Hidden Homogeneous Extreme Multistability of a Fractional-Order Hyperchaotic Discrete-Time System: Chaos, Initial Offset Boosting, Amplitude Control, Control, and Synchronization
Abstract
1. Introduction
2. Description and Analysis of the Fractional Hyperchaotic Map
3. Dynamical Analysis and Numerical Simulations
3.1. Hidden Attractors and Bifurcation Analysis
- Case A: No Fixed Point
- Case B: Line of the Equilibrium Point
3.2. The Effect of Fractional Order
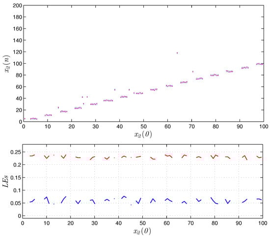
3.3. Hidden Extreme Homogeneous Multistability
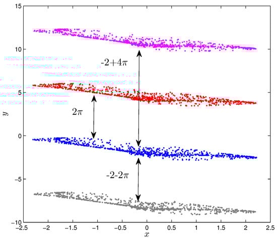
3.4. Initial Offset Boosting
4. Amplitude Control Analysis
5. Complexity Analysis of the FODTS
- Step 1. Construct a sequence of m vectors. For a given time series , the m vector sequence is constructed as
- Step 2. For each , define the following equationwhere is the distance between and given byand in which presents the standard deviation of the data x.
- Step 3. On the basis of , the average value is denoted to be
- Step 4. The is calculated as follows
6. Control Laws
7. Synchronization
8. Conclusions
Author Contributions
Funding
Institutional Review Board Statement
Informed Consent Statement
Data Availability Statement
Conflicts of Interest
References
- Herrmann, R. Fractional Calculus—An Introduction for Physicists; World Scientific: Singapore, 2018. [Google Scholar]
- Diaz, J.B.; Olser, T.J. Differences of fractional order. Math. Comput. 1974, 28, 185–202. [Google Scholar] [CrossRef]
- Goodrich, C.; Peterson, A.C. Discrete Fractional Calculus; Springer: Berlin/Heidelberg, Germany, 2015. [Google Scholar]
- Zaslavsky, G.M.; Zaslavskij, G.M. Hamiltonian Chaos and Fractional Dynamics; Oxford University Press: Oxford, UK, 2005. [Google Scholar]
- Wang, Y.; Liu, S.; Li, H. On fractional difference logistic maps: Dynamic analysis and synchronous control. Nonlinear Dyn. 2020, 102, 579–588. [Google Scholar] [CrossRef]
- Kassim, S.; Hamiche, H.; Djennoune, S.; Bettayeb, M. A novel secure image transmission scheme based on synchronization of fractional-order discrete-time hyperchaotic systems. Nonlinear Dyn. 2017, 88, 2473–2489. [Google Scholar] [CrossRef]
- Khennaoui, A.A.; Ouannas, A.; Bendoukha, S.; Grassi, G.; Lozi, R.P.; Pham, V.T. On fractional–order discrete–time systems: Chaos, stabilization and synchronization. Chaos Solitons Fractals 2019, 119, 150–162. [Google Scholar] [CrossRef]
- Wu, G.C.; Baleanu, D. Discrete fractional logistic map and its chaos. Nonlinear Dyn. 2014, 75, 283–287. [Google Scholar] [CrossRef]
- Alpar, O. Dynamics of a new generalized fractional one-dimensional map: Quasiperiodic to chaotic. Nonlinear Dyn. 2018, 94, 1377–1390. [Google Scholar] [CrossRef]
- Khennaoui, A.A.; Ouannas, A.; Bendoukha, S.; Grassi, G.; Wang, X.; Pham, V.T.; Alsaadi, F.E. Chaos, control, and synchronization in some fractional-order difference equations. Adv. Differ. Equ. 2019, 1, 1–23. [Google Scholar] [CrossRef]
- Peng, Y.; Sun, K.; Peng, D.; Ai, W. Dynamics of a higher dimensional fractional-order chaotic map. Phys. A Stat. Mech. Its Appl. 2019, 525, 96–107. [Google Scholar] [CrossRef]
- Wang, L.; Sun, K.; Peng, Y.; He, S. Chaos and complexity in a fractional-order higher-dimensional multi-cavity chaotic map. Chaos Solitons Fractals 2020, 131, 109488. [Google Scholar] [CrossRef]
