through Lagrangian dual transformation, the original optimization problem can be converted into a dual form that depends solely on the kernel function :
where are the dual variables, with nonzero values corresponding to the support vectors. The Gaussian radial basis function (RBF) kernel is expressed as .
The hyperparameters are typically determined through grid search combined with k-fold cross-validation optimization. The statistical advantage of SVR lies in the implicit realization of high-dimensional linear regression via kernel techniques, which effectively capture complex interactions among variables. The theoretical upper bound of the generalization error of this method is controlled by the Vapnik–Chervonenkis dimension, and its performance is consistently guaranteed under kernel functions that satisfy Mercer’s condition, making it well suited for regression tasks characterized by small sample sizes and high-dimensional nonlinearity.
4. Results and Discussion
4.1. Consumer Feedback on Refrigerator Product Features and Energy Consumption
This study, through rigorous and detailed statistical analysis, obtained a sample structure, as shown in Figure 4, where the figures are expressed as percentages, N denotes the sample size, and all price units are in ¥. In addition, other multi-door refrigerators include double-door refrigerators, T-door refrigerators, French-door refrigerators, and multi-door refrigerators.
Figure 4.
Sample structure: (a) Age, (b) Gender, (c) Personal monthly living expenses, (d) Purchase price/budget, (e) Type of refrigerator.
Figure 5a illustrates the association between the various factors that refrigerator users consider during their purchase and the factors deemed most critical. This analysis, which examined the decision criteria across different refrigerator types, revealed notable differences in consumer priorities. In this overall sample, the intrinsic qualities of the product emerged as the top consideration, with 63% of respondents prioritizing it. Price and after-sales service also ranked highly, at 71% and 60.7%, respectively, while brand recognition was slightly less emphasized. Advertising and distribution channels, on the other hand, played a minimal role, with only 4% and 10.2% consideration, respectively. For single-door refrigerator buyers, the product itself remained the primary focus. Within this group, price was the second most important factor—66.7% of users indicated its significance—while after-sales service and brand received moderate attention (52.2% and 50.7%, respectively); distribution channels and advertising were scarcely considered. In the dual-door refrigerator segment, a similar trend was observed, with users predominantly valuing the product itself. However, the importance of price was even more pronounced in this group, reaching 76.6%. After-sales service and brand maintained their relevance with contributions of 64.8% and 74.2%, respectively, yet the influences of advertising and distribution channels remained limited. For those considering triple-door refrigerators, the emphasis on the product itself continued to dominate. Here, both price and brand gained considerable attention, accounting for 56.8% and 48.6%, respectively, while after-sales service influenced 48.6% of decisions. Again, advertising and distribution channels were barely factored into the decision-making process. Among users of other multi-door refrigerators, the product’s inherent characteristics were valued most highly. In this category, both price and brand were equally important, each garnering a 75% consideration rate. Notably, after-sales service was also significant at 73.2%, indicating that consumers in this segment were particularly sensitive to support services—more so than users of other refrigerator types. As with the other groups, advertising and distribution channels remained of minor importance.
Figure 5.
Factors considered when purchasing a refrigerator vs. the most important factors: (a) Total refrigerator users, (b) Single-door refrigerator users, (c) Two-door refrigerator users, (d) Three-door refrigerator users, (e) Other multi-door refrigerators users.
Overall, the data indicated that regardless of refrigerator type, consumers universally prioritized the product itself when making a purchase decision. Price was the immediate secondary factor, while the influences of after-sales service and brand were somewhat lower, and advertising along with distribution channels had the least impact. These findings [41] suggested that consumers place a high premium on product quality, functionality, and durability. In today’s increasingly competitive market, the core value of the product is the decisive factor in consumer choice. Moreover, economic considerations exert a significant influence on purchasing behavior [42], with some consumers particularly attuned to price—an effect that is especially pronounced among dual-door refrigerator users, likely due to the specific market positioning of these products.
In Figure 6a, numerical labels denote factors related to the refrigerator itself:
Figure 6.
Considerations regarding the product itself: (a) Total refrigerator users, (b) Single-door refrigerator users, (c) Two-door refrigerator users, (d) Three-door refrigerator users, (e) Other multi-door refrigerators users. The red boxes indicate situations where the proportion of users of each refrigerator type who focus on factors related to the refrigerator product itself exceeds that of the overall user group.
- Overall Refrigerator Capacity
- Exterior Design
- Energy Efficiency Rating
- Size
- Freezer Capacity
- Operating Noise
- Internal Space Layout/Compartment Design
- Intelligent/Technological Functions
- Refrigerator Compartment Capacity
- Convenience of Storing Items
- Cooling Method
- Special Function Compartments
Based on the data presented in Figure 6a, among these 12 key factors, the study found that “Overall Refrigerator Capacity” (76.6%), “Exterior Design” (69.3%), and “Energy Efficiency Rating” (61.7%) emerged as the top three priorities for users. This suggests that consumers place a high value on the fundamental functionality and fashionable appearance of refrigerators, while the focus on energy efficiency reflects concerns for environmental protection [43] as well as cost effectiveness. Following these, “Size” (39.4%), “Freezer Capacity” (27.4%), and “Operating Noise” (26.7%) indicated that consumers also have specific requirements regarding the appliance’s practical compatibility and freezing performance. The dimensions influence placement and optimal space utilization within the home, and freezer capacity is directly tied to the ability for long-term food storage—a feature that becomes particularly significant during the pandemic or on special occasions.
Conversely, factors such as “Internal Space Layout/Compartment Design” (24.4%), “Refrigerator Compartment Capacity” (19.8%), “Convenience of Storing Items” (18.8%), and “Cooling Method” (14.2%) received relatively lower attention. This trend suggests that these attributes may be considered secondary by some consumers or that current market offerings have already met basic expectations, rendering them less influential in the decision-making process. The least prioritized factor was “Special Function Compartments” (only 7.9%), possibly because most users do not view such features as essential or because they are infrequently available in existing products.
Moreover, segmentation by purchase price revealed additional nuances. Consumers with a budget of ¥600–1199 exhibited a markedly higher emphasis on “Exterior Design” compared to other factors, and their concern for “Internal Space Layout/Compartment Design” was also significantly elevated relative to the overall sample. This suggests that users within this price range may prioritize a balance between economic affordability and aesthetics. In the ¥1200–1999 segment, high attention was maintained on “Exterior Design” alongside considerable concern for “Energy Efficiency Rating,” possibly indicating a growing awareness of energy-saving benefits and cost efficiency. For users in the ¥2000–3000 range, “Overall Refrigerator Capacity” stood out as the most critical attribute, highlighting that at mid-range price levels, practicality and storage capacity are paramount. Meanwhile, for budgets exceeding ¥3000, although “Overall Refrigerator Capacity” and “Energy Efficiency Rating” remained highly valued, the emphasis on “Exterior Design” was slightly diminished—likely because products in this higher price bracket typically already meet established standards in both design and energy performance.
Shifting focus to different refrigerator types, Figure 6b reveals that single-door refrigerator users predominantly valued “Exterior Design” (76.8%), a proportion that exceeded the overall average. This preference may be closely associated with the typical usage scenarios for single-door models, which are often employed in small households, dormitories, or offices where the appliance’s appearance must harmonize with specific interior decor. Additionally, the heightened focus on “Refrigerator Compartment Capacity” in this group may stem from the fact that single-door designs are primarily used in applications where refrigeration is the main function, thereby necessitating effective storage.
