1-Vinylazulenes with Oxazolonic Ring-Potential Ligands for Metal Ion Detectors; Synthesis and Products Properties
Abstract
:1. Introduction
2. Materials and Methods
2.1. Materials and Instrumentation
2.2. Condensation of Azulene-1-Carbaldehydes with Hippuric Acids
2.3. Products Characterization
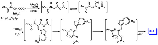
3. Results and Discussion
3.1. Synthesis
3.2. Considerations on UV-Vis and NMR Spectra
4. Conclusions
Supplementary Materials
Author Contributions
Funding
Institutional Review Board Statement
Informed Consent Statement
Data Availability Statement
Conflicts of Interest
References
- Razus, A. Azulene Moiety as Electron Reservoir in Positively Charged Systems; A Short Survey. Symmetry 2021, 13, 526. [Google Scholar] [CrossRef]
- Lash, T.D. Out of the Blue! Azuliporphyrins and Related Carbaporphyrinoid Systems. Acc. Chem. Res. 2016, 49, 471–482. [Google Scholar] [CrossRef] [PubMed]
- Churchill, M.R. Transition Metal Complexes of Azulene and Related Ligands; Wiley: Hoboken, NJ, USA, 2007; Volume 11, pp. 53–98. [Google Scholar]
- Birzan, L.; Cristea, M.; Tecuceanu, V.; Ungureanu, E.-M.; Razus, A.C. Synthesis of ligands based on azulene derivatives used as metal sensors. Rev. Roum. Chim. 2017, 62, 489–497. [Google Scholar]
- Waltman, R.J.; Bargon, J. Electrically conducting polymers: A review of the electropolymerization reaction, of the effects of chemical structure on polymer film properties, and of applications towards technology. Can. J. Chem. 1986, 64, 76–95. [Google Scholar] [CrossRef] [Green Version]
- Wang, F.; Lai, Y.-H.; Han, M.-Y. Stimuli-Responsive Conjugated Copolymers Having Electro-Active Azulene and Bithiophene Units in the Polymer Skeleton: Effect of Protonation and p-Doping on Conducting Properties. Macromolecules 2004, 37, 3222–3230. [Google Scholar] [CrossRef]
- Buica, G.-O.; Ungureanu, E.-M.; Birzan, L.; Razus, A.C.; Bujduveanu, M.-R. Films of poly(4-azulen-1-yl-2,6-bis(2-thienyl)pyridine) for heavy metal ions complexation. Electrochim. Acta 2011, 56, 5028–5036. [Google Scholar] [CrossRef]
- Buica, G.-O.; Birzan, L.; Tecuceanu, V.; Razus, A.C.; Arnold, G.-L.; Ungureanu, E.-M. Modified Electrodes Based on Poly[(2E)-2-(Azulen-1-ylmethylidene)hydrazinecarbothioamide] for Heavy Metal Ions Complexation. Electroanalysis 2017, 29, 93–102. [Google Scholar] [CrossRef]
- Birzan, L.; Cristea, M.; Draghici, C.C.; Tecuceanu, V.; Maganu, M.; Hanganu, A.; Arnold, G.-L.; Ungureanu, E.-M.; Razus, A.C. 1-vinylazulenes–potential host molecules in ligands for metal ion detectors. Tetrahedron 2016, 72, 2316–2326. [Google Scholar] [CrossRef]
- Razus, A.C.; Birzan, L.; Cristian, L.; Tecuceanu, V. Synthesis and properties of azulene-containing 1,3-dioxanes. Arkivoc 2009, 2009, 31–44. [Google Scholar] [CrossRef] [Green Version]
- Birzan, L.; Cristea, M.; Draghici, C.C.; Tecuceanu, V.; Maganu, M.; Hanganu, A.; Razus, A.C.; Buica, G.-O.; Ungureanu, E.M. Vinylazulenes chromophores: Synthesis and characterization. Dye. Pigment 2016, 131, 246–255. [Google Scholar] [CrossRef]