- Rong, K.; Bao, H.; Li, H.; Hua, Z.; Bao, B. Memristive Hénon map with hidden Neimark-Sacker bifurcations. Nonlinear Dyn. 2022, 108, 4459–4470. [Google Scholar] [CrossRef]
- Bao, H.; Li, H.; Hua, Z.; Xu, Q.; Bao, B.C. Sine Transform-Based Memristive Hyperchaotic Model with Hardware Implementation. IEEE Trans. Ind. Inform. 2022; in press. [Google Scholar] [CrossRef]
- Li, K.; Bao, H.; Li, H.; Ma, J.; Hua, Z.; Bao, B. Memristive Rulkove neuron model with magnetic inclution effects. IEEE Trans. Ind. Inform. 2021, 18, 1726–1736. [Google Scholar] [CrossRef]
- Bao, H.; Hua, Z.; Li, H.; Chen, M.; Bao, B. Discrete memristor hyperchaotic maps. IEEE Trans. Circuits Syst. Regul. Pap. 2021, 68, 4534–4544. [Google Scholar] [CrossRef]
- Hadjabi, F.; Ouannas, A.; Shawagfeh, N.; Khennaoui, A.A.; Grassi, G. On Two-Dimensional Fractional Chaotic Maps with Symmetries. Symmetry 2020, 12, 756. [Google Scholar] [CrossRef]
- Liu, T.; Mou, J.; Banerjee, S.; Cao, Y.; Han, X. A new fractional-order discrete BVP oscillator model with coexisting chaos and hyperchaos. Nonlinear Dyn. 2021, 106, 1011–1026. [Google Scholar] [CrossRef]
- Amatroud, A.O.; Khennaoui, A.A.; Ouannas, A.; Pham, V.T. Infinite Line of Equilibrium in a Novel Fractional Map with Coexisting Attractors and Initial Offset Boosting. Available online: https://www.degruyter.com/document/doi/10.1515/ijnsns-2020-0180/pdf (accessed on 5 December 2022).
- Pincus, S.M. Approximate entropy as a measure of system complexity. Proc. Natl. Acad. Sci. USA 1991, 88, 2297–2301. [Google Scholar] [CrossRef]
- Ouannas, A.; Khennaoui, A.A.; Momani, S.; Grassi, G.; Pham, V.T. Chaos and control of a three-dimensional fractional order discrete-time system with no equilibrium and its synchronization. AIP Adv. 2020, 10, 045310. [Google Scholar] [CrossRef]
- Ouannas, A.; Bendoukha, S. Generalized and inverse generalized synchronization of fractional–order discrete–time chaotic systems with non–identical dimensions. Adv. Differ. Equ. 2018, 2018, 303. [Google Scholar] [CrossRef]
- Bendoukha, S.; Ouannas, A.; Wang, X.; Khennaoui, A.A.; Pham, V.T.; Grassi, G.; Huynh, V.V. The co-existence of different synchronization types in fractional-order discrete-time chaotic systems with non–identical dimensions and orders. Entropy 2018, 20, 710. [Google Scholar] [CrossRef]
- Ouannas, A.; Khennaoui, A.A.; Zehrour, O.; Bendoukha, S.; Grassi, G.; Pham, V.T. Synchronisation of integer-order and fractional-order discrete-time chaotic systems. Pramana 2019, 92, 52. [Google Scholar] [CrossRef]
- Bao, B.C.; Li, H.Z.; Zhu, L.; Zhang, X.; Chen, M. Initial-switched boosting bifurcations in 2D hyperchaotic map. Chaos Interdiscip. J. Nonlinear Sci. 2020, 30, 033107. [Google Scholar] [CrossRef]
- Khennaoui, A.A.; Almatroud, A.O.; Ouannas, A.; Al-sawalha, M.M.; Grassi, G.; Pham, V.T.; Batiha, I.M. An Unprecedented 2-Dimensional Discrete-Time Fractional-Order System and Its Hidden Chaotic Attractors. Math. Probl. Eng. 2021, 2021, 6768215. [Google Scholar] [CrossRef]
- Wu, G.C.; Baleanu, D. Jacobian matrix algorithm for Lyapunov exponents of the discrete fractional maps. Commun. Nonlinear Sci. Numer. Simul. 2015, 22, 95–100. [Google Scholar] [CrossRef]