In the case of dual-door refrigerators, as illustrated in Figure 6c, “Overall Refrigerator Capacity” was the leading factor (81.3%), surpassing the overall rate. Given that dual-door models are generally used in households with substantial storage requirements, it is unsurprising that buyers in this category place special emphasis on capacity. Furthermore, the elevated attention to “Energy Efficiency Rating” (65.6%), “Operating Noise” (30.5%), and “Freezer Capacity” (29.7%) reflected concerns about long-term operating costs, a quiet home environment, and the need for diverse food storage options.
Figure 6d shows that among triple-door refrigerator users, “Overall Refrigerator Capacity” remained the most important factor (75.7%), albeit slightly lower than the overall average. Notably, “Intelligent/Technological Functions” (24.3%) received higher attention than the overall rate, suggesting that the independent compartment design of triple-door refrigerators—balancing traditional functionality with modern technological innovation—caters to users seeking enhanced space organization and convenient handling of specialized food items.
Finally, Figure 6e indicates that for users of other multi-door refrigerators, “Overall Refrigerator Capacity” was the most valued attribute (76.8%), closely aligning with the overall average, which reflected a consistent demand for storage capacity. Additionally, factors such as “Size” (44.6%), “Internal Space Layout/Compartment Design” (35.7%), and “Convenience of Storing Items” (26.8%) registered higher than average, indicating that these users have heightened expectations for optimal home compatibility, flexible internal configuration, and storage convenience. This pattern underscored the adaptability advantages of multi-door refrigerators in larger households or environments with complex culinary needs, where efficient space utilization and user-friendly design are highly prized.
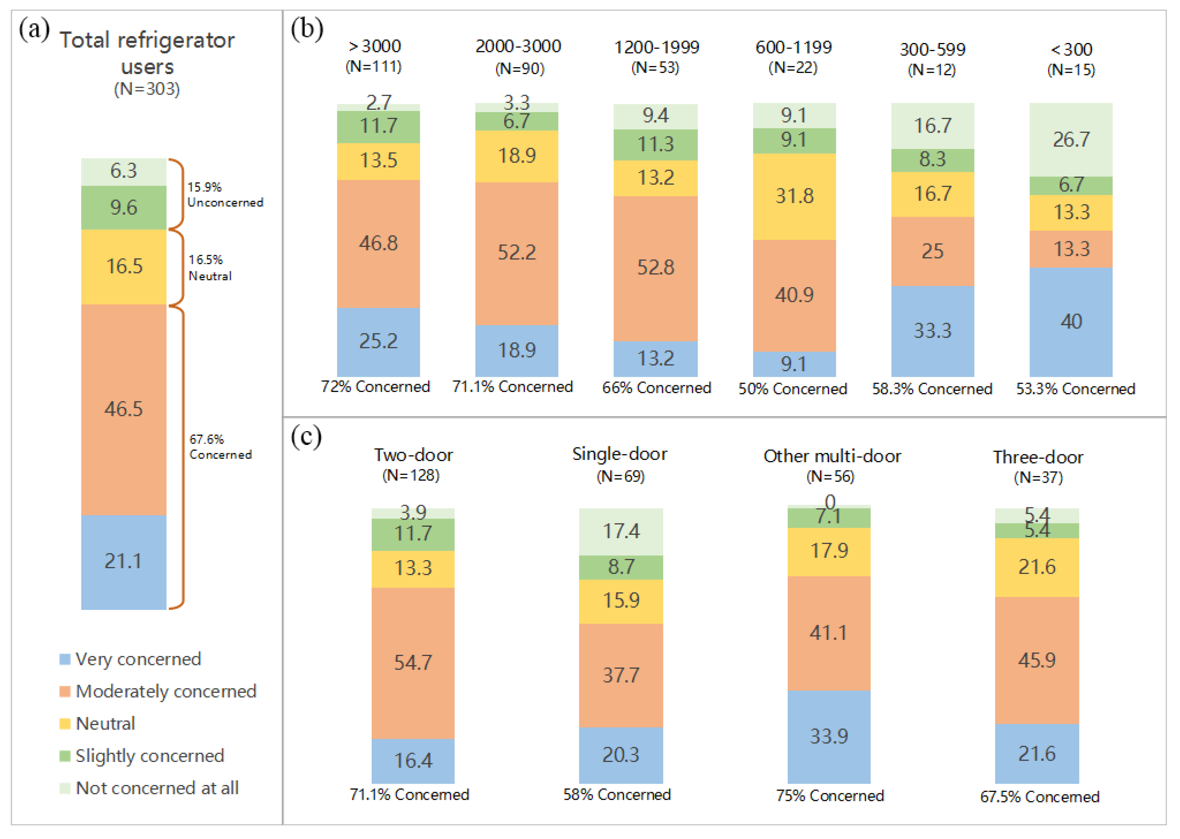
In Figure 7a, the overall sample revealed that 67.6% of refrigerator users were attentive to energy efficiency ratings, 15.9% were not, and 16.5% remained neutral. In general, Chinese consumers placed significant emphasis on energy efficiency when choosing a refrigerator. Figure 7b demonstrates that users with a purchase price or budget exceeding ¥3000 exhibited the highest level of concern for energy efficiency ratings (72%), with only 2.7% indicating they were “completely indifferent”. By contrast, users with a purchase price below ¥300 showed the lowest overall concern (53.3%). Notably, within this lower price range, 40% reported being “very concerned,” and the proportion of users who were indifferent reached 33.4% (with 26.7% being “completely indifferent”). This bipolar distribution in this price segment suggested a polarization in attitudes toward energy efficiency. Moreover, the overall trend indicated that the higher the price or budget, the greater the concern for energy efficiency—likely because higher-priced refrigerators, being larger and equipped with more features and specialized compartments, are generally perceived to consume more energy.
Figure 7.
Concern level for refrigerator energy consumption/energy efficiency rating: (a) Total refrigerator users, (b) Users under different purchase prices and budget conditions, (c) Users under different refrigerator usage types.
Figure 7c further highlights that among different refrigerator types, users of multi-door refrigerators exhibited the highest concern for energy efficiency at 75%, followed by dual-door users at 71.1%, while single-door refrigerator users showed the lowest concern at 58%. Within the multi-door segment, the proportion of users who were “very concerned” reached 33.9%, compared to 21.6% for triple-door models. For single-door refrigerators, the attention to energy efficiency appeared to be polarized. On one hand, their smaller overall size and internal capacity lead many users to assume a lower energy consumption, prompting some to report being “completely indifferent”. On the other hand, a segment of single-door refrigerator buyers cited cost-effectiveness as their primary purchasing motive, leading them to express “very concerned” views regarding energy efficiency. This duality reflected a divergence in consumer attitudes based on the perceived energy performance of single-door models. By contrast, the heightened concern among multi-door refrigerator users was attributable to the larger size, more complex compartmental designs, and richer technological features inherent in these models, which collectively lead users to assume higher energy consumption and, therefore, to prioritize energy efficiency ratings in their decision-making.
Based on Figure 8, several aspects of Chinese consumers’ attention to refrigerator energy efficiency ratings can be observed. In Figure 8a, a high proportion of overall refrigerator users (71.6%) were concerned with “energy efficiency ratings,” whereas only 28.4% paid attention to “annual electricity consumption”. Figure 8b,c further indicates that, regardless of refrigerator type or purchase price/budget, users tended to focus more on “energy efficiency ratings” rather than “annual electricity consumption”. This trend suggested a widespread phenomenon, reflecting consumers’ preference for easily accessible energy efficiency information. As a straightforward and intuitive indicator, the energy efficiency rating enables consumers to quickly assess a product energy performance, while complex information such as annual electricity consumption may not be fully understood or effectively incorporated into purchasing decisions. Even though annual electricity consumption can provide more detailed and accurate information, its complexity and the time required for its calculation may impede its practical application among consumers. For ordinary consumers without advanced technical knowledge, the energy efficiency rating, as a symbolic label, is more readily adopted and trusted than specific numerical data like annual electricity consumption.