- Stefaniu, A.; Pop, M.-D.; Arnold, G.-L.; Birzan, L.; Pintilie, L.; Diacu, E.; Ungureanu, E.-M. DFT calculations and electrochemical studies on azulene ligands for heavy metal ions detection using chemically modified electrodes. J. Electrochem. Sci. Eng. 2018, 8, 73–85. [Google Scholar] [CrossRef] [Green Version]
- Ungureanu, E.-M.; Apostoiu, M.P.; Arnold, G.-L.T.; Birzan, L.; Isopescu, R.; Stanciu, G.; Buica, G.-O. Electrochemical Comparison on New (Z)-5-(Azulen-1-Ylmethylene)-2-Thioxo-Thiazolidin-4-Ones. Symmetry 2021, 13, 588. [Google Scholar] [CrossRef]
- Wang, Z. Erlenmeyer-Plöchl Azlactone Synthesis. In Comprehensive Organic Name Reactions and Reagents; John Wiley & Sons, Inc.: Hoboken, NJ, USA, 2010; Volume 217. [Google Scholar] [CrossRef]
- Detty, M.R.; McKelvey, J.M.; Luss, H.R. Tellurapyrylium dyes. The electron-donating properties of the chalcogen atoms to the chalcogenapyrylium nuclei and their radical dications, neutral radicals, and anions. Organometallics 1988, 7, 1131–1147. [Google Scholar] [CrossRef]





| Compound | 6a | 6b | 6c | 6d | 6e | 6f |
|---|---|---|---|---|---|---|
| Yield (in %) | 56 | 61 | 66 | 53 | 57 | 61 |
| Compd. | λ (log ε) |
|---|---|
| 6a | 230 (4.53), 293 (4.28), 312 (4.17), 317 sh (4.17), 328 (4.17), 410 (4.15), 468 (4.45) |
| 6b | 243 (4.43), 295 sh (3.97), 329 (4.14), 404 sh (3.92), 486 (4.40) |
| 6c | 233 sh (4.45), 244 (4.47), 315 (4.07), 363 (3.93), 510 (4.53) |
| 6d | 233 (4.15), 246 sh (4.12), 325 (4.07), 397 (3.99), 507 (3.75) |
| 6e | 236 (4.06), 257 (4.03), 333 (3.93), 405 (3.70), 521 (3.93) |
| 6f | 246 (4.27), 334 (4.13), 423 (3.98), 546 (4.19) |
Publisher’s Note: MDPI stays neutral with regard to jurisdictional claims in published maps and institutional affiliations. |
© 2021 by the authors. Licensee MDPI, Basel, Switzerland. This article is an open access article distributed under the terms and conditions of the Creative Commons Attribution (CC BY) license (https://creativecommons.org/licenses/by/4.0/).
Share and Cite
Cristea, M.; Bîrzan, L.; Dumitrascu, F.; Enache, C.; Tecuceanu, V.; Hanganu, A.; Drăghici, C.; Deleanu, C.; Nicolescu, A.; Maganu, M.; et al. 1-Vinylazulenes with Oxazolonic Ring-Potential Ligands for Metal Ion Detectors; Synthesis and Products Properties. Symmetry 2021, 13, 1209. https://doi.org/10.3390/sym13071209
Cristea M, Bîrzan L, Dumitrascu F, Enache C, Tecuceanu V, Hanganu A, Drăghici C, Deleanu C, Nicolescu A, Maganu M, et al. 1-Vinylazulenes with Oxazolonic Ring-Potential Ligands for Metal Ion Detectors; Synthesis and Products Properties. Symmetry. 2021; 13(7):1209. https://doi.org/10.3390/sym13071209
Chicago/Turabian StyleCristea, Mihaela, Liviu Bîrzan, Florea Dumitrascu, Cristian Enache, Victorita Tecuceanu, Anamaria Hanganu, Constantin Drăghici, Călin Deleanu, Alina Nicolescu, Maria Maganu, and et al. 2021. "1-Vinylazulenes with Oxazolonic Ring-Potential Ligands for Metal Ion Detectors; Synthesis and Products Properties" Symmetry 13, no. 7: 1209. https://doi.org/10.3390/sym13071209
APA StyleCristea, M., Bîrzan, L., Dumitrascu, F., Enache, C., Tecuceanu, V., Hanganu, A., Drăghici, C., Deleanu, C., Nicolescu, A., Maganu, M., & Razus, A. C. (2021). 1-Vinylazulenes with Oxazolonic Ring-Potential Ligands for Metal Ion Detectors; Synthesis and Products Properties. Symmetry, 13(7), 1209. https://doi.org/10.3390/sym13071209