- Zhang, S.; Zeng, J.; Wang, X.; Zeng, Z. A novel no-equilibruim HR neuron model with hidden homogeneous extreme multistability. Chaos Solitons Frractals 2021, 145, 11761. [Google Scholar]
- Li, C.; Sprott, J.C. Finding coexisting attractors using amplitude control. Nonlinear Dyn. 2014, 780, 2059–2064. [Google Scholar] [CrossRef]
- Leutcho, G.D.; Wang, H.; Kengne, R.; Kengne, L.K.; Njitacke, Z.T.; Fozin, T.F. Symmetry breaking amplitude control and constant Lyapunov exponent based on single parameter snap flows. Eur. Phys. J. Spec. Top. 2021, 230, 1887–1903. [Google Scholar] [CrossRef]
- Viayajumar, M.D.; Natiq, H.; Leutcho, G.D.; Rajagopal, K.; Jafri, S.; Hussain, I. Hidden and self-Excited Collective Dynamics of a New Multistable Hyper-Jerk System with Unique Equilibrium. Int. J. Bifurc. Chaos 2022, 32, 2250063. [Google Scholar] [CrossRef]
- Cafagna, D.; Grassi, G. An effective method for detecting chaos in fractional-order systems. Int. J. Bifurc. Chaos 2010, 20, 669–678. [Google Scholar] [CrossRef]
- Baleanu, D.; Wu, G.C.; Bai, Y.R.; Chen, F.L. Stability analysis of Caputoâ like discrete fractional systems. Commun. Nonlinear Sci. Numer. Simul. 2017, 48, 520–530. [Google Scholar] [CrossRef]
















Disclaimer/Publisher’s Note: The statements, opinions and data contained in all publications are solely those of the individual author(s) and contributor(s) and not of MDPI and/or the editor(s). MDPI and/or the editor(s) disclaim responsibility for any injury to people or property resulting from any ideas, methods, instructions or products referred to in the content. |
© 2023 by the authors. Licensee MDPI, Basel, Switzerland. This article is an open access article distributed under the terms and conditions of the Creative Commons Attribution (CC BY) license (https://creativecommons.org/licenses/by/4.0/).
Share and Cite
Khennaoui, A.-A.; Ouannas, A.; Bekiros, S.; Aly, A.A.; Alotaibi, A.; Jahanshahi, H.; Alsubaie, H. Hidden Homogeneous Extreme Multistability of a Fractional-Order Hyperchaotic Discrete-Time System: Chaos, Initial Offset Boosting, Amplitude Control, Control, and Synchronization. Symmetry 2023, 15, 139. https://doi.org/10.3390/sym15010139
Khennaoui A-A, Ouannas A, Bekiros S, Aly AA, Alotaibi A, Jahanshahi H, Alsubaie H. Hidden Homogeneous Extreme Multistability of a Fractional-Order Hyperchaotic Discrete-Time System: Chaos, Initial Offset Boosting, Amplitude Control, Control, and Synchronization. Symmetry. 2023; 15(1):139. https://doi.org/10.3390/sym15010139
Chicago/Turabian StyleKhennaoui, Amina-Aicha, Adel Ouannas, Stelios Bekiros, Ayman A. Aly, Ahmed Alotaibi, Hadi Jahanshahi, and Hajid Alsubaie. 2023. "Hidden Homogeneous Extreme Multistability of a Fractional-Order Hyperchaotic Discrete-Time System: Chaos, Initial Offset Boosting, Amplitude Control, Control, and Synchronization" Symmetry 15, no. 1: 139. https://doi.org/10.3390/sym15010139
APA StyleKhennaoui, A.-A., Ouannas, A., Bekiros, S., Aly, A. A., Alotaibi, A., Jahanshahi, H., & Alsubaie, H. (2023). Hidden Homogeneous Extreme Multistability of a Fractional-Order Hyperchaotic Discrete-Time System: Chaos, Initial Offset Boosting, Amplitude Control, Control, and Synchronization. Symmetry, 15(1), 139. https://doi.org/10.3390/sym15010139