Figure 8.
Concerns regarding refrigerator energy consumption/energy efficiency rating: (a) Total refrigerator users, (b) Users under different refrigerator usage types, (c) Users under different purchase prices and budget conditions.
The analysis of refrigerator users’ attention to energy efficiency ratings in product selection revealed several significant trends and influencing factors. These findings provided key insights into consumer behavior, demonstrating that energy efficiency ratings have become an important decision-making factor in the Chinese refrigerator market. However, the notable proportion of users who were neutral or indifferent suggests that further efforts in information dissemination and consumer education are needed to ensure that a broad consumer base fully understands and utilizes energy efficiency information in their purchasing decisions. Moreover, enhancing energy efficiency knowledge, improving product transparency, and ensuring clear information delivery will help to promote more sustainable product choices and long-term ecological benefits.
To enhance the robustness of the statistical findings, we computed 95% confidence intervals (CI) for all major proportion estimates using the Wilson score method for binomial proportions. For example, the proportion of users who prioritized “Overall Refrigerator Capacity” was 76.6% (CI: 72.1–80.5%), while “Exterior Design” was rated highly by 69.3% (CI: 64.6–73.6%). These intervals confirmed the statistical reliability of the observed preferences.
Moreover, the Pearson’s chi-square test was applied to examine the association between refrigerator type and key attribute preferences. The results revealed statistically significant differences in consumer emphasis on energy efficiency across product types () and budget levels (). These findings indicated that consumer preferences are not uniformly distributed but vary systematically based on product configuration and purchase intention.
The addition of confidence intervals and inferential statistics provided a more rigorous empirical basis for understanding user preferences and validated the generalizability of the collected survey data.
4.2. Generation and Analysis of Sustainable Design Schemes via Computational Methods
4.2.1. Simulation-Based Generation and Discussion of Schemes
During the qualitative analysis of the interview transcripts, an emergent cross-dimensional theme was identified linking aesthetic preferences with consumer perceptions of sustainability. Specifically, multiple respondents associated visually minimalistic and organically styled refrigerator designs with environmentally responsible manufacturing and energy-saving performance. Terms such as “compact”, “clean”, “natural”, and “uncluttered” were repeatedly mentioned as positive indicators of both aesthetic satisfaction and sustainable design consciousness.
Conversely, some participants perceived overly decorative or structurally complex designs as indicative of excessive material usage and potential energy inefficiency, implying a negative impact on environmental sustainability. This observation reveals a latent cognitive interaction wherein aesthetic qualities act as symbolic cues influencing users’ sustainability judgments.
Based on the aforementioned analysis, users attach significant importance to the integration of cost effectiveness, aesthetics, and sustainability in refrigerator design; moreover, in the case of small refrigerators, the appearance is also a key factor. Given the varied usage environments for small refrigerators—including homes, dormitories, and offices—the design schemes must cater to multiple application scenarios and thus adhere to the principles of compactness and simplicity. To further investigate small refrigerator design, the experimental section employed images of best-selling small refrigerator models as the training dataset to guide the deep neural network in effectively learning and capturing market-driven design trends. Specifically, this study constructed a LoRA control model based on images of popular small refrigerators. Following expert discussions and the integration of DeepBooru tagging, emotional imagery labels were assigned to 500 small refrigerator images. Concurrently, the keyword “compact” was used as a guiding term during the training of the LoRA control model. Initially, the images underwent a multi-stage preprocessing procedure. All images were standardized to a resolution of 512×512 pixels and converted to RGB format. DeepBooru tagging was then applied to extract semantic labels representing both emotional and stylistic attributes. The label was manually reviewed, filtered, and concatenated into structured text prompts for conditioning the generative model. Minor augmentation (including horizontal flipping, brightness adjustment, and rotation) was also applied to enhance the robustness and diversity of the dataset. Subsequently, the generated tag texts were consolidated with the database to serve as input for model training. During the sampling phase, the DPM++ 2M algorithm (with the CFG scale set to 7) was utilized in combination with ControlNet to control image morphology and enable continuous iterative optimization. In addition, Canny and Scribble edge detection algorithms were introduced during preprocessing [44], which allowed the latent diffusion model to iteratively generate entirely new design schemes (Figure 9). To enhance the controllability and design coherence of the generated refrigerator concepts, the ControlNet architecture was integrated into the latent diffusion framework with two levels of conditioning input. First, semantic prompts were derived from expert-guided fusion of DeepBooru tags and interview-based user preference descriptors. These prompts encoded high-level design expectations, such as form simplicity, functional clarity, and sustainability alignment. Second, Canny edge maps were used as structural inputs to constrain spatial features such as compartment boundaries, handle positioning, or display panel alignment. The ControlNet model was trained to inject these spatial priors into the denoising steps of the latent space, enforcing consistency between the generated output and user-defined geometric structures. This dual conditioning mechanism enabled hierarchical balance between global semantic form and local structural detail.
Figure 9.
Computationally derived design scheme diagram:(S1)–(S32) are the detailed identifiers of design proposals generated using deep learning algorithms.
An in-depth analysis of these design schemes followed. A focus group comprising four experts with extensive backgrounds in industrial design was convened for evaluation, including two academic instructors specializing in industrial design research and two enterprise managers with profound experience in refrigerator design. All experts possessed deep insights and practical experience in sustainable development. Through focus group discussions and analysis, the following evaluation indicators were established: design harmony, functional rationality, and design complexity. A higher design harmony score indicated better overall coherence in visual appearance, structure, and user experience; a higher functional rationality score implied that the design functional layout and usage logic were clearer and more reasonable, thus better meeting target requirements; whereas design complexity was a negative indicator, with higher values suggesting more intricate components or interaction processes, potentially leading to increased manufacturing or user learning costs. Through deep decision analysis and by integrating the decision matrices from the four experts, a composite matrix was generated and subsequently normalized (Table 1, where CV stands for composite value, and SV stands for standardized value). The entropy weight method yielded indicator weights w1, w2, and w3 of 0.352, 0.413, and 0.235, respectively. The normalized matrix was then combined with these weights to form a weighted normalized matrix, with the resulting values illustrated in Figure 10. Benefit values, cost values, and finally utility values were calculated, yielding analytical results for all schemes (Table 2). Employing the entropy-weighted COPRAS integrated model, Scheme 16 was identified as the optimal design, with its utility value significantly higher than those of the other schemes (Table 2). Further analysis revealed that Scheme 16 ranked within the top 10th percentile in both design harmony (8.25) and functional rationality (6.00), while its design complexity (3.75) fell within a low-risk range. This result underscored its balanced performance across key quality attributes. Compared with suboptimal schemes (Schemes 22, 8, and 29), Scheme 16 did not achieve an extreme value in any single indicator; however, its multi-criteria collaborative optimization resulted in superior overall utility. For example, although Scheme 22 excelled in functional rationality (8.50), it had a relatively high design complexity (4.25), while Scheme 8 exhibited extremely low design complexity (2.50) but its functional rationality (7.75) was somewhat lacking. This suggests that in multi-attribute decision scenarios, a balanced approach may be more competitive than excelling in any single criterion.
Table 1.
Composite matrix and standardized matrix.
Figure 10.
Weighted standardized scores for 32 schemes.
Table 2.
The utility values of all schemes.
The criterion weights determined via the entropy method (functional rationality 41.3% > design harmony 35.2% > design complexity 23.5%) significantly influenced the final ranking. The high weight of functional rationality (41.3%) explained its major contribution to the utility value calculation. Among the top five schemes, the functional rationality scores were all ≥ 6.00 (with a global mean of 5.42), indicating that this indicator played a decisive role in scheme competitiveness. The secondary weight of design harmony (35.2%) elevated aesthetically superior schemes (e.g., Schemes 11 and 22) into the top rankings, although its impact was moderated by functional rationality. For instance, Scheme 11 achieved the highest design harmony score (8.75) but ranked fifth due to its lower functional rationality (6.50). Notably, despite having the lowest weight, design complexity still played a critical role in Scheme 16’s success; its design complexity (3.75) was markedly better than that of competitors within the same utility range (e.g., Scheme 22’s 4.25), demonstrating that even criteria with lower weights can influence decisions through marginal benefits. These findings suggested that, for manufacturing enterprises optimizing design under limited resources, priority should be given to enhancing functional rationality—perhaps through participatory design to better align with user needs—while adopting modular design approaches to reduce complexity, thereby balancing innovation with manufacturability. This study not only provides direct guidance for refrigerator design optimization but also presents a methodological framework that can be transferred to other industrial design scenarios, promoting a data-driven intelligent decision-making paradigm and advancing sustainable design development.
4.2.2. Design Implementation and Engineering Analysis
Based on the preliminary appearance schemes and architectures generated by the neural network—and drawing upon the design elements formed in these images—further design refinements were undertaken that incorporated a broader range of practical considerations. In conjunction with user feedback and functional requirements obtained during the data survey phase, and after thoroughly evaluating various methods for implementing each function, sketches of a mini desktop refrigerator were produced (Figure 11). During the sketching process, the overall form underwent multiple iterations. Adhering to the design philosophy of “form serving function and sustainable design,” simplicity and naturalness were established as the hallmark elements of this product series. Ultimately, a minimalistic overall shape featuring a “flat top and rounded bottom” was finalized, with all detailed elements on the refrigerator maintaining a high degree of consistency. The design concept prioritized home use while also considering portability. Both the proportional design and the functional layout were carefully crafted to ensure ease of use in compact environments. With its flat top and rounded bottom, the refrigerator not only provided a visually comfortable impression but also offered a space on the top surface for small items such as succulents, decorative objects, and trinkets. The mini refrigerator’s door employed a strong magnetic latch, while side grooves allowed for comfortable opening of the door. The heat dissipation vents were designed with a texture consistent with the refrigerator’s overall elements, and they fully accounted for the cooling requirements of the electronic components. Internally, shelves facilitated the storage of items or food of varying sizes. The rear of the refrigerator was equipped with both a 12V DC power supply and a 220V AC power supply, fulfilling the dual functionality for home and vehicular use. Additionally, an LED display on the front enabled users to easily monitor the refrigerator’s real-time status and operating mode. A leather handle with limit screws further enhanced the convenience of moving the appliance.
Figure 11.
Mini desktop refrigerator sketch.
The design of the four “legs” was also inspired by the generated images. After appropriate optimization, they provided a “floating” visual impression by lowering the product’s visual center of gravity, thereby rendering the overall appearance of the refrigerator more elongated (Figure 12). The sketches preliminarily presented the refrigerator’s iconic elements and volumetric composition, offering a reference for subsequent model development and detailed refinement. The decision to increase the length and height was based on user interviews, during which the most frequently reported pain point for mini refrigerator users was insufficient internal capacity. The refrigerator employed semiconductor cooling, with dual cooling chips capable of delivering 77W of cooling and 66W of heating. The heat dissipation vents on the side and back ensured efficient overall operation (Figure 13). In ECO mode, the system reduced both the refrigerator’s power consumption and the fan speed for heat dissipation, thereby providing a quieter operating experience.
Figure 12.
Mini desktop refrigerator multi-angle display.
Figure 13.
Refrigerator internal details.
Based on sustainable design principles and the preliminary appearance schemes and architectures generated by the neural network, the design process primarily considered outdoor usage scenarios and functionalities. In addition to the basic refrigerator architecture, wheels, handles, a vehicular power supply interface, and interactive interfaces adapted to relevant scenarios were incorporated. After thorough consideration and analysis, sketches of a multifunctional vehicle refrigerator were produced (Figure 14). As a product in the same series, the vehicle refrigerator shared the design philosophy and detailed design elements with the mini refrigerator. However, due to differences in cooling methods and the additional challenges encountered in outdoor environments, the design of the vehicle refrigerator placed a greater emphasis on functionality. At the same time, while ensuring that functional requirements were met, attention was also paid to the overall proportions, sustainable simplicity, and aesthetic features of the appliance. This design concept prioritized “portability” and “outdoor usage” as its main considerations, leading to the development of relevant functional features. The overall size and proportions were carefully determined to ensure ease of use in the confined space of a vehicle when on the move. The refrigerator’s form was particularly suited for placement in a car trunk, and the interactive interface was relocated to the side of the unit for user convenience. The appliance was equipped with a set of 160 mm diameter wheels to enhance mobility, and an extended handle—integrated into a composite handle on the opposite side—allowed users to pull the refrigerator in a manner similar to dragging a suitcase. Both side handles were designed to be foldable and were complemented by shorter handles to facilitate vertical maneuvering during loading and unloading.
Figure 14.
Multifunctional vehicle refrigerator sketch.
Internally, the refrigerator featured a stepped layout with partitioning that facilitated the storage of food and other items of various sizes and types while minimizing movement. The heat dissipation vents on the side and rear ensured the compressor’s stable, long-term operation. The door employed a strong magnetic latch, maintaining the minimalistic aesthetic of the design while ensuring that the seal was not compromised by vibrations or jostling (Figure 15). After accounting for the necessary space required for the compressor, electrical control system, external accessories, and insulation layer, the final internal capacity reached 36 L, which satisfied users’ storage needs. Market research indicated that an internal capacity between 30 and 35 L is the most preferred by users of vehicle refrigerators, as capacities that are either too large or too small can diminish practicality. This size was compatible with the trunk storage conditions of the vast majority of vehicles and also met the household needs of 1–2 persons, thereby achieving a dual function for both vehicle and home use. Moreover, the simplified components and exterior design contributed to reduced raw material consumption and lower human–machine interaction costs during operation.
Figure 15.
Multifunctional vehicle refrigerator multi-angle and dimensional display.
Figure 16 illustrates the internal details of the vehicle refrigerator. Due to the space occupied by the compressor and other electronic components, the storage compartment exhibited a stepped configuration on both the left and right sides. To address this, the interior partitioning was optimized by designing a removable grid that effectively separates different zones. This grid not only ensured the stability of stored items but also enabled efficient categorization of foods or items of varying sizes, while also being detachable for easy cleaning. An integrated lighting system was installed to assist users in retrieving items under low-light conditions. The refrigerator door featured a strong magnetic latch, and its hinge incorporated a damping mechanism—similar to that found in laptop hinges—that allowed the door to remain suspended at any angle. The contrasting black-and-white color scheme was inspired by CMF references generated by the neural network, and the overall color palette and detailing were consistent with those of the mini desktop refrigerator, forming a unified design language across the miniature refrigerator family. Given the unique environmental demands of vehicle use, all connection points likely to endure external forces—including the wheels, wheel axles, handles, door hinges, and bottom support feet—were reinforced to ensure product robustness and compliance with quality standards.
Figure 16.
Multifunctional vehicle refrigerator internal details diagram.
4.3. Establishment of a Sustainable Consumption Mapping Model
To further predict the consumer market and potential of sustainably designed products, a quantitative prediction model was developed using support vector regression (SVR) to map the industrial design feature parameters to the consumer appeal index. First, 300 subjects with a need for purchasing refrigerators were recruited based on stratified sampling principles. Using a 7-point Likert scale, purchase intentions for 32 sets of industrial design schemes were evaluated. The evaluation data were processed—by computing the mean and applying normalization—to transform them into data for the consumer appeal prediction variable (Figure 17). To ensure data validity, all design schemes were standardized through 3D rendering techniques. By constructing an SVR model with hyperparameter optimization, the nonlinear relationship between the product design elements and consumer appeal was systematically explored. In the experiments, design harmony, functional rationality, and design complexity were standardized using the z-score function and used as input variables, while consumer appeal (normalized to the [0,1] interval) served as the target variable. A stratified 70–30 data split was implemented using the cvpartition function (with the random seed rng(42) ensuring experimental reproducibility).
Figure 17.
Visualization of the scores of the 32 design proposals.
During the model construction phase, an SVR with a radial basis function (RBF) kernel was instantiated via the fitrsvm function. A Bayesian optimization algorithm (with the optimizer parameter set to bayesopt) was employed to optimize three key hyperparameters—BoxConstraint (search space [1 × 10−3, 1 × 103]), KernelScale ([1 × 10−3, 1 × 103]), and Epsilon (dynamic range [0.01 × IQR(Y), 0.2 × IQR(Y)])—over 50 iterations (MaxObjectiveEvaluations = 50). Throughout this process, 5-fold cross-validation was used to calculate the mean squared error (MSE) as the optimization objective function. Convergence was reached at the 35th iteration when the change in the objective function ΔMSE was less than 1e-4 for 10 consecutive iterations (Figure 18). Ultimately, the optimal hyperparameter combination was obtained: BoxConstraint = 48.72 (controlling the regularization strength), KernelScale = 2.31 (determining the RBF kernel width), and Epsilon = 0.034 (setting the boundary of the insensitive region). Under this configuration, the model’s Hessian matrix condition number was κ = 7.2 × 103, indicating a numerically stable parameter space. In the model validation phase, the independent test set yielded an RMSE of 0.0719 and a coefficient of determination R2 of 0.8480. A scatter plot of predicted versus actual values further confirmed the model’s accuracy (Figure 19), with data points densely distributed along the diagonal , demonstrating excellent predictive capability. Residual analysis revealed the error distribution characteristics of the SVR model in predicting consumer appeal (Figure 20). The observed data showed that the residuals were symmetrically distributed in the range [−0.1, 0.2], with over 90% of the absolute residuals being less than 0.08, consistent with the model’s RMSE of 0.0719. To further decompose the feature contributions, a permutation feature importance analysis was conducted. By randomly shuffling each feature column in the test set (with n_perm = 100 Monte Carlo simulations) and calculating the resulting RMSE increment, the results indicated that perturbing design harmony led to a greater ΔRMSE than perturbing functional rationality, and the ΔRMSE for functional rationality was greater than that for design complexity (Figure 21). This ranking aligned with theoretical expectations in design psychology, where form integration is prioritized over functional visibility. The limitations analysis revealed that the current model did not account for the temporal drift in consumer preferences. Future work will extend to include time series cross-validation (TimeSeriesSplit) and multi-objective optimization based on the gamultiobj function to enhance the model’s temporal adaptability. This case study provides a standardized technical paradigm for data-driven product design optimization, with potential for generalization to other design attribute prediction tasks. Moreover, it achieves a degree of quantitative analysis and prediction related to the sustainable consumption market, offering practical value for the development of sustainable products under engineering constraints.
Figure 18.
Process of finding the optimal solution of the objective function.
Figure 19.
Predicted situation analysis scatter plot; the dashed blue line represents the ideal agreement line (y = x).
Figure 20.
Residual analysis chart; the dashed green line denotes the zero-residual baseline (y = 0).
Figure 21.
Deconstructing feature contributions.
4.4. Comparative Experiments and Discussions
In addition, to further analyze and validate the predictive performance, this study constructed a comparative predictive model based on a Bayesian regularization backpropagation (BP) neural network. The aim was to explore the nonlinear mapping between multidimensional design factors and consumer appeal. Using the same original dataset as the support vector regression model, data augmentation was performed via Gaussian noise injection (with standard deviation σ = 0.03) to enhance the model’s generalization capability, generating 50% synthetic samples (thereby expanding the total sample size to 48 groups). Both the input and output variables were normalized to the [0,1] interval using the mapminmax function, and the transformation parameters (xPS and yPS) were saved to ensure consistency for subsequent inference. A five-fold cross-validation (CV) framework (with random seed rng = 2023) was adopted, with each fold partitioning the data into 70% training, 15% validation, and 15% testing sets. During the neural network configuration, a feedforward neural network with 8 hidden nodes was constructed using feedforwardnet (8, ‘trainbr’), where ‘trainbr’ denotes the use of the Bayesian regularization training algorithm. This algorithm adjusted the regularization parameters to control overfitting and automatically adapts the network’s complexity during training (Figure 22). In the training process, the maximum number of iterations was set to 1000 and the performance goal (net.trainParam.goal) to 1 × 10−5 to ensure a gradual reduction in error. Furthermore, an early stopping mechanism was implemented using a custom stopIfOverfitting function that monitored the validation error. Early stopping was triggered if the validation error increased for 5 consecutive iterations or if the regularization parameter (net.trainParam.mu) exceeded a preset threshold, thereby preventing overfitting.
Figure 22.
Neural network architecture.
The final model was selected as the one with the lowest MSE during CV (denoted as bestNet), achieving a coefficient of determination R2 = 0.786 (RMSE = 0.112) on the original test set (unenhanced data), which indicated that the model explained 78.6% of the variance in consumer appeal. The residual analysis showed that the prediction errors followed an approximately normal distribution (with over 90% of the samples falling within ±0.2) and did not exhibit any heteroscedasticity trends (Figure 23). Figure 24 reveals that the training error rapidly decreased during the initial stages and then plateaued. Notably, the best training performance occurred at the 45th epoch with an MSE of 0.01157, reflecting the optimal state achieved during training. However, further training did not yield significant improvements, suggesting that the model’s learning capacity might have reached a bottleneck or that additional tuning and regularization might be required to further mitigate overfitting. Figure 25 demonstrates that the error distributions for the training and test sets were relatively similar, although errors in the test set occurred less frequently and were more uniformly distributed. The training set’s errors were more concentrated, particularly near-zero error (as indicated by the orange dashed line), which suggested a good fit on the training data. Despite many instances of near-zero error in the training data, the test data exhibited comparatively fewer zero-error cases, indicating that while the model fit the training data well, some errors persisted on the test set. Figure 26 shows that throughout the training process, the network’s gradient gradually converged, indicating that training became progressively stable and the parameter updates stabilized. The marked fluctuations in the regularization parameter (mu) suggested that Bayesian regularization played a crucial role in controlling overfitting, especially during the later stages of training. Other factors, such as the number of model parameters, chi-square values, the sum of squared parameters, and input normalization parameters, remained stable, demonstrating that no abnormal fluctuations occurred in the model structure or training process and that overall training stability was satisfactory. The number of validation checks further indicated that neither overfitting nor excessive bias in the validation set occurred, underscoring the reliability of the training process. Figure 27 illustrates that the BP neural network’s fitting performance varied across different datasets. The training set achieved excellent performance with an R2 of 0.93075, indicating that the model could explain approximately 93% of the variance in the training data, and the fitted curve had a slope of 0.86 and an intercept of 0.074, indicating a strong linear relationship between the output and target values. By contrast, the test set’s performance was relatively poor, with R2 decreasing to 0.86802, a noticeable reduction in the slope to 0.5, and an increased intercept of 0.39, signifying a decline in fitting accuracy. The overall dataset exhibited intermediate performance (R2 = 0.9116), with a fitted slope of 0.82 and an intercept of 0.11, reflecting a compromise between the strong training performance and the shortcomings on the test set.
Figure 23.
Prediction result analysis chart. BPNN prediction performance: the dashed blue line denotes the ideal agreement (y = x). Standardized residual distribution: the dashed blue line marks the zero-residual baseline (y = 0). Points represent individual design cases.
Figure 24.
MSE curve during the training process.
Figure 25.
Error distribution chart.
Figure 26.
Training process parameter variation trends.
Figure 27.
Neural network fitting performance diagram.
In summary, although the model performed exceptionally on the training data, its generalization ability on the test data remained insufficient. To improve generalization, future work could explore additional regularization methods, increase the diversity of training data, or optimize the model’s structure and parameters to enhance prediction accuracy and stability on new data.
This study compared the performance differences between support vector regression (SVR) and Bayesian regularization backpropagation (BP) neural networks in predicting consumer appeal based on industrial design features, revealing the interplay between the models’ intrinsic mechanisms and the characteristics of the data. The superiority of SVR (test set RMSE = 0.0719, R2 = 0.848) stemmed from its structural risk minimization (SRM) framework. By combining the ε-insensitive loss function with a radial basis function kernel, SVR balanced model complexity and empirical error in nonlinear mapping. Its hyperparameter optimization via Bayesian methods suppressed overfitting by maximizing the margin and retaining only a small subset of training samples as support vectors, demonstrating the adaptability of sparse solutions to high-dimensional, small-sample (n = 32) scenarios. By contrast, the BP neural network (test set RMSE = 0.112, R2 = 0.786), despite employing Bayesian regularization (trainbr) and an early stopping strategy, sufferred from parameter redundancy in its 8-node hidden layer, which resulted in an empirical risk minimization (ERM) tendency. This issue was further exacerbated after data augmentation (with synthetic samples comprising 50%), introducing a potential covariate shift that intensified overfitting on the training set (training R2 = 0.931) and diminished generalization on the test set. This phenomenon was consistent with VC-dimension theory: shallow models (like SVR) are preferable under limited data due to controllable complexity, whereas deep networks (like BP) require larger datasets to avoid the “double descent” effect.
Furthermore, SVR’s regularization directly controlled the slack of the margin through the BoxConstraint parameter, and when combined with a dynamically adjusted ε-insensitive region (based on the target variable’s IQR), it formed a dual regularization constraint. The condition number of its Hessian matrix (κ = 7.2 × 103) indicated strong stability in the parameter space. By contrast, although the BP neural network’s Bayesian regularization adjusted the hyperparameter μ to balance weight decay and data fitting, its non-convex loss function caused the optimization path to become trapped in local minima—as evidenced by early stopping at the 45th epoch (MSE = 0.01157) and significant fluctuations in the validation error. Moreover, the permutation feature importance analysis of SVR showed that the ΔRMSE for design harmony exceeded that for functional rationality, which in turn exceeded that for complexity (i.e., design harmony ΔRMSE > functional rationality ΔRMSE > complexity ΔRMSE). This result was consistent with design psychology theory and underscored the interpretability of the SVR model. By contrast, the nonlinear transformations in the BP network’s hidden layers obscured the contribution of individual features, limiting causal inference regarding design elements.
Although the BP neural network used Gaussian noise injection (σ = 0.03) to expand the sample size to 48 groups, the distribution shift of the synthetic data may have weakened the learning of true feature–response relationships. By contrast, SVR, relying on critical boundary samples (support vectors), was more robust to noise, as its residual distribution (with 90% of samples within ±0.08) was much more concentrated than BP’s (±0.2), thereby verifying the suppressive effect of the ε-insensitive constraint on outliers. Additionally, SVR’s R2 of 0.848 indicated that it can explain 84.8% of the target variance—significantly higher than BP’s 78.6%—reflecting the superior nonlinear expressive power of the kernel function in high-dimensional spaces.
SVR demonstrated superior prediction accuracy and stability in analyzing small-sample, high-dimensional design data; its SRM framework and sparse solution properties were key advantages. Conversely, the BP neural network was limited by parameter redundancy and non-convex optimization challenges, necessitating further data augmentation or network compression to enhance generalization. The fundamental performance differences between the two models arose from the compatibility of their inductive biases with the data characteristics. Future research should select the appropriate paradigm based on task requirements or explore collaborative strategies—for example, integrating SVR’s kernel techniques with neural networks’ hierarchical feature extraction to construct Kernelized Neural Networks—which may achieve both interpretability and nonlinear modeling capability in small-sample scenarios.
5. Limitations and Future Research Directions
Although the sampling strategy aimed to achieve demographic and behavioral diversity through stratified purposive selection, partial reliance on convenience sampling introduced certain limitations in sample representativeness. Notably, the sample was skewed toward individuals with medium to high levels of product awareness, technological familiarity, and education, which may result in the underrepresentation of marginalized or less-engaged consumer groups.
Nonetheless, the dataset encompassed a broad spectrum of the target market, including variations in income level, age, region, and usage scenarios. This ensured the inclusion of key consumer archetypes typically observed in the Chinese refrigerator market. While the possibility of selection bias cannot be fully eliminated, the internal validation metrics of the predictive models, along with the consistency of thematic patterns across subgroups, support the robustness and indicative generalizability of the findings.
Future work will incorporate a probabilistic sampling framework to further improve representativeness and external validity, particularly for applications requiring population-level inference.
While the SVR model demonstrated robust performance in predicting consumer appeal for refrigerator designs, its application to products with different characteristics requires several domain-specific adaptations. First, the input feature set must be redefined to reflect the relevant design attributes of the target product category. Second, the consumer appeal index must be reinterpreted and normalized based on market-specific expectations. Lastly, retraining with representative and sufficiently diverse data is essential due to the limited extrapolation ability of SVR’s kernel function across dissimilar domains.
In terms of scalability, standard SVR implementations exhibit computational complexity of O(n2), rendering them less suitable for large-scale datasets. Additionally, the generalization capability of SVR diminishes when the input distribution shifts significantly from the original training data, particularly in cases involving complex consumer behavior or structurally divergent product categories.
To overcome these challenges, future directions may include the use of hybrid frameworks (e.g., SVR + deep feature extractors), kernel transfer learning, or sparsified SVR variants. These approaches can enhance scalability and adaptability while retaining the interpretability and structural risk minimization advantages of SVR.
To further enhance the model’s applicability in dynamic market environments, future work will focus on integrating temporal and behavioral dimensions into the prediction framework. Specifically, time series variables such as quarterly market trend shifts, seasonal feature preferences, and longitudinal sentiment evolution will be incorporated as structured predictors. These may be encoded through lagged variables, moving averages, or exogenous regressors within a time-aware SVR or sequence-learning model. In parallel, the model will be adapted to account for diverse consumer engagement levels. Recognizing that first-time buyers, repeat purchasers, and segment-specific users (e.g., students vs. professionals) exhibit differentiated design expectations, future modeling iterations will include consumer segmentation metadata. Mixed-effects regression, stratified SVR models, and hierarchical neural architectures will be explored to reflect group-dependent decision mechanisms and contextualize preference modeling.
6. Conclusions
This study addresses the issues of insufficient user need identification and inadequate exploration of the intrinsic mechanisms of sustainable design in current refrigerator product design. It proposes and validates an interdisciplinary intelligent design framework that integrates qualitative research with deep neural network technology. Through semi-structured interviews and multi-source data fusion analysis, the study found that consumers place high importance on overall capacity, exterior design, and energy efficiency ratings when selecting refrigerators and that different types of refrigerator users exhibit significant differences in specific considerations such as price sensitivity and functional requirements. Based on an intelligent generative system employing a latent diffusion model and a control network architecture, the framework achieves semantic-controllable synthesis of high-fidelity design schemes, and the synergistic optimization effects of functional rationality and design harmony are validated using an entropy-weight COPRAS multi-criteria decision-making model.
In constructing the predictive model, support vector regression (SVR) significantly outperformed the Bayesian regularization neural network (test set R2 = 0.848 vs. 0.786) due to its structural risk minimization framework and kernel space mapping mechanism. Its permutation feature importance analysis revealed that design harmony (ΔRMSE = 0.15) holds cognitive priority in influencing consumer appeal. Modular prototype development further verified the transformation pathway of intelligent feature engineering practice. The mini desktop and vehicle refrigerator designs achieved improvements in energy efficiency and material intensification through innovative functions such as dual-mode cooling and magnetic sealing. The established closed-loop system comprising “demand insight—intelligent generation—decision optimization—market forecasting” provides full-cycle methodological support for sustainable product development. The interdisciplinary integration paradigm and quantitative decision-making tools proposed in this study not only extend the theoretical boundaries of industrial design optimization but also offer a reproducible technical pathway for the manufacturing industry’s low-carbon transition and sustainable development. Future research could further enhance the system’s spatiotemporal adaptability and ecological benefits by integrating time series analysis of preference drift and full lifecycle environmental impact assessment.
Author Contributions
Conceptualization, Y.C. and H.L.; methodology, Y.C.; software, J.Z.; validation, H.L. and J.Z.; formal analysis, Y.C. and H.L.; investigation, J.Z.; resources, J.W.; data curation, Y.C.; writing—original draft preparation, Y.C. and H.L.; writing—review and editing, Y.C. and J.W.; visualization, Y.C.; supervision, J.W.; project administration, J.W. All authors have read and agreed to the published version of the manuscript.
Funding
This research received no external funding.
Data Availability Statement
The data presented in this study are available upon request from the corresponding author. The data are not publicly available due to confidentiality and ethical restrictions.
Conflicts of Interest
Author Yu Chen was employed by Haier Group Corporation. The remaining authors declare that the research was conducted in the absence of any commercial or financial relationships that could be construed as a potential conflict of interest.
References
- Anwar, R.S.; Ahmed, R.R.; Streimikiene, D.; Strielkowski, W.; Streimikis, J. Customer Engagement, Innovation, and Sustainable Consumption: Analyzing Personalized, Innovative, Sustainable Phygital Products. J. Innov. Knowl. 2025, 10, 100642. [Google Scholar] [CrossRef]
- Ceschin, F.; Gaziulusoy, I. Evolution of Design for Sustainability: From Product Design to Design for System Innovations and Transitions. Des. Stud. 2016, 47, 118–163. [Google Scholar] [CrossRef]
- Xiao, R.; Zhang, Y.; Liu, X.; Yuan, Z. A Life-Cycle Assessment of Household Refrigerators in China. J. Clean. Prod. 2015, 95, 301–310. [Google Scholar] [CrossRef]
- Kwilinski, A. Mapping Global Research on Green Energy and Green Investment: A Comprehensive Bibliometric Study. Energies 2024, 17, 1119. [Google Scholar] [CrossRef]
- Wang, S.; Sun, W.; Liu, J.; Nah, K.; Yan, W.; Tan, S. The Influence of AR on Purchase Intentions of Cultural Heritage Products: The TAM and Flow-Based Study. Appl. Sci. 2024, 14, 7169. [Google Scholar] [CrossRef]
- Đurić, I.; Medić, S.; Ecet, D.; Grgić, S.; Atanacković Jeličić, J. Enhancing Public Space Experiences: Evaluating Perception of Digital and Digitized Sculptures in Augmented Reality. Appl. Sci. 2025, 15, 870. [Google Scholar] [CrossRef]
- Basu, S. Personalized Product Recommendations and Firm Performance. Electron. Commer. Res. Appl. 2021, 48, 101074. [Google Scholar] [CrossRef]
- Sreen, N.; Mehrotra, A.; Alghafes, R.; Agarwal, V. Interplay between Minimalism, Moral Identity, and Ethically Minded Consumer Behavior in Retail Context: Cross-Cultural Investigation of Indian and American Consumers. J. Retail. Consum. Serv. 2025, 84, 104191. [Google Scholar] [CrossRef]
- Zheng, S.; Chen, J.; Liao, J.; Hu, H.-L. What Motivates Users’ Viewing and Purchasing Behavior Motivations in Live Streaming: A Stream-Streamer-Viewer Perspective. J. Retail. Consum. Serv. 2023, 72, 103240. [Google Scholar] [CrossRef]
- Wang, Z.; Chen, C.-H.; Li, X.; Zheng, P.; Khoo, L.P. A Context-Aware Concept Evaluation Approach Based on User Experiences for Smart Product-Service Systems Design Iteration. Adv. Eng. Inform. 2021, 50, 101394. [Google Scholar] [CrossRef]
- Shen, B.; Tan, W.; Guo, J.; Zhao, L.; Qin, P. How to Promote User Purchase in Metaverse? A Systematic Literature Review on Consumer Behavior Research and Virtual Commerce Application Design. Appl. Sci. 2021, 11, 11087. [Google Scholar] [CrossRef]
- Qin, Z.; Song, Y.; Tian, Y. The Impact of Product Design with Traditional Cultural Properties (TCPs) on Consumer Behavior Through Cultural Perceptions: Evidence from the Young Chinese Generation. Sustainability 2019, 11, 426. [Google Scholar] [CrossRef]
- Velaoras, K.; Menegaki, A.N.; Polyzos, S.; Gotzamani, K. The Role of Environmental Certification in the Hospitality Industry: Assessing Sustainability, Consumer Preferences, and the Economic Impact. Sustainability 2025, 17, 650. [Google Scholar] [CrossRef]
- Szaban, M.; Szymkowiak, A.; Zdziennicka, A. Unpacking Consumer Price Perceptions: The Role of Sustainability and Ethical Labels in the Cosmetics Market. J. Clean. Prod. 2025, 490, 144730. [Google Scholar] [CrossRef]
- Navidan, H.; Moshiri, P.F.; Nabati, M.; Shahbazian, R.; Ghorashi, S.A.; Shah-Mansouri, V.; Windridge, D. Generative Adversarial Networks (GANs) in Networking: A Comprehensive Survey & Evaluation. Comput. Netw. 2021, 194, 108149. [Google Scholar] [CrossRef]
- Zhang, Z.; Li, Y.; Zhou, W.; Chen, X.; Yao, W.; Zhao, Y. TONR: An Exploration for a Novel Way Combining Neural Network with Topology Optimization. Comput. Methods Appl. Mech. Eng. 2021, 386, 114083. [Google Scholar] [CrossRef]
- Wang, L.; Liu, Z. Data-Driven Product Design Evaluation Method Based on Multi-Stage Artificial Neural Network. Appl. Soft Comput. 2021, 103, 107117. [Google Scholar] [CrossRef]
- Zhu, Q.; Li, J.; Lin, X.; Lu, F.; Jang, J. A BP Neural Network Product Design Optimization Model Based on Emotional Design and Sustainable Product Design. Appl. Sci. 2024, 14, 6225. [Google Scholar] [CrossRef]
- Qian, C.; Ye, W. Accelerating Gradient-Based Topology Optimization Design with Dual-Model Artificial Neural Networks. Struct. Multidiscip. Optim. 2021, 63, 1687–1707. [Google Scholar] [CrossRef]
- Burnap, A.; Hauser, J.R.; Timoshenko, A. Product Aesthetic Design: A Machine Learning Augmentation. Mark. Sci. 2023, 42, 1029–1056. [Google Scholar] [CrossRef]
- Yoo, S.; Lee, S.; Kim, S.; Hwang, K.H.; Park, J.H.; Kang, N. Integrating Deep Learning into CAD/CAE System: Generative Design and Evaluation of 3D Conceptual Wheel. Struct. Multidiscip. Optim. 2021, 64, 2725–2747. [Google Scholar] [CrossRef]
- Ding, M.; Cheng, Y.; Zhang, J.; Du, G. Product Color Emotional Design Based on a Convolutional Neural Network and Search Neural Network. Color. Res. Appl. 2021, 46, 1332–1346. [Google Scholar] [CrossRef]
- Badawy, M.; Ramadan, N.; Hefny, H.A. Healthcare Predictive Analytics Using Machine Learning and Deep Learning Techniques: A Survey. J. Electr. Syst. Inf. Technol. 2023, 10, 40. [Google Scholar] [CrossRef]
- Falatouri, T.; Darbanian, F.; Brandtner, P.; Udokwu, C. Predictive Analytics for Demand Forecasting–A Comparison of SARIMA and LSTM in Retail SCM. Procedia Comput. Sci. 2022, 200, 993–1003. [Google Scholar] [CrossRef]
- Aljohani, A. Predictive Analytics and Machine Learning for Real-Time Supply Chain Risk Mitigation and Agility. Sustainability 2023, 15, 15088. [Google Scholar] [CrossRef]
- Chen, Y.-T.; Sun, E.W.; Chang, M.-F.; Lin, Y.-B. Pragmatic Real-Time Logistics Management with Traffic IoT Infrastructure: Big Data Predictive Analytics of Freight Travel Time for Logistics 4.0. Int. J. Prod. Econ. 2021, 238, 108157. [Google Scholar] [CrossRef]
- Dawood, T.; Elwakil, E.; Novoa, H.M.; Gárate Delgado, J.F. Toward Urban Sustainability and Clean Potable Water: Prediction of Water Quality via Artificial Neural Networks. J. Clean. Prod. 2021, 291, 125266. [Google Scholar] [CrossRef]
- Zhang, L.; Huang, Z.; Liu, W.; Guo, Z.; Zhang, Z. Weather Radar Echo Prediction Method Based on Convolution Neural Network and Long Short-Term Memory Networks for Sustainable e-Agriculture. J. Clean. Prod. 2021, 298, 126776. [Google Scholar] [CrossRef]
- Rombach, R.; Blattmann, A.; Lorenz, D.; Esser, P.; Ommer, B. High-Resolution Image Synthesis with Latent Diffusion Models. In Proceedings of the IEEE/CVF Conference on Computer Vision and Pattern Recognition (CVPR) CoRR, Nashville, TN, USA, 20–25 June 2021. [Google Scholar]
- Yang, W.; Zhao, Y. Artistic Intelligence: A Diffusion-Based Framework for High-Fidelity Landscape Painting Synthesis. IEEE Access 2024, 13, 26037–26049. [Google Scholar] [CrossRef]
- Adeoye-Olatunde, O.A.; Olenik, N.L. Research and Scholarly Methods: Semi-Structured Interviews. JACCP J. Am. Coll. Clin. Pharm. 2021, 4, 1358–1367. [Google Scholar] [CrossRef]
- Mukurunge, E.; Nyoni, C.N.; Hugo, L. Context of Assessment in Competency-Based Nursing Education: Semi-Structured Interviews in Nursing Education Institutions in a Low-Income Country. Nurse Educ. Today 2025, 146, 106529. [Google Scholar] [CrossRef] [PubMed]
- Yang, Y.N.; Kumaraswamy Mohan, M.; Pam, H.J.; Mahesh, G. Integrated Qualitative and Quantitative Methodology to Assess Validity and Credibility of Models for Bridge Maintenance Management System Development. J. Manag. Eng. 2011, 27, 149–158. [Google Scholar] [CrossRef]
- Galvin, R. How Many Interviews Are Enough? Do Qualitative Interviews in Building Energy Consumption Research Produce Reliable Knowledge? J. Build. Eng. 2015, 1, 2–12. [Google Scholar] [CrossRef]
- Stanca, L.; Dabija, D.-C.; Câmpian, V. Qualitative Analysis of Customer Behavior in the Retail Industry during the COVID-19 Pandemic: A Word-Cloud and Sentiment Analysis Approach. J. Retail. Consum. Serv. 2023, 75, 103543. [Google Scholar] [CrossRef]
- Taye, M.M. Understanding of Machine Learning with Deep Learning: Architectures, Workflow, Applications and Future Directions. Computers 2023, 12, 91. [Google Scholar] [CrossRef]
- Zhang, L.; Rao, A.; Agrawala, M. Adding Conditional Control to Text-to-Image Diffusion Models. arXiv 2023, arXiv:2302.05543. [Google Scholar] [CrossRef]
- Chen, P. Effects of the Entropy Weight on TOPSIS. Expert. Syst. Appl. 2021, 168, 114186. [Google Scholar] [CrossRef]
- Balali, A.; Valipour, A.; Edwards, R.; Moehler, R. Ranking Effective Risks on Human Resources Threats in Natural Gas Supply Projects Using ANP-COPRAS Method: Case Study of Shiraz. Reliab. Eng. Syst. Saf. 2021, 208, 107442. [Google Scholar] [CrossRef]
- Surucu, O.; Gadsden, S.A.; Yawney, J. Condition Monitoring Using Machine Learning: A Review of Theory, Applications, and Recent Advances. Expert. Syst. Appl. 2023, 221, 119738. [Google Scholar] [CrossRef]
- Cox, J.; Griffith, S.; Giorgi, S.; King, G. Consumer Understanding of Product Lifetimes. Resour. Conserv. Recycl. 2013, 79, 21–29. [Google Scholar] [CrossRef]
- Victor, V.; Joy Thoppan, J.; Jeyakumar Nathan, R.; Farkas Maria, F. Factors Influencing Consumer Behavior and Prospective Purchase Decisions in a Dynamic Pricing Environment—An Exploratory Factor Analysis Approach. Soc. Sci. 2018, 7, 153. [Google Scholar] [CrossRef]
- Bogusz, M.; Matysik-Pejas, R.; Krasnodębski, A.; Dziekański, P. The Concept of Zero Waste in the Context of Supporting Environmental Protection by Consumers. Energies 2021, 14, 5964. [Google Scholar] [CrossRef]
- Huang, Y.-C.; Tung, Y.-S.; Chen, J.-C.; Wang, S.-W.; Wu, J.-L. An Adaptive Edge Detection Based Colorization Algorithm and Its Applications. In Proceedings of the 13th Annual ACM International Conference on Multimedia, Singapore, 6–11 November 2005; Association for Computing Machinery: New York, NY, USA, 2005; pp. 351–354. [Google Scholar]
Disclaimer/Publisher’s Note: The statements, opinions and data contained in all publications are solely those of the individual author(s) and contributor(s) and not of MDPI and/or the editor(s). MDPI and/or the editor(s) disclaim responsibility for any injury to people or property resulting from any ideas, methods, instructions or products referred to in the content. |
© 2025 by the authors. Licensee MDPI, Basel, Switzerland. This article is an open access article distributed under the terms and conditions of the Creative Commons Attribution (CC BY) license (https://creativecommons.org/licenses/by/4.0/).


























